Abstract
The closed-form solution of the problem regarding elastic contact between a transversely, uniformly loaded circular membrane and a spring-reset rigid flat circular plate has potential application value in sensor developments or bending-free shell designs, but it still needs to be further improved. In this paper, on the basis of existing studies, the plate/membrane elastic contact problem is reformulated by improving the system of differential equations governing the elastic behavior of a large deflection of a circular membrane. Specifically, the radial geometric equation used in the existing studies is improved by giving up the assumption of a small rotation angle for the membrane, and an improved closed-form solution to the plate/membrane elastic contact problem is presented. The convergence and validity of the improved closed-form solution are analyzed, and the difference between the closed-form solutions before and after improvement is graphically shown. In addition, the effect of changing some important geometric and physical parameters on the improved closed-form solution is investigated.
Keywords:
circular membrane; rigid flat plate; transversely uniform loading; elastic contact problem; closed-form solution MSC:
74G10; 74k15
1. Introduction
A membrane, in mechanics, refers to a fully stretched plate or a plate with vanishing bending stiffness, regardless of the thickness of the plate; that is, it could be either a thick plate or a thin plate [,,,,]. They are usually used in various fields to form a complete structure or a structural component that bears lateral loads [,,,,] and are often accompanied by a large deflection if their thickness is very thin [,,,,]. The large deflection tends to give rise to geometric nonlinearity, which often makes the membrane problem present serious analytical difficulties [,,,,]. However, analytical solutions of membrane problems are often necessary for many engineering or technical applications, especially those with good precision [,,,,].
The circular membrane problem, i.e., the problem of axisymmetric deformation of an initially flat, peripherally fixed, transversely uniformly loaded circular membrane, was analytically dealt with originally by the famous German scientist Hencky []. A computational error in the analytical solution presented by Hencky in [] was corrected by Chien [] and Alekseev [], respectively. The well-known Hencky solution is often cited by related studies [,,,,]. However, it was derived based on the assumption of a small rotation angle of the membrane; therefore, it is suitable only for membrane applications with relatively small elastic deflections [,,,,]. In the last decade, the well-known Hencky solution was first extended from the special case without initial stress to the general case with initial stress [], and then, to accommodate the membrane applications with relatively large elastic deflections, it was improved three times by giving up the assumption of a small rotation angle of a membrane [,,].
If the initially flat, peripherally fixed circular membrane keeps an initial parallel gap from a rigid flat circular plate, and under the action of uniformly distributed transverse loads, deflects toward the rigid flat plate, then when the maximum membrane deflection is equal to the parallel gap, the deflected circular membrane will just come into contact with the rigid flat circular plate. This is the so-called contact problem between the rigid flat circular plate and the deflected circular membrane, or the plate/membrane contact problem for short. In more detail, if the rigid flat circular plate is fixed, that is, it does not move when pushed by the deflected circular membrane, then the plate/membrane contact problem is called the plate/membrane rigid contact problem, and if the rigid flat circular plate is connected to one end of a spring whose other end is fixed, that is, the rigid flat circular plate is reset by the spring when pushed by the deflected circular membrane, then the plate/membrane contact problem is called the plate/membrane elastic contact problem. The analytical solution of the plate/membrane rigid contact problem can be used to develop the capacitive pressure sensors that use the non-parallel plate variable capacitors [,,,,], while the analytical solution of the plate/membrane elastic contact problem can be used to develop the capacitive pressure sensors that use the parallel plate variable capacitors [,]. In comparison with the non-parallel plate variable capacitors, the parallel plate variable capacitors have at least one clear advantage, that is, the edge effect of the capacitors can be more easily reduced. So, the improvement to the analytical solution of the plate/membrane elastic contact problem has potential application value and significance.
In mathematics, the elastic behavior of membranes is usually governed by equilibrium equations, geometric equations, and physical equations. The plate/membrane elastic contact problem was first proposed in [], but it is formulated using the equilibrium and geometric equations that are derived based on the assumption of a small rotation angle of a membrane. More unfortunately, however, there is an error in the boundary and continuous conditions in [], i.e., Equation (31) in [] is wrong. Therefore, due to such an error, the analytical solution of the plate/membrane elastic contact problem, presented in [], is actually a wrong solution. This error, i.e., Equation (31) in [], was corrected in []; see Equation (A27) in [] for details. Moreover, in [], a more precise out-of-plane equilibrium equation was established by giving up the assumption of a small rotation angle of a membrane; the correct analytical solution of the plate/membrane elastic contact problem was, for the first time, derived, and finally, based on the derived analytical solution, the numerical design and calibration of a parallel plate variable capacitor-based circular capacitive wind pressure sensor were presented.
In this paper, the plate/membrane elastic contact problem is reformulated and analytically solved, and an improved analytical solution of the problem is presented. In comparison with the recent work presented in [], the innovation of this study mainly lies in the use of the new membrane governing equations, thereby improving the analytical solution of the elastic contact problem. Specifically, the radial geometric equation used in this study is independent of the assumption of a small rotation angle of a membrane (see the following section for details). In Section 3, some important issues are discussed, such as the convergence and validity of the analytical solution derived in Section 2, and the effect of changing some important geometrical and physical parameters on the analytical solution. Concluding remarks are shown in Section 4.
2. Analytical Solution to the Elastic Contact Problem
The so-called plate/membrane elastic contact problem is detailed as follows. An initially flat circular membrane with radius a, thickness h, Poisson’s ratio v, and Young’s modulus of elasticity E is peripherally fixed, that is, the radial, circumferential, and transverse displacements at the outer edge of the initially flat circular membrane are all constrained rigidly. A rigid flat circular plate with radius a keeps an initial parallel gap g from the initially flat circular membrane and is connected to one end of a spring with original length L and stiffness coefficient k, and the other end of the spring is fixed, as shown in Figure 1a. A uniformly distributed transverse load q is applied onto the circular membrane, resulting in the membrane deflection (transverse displacement) towards the rigid flat circular plate, as shown in Figure 1b, where the initial compressed length ∆l of the spring is considered for the convenience of practical application (for example, ∆l is caused by the self-weight of the rigid flat circular plate). In Figure 1b, the dash-dotted line represents the geometric middle plane of the initially flat circular membrane, the dashed lines represent the initial position of the rigid flat circular plate (i.e., the position before the rigid flat circular plate is moved by ∆l), r, φ, w, and o denote the radial, circumferential, transverse coordinates, and coordinate origin of the introduced cylindrical coordinate system (r, φ, w) (where the polar plane (r, φ) is located in the plane in which the geometric middle plane is located, the coordinate origin o is at the centroid of the geometric middle plane, and the deflection of the circular membrane is also denoted by w, but φ is not shown due to the axisymmetric deformation), and wm denotes the maximum deflection of the circular membrane under the uniformly distributed transverse load q. When the maximum deflection wm of the circular membrane under the uniformly distributed transverse load q is equal to the sum of the initial parallel gap g and the initial compressed length ∆l, as shown in Figure 1c, then the circular membrane will just come into contact with the rigid flat circular plate. As the load q intensifies, the deflected circular membrane will push the rigid flat circular plate to move, resulting in a further compression of the spring, especially forming a contact radius b between the deflected circular membrane and the rigid flat circular plate, as shown in Figure 1d, where the second dashed lines represent the position after the rigid flat circular plate is moved by ∆l. It should be stated in particular that only the case of frictionless plate/membrane contact is considered here; that is, the friction force on the contact interface between the deflected circular membrane and the rigid flat circular plate is neglected. Obviously, if q = 0 and ∆l = 0, the rigid flat circular plate can be reset to its initial position by the spring, so it can be called a spring-reset plate. The situation shown in Figure 1d is the so-called plate/membrane elastic contact problem, where its limit state of b → 0 is the situation shown in Figure 1c, and its limit state of k → ∞ is the so-called plate/membrane rigid contact problem. It should be noted here that the direction of the uniformly distributed transverse load q is assumed to be always perpendicular to the polar plane (r, φ) in which the geometric middle plane of the initially flat circular membrane is located, and it is always independent of the deformation of the circular membrane, as shown in Figure 1b–d.
Figure 1.
Sketch of the elastic behavior from non-contact to contact between the circular membrane and the rigid flat circular plate: (a) The plate/membrane initial state; (b) the plate/membrane non-contact state; (c) the limit state when the membrane is just in contact with the plate; (d) the plate/membrane elastic contact state.
The plate/membrane interaction force between the rigid flat circular plate moved by (wm − g) and the circular membrane under a uniformly distributed transverse load q can be analyzed, as shown in Figure 2, where q′ represents the plate/membrane interaction force per unit area. Obviously, since the circular membrane in r ≤ b is parallel to the polar plane (r, φ), the rotation angle of the membrane (it is assumed to be denoted by θ) at r = b is equal to zero. Therefore, the equilibrium condition of the upward and downward forces in the region of r ≤ b is πb2 q′ = πb2 q, that is, q′ = q. In addition, the equilibrium condition of the upward and downward forces acting on the rigid flat circular plate moved by (wm − g) is πb2 q′ = k(wm − g − ∆l).
