Abstract
Many real-world expensive industrial and engineering multi-objective optimization problems (MOPs) are driven by historical, experimental, or simulation data. In such scenarios, due to the expensive cost and time required, we are only left with a small amount of labeled data to perform the optimization. These offline data-driven MOPs are usually solved by multi-objective evolutionary algorithms (MOEAs) with the help of surrogate models constructed from offline historical data. The key challenge in developing these data-driven MOEAs is that they have to replace multiple conflicting fitness functions by approximating these objective functions, which may produce cumulative approximation errors and misguide the search. In order to build a reliable surrogate model from a small amount of multi-output offline data and solve the DDMOPs, we have proposed an adaptive model selection method with a reliable individual-based model management-driven MOEA. The proposed algorithm dynamically selects between DNN and XGBoost by comparing their k-fold cross-validation MAE error, which can capture the true generalization ability of the surrogates on unseen data. Then, the selected surrogate is updated with a reliable individual selection strategy, where the individual who is closest, both in the decision and objective space, to the most preferred solution among labeled offline data is chosen. As a result, these two strategies guide the underlying MOEA to the Pareto optimal solutions. The empirical results of the ZDT and DTLZ benchmark test suite validate the use of the three state-of-the-art offline DDMOEAs, showing that our algorithm is able to achieve highly competitive results in terms of convergence and diversity for 2–3 objectives. Finally, our algorithm is applied to an offline data-driven multi-objective problem—transonic airfoil (RAE 2822) shape optimization—to validate its efficiency on real-world DDMOPs.
Keywords:
data-driven multi-objective optimization; deep neural network; extreme gradient boosting; offline data-driven multi-objective evolutionary algorithm; surrogate models MSC:
68T07
1. Introduction
There are instances in the real world when simulation models or analytical functions are not available for multi-objective optimization problems (MOPs) involving competing objectives. Instead, data gathered from actual processes, such as physical tests, computer simulations, or censors, serve as the foundation for optimization. Using the existing data, surrogates (also known as meta-models) may be constructed to approximately represent the underlying objective functions associated with the phenomena. These surrogates may be used for optimization by incorporating them into multi-objective evolutionary algorithms (MOEAs), which have been shown to be effective in addressing black-box optimization problems [1]. There are two types of data-driven optimization problems (DDOPs), online and offline. When solving online data-driven optimization problems, it is feasible to collect new data, for example, by doing more expensive function evaluations, which allow the surrogates to be updated [2]. On the other hand, offline data-driven optimization [3] occurs when no new data can be collected during the optimization process. If the offline DDOP involves multiple conflicting objects (MOPs), then it is called as offline DDMOP, which is the major emphasis of this study.
In the real world, there are a number of data-driven multi-objective optimization problems for which only historical data is accessible. For example, using imperfect and limited historical data, the multi-objective performance optimization of fused magnesium furnaces has been carried out [4]. Furthermore, historical emergency accident data have been used to determine the multi-objective optimum configuration for trauma system design optimization [5]. Additionally, based on a small quantity of experimental real-time data, the decision-makers have optimized a number of components in the hot metal manufacturing process of blast furnaces [6]. Similarly, an air intake ventilation system of a tractor, which consists of three computationally expensive objective functions, was optimized from simulation data [7]. Moreover, the decision-makers have performed multi-scenario airfoil shape optimization from historical computational fluid dynamic simulation data [8]. Ref. [9] shows that in many cases, due to physical restrictions, candidate evaluations cannot be performed during the iterations of an evolutionary algorithm (EA). As a result, we are left with no choice but to use the offline data from such simulations to address the data-driven multi-objective optimization problems. Therefore, we are eager to develop a DDMOEA-based framework that can handle various real-world optimization problems involving multiple conflicting expensive objectives from offline data alone [10].
Most data-driven multi-objective optimization problems (DDMOP) are resolved utilizing surrogates or meta-model-assisted evolutionary algorithms (SAEAs) because they can substitute expensive fitness functions based only on data [11,12]. Different machine learning models such as the polynomial regression [13], support vector machine [14], Gaussian process regression [15], artificial neural network [16], random forest [17], radial basis function [18], etc., have been utilized in the literature as surrogates. Multi-surrogate techniques [19] have also been employed in data-driven optimization because they can increase the SAEAs’ resilience. Because SAEAs are data-driven, they are also referred to as DDMOEAs (data-driven multi-objective evolutionary algorithms) in the literature [5]. DDMOEAs can be classified as online and offline DDMOEAs depending on the availability of new data throughout the optimization process, which is analogous to the concept of online and offline DDOPs. Additionally, both online and offline DDMOEAs put an emphasis on developing the appropriate surrogates and model management techniques for directing the evolutionary algorithm effectively toward the Pareto optimal solutions. In Section 2.3, we review some of the many model management techniques suggested for online DDMOEAs. We cannot just use the model management methods of online DDMOEAs for offline DDMOEAs because offline DDMOEAs cannot use real, expensive objective functions to evaluate potential candidates while optimizing.
That is why offline DDMOPs pose more challenges to DDMOEAs than online DDMOPs. Some offline data-driven evolutionary algorithms have been proposed for offline single-objective optimization. For example, in data-driven evolutionary optimization using selective surrogate ensembles (DDEA-SE) [20], a large number of weak base learners are built using the bagging ensemble approach prior to optimization, and during optimization, the algorithm adaptively selects a subset of these weak base learners to the ensemble. To create a powerful surrogate, a different algorithm known as data-driven evolutionary algorithm based on tri-training (TT-DDEA) [21] utilizes the tri-training with a high confidence data augmentation technique. Recently, we proposed a robust algorithm, namely active learning with reliability sampling-based evolutionary algorithm (ALeRSa-DDEA) [3], which employs active learning and a new reliability sampling methodology to create an excellent surrogate model for single-objective offline DDOPs. A novel cooperative coevolution-based DDEA (CC-DDEA) [22] is proposed to address high-dimensional problems, optimizing on both the global and local subspace levels. Recently, a novel weighted bagging-based data-driven evolutionary algorithm with data generation based on clustering (WDDEA-DBC) [23] was proposed for single objective offline DDOPs.
However, when using these offline data-driven EAs for MOPs, the approximation errors of the surrogate models would be amplified due to the conflict between multiple objectives [24]. Due to their design for single-objective problems, these surrogate models are not suitable for approximating multiple objectives (MOP) simultaneously, which increases the likelihood of larger errors for each objective. Furthermore, the trade-offs between objectives (e.g., the Pareto front) are sensitive to these errors, leading to compounded inaccuracies in guiding the optimization process. Therefore, offline data-driven MOEAs require high-quality surrogate models and efficient model management techniques that are specifically tailored for MOPs. Despite the accomplishments in online DDMOEAs and some advancement in offline single-objective DDEAs, very little effort has been put into developing more challenging offline DDMOEAs, with few exceptions. The data-driven multi-objective optimization based on the knowledge transfer between surrogates and the generation of final solutions (MS-RV) [25] is aided by coarse and fine surrogates. The DDMOEA utilizes a coarse surrogate to locate a potential subregion in the search area. Afterward, the knowledge gained from the coarse search concerning promising solutions is integrated into the fine search. For each objective, the performance indicator-based adaptive model selection-aided data-driven multi-objective evolutionary algorithm (IBEA-MS) [26] constructs both Kriging models and RBFNs based on offline data, and when the uncertainty of the Kriging models exceeds the allowable error, it chooses the RBFNs as surrogate models. However, with IBEA-MS, the number of surrogate models grows in proportion to the number of objectives.
