A Method for Predicting the Timing of Mine Earthquakes Based on Deformation Localization States
Abstract
1. Introduction
2. Deformation Localization and Mine Earthquakes Correlation
- (1)
- Conditions of the occurrence of mine earthquakes
- (2)
- Conditions for the occurrence of deformation localization of the rock
3. Time Prediction Methods
3.1. Calculation Principle for the Start-Up Time of Deformation Localization
3.2. Time Prediction Model
- (1)
- Initially, identify three consecutive points corresponding to times respectively.
- (2)
- Select the central point and draw a vertical line towards the Y-axis. Project points and onto this vertical line, denoting the projection respectively ns as and .
- (3)
- Determine the midpoints of and on the perpendicular line, marking it as ; similarly, find the midpoint of and on the perpendicular line.
- (4)
- Using as the center, draw arcs with radii and , respectively. These arcs should intersect the perpendicular lines extending from to the X-axis at points and , respectively.
- (5)
- Extend the line connecting points and , and find its intersection with a line parallel to the X-axis passing through point . From this intersection point, draw a perpendicular line to the X-axis to determine the x-coordinate, which represents .
4. Results and Discussion
4.1. Experiments, Results and Analysis
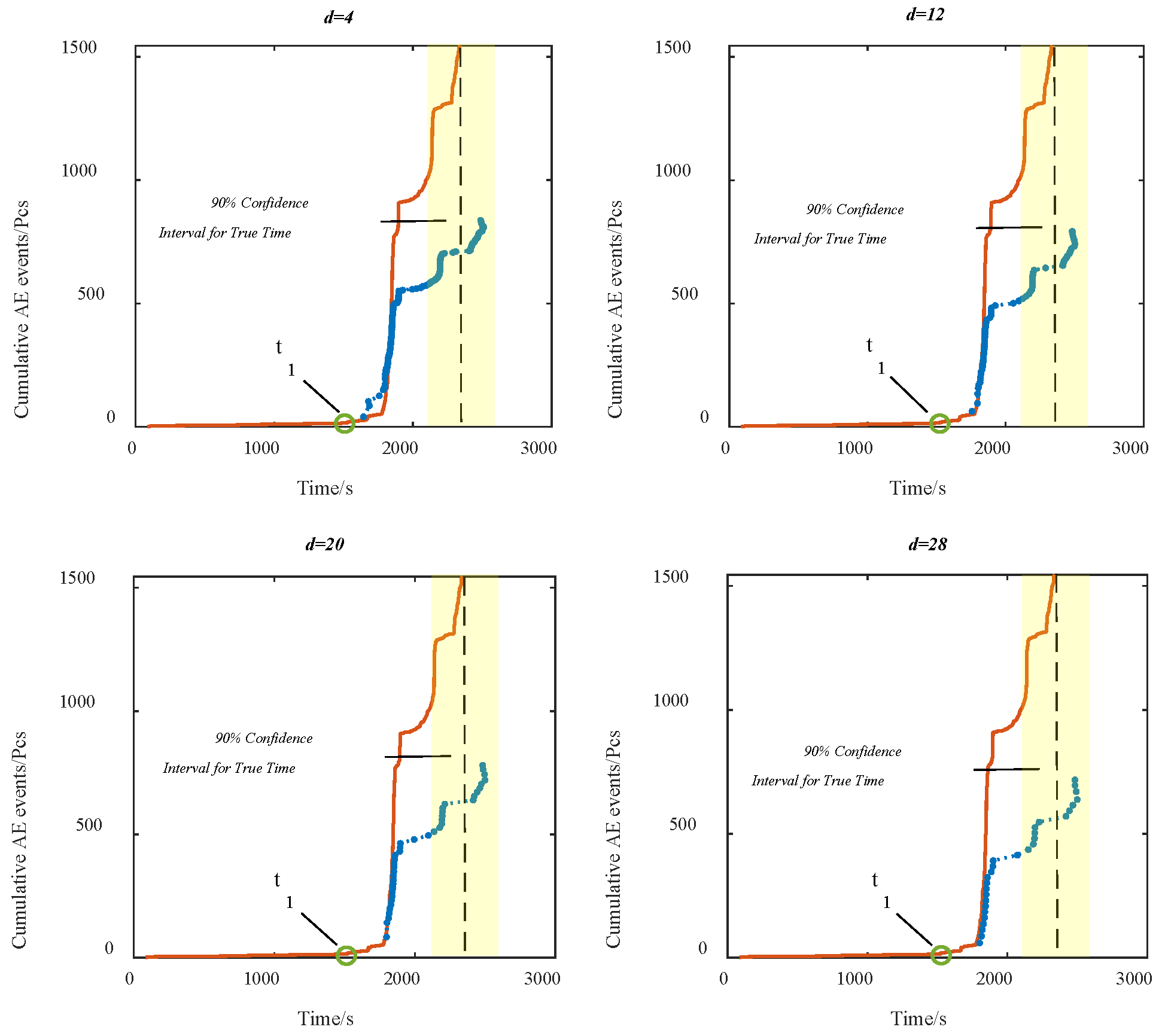
4.2. Rock Failure Time Prediction Results
- (1)
- Initiation time of rock deformation localization
- (2)
- Prediction Results
- (3)
- Calculation of error
4.3. Discussion
- (1)
- Discussion of parameters
- (2)
- Applicability
- (3)
- Limitations
5. Application in Coal Mines
5.1. Overview of Working Face
5.2. Forecasting the Time Frame of Mine Earthquakes
6. Conclusions
- (1)
- Deformation localization and the “quiet period” of MS(AE) are identified as two key precursory characteristics. The model uses the initiation time of deformation localization and the inflection point of the “quiet period” of MS(AE) activity as primary parameters.
- (2)
- For predicting rock failure times, the earliest prediction time deviates from the actual failure time by 143 s. The accuracy rate of predicted time points falling within a 90% confidence interval of the actual failure times is 100%
- (3)
- The prediction accuracy is observed to improve as the starting time parameter more closely approximates the actual initiation time of deformation localization.
- (4)