Figure 2.
An anatomical view of the plate/membrane interaction force.
Now, let us take a free body with radius r (b ≤ r ≤ a) from the central portion of the circular membrane that is in contact with the rigid flat circular plate moved by (wm − g), as shown in Figure 3, where σr denotes the radial stress, σrh is the membrane force acting on the boundary of the radius r, and θ denotes the meridional rotation angle of the membrane at radius r.
Figure 3.
Sketch of the free body with radius r (b ≤ r ≤ a).
In Figure 3, the static equilibrium of the free body subjected to the uniformly distributed transverse loads q is governed in the vertical direction perpendicular to the polar plane (r, φ) by
where b ≤ r ≤ a. After considering the condition of q′ = q, Equation (1) can be reduced to
where
After substituting Equation (3) into Equation (2), the out-of-plane equilibrium equation can be written as
If the circumferential stress is denoted by σt, the in-plane equilibrium equation can be written as [,]
The so-called geometric equations refer to the mathematical equations that describe the relationships between strains and displacements. The radial geometric equation used in [,] is derived based on the assumption of a small rotation angle of a membrane. In fact, it can also be derived without using the assumption of a small rotation angle of a membrane, which is detailed as follows. Suppose that the radial and circumferential strains are denoted, respectively, by er and et, and the radial and transverse displacements are denoted, respectively, by u and w. A radial micro straight-line element with length ∆r is assumed to be located initially in the polar plane (r, φ), and after deformation, it becomes a meridional micro curve element , as shown in Figure 4, where the radial coordinate of point A′ is r, the radial displacement from point A′ to the point A along the radial direction is equal to u (i.e., the radial displacement of point A′ is u(r)), and the transverse displacement from point A′ to point A along the transverse direction is equal to w (i.e., the transverse displacement of point A′ is w(r)). Therefore, the radial and transverse coordinates of point A are r + u and w, respectively. Let us expand the radial displacement u(r + ∆r) and transverse displacement w(r + ∆r) of point B′ into the Taylor series and ignore the higher-order terms therein
and
If the radial displacement u(r) and transverse displacement w(r) of point A′ are abbreviated as u and w, then the radial and transverse coordinates of point B′ can be written as u + ∆r du/dr and w + ∆r dw/dr, respectively, as shown in Figure 4.
Figure 4.
Sketch of the radial geometric relationship between the micro straight-line element and the micro curve element .
It can be found from Figure 4 that the length of the straight line is , while the length of the curve may be given by
Therefore, according to the definition of linear strain, the radial line strain for the radial deformation from the micro straight-line element to the micro curve element may be written as
After eliminating ∆r from Equation (9), the radial geometric equation, the relationship between the radial strain and the radial and transverse displacements, may be written as
It can be seen from the above derivation of Equation (10) that the new radial geometric equation, Equation (10), is independent of the assumption of a small rotation angle of a membrane.
Since the circumferential geometric equation used in [,] is independent of the assumption of a small rotation angle of a membrane, it is still used here, given by
The relationships between the stresses and strains of the membrane material used are assumed to follow Hooke’s law
and
where E is the Young’s modulus of elasticity of the used membrane material.
After eliminating er and et from Equations (10)–(13), it is found that
and
By means of Equations (5), (14) and (15), one has
Substituting the u in Equation (16) into Equation (14) yields
Therefore, the radial stress σr and transverse displacement w in the plate/membrane non-contact region of b ≤ r ≤ a can be determined by simultaneously solving Equations (4) and (17).
On the other hand, since dw/dr = 0 in the plate/membrane contact region of 0 ≤ r ≤ b, Equations (10) and (11) can be reduced to
and
Similarly, using dw/dr = 0 in Equations (14) and (15) can be reduced to
and
Substituting Equations (20) and (21) into Equation (5) yields
The general solution of the Euler equation for Equation (22) may be written as
where C1 and C2 are two undetermined constants. Obviously, C2 ≡ 0, since u = 0 at r = 0. If the radial displacement u at r = b is denoted by u(b), then C1 = u(b)/b due to C2 ≡ 0; see Equation (23). This results in
where both b and u(b) need to be further determined. When substituting Equation (24) into Equations (18)–(21), then
and
Equations (25) and (26) indicate that in the plate/membrane contact region of 0 ≤ r ≤ b, both strains and stresses are uniformly distributed, and the radial strain (or stress) is always equal to the circumferential strain (or stress).
Obviously, on the two sides of the inter-connecting circle of r = b, the stresses, strains, and displacements in the circular membrane are continuous at the inter-connecting circle of r = b. Therefore, the boundary conditions and continuous conditions, under which the frictionless elastic contact problem under consideration can be solved, are
and
where the subscript A refers to the plate/membrane non-contact region of b ≤ r ≤ a, and the subscript B refers to the plate/membrane contact region of 0 ≤ r ≤ b. In addition, the equilibrium conditions in Figure 2 or Figure 3 must also be used; that is, q′ = q and πb2 q′ = k(wm − g − ∆l), resulting in
where wm = w(b).
The following nondimensionalization is introduced
where b ≤ r ≤ a, i.e., α ≤ x ≤ 1. Further, Equations (4), (17) and (27)–(31) can be transformed, from Equation (32), into
and
Under conditions (35)–(39), the dimensionless radial stress Sr and deflection W can be determined by solving Equations (33) and (34) simultaneously. The power series method is a feasible and commonly used approach for solving differential equations analytically []. Obviously, Sr and W vary continuously within the interval α ≤ x ≤ 1. This implies that within the interval α ≤ x ≤ 1, Sr and W should be able to be analytically expressed in terms of the independent variable x. Therefore, Sr and W can be first expanded into the power series and substituted into Equations (33) and (34). If, under conditions (35)–(39), all the coefficients of the power series can be determined, then the analytical expressions of Sr and W can be determined; otherwise, the power series method is not applicable here. Now, let us expand Sr and W into the power series of the x − β (where β = (1 + α)/2, and 2β − 1 ≤ x ≤ 1 due to α ≤ x ≤ 1), i.e.,
and
For convenience, Equations (40) and (41) can be reduced to the following by introducing X = x − β (where β − 1 ≤ X ≤ 1 − β due to 2β − 1 ≤ x ≤ 1)
and
Moreover, Equations (33)–(39) should be transformed into
The power series coefficients ci (i = 2, 3, 4, …) can be expressed in polynomials with regard to the undetermined constants c0, c1, and β, which can be easily (but very tediously) achieved: first substitute Equation (42) into Equation (51), combine like terms, and then let all the coefficients of the like terms be zero simultaneously (resulting in a system of equations consisting of an infinite number of algebraic equations); finally, solve this system of algebraic equations (resulting in the recursive formulas for the power series coefficients ci (i = 2, 3, 4, …)). Due to the complexity of the frictionless elastic contact problem under consideration here, a general form of recursive formulas cannot be given, which is also what is usually encountered when solving complex problems with the power series methods for differential equations. So, how many recursive formulas need to be derived depends on how many recursive formulas are needed, and thus, only the recursive formulas for the power series coefficients ci (i = 2, 3, 4, …, 8) are shown in Appendix A. Moreover, the power series coefficients di (i = 1, 2, 3, …) can be expressed in polynomials with regard to c0, c1, and β by substituting Equations (42) and (43) into Equation (44), as shown in Appendix B. The remaining coefficient d0 depends on the undetermined constants c0, c1, and β; therefore, it is a dependent, undetermined constant.
The boundary conditions (Equations (46) and (47)), continuous conditions (Equations (48) and (49)), and equilibrium condition (Equation (50)) are used to determine the undetermined constants c0, c1, β, and d0, which are detailed as follows. From Equation (43), Equations (46) and (50) give
and
Equation (53) minus Equation (52) yields
Equations (42) and (47)–(49) give
Therefore, under the condition that the values of a, h, E, v, and q are known in advance, the undetermined constants c0, c1, and β (β = (1 + α)/2 = (a + b)/2a) can be determined by simultaneously solving Equations (54), (55) and (58). Then, the undetermined constant d0 can be determined by Equation (52) with the known c0, c1, and β values. Since β = (1 + α)/2 = (a + b)/2a and β and a are known, the radial displacement u(b) can be determined using Equation (57) with the known b.