This paper aims to address the following two major problems in offline data-driven multi-objective optimization when only a limited amount of historical data is accessible:
- Firstly, the focus is on designing surrogate models that effectively guide the search using only the available historical data. In offline data-driven optimization, building reliable surrogates is crucial because the surrogates alone guide the optimization, and no new data can be generated to update or validate them. Furthermore, the multiple labels associated with the offline data from MOPs can increase the complexity of the analysis needed to solve them. So, it may require more advanced modeling techniques and evaluation metrics to properly assess the model’s performance.
- Secondly, it is important to develop a model management mechanism that enhances the surrogate’s accuracy while ensuring it does not mislead the search process. This is exceptionally trickier in offline DDMOEAs, as the newly sampled data during optimization can only be evaluated by surrogates, and incorporating these approximated multi-labels might lead to cumulative approximation errors and misguide the search.
To tackle the above challenges, this paper suggests an adaptive model selection-based surrogate model which dynamically selects between two surrogates whose generalization ability to unknown data is superior. In addition, a method for selecting reliable solutions is proposed, whose inclusion improves the performance of the selected surrogate. Furthermore, we have used reference vector-based environmental selection [27] to encourage convergence and diversity in the solutions. The following is a summary of this paper’s significant contributions:
- We have adopted the multivariate vector-to-vector DNN regression model and the XGBoost multi-output regression model to capture the complex relationship between decision vectors and multiple objectives. As they are very successful in the ML community for various regression tasks. However, in various multi-output datasets with different properties, each has its own advantages and superiority over the other. Therefore, we have developed an adaptive model selection mechanism that can dynamically choose the reliable surrogate model based on the k-fold cross-validation accuracy during the optimization process.
- We have introduced a novel reliable individual selection-based model management technique to improve the performance of the selected surrogate model. In order to reduce the cumulative approximation error, we design the formula in such a way as to incorporate any promising individuals whose predicted deviations in both the decision and objective spaces are minimal compared to the preferred solution. The proposed AdaMoR-DDMOEA produces a highly competitive result in comparison to the state-of-the-art algorithms in terms of convergence and diversity for 2- and 3-dimensional problems, according to extensive experimental studies on two well-known benchmark test suites.
None of the offline DDMOEAs that are currently in use, as far as the author is aware, have the aforementioned features, which highlights the novelty of the suggested work. The remainder of the paper is organized as follows: The data-driven multi-objective optimization, surrogate management in DDMOEAs, and reference vector-based selection are briefly reviewed in Section 2. The suggested algorithmic framework for the AdaMoR-DDMOEA is then illustrated in Section 3. The experimental setup is described in Section 4. The empirical findings and a detailed discussion of the results are presented in Section 5. Finally, the conclusion and some potential future directions for this work are presented in Section 6.
2. Related Work
2.1. Data-Driven Multi-Objective Optimization
There is no functional form or simulation model available in offline data-driven multi-objective optimization that can be accessed during the optimization process. The results of the simulations or experiments are the available (historical) data. The method used to produce the offline data is referred to as the underlying objective functions. We look at the underlying multi-objective problem, which has the following structure:
where the number of objectives is denoted by and objective functions . The non-empty feasible decision space S is a subset of the decision space , and is the decision vector which satisfies all the constraints. In this study, we only consider m = 2 and 3 as multi-objective problems.
Since the objectives are conflicting, there does not exist a single optimum solution, rather, there exist multiple so-called Pareto optimal solutions. A decision vector is said to be Pareto optimal if there does not exist another vector such that the following stands:
If a decision vector is Pareto optimal, then the related objective vector is also Pareto optimal. The Pareto set refers to the collection of all Pareto optimal solutions in the decision space, while the Pareto front refers to the collection of their projections in the objective space [28].
2.2. Surrogate Management in Data-Driven Multi-Objective Evolutionary Algorithms
The three key stages of the DDMOEA process are data gathering and surrogate construction, surrogate maintenance, and optimization. In addition to appropriate surrogate development, effective surrogate model management procedures must be employed in both offline and online DDMOEAs. However, distinct model management approaches have been developed for offline and online DDMOEAs due to the unique needs of the two issues [9].
Numerous model management schemes are suggested in the literature, primarily of the following two types: generation-based techniques and individual-based techniques [9,29]. The key concept in generation-based model management schemes for online DDMOEAs is to tune the sampling rate of newly-generated data depending on the actual fitness function [30]. Individual-based approaches, on the contrary, concentrate on choosing the appropriate individuals that need to be assessed in each generation [31]. The most promising individuals, those who have the greatest predicted value based on the surrogate [31], and the most uncertain individuals, for whom the surrogate model is least confident about their labels [32], have often been shown to be effective. As online DDMOEAs rely heavily on both promising and uncertain individuals, a number of selection procedures have hence been employed to achieve an appropriate balance between the two. In Bayesian optimization, these techniques are referred to as the acquisition function or the infill criterion [33]. Expected improvement (EI) [34], lower confidence bound (LCB) [35], and probability of improvement (PI) [36] are some common infill criteria.
2.3. Reference Vector-Guided Selection [27]
In order to encourage convergence and diversity in the solutions, we have selected the reference vector-guided selection method from RVEA [27] as the environmental selection approach. Using reference vectors, RVEA divides the objective space into a number of subspaces, and selection is carried out independently inside each subspace. The suggested reference vector-assisted selection approach is composed of four phases as follows: the translation of objective values comes first, followed by population partition, APD calculation, and elitist selection. The coordinate origin is initially assumed to be the starting point of the reference vectors. Following that, the objective values of the individuals in population , denoted by , are translated into via the transformation in line 4. After the translation of the objective values, population is partitioned into N subpopulations by pairing each individual with its nearest reference vector. The cosine value between an objective vector and a reference vector is used in the calculation in line 9 to determine the spatial connection between two vectors. Consequently, each individual is only assigned to a subpopulation if and only if the angle between and is the smallest (i.e., the cosine value is the maximum) among all the reference vectors (line 13 and 14, Algorithm 1).
| Algorithm 1 RVGuidedSelection |
|
Once the population is partitioned into N subpopulations , one elitist can be selected from each subpopulation to create for the next generation. Moreover, to select the elitist, it uses an angle-penalized distance (APD) metric which keeps the balance between the convergence and diversity criteria as
where is the penalty function related to
and
After selecting the elitist solutions in the t-th generation, the reference vectors are adapted for the next (t + 1)-th generation as
where, , is the i-th adapted reference vector for the (i + 1)-th generation, and and represent the respective minimum and values of each target function in the (t + 1) generation. The Hadamard product, which element-wise multiplies two vectors (or matrices) of the same size, is represented by the ∘ operator.