- In this study, the model predicted the time of mine earthquakes through the state of rock deformation, addressing the limitations of traditional theoretical models that could not quantify such events and reducing the over-reliance on indicators seen in statistical and machine learning models. The model’s accuracy in predicting the time of mine earthquakes is 60%, indicating room for improvement and limitations of the method. The predictive ability of the model can be enhanced by further adopting machine learning techniques for parameter optimization and refining and calibrating the model with additional data.
Author Contributions
Funding
Data Availability Statement
Conflicts of Interest
References
- Li, T.; Cai, M.F.; Cai, M. A review of mining-induced seismicity in China. Int. J. Rock Mech. Min. Sci. 2007, 44, 1149–1171. [Google Scholar] [CrossRef]
- Pan, Y.S.; Song, Y.M.; Liu, J. Pattern, change and new situation of coal mine rockburst prevention and control in China. Chin. J. Rock Mech. Eng. 2023, 42, 2081–2095. [Google Scholar]
- Hooshangi, H.; Hadianfard, M.A.; Dehghan, S.M.; Johari, A. Stochastic selection of earthquake records in structural probabilistic analyses. J. Constr. Steel Res. 2024, 219, 108803. [Google Scholar] [CrossRef]
- Hooshangi, H.; Hadianfard, M.A.; Johari, A. The reliability assessment of the seismic demands of beams in chevron-braced frames and the factors affecting them. Structures 2024, 66, 106876. [Google Scholar] [CrossRef]
- Cao, A.Y.; Dou, L.M.; Bai, X.X.; Liu, Y.Q.; Yang, K.; Li, J.Z.; Wang, C.B. State-of-the-art occurrence mechanism and hazard control of mining tremors and their challenges in Chinese coal mines. J. China Coal Soc. 2023, 48, 1894–1918. [Google Scholar]
- Zhu, J.B.; Ma, B.W.; Xie, H.P.; Gao, F.; Zhou, H.W.; Zhou, C.T.; Zhen, F.R. Differences and connections between mining seismicity and coal bursts in coal mines and preliminary study on coal bursts induced by mining seismicity. J. China Coal Soc. 2022, 47, 3396–3409. [Google Scholar]
- Li, H.L.; Bai, Y.L.; Xia, M.F.; Ke, F.J.; Yin, X.C. Damage localization as a possible precursor of earthquake rupture. Pure Appl. Geophys. 2000, 157, 1929–1943. [Google Scholar] [CrossRef]
- Pan, Y.S.; Yang, X.B.; Ma, S.P.; Xu, B.J. Experimental study on the deformation localization of rock-soil material. J. China Coal Soc. 2002, 27, 281–284. [Google Scholar]
- Song, Y.M.; Xing, T.Z.; Zhao, T.B.; Zhao, Z.X.; Gao, P.B. Acoustic emission characteristics of deformation field development of rock under uniaxial loading. Chin. J. Rock Mech. Eng. 2017, 36, 534–542. [Google Scholar]
- Song, Y.M.; Jiang, Y.D.; Ma, S.P.; Yang, X.B.; Zhao, T.B. Evolution of deformation fields and energy in whole process of rock failure. Rock Soil. Mech. 2012, 33, 1352–1356. [Google Scholar]