After the undetermined constants c0, c1, α, and d0 are determined, since the power series coefficients ci (i = 2, 3, 4, …,) and di (i = 1, 2, 3, …,) are then all known, the expressions of Sr and W can be determined. From Equations (32), (40) and (41), and considering β = (1 + α)/2 = (a + b)/2a, the dimensional analytical expressions σr(r) and w(r) can finally be written as
and
Then, with the known σr(r) and w(r), the other analytical expressions σt(r), u(r), er(r), and et(r) can be easily obtained from Equations (5), (16), (10) and (11). The elastic contact problem dealt with here is, thus, solved analytically.
In addition, it can be seen from Equation (26) and Figure 1d that the maximum stress and deflection, σm and wm, can be determined by substituting r = b into Equations (59) and (60):
and
3. Results and Discussion
By comparing the work presented in [] with that presented in [] and this paper, it can be seen that Equation (31) in [] is wrong. Therefore, the analytical solution presented in [] is actually a wrong solution, while the analytical solution presented in [] is actually the only correct existing solution so far. Further, comparing the work presented in [] with the work presented in this paper, it can be seen that the radial geometric equation used in [] is improved in this paper. Therefore, relative to the analytical solution presented in [], the analytical solution derived in Section 2 in this paper can be called an improved analytical solution. In this section, some important issues will be discussed, such as the convergence and validity of the improved analytical solution derived in Section 2, the difference between the analytical solutions before and after improvement, and the effect of changing some important structural parameters on the improved analytical solution derived in Section 2.
3.1. The Convergence of the Improved Analytical Solution Derived in Section 2
It can be seen from Equations (59) and (60) that the analytical solutions σr(r) and w(r) are in the form of a power series. It is well known that the convergence of a power series solution must be theoretically or numerically analyzed before its application. However, as can be seen in Appendix A and Appendix B, the expressions of the power series coefficients ci (i = 2, 3, 4, …,) and di (i = 1, 2, 3, …,) are so complex that it is difficult to analyze the convergence of σr(r) or w(r) theoretically, so only a numerical analysis method can be used.
The geometric and physical parameters of the plate/membrane elastic contact problem under consideration are assumed to be as follows. The radius, thickness, Poisson’s ratio, and Young’s modulus of elasticity of the circular membrane are a = 70 mm, h = 0.3 mm, v = 0.45, and E = 3.01 MPa, respectively. The stiffness coefficient and initial compressed length of the spring are k = 0.5 N/mm and ∆l = 5 mm, respectively. The initial parallel gap between the initially flat circular membrane and the rigid flat circular plate is g = 5 mm. The uniformly distributed transverse loads q applied to the circular membrane are assumed to take 0.002 MPa, 0.008 MPa, and 0.18 MPa, respectively.
Therefore, it can be found from Equation (32) that K = 0.052875, L = 0.071429, G = 0.071429, and Q = 0.155039 when q = 0.002 MPa, Q = 0.620155 when q = 0.008 MPa, and Q = 1.395349 when q = 0.18 MPa. In order to calculate the precise numerical values of the undetermined constants c0, c1, β, and d0, Equations (54), (55) and (58) are transformed into
The numerical calculations of the undetermined constants c0, c1, β, and d0 will start with the parameter n taking 2. First, the values of the undetermined constants c0, c1, and β are determined from Equations (63)–(65), and then, using the known values of c0, c1, and β, the value of the undetermined constant d0 is determined from Equation (66). The results of the numerical calculations are listed in Table S1 in the Supplementary Materials for q = 0.002 MPa, in Table S2 in the Supplementary Materials for q = 0.008 MPa, and in Table S3 in the Supplementary Materials for q = 0.018 MPa. The variations of the undetermined constants β, c0, c1, and d0 with the parameter n are shown in Figure 5, Figure 6, Figure 7 and Figure 8, respectively, where Figure 5a, Figure 6a, Figure 7a and Figure 8a are the cases for q = 0.002 MPa, Figure 5b, Figure 6b, Figure 7b and Figure 8b are the cases for q = 0.008 MPa, and Figure 5c, Figure 6c, Figure 7c and Figure 8c are the cases for q = 0.018 MPa.
Figure 5.
The variations of the undetermined constant β with the parameter n: (a) The case for q = 0.002 MPa; (b) the case for q = 0.008 MPa; (c) the case for q = 0.018 MPa.
Figure 6.
The variations of the undetermined constant c0 with the parameter n: (a) The case for q = 0.002 MPa; (b) the case for q = 0.008 MPa; (c) the case for q = 0.018 MPa.
Figure 7.
The variations of the undetermined constant c1 with the parameter n: (a) The case for q = 0.002 MPa; (b) the case for q = 0.008 MPa; (c) the case for q = 0.018 MPa.
Figure 8.
The variations of the undetermined constant d0 with the parameter n: (a) The case for q = 0.002 MPa; (b) the case for q = 0.008 MPa; (c) the case for q = 0.018 MPa.
It can be seen from Figure 5, Figure 6, Figure 7 and Figure 8 that the convergence of the undetermined constants β, c0, c1, or d0 is affected by the magnitude of the uniformly distributed transverse loads q applied onto the circular membrane. Taking Figure 5 as an example, when q = 0.002 MPa, the undetermined constant β reaches saturation at approximately n = 15; when q = 0.008 MPa, it reaches saturation at approximately n = 25; and when q = 0.018 MPa, it reaches saturation at approximately n = 35. The trend that the n value increases with an increase in the load q is also clearly shown in Figure 6, Figure 7 and Figure 8. As can be seen from Figure 5, Figure 6, Figure 7 and Figure 8, in order to calculate the precise numerical values of the undetermined constants β, c0, c1, and d0, when q = 0.002 MPa, the parameter n in Equations (63)–(66) should take at least 15; when q = 0.008 MPa, it should take at least 25; and when q = 0.018 MPa, it should take at least 35.
Now, let us investigate the convergence of the analytical solutions σr(r) and w(r) on the interval b ≤ r ≤ a. It is obvious that as long as σr(r) and w(r) are convergent when r = b and r = a, then σr(r) and w(r) are convergent on the interval b ≤ r ≤ a. From Equations (59) and (60), it can be found that when r = b and r = a, σr(b) and w(b) can be written as
and
and σr(a) and w(a) can be written as
and
Therefore, it can be seen from Equations (67)–(70) that as long as ci (β − 1)i and di(β − 1)i converge as the parameter i gradually increases from zero, then σr(b) and w(b) are convergent; additionally, as long as ci (1 − β)i and di(1 − β)i converge as the parameter i gradually increases from zero, then σr(a) and w(a) are convergent.
For q = 0.002 MPa, the numerical calculation values of ci (β − 1)i, di(β − 1)i, ci (1 − β)i, and di(1 − β)i are listed in Table S4 in the Supplementary Materials, where the numerical values of the undetermined constants β, c0, c1, and d0 used are β = 0.673057, c0 = 0.113957, c1 = −0.013409, and d0 = 0.187881; see Table S1 in the Supplementary Materials. For q = 0.008 MPa, the numerical calculation values of ci (β − 1)i, di(β − 1)i, ci (1 − β)i, and di(1 − β)i are listed in Table S5 in the Supplementary Materials, where the numerical values of the undetermined constants β, c0, c1, and d0 used are β = 0.636168, c0 = 0.364218, c1 = −0.026723, and d0 = 0.318717; see Table S2 in the Supplementary Materials. For q = 0.018 MPa, the numerical calculation values of ci (β − 1)i, di(β − 1)i, ci (1 − β)i, and di(1 − β)i are listed in Table S6 in the Supplementary Materials, where the numerical values of the undetermined constants β, c0, c1, and d0 used are β = 0.607791, c0 = 0.780118, c1 = −0.032533, and d0 = 0.407823; see Table S3 in the Supplementary Materials. When the parameter i gradually increases from zero, the variations of ci (β − 1)i, di(β − 1)i, ci (1 − β)i, and di(1 − β)i with i are shown in Figure 9 for q = 0.002 MPa, in Figure 10 for q = 0.008 MPa, and in Figure 11 for q = 0.018 MPa.

Figure 9.
The variations of ci (β − 1)i, di(β − 1)i, ci (1 − β)i, and di(1 − β)i with the parameter i when a = 70 mm, h = 0.3 mm, v = 0.45, E = 3.01 MPa, g = 5 mm, k = 0.5 N/mm, ∆l = 5 mm, and q = 0.002 MPa, and the parameter i takes different values: (a) The variation of ci (β − 1)i with i; (b) the variation of di(β − 1)i with i; (c) the variation of ci (1 − β)i with i; (d) the variation of di(1 − β)i with i.

Figure 10.
The variations of ci (β − 1)i, di(β − 1)i, ci (1 − β)i, and di(1 − β)I with the parameter i when a = 70 mm, h = 0.3 mm, v = 0.45, E = 3.01 MPa, g = 5 mm, k = 0.5 N/mm, ∆l = 5 mm, and q = 0.008 MPa, and the parameter i takes different values: (a) The variation of ci (β − 1)i with i; (b) the variation of di(β − 1)i with i; (c) the variation of ci (1 − β)i with i; (d) the variation of di(1 − β)i with i.