3. Proposed Algorithmic Framework for AdaMoR-DDMOEA
The proposed approach takes advantage of the k-fold cross-validation accuracy to select between DNN and XGBoost as the surrogate model. In order to effectively solve offline DDMOPs, it uses RVEA as the baseline optimization approach and a reliable individual selection-based model management mechanism to extract meaningful insights from unlabeled data. Figure 1 displays a diagram of the core architecture of our proposed algorithm AdaMoR-DDMOEA.
Figure 1.
The proposed AdaMoR-DDMOEA’s generic diagram consists of two primary modules as follows: a surrogate modeling module where DNN and XGBoost are first trained on offline data and one is selected adaptively based on the k-fold cross-validation error, and a model management module where the most reliable solutions are used to update the surrogate models.
3.1. Proposed Algorithm
The AdaMoR-DDMOEA pseudocode is shown in Algorithm 2, and it has the following six basic steps:
- Initialization (Lines 1): An initial offline dataset is gathered, along with its objective values. Then, this offline data is used as the initial population and the population is copied to the parent population.
- Surrogate modeling and adaptive model selection (Lines 2 to 3): Using the provided offline data, DNN and XGBoost models are created using the k-fold cross-validation approach. Then, based on the validation error, we flexibly choose one of these models to serve as a surrogate. See Section 3.2 for further information on surrogate modeling and adaptive selection.
- Model management (Line 7): In order to enhance the performance of the surrogate, we utilize a reliable individual selection technique in this stage to pull relevant information out of unlabeled data. We use the selected surrogate model on the dataset to identify the most reliable individuals using Equations (16) and (17). Then, the reliable individuals, together with their predicted labels, are used to update our surrogate model. Refer to Section 3.3 for further information about model management.
- Surrogate-assisted prediction (Lines 6 to 8): The genetic operators (e.g., crossover and mutation) are used to generate the solutions from the parent population. The objective values of the population are then estimated using an updated surrogate model.
- Reference vector-based selection (Lines 9 to 10): We combine the solutions with those of the parent polpulation. The reference vector-guided selection (see Section 2.3) is then performed on the combined population with their predicted objective values, taken from the updated surrogate model, to choose N individuals who will act as the parents of the following generation (as described in the Algorithm 1).
- Iteration: Until the maximum number of iterations is achieved, repeat steps 2 through 5.
| Algorithm 2 AdaMoR-DDMOEA |
|
3.2. Surrogate Modelling Using Adaptive Model Selection
Each of the initial offline data’s data points, , can be regarded as the labeled data, with Y serving as the objective vector for the respective decision vector X. In the surrogate initialization step, using k-fold cross-validation, DNN and XGBoost models are built on labeled data. We have used k-fold cross-validation to evaluate the performance of these two machine learning models by dividing the dataset into k folds and using folds for training and one fold for testing. For each model, this process is repeated k times, each time with a different fold as the test set, and the average performance across all k iterations is used as the final evaluation metric. This method helps reduce the variance in model evaluation, as the model is trained and tested multiple times on different subsets of the data, providing a better estimate of its true generalization performance on unseen data.
Buiding deep neural network: In this work, we have built a deep neural network as a multivariate regression model with three main parts as follows: one input layer, multiple hidden layers, and one output layer. Each hidden layer consists of a number of nodes and an activation function. If is the input matrix, then the predicted output matrix can be calculated as follows:
where is the activation matrix from the L-th layer of the network, and L is the number of layers in the network. Then, for any intermediate hidden layer l, the activation matrix can be calculated as follows:
where is the weight matrix for the l-th layer, is the bias vector for the l-th layer, is the activation matrix from the previous layer, and is the activation function for the l-th layer. We have used rectified linear unit (relu) as the activation function in hidden as well as output layers to add non-linearity in the relation between the input and output variables.
Then, the weights and biases for each layer are calculated by minimizing the mean absolute error (MAE) loss function as follows:
where is the actual output matrix and is the predicted output matrix. Then, the weight update rule can be calculated by back-propagation as follows:
where is the learning rate and and are the partial derivatives of the loss function with respect to the weights and biases for the l-th layer. It should be noted that we have chosen the MAE loss function as it works better than MSE loss function for deep neural network-based vector-to-vector regression [37].
Building XGBoost: The goal of the other surrogate XGBoost multi-output regression is to predict multiple outputs (targets) given a set of input features. The general mathematical formula can be represented as follows:
where the mapping function f is modeled using a set of decision trees. Each decision tree in the ensemble is a weak learner and is trained to minimize a loss function. is the weight assigned to the t-th decision tree, and is the prediction of the t-th decision tree for the input vector X. Furthermore, the loss function that is minimized during the training process is taken the same as Equation (7). In XGBoost, the weights assigned to each decision tree are updated in each iteration during the training process using gradient descent. For a given iteration, the weight update formula is given by the following:
where represents the partial derivatives of the loss function with respect to the weight .
After building the two surrogate models using k-fold cross-validation, we calculate the mean and standard deviation of the k-test set MAE values. Next, we compare two MAE values using the Wilcoxon rank sum test with significance level 0.05 and the surrogate model with a significantly lower MAE value is selected dynamically. If the two models’ performance is similar, select the model with smaller mean MAE value.
3.3. Reliable Individual Selection-Based Model Management
In order to make the most of the useful information hidden in unlabeled data and improve the quality of surrogate models, we introduce a reliable individual selection-based model updation strategy for model management. The fitness values of promising unlabeled data points are predicted only by the surrogate models in offline DDMOEAs, as opposed to being calculated in real time as in online DDMOEAs. Since it is not known how accurate these projected fitness values are, even a little amount of mislabeled data may severely damage the surrogate models’ accuracy. Therefore, we have to select the most reliable individuals to update the surrogate model.
Firstly, we find the ideal point (see Figure 2) in the objective space by calculating the minimum objective value for each objective over all the given offline data and referring to it as . Next, we find the non-dominated solutions from all the solutions given. After that, the vector is defined as the nearest non-dominated point of the in the objective space as follows:
Figure 2.
Finding the preferred solution in objective space.
Therefore, after finding the vector (see Figure 2) and the corresponding vector in the decision space, the reliability value of each individual is computed using the following equation:
Moreover, we select the most reliable individuals using their minimum reliability values. Finally, these reliable individuals, together with their predicted objective values, are utilized to update the selected surrogate model. Algorithm 3 precisely describes the model management method step by step.
| Algorithm 3 RSModelManagement |
|
4. Experimental Setup
This section provides a short overview of the experimental setup that was utilized to validate the performance of AdaMoR-DDMOEA in this study. We begin by describing the features of the benchmark problems employed in this study. The performance measures used to assess the performance of DDMOEAs are then covered. Then, we briefly discuss the offline DDMOEAs that we utilized to compare with AdaMoR-DDMOEA. Finally, we specify the experimental parameter values that were applied to each method.
