Abstract
Fractional calculus plays a pivotal role in modern scientific and engineering disciplines, providing more accurate solutions for complex fluid dynamics phenomena due to its non-locality and inherent memory characteristics. In this study, Caputo’s time fractional derivative operator approach is employed for heat and mass transfer modeling in unsteady Maxwell fluid within a cylinder. Governing equations within a cylinder involve a system of coupled, nonlinear fractional partial differential equations (PDEs). A machine learning technique based on the Levenberg–Marquardt scheme with a backpropagation neural network (LMS-BPNN) is employed to evaluate the predicted solution of governing flow equations up to the required level of accuracy. The numerical data sheet is obtained using series solution approach Homotopy perturbation methods. The data sheet is divided into three portions i.e., is used for training, for validation, and for testing. The mean-squared error (MSE), error histograms, correlation coefficient (R), and function fitting are computed to examine the effectiveness and consistency of the proposed machine learning technique i.e., LMS-BPNN. Moreover, additional error metrics, such as R-squared, residual plots, and confidence intervals, are incorporated to provide a more comprehensive evaluation of model accuracy. The comparison of predicted solutions with LMS-BPNN and an approximate series solution are compared and the goodness of fit is found. The momentum boundary layer became higher and higher as there was an enhancement in the value of Caputo, fractional order α = 0.5 to α = 0.9. Higher thermal boundary layer (TBL) profiles were observed with the rising value of the heat source.
Keywords:
machine learning; ANN; LMS-BPNN; fractional order Maxwell fluid model; Caputo’s time fractional derivatives; heat and mass transfer; cylinder MSC:
68T07; 53C30; 80A19; 35R11
1. Introduction
The attributes of fluid flow with heat and mass transport phenomena for non-Newtonian fluids have extensive industrial and engineering applications, such as blood flow phenomena, waxy crude reservoirs, rheological processing, heat and mass exchanger processes, chemical polymers, and packed-bed chemical catalytic reactors [1,2,3]. Recently, various researchers have paid attention to the fascinating phenomena of heat and mass transport in non-Newtonian fluids due to their inherent characteristics, specifically, viscoelastic behavior [4,5,6]. Various models have been developed to capture the complex behavior of non-Newtonian fluids, each suited for different fluid types. Common non-Newtonian fluid models include second- and third-grade fluid models, the power-law fluid model, Casson fluid model, and Maxwell fluid model [7]. The Maxwell model stands out for its ability to describe rate-type fluids, particularly in predicting stress relaxation time [8,9,10].
Maxwell fluids serve as an effective model for the augmentation of heat and mass transport in conductive fluids [11]. Vieru and Rauf [12] formulated the Stokes–Maxwell fluid flow problem by considering the effects of a slip condition at the boundary. They computed the exact solutions for both the slip and no-slip conditions. An exact solution for the unsteady boundary layer flow of Maxwell fluid over two circular cylinders was examined by Shen et al. [13]. They computed the solution using the Laplace and Hankel transformation methods. Khan et al. [14] examined the MHD oscillations in the form of sine and cosine functions for Maxwell fluid flow in a porous medium. They computed steady and transient solutions in terms of velocity and shear stress parameters with the Laplace transformation method. Sudarmozhi et al. [15] addressed the two cases of thermal and concentration transport in two-dimensional MHD viscoelastic Maxwell fluid flow over a stretched circular cylinder and flat plate, respectively, under the influence of curvature parameters. They integrated the numerical results with the aid of a built-in function in MATLAB, namely bvp4c, with fourth-order accuracy. Their findings revealed that, with a positive increment in Deborah number, the velocity field declined, whereas temperature and concentration fields showed identical behavior. Khan et al. [16] studied the effect of thermophoretic and stratification on the heat and mass transfer flow of viscoelastic fluid over a sheet with variable thermal conductivity. The governing equations are converted into a system of ordinary differential equations with the aid of suitable similarity variables. The transformed system of ODEs was solved through bvp4c numerical technique.