Figure 11.
The variations of ci (β − 1)i, di(β − 1)i, ci (1 − β)i, and di(1 − β)i with the parameter i when a = 70 mm, h = 0.3 mm, v = 0.45, E = 3.01 MPa, g = 5 mm, k = 0.5 N/mm, ∆l = 5 mm, and q = 0.018 MPa, and the parameter i takes different values: (a) The variation of ci (β − 1)i with i; (b) the variation of di(β − 1)i with i; (c) the variation of ci (1 − β)i with i; (d) the variation of di(1 − β)i with i.
It can be seen from Figure 9 that when q = 0.002 MPa, as the parameter i gradually increases from zero, ci (β − 1)i, di(β − 1)i, ci (1 − β)i, and di(1 − β)i are all convergent, i.e., σr(b) and w(b) and σr(a) and w(a) are all convergent. This suggests that when q = 0.002 MPa, the analytical solutions σr(r) and w(r) are all convergent on the interval b ≤ r ≤ a (i.e., 24.22798 mm ≤ r ≤ 70 mm due to β = 0.673057; see Table S1 in the Supplementary Materials). From Figure 10, it can be seen that when q = 0.008 MPa, as the parameter i gradually increases from zero, ci (β − 1)i, di(β − 1)i, ci (1 − β)i, and di(1 − β)i are all convergent, i.e., σr(b) and w(b) and σr(a) and w(a) are all convergent. This suggests that when q = 0.008 MPa, the analytical solutions σr(r) and w(r) are all convergent on the interval b ≤ r ≤ a (i.e., 19.06352 mm ≤ r ≤ 70 mm due to β = 0.636168; see Table S2 in the Supplementary Materials). Moreover, it can be seen from Figure 11 that when q = 0.018 MPa, as the parameter i gradually increases from zero, ci (β − 1)i, di(β − 1)i, ci (1 − β)i, and di(1 − β)i are all convergent, i.e., σr(b) and w(b) and σr(a) and w(a) are all convergent. This suggests that when q = 0.018 MPa, the analytical solutions σr(r) and w(r) are all convergent on the interval b ≤ r ≤ a (i.e., 15.09074 mm ≤ r ≤ 70 mm due to β = 0.607791; see Table S3 in the Supplementary Materials).
Therefore, it can be concluded from Figure 9, Figure 10 and Figure 11 that for the specific problem where the radius, thickness, Poisson’s ratio, and Young’s modulus of elasticity of the circular membrane are, respectively, a = 70 mm, h = 0.3 mm, v = 0.45, and E = 3.01 MPa, the stiffness coefficient and initial compressed length of the spring are, respectively, k = 0.5 N/mm and ∆l = 5 mm, and the initial parallel gap between the initially flat circular membrane and the rigid flat circular plate is g = 5 mm; the condition that the analytical solutions σr(r) and w(r) are both convergent is that the uniformly distributed transverse loads q applied to the circular membrane are less than or equal to 0.018 MPa.
3.2. The Validity of the Improved Analytical Solution Derived in Section 2
The validity of the improved analytical solution derived in Section 2 can be proven in the following way. It is obvious that if the uniformly distributed transverse loads q remain constant, then, when the spring stiffness coefficient k gradually approaches zero, the deflection shape of the circular membrane in the plate/membrane elastic contact problem will gradually approach the deflection shape when the same circular membrane is subjected only to the uniformly distributed transverse loads q (i.e., at this time, the rigid flat circular plate in Figure 1 is assumed to be removed). At the same time, if the uniformly distributed transverse loads q remain constant, then, when the spring stiffness coefficient k gradually approaches infinity, the deflection shape of the circular membrane in the plate/membrane elastic contact problem will gradually approach the deflection shape when the same circular membrane is in the plate/membrane rigid contact state under the uniformly distributed transverse loads q (i.e., at this time, the rigid flat circular plate in Figure 1 is assumed not to produce displacement under the external forces).
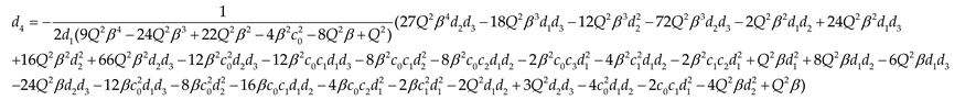
The calculation result based on the above-mentioned process is shown in Figure 12, where the four solid lines are the deflection curves of the circular membrane in the plate/membrane elastic contact state, the dashed line is the deflection curve of the same circular membrane in the plate/membrane rigid contact state, and the dotted line is the deflection curves of the same circular membrane subjected only to the action of q = 0.008 MPa. In Figure 12, the four solid lines are calculated by the improved analytical solution derived in Section 2 (where the relevant parameters used are, respectively, a = 70 mm, h = 0.3 mm, v = 0.45, E = 3.01 MPa, g = 5 mm, ∆l = 5 mm, and q = 0.008 MPa, and the spring stiffness coefficient k is equal to 0.05 N/mm, 1 N/mm, 5 N/mm, and 10,000 N/mm, respectively), where the dashed line is calculated by the well-established analytical solution of the plate/membrane rigid contact problem presented in [] (the relevant parameters used are a = 70 mm, h = 0.3 mm, v = 0.45, E = 3.01 MPa, g = 5 mm, and q = 0.008 MPa, respectively), and the dotted line is calculated by the well-established analytical solution of the circular membrane problem presented in [] (the relevant parameters used are a = 70 mm, h = 0.3 mm, v = 0.45, E = 3.01 MPa, and q = 0.008 MPa, respectively).
Figure 12.
Sketch of the deflection curves in the plate/membrane elastic contact state (the solid lines) approaching the deflection curve in the plate/membrane rigid contact state (the dashed line) or the deflection curve in the plate/membrane non-contact state (the dotted line) as the spring stiffness coefficient k gradually increases from 0.05 N/mm to 10,000 N/mm or gradually decreases from 10,000 N/mm to 0.05 N/mm.
It can be seen by comparing the works presented in [,] and this paper, that the equations governing the elastic behavior of the circular membrane (i.e., the out-of-plane and in-plane equilibrium equations, the geometric equations, and the physical equations) used in [,] and in this paper are the same, while the conditions of solving the governing equations used are different. However, if the spring stiffness coefficient k takes infinity, then the solving conditions used in this paper will be equivalent to those used in [], and if the spring stiffness coefficient k takes zero, then the solving conditions used in this paper will be equivalent to those used in []. This implies that under the same conditions, when k gradually approaches infinity or zero (obviously, k cannot be equal to infinity or zero directly), the improved analytical solution derived in Section 2 should be equivalent to the analytical solution presented in [] or []. It can be seen from Figure 12 that the improved analytical solution derived in Section 2 can perfectly approach the two analytical solutions presented in [,], which, to some extent, indicates that it should be valid.
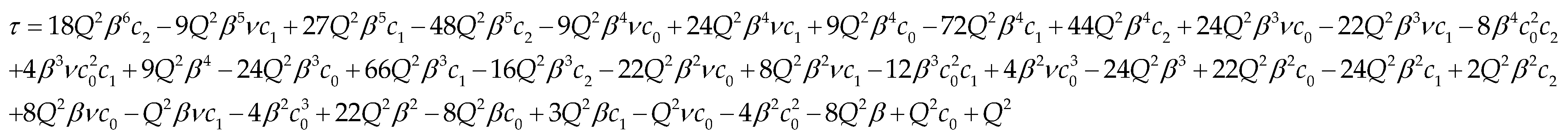
Similarly, the validity of the improved analytical solution derived in Section 2 can also be proven in the following way. It is obvious that as the uniformly distributed transverse loads q gradually decrease to zero, the deflection shape of the circular membrane in plate/membrane elastic contact state will gradually change into the deflection shape of the same circular membrane in the plate/membrane non-contact state. In other words, as the uniformly distributed transverse loads q continuously decrease to zero, the change in the deflection curve shape of the circular membrane from the plate/membrane elastic contact state to the plate/membrane non-contact state should be continuous, as shown in Figure 13; in this figure, the four dotted lines (in top-down order) are the deflection curves of the circular membrane in the plate/membrane non-contact state when the uniformly distributed transverse loads q are equal to 20 Pa, 50 Pa, 100 Pa, and 163 Pa, respectively, the four solid lines (in top-down order) are the deflection curves of the circular membrane in the plate/membrane elastic contact state when the uniformly distributed transverse loads q are equal to180 Pa, 250 Pa, 450 Pa, and 650 Pa, respectively, and the dashed line is the result of the finite element calculation of the deflection curve of the circular membrane in the plate/membrane elastic contact state when the uniformly distributed transverse load q is equal to 650 Pa. In Figure 13, the four dotted lines (in top-down order) are calculated using the well-established analytical solution of the circular membrane problem presented in [] (where the relevant parameters used are a = 70 mm, h = 0.3 mm, v = 0.45, and E = 3.01 MPa, with q = 20 Pa, 50 Pa, 100 Pa, and 163 Pa, respectively), the four solid lines (in top-down order) are calculated using the improved analytical solution derived in Section 2 (where the relevant parameters used are a = 70 mm, h = 0.3 mm, v = 0.45, E = 3.01 MPa, g = 5 mm, ∆l = 5 mm, and k = 0.5 N/mm, with q = 180 Pa, 250 Pa, 450 Pa, and 650 Pa, respectively), and the dashed line is calculated using ABAQUS 2021/Explicit (where the relevant parameters used are a = 70 mm, h = 0.3 mm, v = 0.45, E = 3.01 MPa, g = 5 mm, ∆l = 5 mm, and k = 0.5 N/mm, with q = 650 Pa, respectively; the Membrane Element M3D4R is employed, and the circular membrane is uniformly cut into 30 parts along the radial direction and 100 parts along the circumferential direction).