4.1. Benchmark Problems
Our experiments use problems DTLZ1 through DTLZ7 from the DTLZ benchmark problem suite as well as ZDT1 through ZDT4 and ZDT6 from the ZDT benchmark problem suite. Table 1 provides a description of the characteristics of each test case.
Table 1.
Characteristics of test instances.
For each DTLZ test suite, the number of objectives M ranges from 2 to 3, i.e., . Additionally, for each ZDT test suite, M is taken as 2. The number of the decision variable D is set to 10 for the DTLZ and ZDT test cases, as suggested in [25].
4.2. Performance Measures
In our empirical work, we use the well-known performance measure IGD, which can be used to assess both the convergence and diversity of the produced non-dominated solutions.
4.2.1. Inverted Generational Distance(IGD) [38]
Let be the collection of reference points with uniform distribution across the real PF, and let be the collection of obtained non-dominated points. Then, the IGD value of is computed as
where the cardinality of is represented by and is the minimal euclidean distance between and its nearest neighboring point in . A lower IGD value suggests that is a more accurate representation of the whole PF.
4.2.2. MAE [37]
In multi-output regression, where the target variable is a vector of multiple values, the mean absolute error (MAE) can be calculated for each output and then averaged across outputs to obtain a single scalar value. The formula for the mean absolute error in multi-output regression is as follows:
where n is the number of samples in the dataset, m is the number of outputs, is the true value of the j-th output for the i-th sample, and is the predicted value of the j-th output for the i-th sample. This formula calculates the average absolute error for each output and then averages the results across all outputs to obtain a single scalar value that represents the overall performance of the multi-output regression model. A lower MAE value indicates that the multi-output regression model is a better fit for the given data.
4.3. Offline DDMOEAs for Comparison
For empirical comparisons with AdaMoR-DDMOEA, we take the following three state-of-the-art offline DDMOEAs into consideration: IBEA-MS, MS-RV, and NSGA-II-DNN. The methodologies of these comparison algorithms are briefly discussed in the paragraphs below.
- IBEA-MS [26]: It is an offline two surrogate-assisted data-driven MOEA that adopts as the underlying optimization method. In particular, it employs both the Kriging model and radial basis function network (RBFN) as surrogate models. Then, it uses an adaptive model selection technique that selects RBFN as the surrogate model when the uncertainty of the Kriging model exceeds the acceptable error.
- MS-RV [25]: It is an offline two surrogate-assisted data-driven MOEA which employs polynomial regression as the coarse surrogate (CS) to guide the algorithm to quickly find a promising subregion in the search space. Meanwhile, the RBFN is used as a fine surrogate to focus on leveraging good solutions according to the knowledge transferred from the CS. Moreover, it introduces a reference vector-based final solution set generation strategy to obtain a solution set for the final iteration.
- NSGA-II-DNN [39]: It is an offline surrogate-assisted data-driven MOEA which is developed on NSGA-II as the underlying optimization method for comparison. The optimized deep neural network (DNN) is used as the surrogate model.
4.4. General Parameter Settings
We utilize the suggested parameter values that were provided in the literature for the two compared methods.
- Reproduction operators and population size: For all of the compared offline DDMOEAs, including our own, we use simulated binary crossover (SBX), and polynomial mutation is employed to generate the offspring. Additionally, in accordance with the advice in [21], the crossover probability is set to 1, and the mutation probability is set to . Additionally, according to [21], both the crossover and mutation distribution indices, and , are set to 20. Furthermore, the population size is set to 100 [20] for all compared algorithms.
- Number of independent runs and termination condition: Over the course of 21 separate runs for all the algorithms, each occurrence of each issue is investigated. In AdaMoR-DDMOEA and NSGA-II-DNN, the maximum number of iterations is set to 500.
- Initial offline data: The initial offline data utilized in these studies, as proposed in [20], is sampled using Latin hypercube sampling (LHS) from the specified domain. The offline data size for each method is fixed to 11D, as recommended in [26]. Additionally, the offline data are sampled individually for each iteration of the algorithm.
- Parameters for DNN and XGBoost: The keras machine learning toolbox is used for building the DNN model in our experiment. Furthermore, the DNN has one input layer, six dense hidden layers, and one output layer. We have used ‘relu’ as the activation function in the hidden layers and ‘linear’ in the output layer. The model has been compiled using MAE loss function and the ‘adam’ optimizer. The multi-output regressor XGBoost model is developed from the xgboost toolbox. We have used grid search with cross-validation to get the optimized parameters for our XGBoost model. Furthermore, the learning rate is taken as 0.1.
- Specific settings for compared algorithms: The hyper-parameters optimized for their surrogates, as well as all other particular parameters, are the same as those described in [26] for IBEA-MS, MS-RV, etc. It is also important to note that the same parameters are used for NSGA-II-DNN.
5. Empirical Results and Discussion
We conducted all of the testing on a computer with an 8th generation Core i5 CPU and 8 GB of RAM. The Wilcoxon rank-sum test [40] is used to analyze each result in the comparison tables. The significance threshold was set to 0.05. In light of this, the symbols “+”, “−”, and “≈” denote that AdaMoR-DDMOEA performs, respectively, statistically substantially better than, considerably worse than, and equal to the comparison algorithms. The comparison tables’ top findings are shown in bold in each row. Additionally, AdaMoR-DDMOEA and NSGA-II-DNN are developed in Python 3.9.14 on the pymoo platform [41]; IBEA-MS and MS-RV are implemented using Matlab R2022b.
5.1. Accuracy Comparison Between DNN and XGBoost
In this subsection, we evaluate the performance of DNN and XGBoost as multivariate regression models on the benchmark datasets. In this respect, we have chosen ZDT benchmark issues with two objectives and DTLZ problems with three objectives. The MAE values from training and the 10-fold cross-validation of these datasets are shown in Table 2 and Table 3.
Table 2.
Statistical results of MAE values for the DNN and XGBoost surrogates on the ZDT test suite. Best results in each column are highlighted using bold font.
Table 3.
Statistical results of MAE values for DNN and XGBoost surrogates on the DTLZ test suite. Best results in each column are highlighted using bold font.