- Hao, S.W.; Wang, H.Y.; Xia, M.F.; Bai, Y.L. Relationship between strain localization and catastrophic rupture. Theor. Appl. Fract. Mech. 2007, 48, 41–49. [Google Scholar] [CrossRef]
- Hao, S.W.; Xia, M.F.; Ke, F.J.; Bai, Y.L. Evolution of localized damage zone in heterogeneous media. Int. J. Damage Mech. 2010, 19, 787–804. [Google Scholar] [CrossRef]
- Xue, J.; Hao, S.; Wang, P.; Yang, R.; Bai, Y. Localization of deformation and its effects on power-law singularity preceding catastrophic rupture in rocks. Int. J. Damage Mech. 2020, 29, 86–102. [Google Scholar] [CrossRef]
- Li, D.; Zhang, J.F.; Wang, C.W.; Jiang, F.X. Propagation patterns of microseismic waves in rock strata during mining: An experimental study. Int. J. Miner. Metall. Mater. 2019, 26, 531–537. [Google Scholar] [CrossRef]
- Liu, J.P.; Wang, R.; Lei, G.; Ying, T.S.; Shi, D.X.; Yuan, H.L. Studies of stress and displacement distribution and the evolution law during rock failure process based on acoustic emission and microseismic monitoring. Int. J. Rock Mech. Min. Sci. 2020, 132, 104384. [Google Scholar] [CrossRef]
- Wang, J.X.; Tang, S.B.; Heap, M.J.; Tang, C.A.; Tang, L.X. An auto-detection network to provide an automated real-time early warning of rock engineering hazards using microseismic monitoring. Int. J. Rock Mech. Min. Sci. 2021, 140, 104685. [Google Scholar] [CrossRef]
- He, X.Q.; Zhou, C.; Song, D.Z.; Li, Z.L.; Gao, A.Y.; He, S.Q.; Khan, M. Mechanism and monitoring and early warning technology for rockburst in coal mines. Int. J. Miner. Metall. Mater. 2021, 28, 1097–1111. [Google Scholar] [CrossRef]
- Wang, K.K.; Ma, K.; Tang, C.A.; Liu, H.Y.; Wang, X.T.; Li, Q. Study on deep mining-induced strata behavior based on the evolutional laws of multiple indices from microseismic monitoring. Rock Mech. Rock Eng. 2023, 56, 6481–6501. [Google Scholar] [CrossRef]
- Feng, L.F.; Wang, H.; Wang, X.D.; Zhang, Q. Microfracture evolution characteristics and precursor identification of coal impact failure. Chin. J. Rock Mech. Eng. 2022, 41, 1440–1452. [Google Scholar]
- Pan, Y.S.; Song, Y.M.; Zhu, C.L.; Ren, H.; Xu, H.L. Localization method of coal rock deformation for rock burst prediction. J. China Coal Soc. 2023, 48, 185–198. [Google Scholar]
- Jia, H.W.; Yan, B.X.; Yang, Z.; Yilmaz, E. Identification of goaf instability under blasting disturbance using microseismic monitoring technology. Geomech. Geophys. Geo-Energy Geo-Resour. 2023, 9, 142. [Google Scholar] [CrossRef]
- Wang, A.W.; Li, C.; Pan, Y.S.; Song, Y.M.; Fan, D.W.; Wei, C.Q.; Yu, X.H.; Lu, C. Dynamic identification method for rockburst hazard areas based on multivariate geophysical indicators and its application. J. China Coal Soc. 2024, 49, 2573–2588. [Google Scholar]