Figure 13.
Sketch of the deflection curves in plate/membrane elastic contact state (the four solid lines) gradually changing into the deflection curves in the plate/membrane non-contact state (the four dotted lines) as the uniformly distributed transverse load q gradually decreases, where the four dotted lines (in top-down order) correspond to q = 20 Pa, q = 50 Pa, q = 100 Pa, and q = 163 Pa, respectively; the four solid lines (in top-down order) correspond to q = 180 Pa, q = 250 Pa, q = 450 Pa, and q = 650 Pa, respectively, and the dashed line is the result of the finite element calculation when q = 650 Pa.
As can be seen from Figure 13, the deflection shape change from the plate/membrane elastic contact state to the plate/membrane non-contact state is perfectly continuous, and the result of the finite element analysis agrees very well with the analytical result, which, to some extent, indicates that the improved analytical solution derived in Section 2 should be valid.
3.3. A Comparison Between the Analytical Solutions Before and After Improvement
On the basis of the existing studies [,], the analytical solution of the plate/membrane elastic contact problem (see Figure 1) is improved in this study. Since the analytical solution presented in [] is a wrong solution (see Section 1 for details), the analytical solution presented in [] is the only correct analytical solution for this plate/membrane elastic contact problem that is available in the literature. Therefore, the improved analytical solution derived in Section 2 only needs to be compared with the previous analytical solution derived in [].
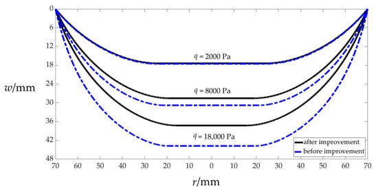
Figure 14 shows the deflection shapes of the circular membrane in the plate/membrane elastic contact state when the uniformly distributed transverse loads q, respectively, take 0.002 MPa, 0.008 MPa, and 0.018 MPa; for this, the three solid lines were calculated using the improved analytical solution derived in Section 2, and the three dot-dashed lines were calculated using the previous analytical solution for the plate/membrane elastic contact problem derived in []; the relevant parameters used were a = 70 mm, h = 0.3 mm, v = 0.45, E = 3.01 MPa, g = 5 mm, ∆l = 5 mm, and k = 0.5 N/mm, respectively. It can be seen from Figure 14 that when the uniformly distributed transverse load q is equal to 0.008 MPa, the difference in the deflection shapes becomes obvious, especially when q = 0.018 MPa.
Figure 14.
A comparison between the analytical solutions before and after improvement when the uniformly distributed transverse load q is equal to 0.002 MPa, 0.008 MPa, and 0.018 MPa, respectively, where the analytical solution after improvement refers to the improved analytical solution derived in Section 2 in this paper, and the analytical solutions before improvement refers to the analytical solution derived in [].
Figure 15 shows the variations in the maximum deflection wm with uniformly distributed transverse loads q, where the solid line was calculated using the improved analytical solution derived in Section 2, the dot-dashed line was calculated using the analytical solution of the plate/membrane elastic contact problem derived in [], and the relevant parameters used were, respectively, a = 70 mm, h = 0.3 mm, v = 0.45, E = 3.01 MPa, g = 5 mm, ∆l = 5 mm, and k = 0.5 N/mm, with the uniformly distributed transverse loads q ranging from 164 Pa to 18,000 Pa; the numerical calculation results are listed in Tables S7 and S8 in the Supplementary Materials. As can be seen from Equation (4) in [], the total capacitance C of the sensor proposed in [,] is in a one-to-one correspondence with the maximum deflection wm. Therefore, the calculation accuracy of the maximum deflection wm is crucial for the accurate determination of the total capacitance C of the sensor. However, it can be seen from Figure 15 that the difference between the values of the maximum deflection wm under the same uniformly distributed transverse loads q increases with the increase in the uniformly distributed transverse loads q. This suggests that the improved analytical solution derived in Section 2 is superior to the analytical solution before the improvement derived in []. Therefore, the improved analytical solution derived in Section 2 should be used preferentially when designing the parallel plate variable capacitor-based circular capacitive wind pressure sensor proposed in [,].
Figure 15.
Variations in the maximum deflection wm with the uniformly distributed transverse load q, where the solid line is the result calculated by the improved analytical solution derived in Section 2, and the dot-dashed line is the result calculated by the analytical solutions before improvement derived in [].
The difference shown in Figure 14 and Figure 15 is mainly caused by the difference between the membrane governing equations used in Section 2 and those used in [,], as shown in Table 1. As can be seen from Table 1, in comparison with the membrane equation used in [], only the out-of-plane equilibrium equation is improved in [], while in this paper, both the out-of-plane equilibrium equation and the radial geometric equation are improved.
Table 1.
The membrane governing equations used in Section 2 and in [,].
3.4. The Effect of Changing the Structural Parameters on the Improved Analytical Solution
In this section, the effect of changing some of the geometric and physical parameters on the improved analytical solution of the plate/membrane elastic contact problem derived in Section 2 is investigated. The geometric and physical parameters, which will be changed, mainly include the radius a, thickness h, Poisson’s ratio v, and Young’s modulus of elasticity E of the circular membrane, as well as the stiffness coefficient k of the spring. By changing these structural parameters one by one, the effect of such changes on the relationship between the maximum deflection wm and the uniformly distributed transverse loads q (hereinafter abbreviated as the q–wm relationship) can be investigated.
3.4.1. The Effect of Changing the Radius a on the q–wm Relationship
In this section, the values of the relevant structural parameters are, respectively, a = 70 mm, 80 mm and 90 mm, h = 0.3 mm, v = 0.45, E = 3.01 MPa, g = 5 mm, ∆l = 5 mm, and k = 0.5 N/mm, and the uniformly distributed transverse load q takes different values. The numerical calculation results are listed in Table S8 in the Supplementary Materials, where a = 70 mm, in Table S9 in the Supplementary Materials, where a = 80 mm, and in Table S10 in the Supplementary Materials, where a = 90 mm. The effect of changing the radius a on the q–wm relationship is shown in Figure 16. It can be seen from Figure 16 that under the same uniformly distributed transverse loads q, the increase in the radius a results in an increase in the maximum deflection wm.
Figure 16.
Variations in the maximum deflection wm with the uniformly distributed transverse load q, where the solid line is the result calculated by the improved analytical solution derived in Section 2, and the dot-dashed line is the result calculated by the analytical solutions before improvement.
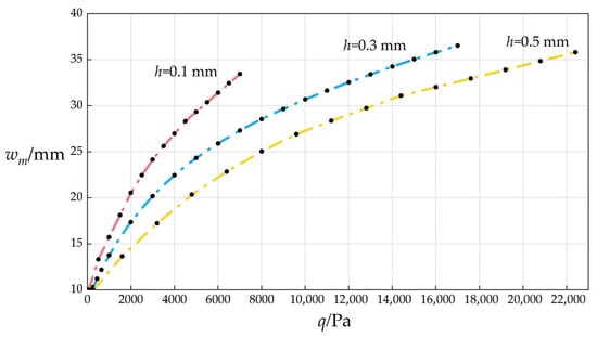
3.4.2. The Effect of Changing the Thickness h on the q–wm Relationship
In this section, the values of the relevant structural parameters are, respectively, a = 70 mm, h = 0.1 mm, 0.3 mm, and 0.5 mm, v = 0.45, E = 3.01 MPa, g = 5 mm, ∆l = 5 mm, and k = 0.5 N/mm, and the uniformly distributed transverse load q takes different values. The numerical calculation results are listed in Table S8 in the Supplementary Materials, where h = 0.3 mm, in Table S11 in the Supplementary Materials, where h = 0.1 mm, and in Table S12 in the Supplementary Materials, where h =0.5 mm. The effect of changing the thickness h on the q–wm relationship is shown in Figure 17. It can be seen from Figure 17 that under the same uniformly distributed transverse load q, the increase in the thickness h results in a decrease in the maximum deflection wm.