From Table 3, we can see that XGBoost has lower MAEs on training sets compared to DNN, but higher MAEs on the cross-validation sets. The validation set is used to measure how well the model works on data it has not seen before. A larger MAE on the validation set means that the XGBoost model’s predictions are farther from the real values. This means that the DNN model is likely to make more accurate predictions on unseen data than the XGBoost model. Additionally, a higher MAE on the validation set and a lower MAE on the training set also indicate that the XGBoost model is overfitting the training data. On the other hand, Table 4 shows that XGBoost has obtained lower MAEs than DNN for four DTLZ problems on training sets as well as on cross-validation sets. This means XGBoost generalizes those datasets (viz.,DTLZ1, DTLZ2, DTLZ5, DTLZ6) very well. This further supports our adaptive selection technique, as it chooses the model with lower MAE values in cross-validation sets because that model generalize well and ultimately provides better optimization results.
Table 4.
Results of the statistical analysis of the IGD values obtained on the ZDT and DTLZ test suites using the AdaMoR-DDMOEA and the three compared algorithms. The best results for each instance are highlighted in bold.
5.2. Effectiveness of Adaptive Model Selection and Reliable Individual-Based Updation Strategy
By comparing the four AdaMoR-DDMOEA variations, we analyze the efficacy of the adaptive model selection technique and further investigate the reliable individual selection-based model management. We examined AdaMoR-DDMOEA against two of its variations with mono-surrogates, such as DNN and XGBoost, independently, to determine the efficacy of the adaptive selection mechanism. Additionally, AdaMoR-DDMOEA(WO/MU), a AdaMoR-DDMOEA variation without the model updation phases, has been presented. They are thus evaluated using offline benchmark MOPs, as shown in Table 1, for 10 dimensions with 2 and 3 goals, and the results are presented in Table 4.
From Table 4, we can see that, out of 19 instances, AdaMoR-DDMOEA produces statistically significantly superior outcomes than DNN-DDMOEA, XGB-DDMOEA, and AdaMoR-DDMOEA(WO/MU) in 5, 10, and 15 instances out of 19, respectively. We can observe that AdaMoR-DDMOEA performs better than both of the variations that employed either DNN or XGBoost as the mono-surrogate. This is because out of 19 cases with different features, DNN fitted better and worse than XGBoost in 12 and 7 instances, respectively, as AdaMoR-DDMOEA used the better-fitting model via the adaptive selection technique to produce the best outcomes in each instance. Furthermore, AdaMoR-DDMOEA performed better than AdaMoR-DDMOEA(WO/MU) in every benchmark issue, demonstrating the effectiveness of reliable individual selection-based model management as a method for enhancing the performance of the model. The primary explanation for this outcome is that the model update schema allows the chosen surrogate to learn from unlabeled data by compiling the most trustworthy individuals with their near-accurate predicted labels. Hence, both strategies—adaptive surrogate selection and surrogate updating with reliable individuals—are highly effective.
5.3. Effects of Offline Data
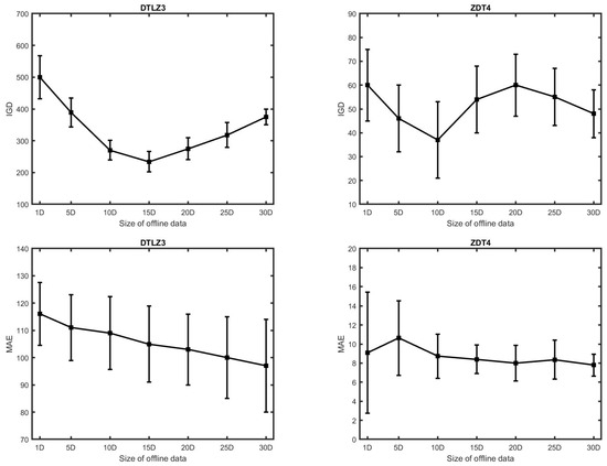
We examine how initial offline data affect our algorithm’s performance in this subsection. With the LHS sampling approach, we have created a variety of offline data sizes, including 1D, 5D, 10D, 15D, 20D, 25D, and 30D (D is the number of decision variables) using two test instances. Because the IGD values in these two cases deviate greatly across different sizes, we chose DTLZ3 with M = 3 and ZDT4 with M = 2 for this experiment. The mean and standard deviation of the IGD and MAE values generated by AdaMoR-DDMOEA on various offline data sizes are presented in Figure 3.
Figure 3.
Change of MAE value and IGD value with respect to the size of offline data.
According to Figure 3, the MAE values decrease as the size of the offline data increases. This is due to the fact that the chosen surrogate model can generalize the data effectively when the data size is 30D. This should also be reflected in the IGD value; therefore, as the data size grows, the IGD value should decrease. However, from Figure 3, we can see that the IGD value decreases until 10D or 15D, and then it increases sharply. As a result, it achieves its best IGD value when the amount of data is close to 11D. This is especially true since the reliable individual-based model management strategy greatly improves the model’s accuracy when it is trained on 11D data. On the contrary, the mechanism overfits the model when it is already trained on 30D data, lowering its accuracy and IGD value. As our goal is to build an accurate model using a small amount of offline data, where 11D is considered the standard [25], our model updation mechanism is very well suited here.
5.4. Performance Comparison with Offline DDMOEAs
We use two benchmark test suites to evaluate our algorithm’s performance against four current state-of-the-art offline DDMOEAs, namely IBEA-MS, MS-RV, NSGA-II-DNN, and BDDEA-LDG. The five offline DDEAs are described in Section 4, along with a brief description of how to configure them. In order to provide a fair comparison, these five offline DDMOEAs take distinct beginning data for each run, all of which are sampled individually. The IGD values attained by the five comparable offline DDMOEAs are finally shown in Table 5. Furthermore, Figure 4 displays the Pareto fronts obtained by AdaMoR-DDMOEA against the actual ones for these offline algorithms on the ZDT1, DTLZ5, and ZDT3 problems for 2, 3, and 2 objectives, respectively.
Table 5.
Results of the statistical analysis of the IGD values obtained on the ZDT and DTLZ test suits using the AdaMoR-DDMOEA and the three compared algorithms. The best results for each instance are highlighted in bold.
Figure 4.
Obtained Pareto front against actual Pareto front on ZDT1, DTLZ5, and ZDT3, respectively.
From Table 5, we see that AdaMoR-DDMOEA attains the most wins (12 out of 19), followed by IBEA-MS (7 out of 19), according to the Wilcoxon rank-sum test [40]. For 8, 7, and 4 out of the 19 instances, respectively, AdaMoR-DDMOEA acquires results that are statistically substantially better than, comparable to, and worse than IBEA-MS. In comparison to MS-RV, AdaMoR-DDMOEA has achieved significantly superior and comparable performance on 14 and 3 instances. Then, when compared to NSGA-II-DNN, AdaMoR-DDMOEA produces results that are superior and equivalent on 16 and 3 instances, respectively. Finally, when compared to BDDEA-LDG, AdaMoR-DDMOEA produces results that are superior, equivalent to, and worse on 12, 6, and 1 instances, respectively. This is because AdaMoR-DDMOEA has precisely combined adaptive model selection with reliable individual-based model management to obtain well-converged solutions. Besides, the reference vector-guided environmental selection promotes diverse solutions. On the other hand, IBEA-MS achieves better performance in ZDT2, ZDT3, DTLZ6, and DTLZ7, where the solutions do not demand much diversity. However, it performs badly in other 2- and 3-dimensional multi-modal problems, as the chosen RBF surrogate model is not good enough on small dimensional problems [26]. MS-RV also uses RBF as the surrogate in the fine search, which performs poorly on low dimensional problems. On the contrary, AdaMoR-DDMOEA dynamically selects a better-fitted model between DNN and XGBoost and combines that with a reliable individual-based model updation strategy to achieve good performance in low dimensional uni- and multi-modal problems. However, it performs poorly on degenerated or disconnected problems. Due to its special design for single-objective problems, BDDEA-LDG performs poorly when the number of objectives increases. To discuss this further, we analyze some plots in the next paragraph.