- Lai, X.P.; Xu, H.C.; Shan, P.F.; Hu, Q.X.; Ding, W.X.; Yang, S.T.; Yan, Z.M. Research on the mechanism of rockburst induced by mined coal-rock linkage of sharply inclined coal seams. Int. J. Miner. Metall. Mater. 2024, 31, 929–942. [Google Scholar] [CrossRef]
- Xu, C.; Si, J.J.; Guan, Z.Y.; Zhao, W.; Wu, Y.; Gao, X.Y. Reliable conflictive multi-view learning. AAAI Conf. Artif. Intell. 2024, 38, 16129–16137. [Google Scholar] [CrossRef]
- Liu, Y.; Xu, C.; Chen, L.; Yan, M.; Zhao, W.; Guan, Z.Y. TABLE: Time-aware Balanced Multi-view Learning for stock ranking. Knowl.-Based Syst. 2024, 303, 112424. [Google Scholar] [CrossRef]
- Zhao, W.; Xu, C.; Guan, Z.Y.; Wu, X.L.; Zhao, W.Q.; Miao, Q.G.; He, X.F.; Wang, Q. TelecomNet: Tag-Based Weakly-Supervised Modally Cooperative Hashing Network for Image Retrieval. IEEE Trans. Pattern Anal. Mach. Intell. 2022, 11, 7940–7954. [Google Scholar] [CrossRef]
- Liu, C.L.; Wu, Z.H.; Wen, J.; Xu, Y.; Huang, C. Localized sparse incomplete multi-view clustering. IEEE Trans. Multimed. 2023, 25, 5539–5551. [Google Scholar] [CrossRef]
- Wen, J.; Liu, C.L.; Deng, S.J.; Liu, Y.C.; Fei, L.K.; Yan, K. Deep double incomplete multi-view multi-label learning with incomplete labels and missing views. IEEE Trans. Neural Netw. Learn. Syst. 2024, 8, 11396–11408. [Google Scholar] [CrossRef]
- Liu, C.L.; Wen, J.; Wu, Z.H.; Luo, X.L.; Huang, C.; Xu, Y. Information recovery-driven deep incomplete multiview clustering network. IEEE Trans. Neural Netw. Learn. Syst. 2024, 11, 15442–15452. [Google Scholar] [CrossRef] [PubMed]
- Guo, Y.J.; Lei, X.J.; Liu, L.; Pan, Y. circ2CBA: Prediction of circRNA-RBP binding sites combining deep learning and attention mechanism. Front. Comput. Sci. 2023, 17, 175904. [Google Scholar] [CrossRef]
- Zhao, L.L.; Song, S.T.; Wang, P.Y.; Wang, P.Y.; Wang, J.J.; Guo, M.Z. A MLP-Mixer and mixture of expert model for remaining useful life prediction of lithium-ion batteries. Front. Comput. Sci. 2024, 18, 185329. [Google Scholar] [CrossRef]
- Ma, L.; Cai, J.J.; Dai, X.G.; Jia, R.H. Research on Rockburst Risk Level Prediction Method Based on LightGBM−TCN−RF. Appl. Sci. 2022, 12, 8226. [Google Scholar] [CrossRef]
- Ma, K.; Shen, Q.Q.; Sun, X.Y.; Ma, T.H.; Hu, J.; Tang, C.A. Rockburst prediction model using machine learning based on microseismic parameters of Qinling water conveyance tunnel. J. Cent. South Univ. 2023, 30, 289–305. [Google Scholar] [CrossRef]
- Basnet, P.M.S.; Jin, A.B.; Mahtab, S. Applying machine learning approach in predicting short-term rockburst risks using microseismic information: A comparison of parametric and non-parametric models. Nat. Hazards 2024, 1–28. [Google Scholar] [CrossRef]