Figure 17.
Variations in the maximum deflection wm with the uniformly distributed transverse load q, where the solid line is the result calculated by the improved analytical solution derived in Section 2, and the dot-dashed line is the result calculated by the analytical solutions before improvement.
3.4.3. The Effect of Changing the Young’s Modulus of Elasticity E on the q–wm Relationship
In this section, the values of the relevant structural parameters are, respectively, a = 70 mm, h = 0.3 mm, v = 0.45, E = 3.01 MPa, 5 MPa and 7.84 MPa, g = 5 mm, ∆l = 5 mm, and k = 0.5 N/mm, and the uniformly distributed transverse load q takes different values. The numerical calculation results are listed in Table S8 in the Supplementary Materials, where E = 3.01 MPa, in Table S13 in the Supplementary Materials, where E = 5 MPa, and in Table S14 in the Supplementary Materials, where E = 7.84 MPa. The effect of changing the Young’s modulus of elasticity E on the q–wm relationship is shown in Figure 18. It can be seen from Figure 18 that under the same uniformly distributed transverse load q, the increase in the Young’s modulus of elasticity E results in a decrease in the maximum deflection wm.
Figure 18.
Variations in the maximum deflection wm with the uniformly distributed transverse load q, where the solid line is the result calculated by the improved analytical solution derived in Section 2, and the dot-dashed line is the result calculated by the analytical solutions before improvement.
3.4.4. The Effect of Changing the Poisson’s Ratio v on the q–wm Relationship
In this section, the values of the relevant structural parameters are, respectively, a = 70 mm, h = 0.3 mm, v = 0.15, 0.3 and 0.45, E = 3.01 MPa, g = 5 mm, ∆l = 5 mm, and k = 0.5 N/mm, and the uniformly distributed transverse load q takes different values. The numerical calculation results are listed in Table S8 in the Supplementary Materials, where v = 0.45, in Table S15 in the Supplementary Materials, where v = 0.15, and in Table S16 in the Supplementary Materials, where v = 0.3. The effect of changing the Poisson’s ratio v on the q–wm relationship is shown in Figure 19. It can be seen from Figure 19 that under the same uniformly distributed transverse load q, the increase in the Poisson’s ratio v results in a decrease in the maximum deflection wm.
Figure 19.
Variations in the maximum deflection wm with the uniformly distributed transverse load q, where the solid line is the result calculated by the improved analytical solution derived in Section 2, and the dot-dashed line is the result calculated by the analytical solutions before improvement.
3.4.5. The Effect of Changing the Stiffness Coefficient k on the q–wm Relationship
In this section, the values of the relevant structural parameters are, respectively, a = 70 mm, h = 0.3 mm, v = 0.45, E = 3.01 MPa, g = 5 mm, ∆l = 5 mm, k = 0.1 N/mm, 0.5 N/mm, and 1 N/mm, and the uniformly distributed transverse load q takes different values. The numerical calculation results are listed in Table S8 in the Supplementary Materials, where k = 0.5 N/mm, in Table S17 in the Supplementary Materials, where k = 0.1 N/mm, and in Table S18 in the Supplementary Materials, where k = 1 N/mm. The effect of changing the stiffness coefficient k on the q–wm relationship is shown in Figure 20. It can be seen from Figure 20 that under the same uniformly distributed transverse load q, the increase in the stiffness coefficient k results in a decrease in the maximum deflection wm.
Figure 20.
Variations in the maximum deflection wm with the uniformly distributed transverse load q, where the solid line is the result calculated by the improved analytical solution derived in Section 2, and the dot-dashed line is the result calculated by the analytical solutions before improvement.
4. Concluding Remarks
In this paper, a further theoretical study on the problem of elastic contact between a transversely uniformly loaded circular membrane and a spring-reset rigid flat circular plate is presented, where the plate/membrane elastic contact problem is reformulated and then analytically solved, and an improved analytical solution of the plate/membrane elastic contact problem is also presented. From this study, the following conclusions can be drawn.
The improved analytical solution in the form of a power series, derived in Section 2, is convergent, but its convergence rate depends on the magnitude of the uniformly distributed transverse loads applied to the circular membrane; that is, when the applied load is relatively small, it converges very quickly, but as the applied load intensifies, it converges very slowly; see Section 3.1 for details. From Section 3.2, it can be concluded that the improved analytical solution derived in Section 2 is valid. The improved analytical solution derived in Section 2 is superior to the previous analytical solution before improvement, and the difference between the analytical solutions after and before improvement increases with the increase in the uniformly distributed transverse loads applied to the circular membrane; see Section 3.3 for details. The maximum deflection in the plate/membrane elastic contact state of a circular membrane can be increased by increasing the radius of the circular membrane, but it can be decreased by increasing the thickness, Poisson’s ratio, and Young’s modulus of elasticity of the circular membrane or by increasing the stiffness coefficient of the spring; see Section 3.4 for details.
The analytical solution of the plate/membrane elastic contact problem is potentially useful for pressure sensor developments or bending-free shell designs. However, the work presented here mainly focuses on theoretical study, mainly devoted to providing the basic or general theory needed for potential applications. Therefore, further research is still needed, especially experimental studies combined with specific applications.
Finally, special attention should be paid to the limitation of this study: the analytical solution of the plate/membrane elastic contact problem presented in this paper applies only to those cases where the stress–strain relationship of the membrane material used follows the generalized Hooke’s law (i.e., the material linearity assumption), and the friction force on the contact interface between the deflected circular membrane and the rigid flat circular plate is neglected (i.e., frictionless plate/membrane elastic contact).
Supplementary Materials
The following supporting information can be downloaded at: https://www.mdpi.com/article/10.3390/math13162626/s1, Table S1: The numerical calculation results of the undetermined constants β, c0, c1 and d0 calculated by the improved analytical solution derived in Section 2, where a = 70 mm, h = 0.3 mm, v = 0.45, E = 3.01 MPa, g = 5 mm, k = 0.5 N/mm, ∆l = 5 mm, q = 0.002 MPa, and the parameter n takes different values. Table S2: The numerical calculation results of the undetermined constants β, c0, c1 and d0 calculated by the improved analytical solution derived in Section 2, where a = 70 mm, h = 0.3 mm, v = 0.45, E = 3.01 MPa, g = 5 mm, k = 0.5 N/mm, ∆l = 5 mm, q = 0.008 MPa, and the parameter n takes different values. Table S3: The numerical calculation results of the undetermined constants β, c0, c1 and d0 calculated by the improved analytical solution derived in Section 2, where a = 70 mm, h = 0.3 mm, v = 0.45, E = 3.01 MPa, g = 5 mm, k = 0.5 N/mm, ∆l = 5 mm, q = 0.018 MPa, and the parameter n takes different values. Table S4: The numerical values of ci (β − 1)i, di(β − 1)i, ci (1 − β)i and di(1 − β)i calculated by the improved analytical solution derived in Section 2, where a = 70 mm, h = 0.3 mm, v = 0.45, E = 3.01 MPa, g = 5 mm, k = 0.5 N/mm, ∆l = 5 mm, q = 0.002 MPa, and the parameter i takes different values. Table S5: The numerical