From Figure 4, we see that AdaMoR-DDMOEA is able to achieve a Pareto front very close to the actual Pareto front for ZDT1. For DTLZ5, it has achieved Pareto optimal solutions that are distributed along the actual Pareto front but lack some convergence, as it only has 11D offline data. However, for ZDT2, AdaMoR-DDMOEA cannot discover some regions of the true Pareto front, and the obtained Pareto front is at some distance from the original one. The reason may be that AdaMoR-DDMOEA searches close to offline data and not the entire search space, causing it to miss some disconnected or degenerated Pareto fronts. From these plots, we can see that with such a small amount of offline data, AdaMoR-DDMOEA can find a competitive set of Pareto optimal solutions.
5.5. Parameter Sensitivity Analysis
In this subsection, we discuss the empirical studies on the sensitivity of the two parameters of AdaMoR-DDMOEA, namely the maximum iteration and the number of k for k-fold cross-validation.
5.5.1. Maximum Number of Iteration
In this subsection, we study at how our algorithm’s IGD value changes as the maximum number of iterations changes. For this reason, we evaluate a broad range of values for the maximum iteration in [10, 600]. Figure 5 displays the IGD values for the DTLZ3 and ZDT4 instances along with their mean and standard deviation.
Figure 5.
Change of IGD value with respect to the maximum number of iterations.
From Figure 5, we observe that when the maximum iteration for AdaMoR-DDMOEA is taken as 500, the IGD value drops to its lowest point. The IGD value typically rises after 500 iterations. If the maximum iteration is taken as a very high value, then it may incur a greater computational burden. Therefore, setting it to 500 is perfectly acceptable in terms of both performance and computational cost.
5.5.2. Suitable Number of k-Fold Cross Validation
The goal of k-fold cross-validation is to obtain a more reliable estimate of a model’s generalization performance on unseen data and to reduce the risk of overfitting. So, determining the suitable value of k is crucial, as it can impact our adaptive model selection strategy in choosing the most robust model. Thus, we choose 2, 4, 6, 8, 10, and 12 as a set of reasonable numbers for k. The MAE values with the mean and standard deviation achieved for DTLZ3 and ZDT4 have been plotted in Figure 6.
Figure 6.
MAE value for different values of k in k-fold cross-validation.
From Figure 6, we observe that taking k as 10 results in the lowest MAE score for the validation set. This means the 10-fold cross-validation provides a more robust evaluation of the model’s ability to generalize to new, unseen data.
5.6. Application to Multi-Objective Airfoil Design Optimization
In this subsection, we employ AdaMoR-DDMOEA to solve an airfoil design optimization task from offline data in order to test how well it performs in a practical offline data-driven multi-objective expensive optimization problem. Because each potential airfoil design must be assessed using computational fluid dynamics (CFD) simulations or through physical tests carried out in well-equipped, high-quality wind tunnels, both of which are very expensive options, the multi-objective aerodynamic airfoil design optimization is considered expensive. DDMOEAs are therefore the best method for solving these optimization tasks. So, to perform the experimental studies, we use a transonic RAE 2822 airfoil test case from the UIUC airfoil coordinate database (the data can be found at https://m-selig.ae.illinois.edu/ads.html, accessed on 1 November 2022).
The design parametrization and assessment of potential shapes using CFD computer simulations are two essential processes in the optimization of aerodynamic airfoil design. To parametrize the airfoils in this case, we used the class-shape function transformation (CST) technique [42] with 10 parameters. The top and bottom surfaces of an airfoil are represented by two contour lines that are separately parametrized in the CST approach. Upper and lower contour lines’ y coordinates are determined by multiplying a class function and a shape function , defined as follows:
The class function for an airfoil’s upper and lower surface is defined as
The weight factors (CST parameters) s serve as the design variables for both surfaces, and the shape function is a Bernstein polynomial as follows:
Five lower surface () and five upper surface () CST parameters make up the 10 design variables s in this design. The range values and approximations for the baseline design of RAE 2822 are shown in Table 6. In the 10-D problem, initial offline data points worth are randomly picked within the specified search area. Then, Equation (20) is used to translate these CST parameters into coordinates in order to describe potential airfoil designs. The lift coefficient and drag coefficient of each candidate airfoil are then calculated using the Xfoil [43] program with the parameters and set to , and 2, respectively. Mathematically, the multi-objective problem is formulated as follows:
subject to belonging to the specified region.
Table 6.
The design variables used for CST parametrization.
The final approximated Pareto optimal front obtained by AdaMoR-DDMOEA is plotted in Figure 7. Figure 8 illustrates the optimum airfoil geometries, with the first, middle, and final Pareto solutions chosen for simplicity. Figure 9 shows the stacked charts of the lift and drag coefficients for the eight points. Figure 10 shows the stacked charts of the lift and drag coefficients for the two best points of the four compared algorithms, namely IBEA- MS, MS-RV, NSGA-II-DNN, and BDDEA-LDG, against the baseline. As can be observed, using our algorithm, the lift coefficient can be increased, and the drag coefficient can be decreased and gives a better result (more lift and less drag) than the compared algorithms. Particularly, the two objectives in Pareto solutions 1, 2, and 3 improve upon the baseline design.
Figure 7.
Approximated Pareto optimal solutions.
Figure 8.
Shape of some optimized airfoil.
Figure 9.
Comparison of CL and CD relative to the baseline.
Figure 10.
Comparison of CL and CD relative to the baseline for the considered methods.
6. Conclusions
This paper suggests a novel adaptive model selection method with a reliable individual-based model management evolutionary algorithm to solve data-driven multi-objective optimization problems using limited offline data. Specifically, utilizing labeled offline data, AdaMoR-DDMOEA builds multi-output DNN and XGBoost regression models using the k-fold cross-validation method. In reality, the labeled dataset for each surrogate is split into k folds, with folds being utilized for training and the final fold being used for testing. To choose the best surrogate, this process is repeated k times, and the average and standard deviation of the test set MAE errors for the two surrogates are compared. The results give a clearer indication of the models’ actual generalization ability on unseen data because the models are trained and tested repeatedly on various subsets of the labeled data. When it comes to offline DDMOEAs, only surrogates can be used to evaluate the potential individuals selected from unlabeled data during optimization. For this reason, AdaMoR-DDMOEA uses a novel reliable individual selection technique to identify the most reliable individual for which the deviation in both the decision and objective spaces is minimal compared to the preferred solution. In order to enhance the limited training data, the chosen surrogate labels these trusted individuals as the predicted outputs. As a result, these trusted individuals and their labels are used to update the chosen surrogate. Lastly, the updated surrogate model predicts the labels of the offspring and directs the search to the Pareto optimal solutions.