- Sun, J.H.; Wang, W.J.; Xie, L.K. Predicting short-term rockburst intensity using a weighted probability stacking model with optimal feature selection and Bayesian hidden layer. Tunn. Undergr. Space Technol. 2024, 153, 106021. [Google Scholar] [CrossRef]
- Pan, Y.S.; Zhao, Y.F.; Ma, J. Discussion on rockburst influenced by regional stress field in China. Chin. J. Rock Mech. Eng. 2005, 24, 2847–2853. [Google Scholar]
- Chu, C.Q.; Wu, S.C.; Zhang, C.J.; Zhang, Y.L. Microscopic damage evolution of anisotropic rocks under indirect tensile conditions: Insights from acoustic emission and digital image correlation techniques. Int. J. Miner. Metall. Mater. 2023, 30, 1680–1691. [Google Scholar] [CrossRef]
- Wang, S.Y.; Si, G.Y.; Wang, C.B.; Cai, W.; Li, B.L.; Joung, O.; Canbulat, I. Quantitative assessment of the spatio-temporal correlations of seismic events induced by longwall coal mining. J. Rock Mech. Geotech. Eng. 2022, 14, 1406–1420. [Google Scholar] [CrossRef]
- Saito, M. Forecasting time of slope failure by tertiary creep. In Proceedings of the 7th International Conference on Soil Mechanics and Foundation Engineering, Mexico City, Mexico, 25–29 August 1969; pp. 677–683. [Google Scholar]
- Voight, B. A relation to describe rate-dependent material failure. Science 1989, 243, 200–203. [Google Scholar] [CrossRef] [PubMed]
- Main, I.G. Applicability of time-to-failure analysis to accelerated strain before earthquakes and volcanic eruptions. Geophys. J. Int. 1999, 139, F1–F6. [Google Scholar] [CrossRef]
- Main, I.G. Prediction of failure times in the Earth for a time-varying stress. Geophys. J. Int. 1988, 92, 455–464. [Google Scholar]
- Zhao, Y.S. Retrospection on the development of rock mass mechanics and the summary of some unsolved centennial problems. Chin. J. Rock Mech. Eng. 2021, 40, 1297–1336. [Google Scholar]
- Feng, Z.C.; Lv, Z.X.; Zhao, Y.S. Research progress on short-impending prediction of rock failure—Comments on the competition of short-impending prediction of rock failure. Chin. J. Rock Mech. Eng. 2022, 41, 2522–2529. [Google Scholar]
- Li, Z.L.; He, S.Q.; Song, D.Z.; Sun, Y.X.; Li, J.J.; Wang, X.Y. Microseismic temporal-spatial precursory characteristics and early warning method of rockburst in steeply inclined and extremely thick coal seam. Energies 2021, 14, 1186. [Google Scholar] [CrossRef]
















| No. | /s | d/Pcs | Predicted Time Range/s | Predictive Accuracy at 90% Confidence Intervals/% |
|---|---|---|---|---|
| 1 | 1524 | 4 | 2491~2509 | 100 |
| 2 | 1524 | 8 | 2483~2506 | 100 |
| 3 | 1524 | 12 | 2483~2502 | 100 |
| 4 | 1524 | 16 | 2483~2499 | 100 |
| 5 | 1524 | 20 | 2483~2502 | 100 |