calculation values of ci (β − 1)i, di(β − 1)i, ci (1 − β)i and di(1 − β)i calculated by the improved analytical solution derived in Section 2, where a = 70 mm, h = 0.3 mm, v = 0.45, E = 3.01 MPa, g = 5 mm, k = 0.5 N/mm, ∆l = 5 mm, q = 0.008 MPa, and the parameter i takes different values. Table S6: The numerical calculation values of ci (β − 1)i, di(β − 1)i, ci (1 − β)i and di(1 − β)i calculated by the improved analytical solution derived in Section 2, where a = 70 mm, h = 0.3 mm, v = 0.45, E = 3.01 MPa, g = 5 mm, k = 0.5 N/mm, ∆l = 5 mm, q = 0.018 MPa, and the parameter i takes different values. Table S7: The numerical values of β, c0, c1, d0 and wm calculated by the analytical solution derived in [], where a = 70 mm, h = 0.3 mm, v = 0.45, E = 3.01 MPa, g = 5 mm, ∆l = 5 mm, k = 0.5 N/mm, and the uniformly distributed transverse loads q ranges from 164 Pa to 18,000 Pa. Table S8: The numerical values of β, c0, c1, d0 and wm calculated by the improved analytical solution derived in Section 2, where a = 70 mm, h = 0.3 mm, v = 0.45, E = 3.01 MPa, g = 5 mm, ∆l = 5 mm, k = 0.5 N/mm, and the uniformly distributed transverse loads q ranges from 164 Pa to 18,000 Pa. Table S9: The numerical values of β, c0, c1, d0 and wm calculated by the improved analytical solution derived in Section 2, where a = 80 mm, h = 0.3 mm, v = 0.45, E = 3.01 MPa, g = 5 mm, ∆l = 5 mm, k = 0.5 N/mm, and the uniformly distributed transverse loads q ranges from 96 Pa to 10,500 Pa. Table S10: The numerical values of β, c0, c1, d0 and wm calculated by the improved analytical solution derived in Section 2, where a = 90 mm, h = 0.3 mm, v = 0.45, E = 3.01 MPa, g = 5 mm, ∆l = 5 mm, k = 0.5 N/mm, and the uniformly distributed transverse loads q ranges from 60 Pa to 6750 Pa. Table S11: The numerical values of β, c0, c1, d0 and wm calculated by the improved analytical solution derived in Section 2, where a = 70 mm, h = 0.1 mm, v = 0.45, E = 3.01 MPa, g = 5 mm, ∆l = 5 mm, k = 0.5 N/mm, and the uniformly distributed transverse loads q ranges from 54.5 Pa to 7000 Pa. Table S12: The numerical values of β, c0, c1, d0 and wm calculated by the improved analytical solution derived in Section 2, where a = 70 mm, h = 0.5 mm, v = 0.45, E = 3.01 MPa, g = 5 mm, ∆l = 5 mm, k = 0.5 N/mm, and the uniformly distributed transverse loads q ranges from 272 Pa to 22,400 Pa. Table S13: The numerical values of β, c0, c1, d0 and wm calculated by the improved analytical solution derived in Section 2, where a = 70 mm, h = 0.3 mm, v = 0.45, E = 5 MPa, g = 5 mm, ∆l = 5 mm, k = 0.5 N/mm, and the uniformly distributed transverse loads q ranges from 272 Pa to 22,400 Pa. Table S14: The numerical values of β, c0, c1, d0 and wm calculated by the improved analytical solution derived in Section 2, where a = 70 mm, h = 0.3 mm, v = 0.45, E = 7.84 MPa, g = 5 mm, ∆l = 5 mm, k = 0.5 N/mm, and the uniformly distributed transverse loads q ranges from 425.5 Pa to 30,800 Pa. Table S15: The numerical values of β, c0, c1, d0 and wm calculated by the improved analytical solution derived in Section 2, where a = 70 mm, h = 0.3 mm, v = 0.15, E = 3.01 MPa, g = 5 mm, ∆l = 5 mm, k = 0.5 N/mm, and the uniformly distributed transverse loads q ranges from 114 Pa to 11,200 Pa. Table S16: The numerical values of β, c0, c1, d0 and wm calculated by the improved analytical solution derived in Section 2, where a = 70 mm, h = 0.3 mm, v = 0.3, E = 3.01 MPa, g = 5 mm, ∆l = 5 mm, k = 0.5 N/mm, and the uniformly distributed transverse loads q ranges from 133.5 Pa to 12,600 Pa. Table S17: The numerical values of β, c0, c1, d0 and wm calculated by the improved analytical solution derived in Section 2, where a = 70 mm, h = 0.3 mm, v = 0.45, E = 3.01 MPa, g = 5 mm, ∆l = 5 mm, k = 0.1 N/mm, and the uniformly distributed transverse loads q ranges from 164 Pa to 11,200 Pa. Table S18: The numerical values of β, c0, c1, d0 and wm calculated by the improved analytical solution derived in Section 2, where a = 70 mm, h = 0.3 mm, v = 0.45, E = 3.01 MPa, g = 5 mm, ∆l = 5 mm, k = 1 N/mm, and the uniformly distributed transverse loads q ranges from 164 Pa to 18,200 Pa.
Author Contributions
Conceptualization, X.-T.H., J.-Y.S. and Y.G.; methodology, J.-M.Y., X.-T.H. and Y.G.; validation, J.-Y.S.; writing—original draft preparation, J.-M.Y. and J.-S.R.; writing—review and editing, J.-M.Y., J.-S.R. and X.-T.H.; visualization, J.-M.Y. and J.-S.R.; funding acquisition, J.-Y.S. All authors have read and agreed to the published version of the manuscript.
Funding
This research was funded by the National Natural Science Foundation of China (Grant No. 11772072).
Data Availability Statement
The original contributions presented in this study are included in the article and Supplementary Materials. Further inquiries can be directed to the corresponding author.
Conflicts of Interest
The authors declare no conflict of interest.
Appendix A
The recursive formulas for the power series coefficients ci (i = 2, 3, 4, …) in Equations (40), (42) and (59) are as follows.




Appendix B
The recursive formulas for the power series coefficients di (i = 1, 2, 3, …) in Equations (41), (43) and (60) are as follows.
References
- Gharahi, A.; Schiavone, P. On the boundary value problems of bending of thin elastic plates with surface effects. ASME J. Appl. Mech. 2021, 88, 021007. [Google Scholar] [CrossRef]
- Goloskokov, D.P.; Matrosov, A.V. Bending of clamped orthotropic thin plates: Polynomial solution. Math. Mech. Solids 2022, 27, 2498–2509. [Google Scholar] [CrossRef]
- Liu, C.S.; Qiu, L.; Lin, J. Simulating thin plate bending problems by a family of two-parameter homogenization functions. Appl. Math. Model. 2020, 79, 284–299. [Google Scholar] [CrossRef]
- Zenkour, A.M. Bending of thin rectangular plates with variable-thickness in a hygrothermal environment. Thin-Walled Struct. 2018, 123, 333–340. [Google Scholar] [CrossRef]
- Meng, G.; Ko, W.H. Modeling of circular diaphragm and spreadsheet solution programming for touch mode capacitive sensors. Sens. Actuators A Phys. 1999, 75, 45–52. [Google Scholar] [CrossRef]
- Bernardo, P.; Iulianelli, A.; Macedonio, F.; Drioli, E. Membrane technologies for space engineering. J. Membr. Sci. 2021, 626, 119177. [Google Scholar] [CrossRef]
- Xu, S.; Yu, X.; Gao, Y.; Wang, S.; Sun, L. Mechanical Property Analysis of a Boom–Membrane Structure Used for Aerospace Technologies. Materials 2024, 17, 3204. [Google Scholar] [CrossRef]
- Delfani, M.R. Nonlinear elasticity of monolayer hexagonal crystals: Theory and application to circular bulge test. Eur. J. Mech. A-Solids 2018, 68, 117–132. [Google Scholar] [CrossRef]
- Essalhi, M.; Khayet, M.; Ismail, N.; Sundman, O.; Tavajohi, N. Improvement of nanostructured electrospun membranes for desalination by membrane distillation technology. Desalination 2021, 510, 115086. [Google Scholar] [CrossRef]
- Suresh, K.; Katara, N. Design and development of circular ceramic membrane for wastewater treatment. Mater. Today Proc. 2021, 43, 2176–2181. [Google Scholar] [CrossRef]
- Plaut, R.H. Linearly elastic annular and circular membranes under radial, transverse, and torsional loading. Part I: Large unwrinkled axisymmetric deformations. Acta Mech. 2009, 202, 79–99. [Google Scholar] [CrossRef]
- Plaut, R.H. Effect of pressure on pull-off of flat 1-D rectangular punch adhered to membrane. J. Adhes. 2021, 98, 1480–1500. [Google Scholar] [CrossRef]
- Yang, X.; Srivastava, A.; Long, R. Adhesive contact of an inflated circular membrane with curved surfaces. Int. J. Solids Struct. 2023, 279, 112371. [Google Scholar] [CrossRef]
- Zhang, C.H.; Fan, L.J.; Tan, Y.F. Sequential limit analysis for clamped circular membranes involving large deformation subjected to pressure load. Int. J. Mech. Sci. 2019, 155, 440–449. [Google Scholar] [CrossRef]