We have studied the empirical results of AdaMoR-DDMOEA against four state-of-the-art offline DDMOEAs, namely IBEA-MS, MS-RV, NSGA-II-DNN, and BDDEA-LDG and three variants of AdaMoR-DDMOEA on teh ZDT and DTLZ benchmark test suites with 10 decision variables and for 2 and 3 objectives. Experimental findings show that among the compared algorithms, AdaMoR-DDMOEA demonstrates the best overall performance. Additionally, we may draw the conclusion from the component analysis that offline DDMOEAs can benefit from adaptive model selection based on 10-fold cross-validation and reliable individual-based model updating. Finally, the study conducted on a transonic airfoil (RAE 2822) further validates the efficiency of our technique in addressing real-world offline expensive DDMOPs.
There are several directions for future work. First, it would be interesting to combine local and global surrogates to develop a more advanced model management system for offline DDMOPs. Second, our model can be expanded to address offline data-driven optimization issues that are more challenging and include a higher number (≥4) of conflicting objectives. Finally, few-shot learning or advanced reinforcement learning can be incorporated to solve offline DDMOPs.
Author Contributions
Conceptualization, S.P. and A.A.; Methodology, S.P. and A.G.; Software, S.P.; Validation, S.P., A.A. and H.M.; Formal analysis, H.M.; Investigation, H.M.; Resources, H.M. and D.P.; Data curation, D.P.; Writing—original draft, D.P.; Writing—review & editing, D.P. and A.G.; Visualization, A.A. and A.G.; Supervision, A.G.; Project administration, A.G.; Funding acquisition, A.A. All authors have read and agreed to the published version of the manuscript.
Funding
This study is supported by funding from Prince Sattam bin Abdulaziz University project number (PSAU/2024/R/1446).
Data Availability Statement
Since it is confidential, we are unable to share our source code openly. Readers who want to replicate the findings in this study should strictly adhere to the instructions in Algorithm 2. However, the author is willing to provide datasets upon request.
Conflicts of Interest
The authors declare that they have no conflicts of interest.
References
- Akhtar, T.; Shoemaker, C.A. Multi objective optimization of computationally expensive multi-modal functions with RBF surrogates and multi-rule selection. J. Glob. Optim. 2016, 64, 17–32. [Google Scholar] [CrossRef]
- Jie, H.; Wu, Y.; Zhao, J.; Ding, J. An efficient multi-objective PSO algorithm assisted by Kriging metamodel for expensive black-box problems. J. Glob. Optim. 2017, 67, 399–423. [Google Scholar] [CrossRef]
- Pramanik, S.; Goswami, A.; Roy, A. ALeRSa-DDEA: Active learning with reliability sampling-based evolutionary algorithm framework for solving offline data-driven expensive engineering optimization. Struct. Multidiscip. Optim. 2022, 65, 320. [Google Scholar] [CrossRef]
- Guo, D.; Chai, T.; Ding, J.; Jin, Y. Small data driven evolutionary multi-objective optimization of fused magnesium furnaces. In Proceedings of the 2016 IEEE Symposium Series on Computational Intelligence (SSCI), Athens, Greece, 6–9 December 2016; pp. 1–8. [Google Scholar]
- Wang, H.; Jin, Y.; Jansen, J.O. Data-driven surrogate-assisted multiobjective evolutionary optimization of a trauma system. IEEE Trans. Evol. Comput. 2016, 20, 939–952. [Google Scholar] [CrossRef]
- Chugh, T.; Chakraborti, N.; Sindhya, K.; Jin, Y. A data-driven surrogate-assisted evolutionary algorithm applied to a many-objective blast furnace optimization problem. Mater. Manuf. Processes 2017, 32, 1172–1178. [Google Scholar] [CrossRef]
- Chugh, T.; Sindhya, K.; Miettinen, K.; Jin, Y.; Kratky, T.; Makkonen, P. Surrogate-assisted evolutionary multiobjective shape optimization of an air intake ventilation system. In Proceedings of the 2017 IEEE Congress on Evolutionary Computation (CEC), Donostia, Spain, 5–8 June 2017; pp. 1541–1548. [Google Scholar]
- Wang, H.; Doherty, J.; Jin, Y. Hierarchical surrogate-assisted evolutionary multi-scenario airfoil shape optimization. In Proceedings of the 2018 IEEE congress on evolutionary computation (CEC), Rio de Janeiro, Brazil, 8–13 July 2018; pp. 1–8. [Google Scholar]
- Jin, Y.; Wang, H.; Chugh, T.; Guo, D.; Miettinen, K. Data-driven evolutionary optimization: An overview and case studies. IEEE Trans. Evol. Comput. 2018, 23, 442–458. [Google Scholar] [CrossRef]
- Kumar, R.; Edalatpanah, S.; Mohapatra, H. Note on “Optimal path selection approach for fuzzy reliable shortest path problem”. J. Intell. Fuzzy Syst. 2020, 39, 7653–7656. [Google Scholar] [CrossRef]
- Jin, Y.; Wang, H.; Sun, C. Data-Driven Evolutionary Optimization; Springer International Publishing: Cham, Switzerland, 2021. [Google Scholar]
- Viana, F.A.; Gogu, C.; Goel, T. Surrogate modeling: Tricks that endured the test of time and some recent developments. Struct. Multidiscip. Optim. 2021, 64, 2881–2908. [Google Scholar] [CrossRef]
- Zhou, Z.; Ong, Y.S.; Nguyen, M.H.; Lim, D. A study on polynomial regression and Gaussian process global surrogate model in hierarchical surrogate-assisted evolutionary algorithm. In Proceedings of the 2005 IEEE Congress on Evolutionary Computation, Edinburgh, UK, 2–5 September 2005; Volume 3, pp. 2832–2839. [Google Scholar]
- Herrera, M.; Guglielmetti, A.; Xiao, M.; Filomeno Coelho, R. Metamodel-assisted optimization based on multiple kernel regression for mixed variables. Struct. Multidiscip. Optim. 2014, 49, 979–991. [Google Scholar] [CrossRef]
- Yang, Z.; Qiu, H.; Gao, L.; Jiang, C.; Zhang, J. Two-layer adaptive surrogate-assisted evolutionary algorithm for high-dimensional computationally expensive problems. J. Glob. Optim. 2019, 74, 327–359. [Google Scholar] [CrossRef]