| 6 | 1524 | 24 | 2483~2499 | 100 |
| 7 | 1524 | 28 | 2483~2499 | 100 |
| 8 | 1524 | 32 | 2483~2499 | 100 |
| No. | d/Pcs | /s | Predicted Time Range/s | Predictive Accuracy at 90% Confidence Intervals/% |
|---|---|---|---|---|
| 1 | 28 | 646 | / | 0 |
| 2 | 28 | 721 | / | 0 |
| 3 | 28 | 793 | / | 0 |
| 4 | 28 | 845 | 2061~2076 | 0 |
| 5 | 28 | 974 | 2017~2108 | 20 |
| 6 | 28 | 1150 | 2063~2174 | 67 |
| 7 | 28 | 1217 | 2089~2203 | 73 |
| 8 | 28 | 1416 | 2168~2234 | 100 |
| 9 | 28 | 1475 | 2232~2253 | 100 |
| 11 | 28 | 1493 | 2433~2449 | 100 |
| 12 | 28 | 1524 | 2483~2499 | 100 |
| 13 | 28 | 1562 | 2485~2501 | 100 |
| 14 | 28 | 1610 | 2519~2543 | 100 |
| 15 | 28 | 1665 | 2583~2626 | 0 |
| 16 | 28 | 1712 | 2627~2660 | 0 |
| 17 | 28 | 1776 | 2638~2700 | 0 |
| 18 | 28 | 1800 | 2861~2752 | 0 |
| No. | Peak Stress/Mpa | Actual Time of Failure/s | Predicted Time Range/s | Predictive Accuracy at 90% Confidence Intervals/% |
|---|---|---|---|---|
| 1-1 | 87.48 | 2340 | 2483~2499 | 100 |
| 1-2 | 86.11 | 2300 | 2455~2522 | 100 |
| 1-3 | 79.24 | 2253 | 2444~2468 | 100 |
| 1-4 | 82.41 | 2278 | 2460~2480 | 100 |
| 1-5 | 77.75 | 2230 | 2316~2451 | 100 |
| 1-6 | 74.30 | 2225 | 2420~2440 | 100 |
Disclaimer/Publisher’s Note: The statements, opinions and data contained in all publications are solely those of the individual author(s) and contributor(s) and not of MDPI and/or the editor(s). MDPI and/or the editor(s) disclaim responsibility for any injury to people or property resulting from any ideas, methods, instructions or products referred to in the content. |
© 2024 by the authors. Licensee MDPI, Basel, Switzerland. This article is an open access article distributed under the terms and conditions of the Creative Commons Attribution (CC BY) license (https://creativecommons.org/licenses/by/4.0/).
Share and Cite
Zhu, C.; Ding, L.; Song, Y.; Li, Y. A Method for Predicting the Timing of Mine Earthquakes Based on Deformation Localization States. Mathematics 2025, 13, 40. https://doi.org/10.3390/math13010040
Zhu C, Ding L, Song Y, Li Y. A Method for Predicting the Timing of Mine Earthquakes Based on Deformation Localization States. Mathematics. 2025; 13(1):40. https://doi.org/10.3390/math13010040
Chicago/Turabian StyleZhu, Chenli, Linlin Ding, Yimin Song, and Yuda Li. 2025. "A Method for Predicting the Timing of Mine Earthquakes Based on Deformation Localization States" Mathematics 13, no. 1: 40. https://doi.org/10.3390/math13010040
APA StyleZhu, C., Ding, L., Song, Y., & Li, Y. (2025). A Method for Predicting the Timing of Mine Earthquakes Based on Deformation Localization States. Mathematics, 13(1), 40. https://doi.org/10.3390/math13010040