- Yang, X.Y.; Yu, L.X.; Long, R. Contact mechanics of inflated circular membrane under large deformation: Analytical solutions. Int. J. Solids Struct. 2021, 233, 111222. [Google Scholar] [CrossRef]
- Soares, R.M.; Gonçalves, P.B. Large-amplitude nonlinear vibrations of a Mooney–Rivlin rectangular membrane. J. Sound Vib. 2014, 333, 2920–2935. [Google Scholar] [CrossRef]
- Phadke, A.C.; Cheung, K.F. Nonlinear response of fluid-filled membrane in gravity waves. J. Eng. Mech. 2003, 129, 739–750. [Google Scholar] [CrossRef]
- Ren, Z.; Du, J.; Wang, F.; Xie, C.; Tang, P.; Yang, D. Hierarchical shape optimization for large deployable membrane reflector with spatial skirt cable. Structures 2023, 57, 105104. [Google Scholar] [CrossRef]
- Yao, F.; Jinnei, W.; Wang, Y.; Mingyue, S. Study on nonlinear vibration of flexible electronic membrane engendered by high-precision imprinting system. J. Low Freq. Noise Vib. Act. Control 2022, 41, 970–981. [Google Scholar]
- Feng, L.; Li, X.; Shi, T. Nonlinear large deflection of thin film overhung on compliant substrate using shaft-loaded blister test. J. Appl. Mech. 2015, 82, 091001. [Google Scholar] [CrossRef]
- Li, F.-Y.; Li, X.; Zhang, Q.; He, X.-T.; Sun, J.-Y. A refined closed-form solution for laterally loaded circular membranes in frictionless contact with rigid flat plates: Simultaneous improvement of out-of-plane equilibrium equation and geometric equation. Mathematics 2022, 10, 3025. [Google Scholar] [CrossRef]
- Plaut, R.H. Effect of pressure on pull-off of flat cylindrical punch adhered to circular membrane. J. Adhes. 2022, 98, 1438–1460. [Google Scholar] [CrossRef]
- Aish, F.; Joyce, S.; Malek, S.; Williams, C.J.K. The use of a particle method for the modelling of isotropic membrane stress for the form finding of shell structures. Comput. Aided Des. 2015, 61, 24–31. [Google Scholar] [CrossRef]
- Lim, T.C. Large deflection of circular auxetic membranes under uniform load. J. Mater. Technol. 2016, 138, 041011. [Google Scholar] [CrossRef]
- Jabareen, M.; Eisenberger, M. Free vibrations of non-homogeneous circular and annular membranes. J. Sound Vib. 2001, 240, 409–429. [Google Scholar] [CrossRef]
- Hencky, H. On the stress state in circular plates with vanishing bending stiffness. Z. Angew. Math. Phys. 1915, 63, 311–317. [Google Scholar]
- Chien, W.Z. Asymptotic behavior of a thin clamped circular plate under uniform normal pressure at very large deflection. Sci. Rep. Natl. Tsinghua Univ. 1948, 5, 193–208. [Google Scholar]
- Alekseev, S.A. Elastic circular membranes under the uniformly distributed loads. Eng. Corpus 1953, 14, 196–198. [Google Scholar]
- Dinca, G.; Matei, P. Weak solutions to Dirichlet problems in the Hencky deformation theory of plasticity. Mech. Res. Commun. 2021, 114, 103551. [Google Scholar] [CrossRef]
- Rao, Y.; Qiao, S.; Dai, Z.; Lu, N. Elastic wetting: Substrate-supported droplets confined by soft elastic membranes. J. Mech. Phys. Solids 2021, 151, 104399. [Google Scholar] [CrossRef]
- Farrahi, G.H.; Hosseinian, E.; Assempour, A. General variable material property formulation for the solution of autofrettaged thick-walled tubes with constant axial strains. J. Press. Vessel Technol. 2008, 130, 041209. [Google Scholar] [CrossRef]
- Khalfi, H.E.; Faiz, Z.; Baiz, O. Optimal convergence of thermoelastic contact problem involving nonlinear Hencky-type materials with friction conditions. Iran. J. Sci. 2025, 49, 133–149. [Google Scholar] [CrossRef]
- Ma, Y.; Wang, G.R.; Chen, Y.L.; Long, D.; Guan, Y.C.; Liu, L.Q.; Zhang, Z. Extended Hencky solution for the blister test of nanomembrane. Extrem. Mech. Lett. 2018, 22, 69–78. [Google Scholar] [CrossRef]
- Chien, W.Z.; Wang, Z.Z.; Xu, Y.G.; Chen, S.L. The symmetrical deformation of circular membrane under the action of uniformly distributed loads in its portion. Appl. Math. Mech. 1981, 2, 653–668. [Google Scholar] [CrossRef]
- Arthurs, A.M.; Clegg, J. On the solution of a boundary value problem for the nonlinear Föppl-Hencky equation. Z. Angew. Math. Mech. 1994, 74, 281–284. [Google Scholar] [CrossRef]
- Kelkar, A.; Elber, W.; Raju, I.S. Large deflections of circular isotropic membranes subjected to arbitrary axisymmetric loading. Comput. Struct. 1985, 21, 413–421. [Google Scholar] [CrossRef]
- Komaragiri, U.; Begley, M.R.; Simmonds, J.G. The mechanical response of freestanding circular elastic films under point and pressure loads. ASME J. Appl. Mech. 2005, 72, 203–212. [Google Scholar] [CrossRef]
- Jin, C.R. Large deflection of circular membrane under concentrated force. Appl. Math. Mech. 2008, 29, 889–896. [Google Scholar] [CrossRef]
- Sun, J.-Y.; Lian, Y.-S.; Li, Y.-M.; He, X.-T.; Zheng, Z.-L. Closed-form solution of elastic circular membrane with initial stress under uniformly-distributed loads: Extended Hencky solution. Z. Angew. Math. Mech. 2015, 95, 1335–1341. [Google Scholar] [CrossRef]
- Lian, Y.-S.; Sun, J.-Y.; Yang, Z.-X.; He, X.-T.; Zheng, Z.-L. Closed-form solution of well-known Hencky problem without small-rotation-angle assumption. ZAMM J. Appl. Math. Mech. 2016, 96, 1434–1441. [Google Scholar] [CrossRef]
- Lian, Y.-S.; Sun, J.-Y.; Zhao, Z.-H.; He, X.-T.; Zheng, Z.-L. A revisit of the boundary value problem for Föppl–Hencky membranes: Improvement of geometric equations. Mathematics 2020, 8, 631. [Google Scholar] [CrossRef]
- Sun, J.-Y.; Wu, J.; Li, X.; He, X.-T. An exact in-plane equilibrium equation for transversely loaded large deflection membranes and its application to the Föppl-Hencky membrane problem. Mathematics 2023, 11, 3329. [Google Scholar] [CrossRef]
- Chen, M.Y.; Huang, C.Y.; Liu, S.W.; Huang, P.; Li, Z.L.; Li, Y.Q.; Fu, S.Y. Novel flexible capacitive pressure sensor with a wide detection range enabled by carboxyl iron particle-paraffin wax/silicone composite. Compos. Commun. 2024, 47, 101884. [Google Scholar] [CrossRef]
- Xu, S.M.; Manshaii, F.; Chen, J. Multiphasic interfaces enabled aero-elastic capacitive pressure sensors. Matter 2024, 7, 2351–2354. [Google Scholar] [CrossRef]
- Javidi, R.; Zand, M.M.; Majd, S.A. Designing wearable capacitive pressure sensors with arrangement of porous pyramidal microstructures. Micro Nano Syst. Lett. 2023, 11, 13. [Google Scholar] [CrossRef]
- Hajizi, H.M.M.; Aris, H.; Norhaimi, W.M.W.; Nor, N.I.M.; Sauli, Z.; Aziz, A.A. Design and Simulation of Micro-Electro-Mechanical Systems (MEMS) Capacitive Pressure Sensor for Thermal Runaway Detection in the Electric Vehicle. Int. J. Nanoelectron. Mater. 2023, 16, 17–32. [Google Scholar]
- Dong, C.Z.; Bai, Y.F.; Zou, J.F.; Cheng, J.K.; An, Y.F.; Zhang, Z.T.; Li, Z.H.; Lin, S.Y.; Zhao, S.H.; Li, N. Flexible capacitive pressure sensor: Material, structure, fabrication and application. Nondestruct. Test. Eval. 2024, 39, 1749–1790. [Google Scholar] [CrossRef]
- Li, X.; Sun, J.-Y.; Shi, B.-B.; Zhao, Z.H.; He, X.-T. A theoretical study on an elastic polymer thin film-based capacitive wind-pressure sensor. Polymers 2020, 12, 2133. [Google Scholar] [CrossRef]
- He, X.T.; Ran, J.S.; Wu, J.; Li, F.Y.; Sun, J.Y. A circular touch mode capacitive rainfall sensor: Analytical solution and numerical design and calibration. Sensors 2024, 24, 6291. [Google Scholar] [CrossRef]
- Ogden, R.W. Non-Linear Elastic Deformations; Dover Publications, Inc.: New York, NY, USA, 1997. [Google Scholar]
Disclaimer/Publisher’s Note: The statements, opinions and data contained in all publications are solely those of the individual author(s) and contributor(s) and not of MDPI and/or the editor(s). MDPI and/or the editor(s) disclaim responsibility for any injury to people or property resulting from any ideas, methods, instructions or products referred to in the content. |
© 2025 by the authors. Licensee MDPI, Basel, Switzerland. This article is an open access article distributed under the terms and conditions of the Creative Commons Attribution (CC BY) license (https://creativecommons.org/licenses/by/4.0/).