- Wilhelm, M.E.; Wang, C.; Stuber, M.D. Convex and concave envelopes of artificial neural network activation functions for deterministic global optimization. J. Glob. Optim. 2023, 85, 569–594. [Google Scholar] [CrossRef]
- Wang, H.; Jin, Y. A random forest-assisted evolutionary algorithm for data-driven constrained multiobjective combinatorial optimization of trauma systems. IEEE Trans. Cybern. 2018, 50, 536–549. [Google Scholar] [CrossRef]
- Wang, W.; Akhtar, T.; Shoemaker, C.A. Integrating ε-dominance and RBF surrogate optimization for solving computationally expensive many-objective optimization problems. J. Glob. Optim. 2022, 82, 965–992. [Google Scholar] [CrossRef]
- Viana, F.A.; Haftka, R.T.; Watson, L.T. Efficient global optimization algorithm assisted by multiple surrogate techniques. J. Glob. Optim. 2013, 56, 669–689. [Google Scholar] [CrossRef]
- Wang, H.; Jin, Y.; Sun, C.; Doherty, J. Offline data-driven evolutionary optimization using selective surrogate ensembles. IEEE Trans. Evol. Comput. 2018, 23, 203–216. [Google Scholar] [CrossRef]
- Huang, P.; Wang, H.; Jin, Y. Offline data-driven evolutionary optimization based on tri-training. Swarm Evol. Comput. 2021, 60, 100800. [Google Scholar] [CrossRef]
- Gong, Y.J.; Zhong, Y.T.; Huang, H.G. Offline Data-Driven Optimization at Scale: A Cooperative Coevolutionary Approach. IEEE Trans. Evol. Comput. 2023, 28, 1809–1823. [Google Scholar] [CrossRef]
- Guo, Z.; Lin, S.; Suo, R.; Zhang, X. An Offline Weighted-Bagging Data-Driven Evolutionary Algorithm with Data Generation Based on Clustering. Mathematics 2023, 11, 431. [Google Scholar] [CrossRef]
- Xu, W.; Xia, Q.; Mohapatra, H.; Chedup, S. An Efficient Technique for Algebraic System of Linear Equations Based on Neutrosophic Structured Element. Adv. Math. Phys. 2023, 2023, 4469908. [Google Scholar] [CrossRef]
- Yang, C.; Ding, J.; Jin, Y.; Chai, T. Offline data-driven multiobjective optimization: Knowledge transfer between surrogates and generation of final solutions. IEEE Trans. Evol. Comput. 2019, 24, 409–423. [Google Scholar]
- Liu, Z.; Wang, H.; Jin, Y. Performance Indicator-Based Adaptive Model Selection for Offline Data-Driven Multiobjective Evolutionary Optimization. IEEE Trans. Cybern. 2022, 53, 6263–6276. [Google Scholar] [CrossRef] [PubMed]
- Cheng, R.; Jin, Y.; Olhofer, M.; Sendhoff, B. A reference vector guided evolutionary algorithm for many-objective optimization. IEEE Trans. Evol. Comput. 2016, 20, 773–791. [Google Scholar] [CrossRef]
- Miettinen, K. Nonlinear Multiobjective Optimization Kluwer; Academic Publishers: Boston, MA, USA, 1999. [Google Scholar]
- Jin, Y. Surrogate-assisted evolutionary computation: Recent advances and future challenges. Swarm Evol. Comput. 2011, 1, 61–70. [Google Scholar] [CrossRef]
- Hüsken, M.; Jin, Y.; Sendhoff, B. Structure optimization of neural networks for evolutionary design optimization. Soft Comput. 2005, 9, 21–28. [Google Scholar] [CrossRef]
- Jin, Y.; Olhofer, M.; Sendhoff, B. A framework for evolutionary optimization with approximate fitness functions. IEEE Trans. Evol. Comput. 2002, 6, 481–494. [Google Scholar]
- Branke, J.; Schmidt, C. Faster convergence by means of fitness estimation. Soft Comput. 2005, 9, 13–20. [Google Scholar] [CrossRef]
- Shahriari, B.; Swersky, K.; Wang, Z.; Adams, R.P.; De Freitas, N. Taking the human out of the loop: A review of Bayesian optimization. Proc. IEEE 2015, 104, 148–175. [Google Scholar] [CrossRef]
- Jones, D.R.; Schonlau, M.; Welch, W.J. Efficient global optimization of expensive black-box functions. J. Glob. Optim. 1998, 13, 455–492. [Google Scholar] [CrossRef]
- Cox, D.D.; John, S. A statistical method for global optimization. In Proceedings of the 1992 IEEE International Conference on Systems, Man, and Cybernetics, Chicago, IL, USA, 18–21 October 1992; pp. 1241–1246. [Google Scholar]
- Forrester, A.I.; Keane, A.J. Recent advances in surrogate-based optimization. Prog. Aerosp. Sci. 2009, 45, 50–79. [Google Scholar] [CrossRef]
- Qi, J.; Du, J.; Siniscalchi, S.M.; Ma, X.; Lee, C.H. On mean absolute error for deep neural network based vector-to-vector regression. IEEE Signal Process. Lett. 2020, 27, 1485–1489. [Google Scholar] [CrossRef]
- Bosman, P.A.; Thierens, D. The balance between proximity and diversity in multiobjective evolutionary algorithms. IEEE Trans. Evol. Comput. 2003, 7, 174–188. [Google Scholar] [CrossRef]
- Li, J.Y.; Zhan, Z.H.; Wang, C.; Jin, H.; Zhang, J. Boosting data-driven evolutionary algorithm with localized data generation. IEEE Trans. Evol. Comput. 2020, 24, 923–937. [Google Scholar] [CrossRef]
- Haynes, W. Wilcoxon rank sum test. Encycl. Syst. Biol. 2013, 3, 2354–2355. [Google Scholar]
- Blank, J.; Deb, K. Pymoo: Multi-objective optimization in python. IEEE Access 2020, 8, 89497–89509. [Google Scholar] [CrossRef]
- Kulfan, B.M. Universal parametric geometry representation method. J. Aircr. 2008, 45, 142–158. [Google Scholar] [CrossRef]
- Drela, M. XFOIL: An analysis and design system for low Reynolds number airfoils. In Low Reynolds Number Aerodynamics; Springer: Berlin/Heidelberg, Germany, 1989; pp. 1–12. [Google Scholar]
Disclaimer/Publisher’s Note: The statements, opinions and data contained in all publications are solely those of the individual author(s) and contributor(s) and not of MDPI and/or the editor(s). MDPI and/or the editor(s) disclaim responsibility for any injury to people or property resulting from any ideas, methods, instructions or products referred to in the content. |
© 2025 by the authors. Licensee MDPI, Basel, Switzerland. This article is an open access article distributed under the terms and conditions of the Creative Commons Attribution (CC BY) license (https://creativecommons.org/licenses/by/4.0/).