Fractional calculus is an extension of classical calculus and has a longstanding history. The emergence of fractional derivatives has made it easier to understand the complex processes in many fields of life, including fluid mechanics [17,18,19]. There are several ways to define fractional derivatives; however, Riemann–Liouville fractional derivative and the Caputo fractional derivative are the two most significant ones in applications. A strong connection is found between the Caputo fractional derivative and Riemann–Liouville fractional derivative. It is sometimes possible to transform the Riemann–Liouville fractional derivative into a Caputo fractional derivative under some conditions on the regularity of the function [20,21]. The last decade is considered to have been successful for researchers in applying fractional calculus for describing various dynamics including relaxation, oscillation, and viscoelastic phenomena. Several authors have pointed out that the integral-order models for viscoelastic material appear to be insufficient, particularly in terms of the qualitative aspect. At the same time, they proposed fractional-order laws of deformation for capturing the viscoelastic response of such materials [22,23]. The fractional constitutive relationship model is more useful than the conventional model for describing the properties of viscoelastic fluid [24]. The Maxwell model has been used a lot in attempting to model the linear viscoelastic response of some polymers in the glass transition and glass state [25]. Existing studies revealed that fractional differential equations have been solved numerically through different numerical techniques, such as the spectral element method, finite difference method, and finite element method [26,27,28,29,30,31]. Gao et al. [32] introduced a new fractional numerical differentiation formula to compute the Caputo fractional order derivative. Odibat [33] presented two algorithms; one for Caputo time fractional integration based on the modified trapezoidal rule and the second one for Caputo fractional order differentiation. Li et al. [34] incorporated two numerical methods, which are based on piecewise interpolation and Simpson method for fractional calculus and Caputo time fractional order differential equations respectively.
Caputo’s time fractional derivative is one of the most utilized definitions of a fractional derivative. Zhang et al. [35] investigated the unsteady two-dimensional fractional Maxwell fluid flow problem induced by a variable pressure gradient with magnetohydrodynamics (MHD) using the Caputo time fractional derivative. They also presented the solution through two different approaches: an analytical solution via the method of separation of variables and a numerical solution using the finite difference method. Fetecau et al. [36,37] investigated the Maxwell fluid model over a uniformly accelerated plate using the integral transformation technique and computed the results in terms of the velocity field and shear stress parameter. They also expressed their obtained fractional derivative results as classical derivatives by setting the fractional parameter to one. An unsteady thermal transport of Maxwell fluid flow in natural convection over a vertical flat plate was examined by Zhao et al. [38]. They computed the solution in terms of velocity and thermal field distributions via the fractional derivative approach. They also placed significant emphasis on the fractional parameter and relaxation time for the problem under consideration. Xu and Tan [39] studied the fractional anomalous diffusion of second-grade fluid flow due to an impulsively moving flat plate. They presented the solution in the form of a velocity field and shear stress parameters. Bai et al. [40] examined the convection heat transfer characteristics of a fractional Maxwell fluid in accelerated flow, taking into account the effects of MHD and viscous dissipation under slip conditions.
With the advancement of technology, artificial intelligence and machine learning approaches have opened new doors to compute more accurate and precise solutions to complex fluid dynamics problems. One of the important aspects of artificial intelligence and machine learning is artificial neural network (ANN), which is an excellent framework for analyzing fluid flow problems [41]. An important aspect of ANNs is to handle the non-linearity of fluid flow phenomena more precisely. A supervised learning approach can easily handle complex relationships between input parameters (like geometry and boundary conditions) and desired outputs (i.e., velocity, temperature, and concentration) from the data, unlike the conventional methods [42]. Furthermore, their neural structure, comprised of nodes, interconnected in a network that takes information and makes a decision is designed on the basis of the neural structure of the human brain. ANNs can not only determine the complicated relationships and patterns in data through training, but also provide an expeditious and precise approach to predict the performance of the solutions. Different types of neural networks have been employed by the researcher; some of them are the perceptron network, feed-forward neural network (FFNN), feed-backward neural network (FBNN), back-propagation neural network (BPNN), and deep neural network (DNN) [43]. Further details in the literature can be found [44,45]. The analysis of the double-diffusive fluid flows as well as the importance of the non-Newtonian fluids has been well known and understood in the field of fluid dynamics for theoretical study and applications. More importantly, due to the increasing complexity of such non-linear flows, traditional simulation techniques are challenged with several issues regarding accuracy, computational time, and resources that are needed for the simulation, which are effectively addressed by our LMS-BPNN approach. Therefore, the machine learning approach fits the bill as a promising solution to the aforementioned limitations. Tizakast et al. [46] focused on developing a machine learning-based platform for numerical simulations to a well-known problem of double-diffusive natural convection in a rectangular cavity involving non-Newtonian fluids. Sabir et al. [47] presented the numerical solutions of the Maxwell nanofluid model by applying stochastic computing paradigms. Nasr et al. [48] used ANNs to investigate the thermo-hydraulic behavior of a spirally twisted tube. Zeeshan et al. [49] investigated the sensitivity of viscous fluid over a porous wedge using LMS-BPNN for flow response output. Heat transfer in the presence of oil and glycol–water base solution was investigated by Colorado et al. [50] with FFNN. Reddy and Das [51] employed a BPNN for the analysis of MHD boundary layer flow over an extending cylinder with a chemical reaction. The LMS-BPNN computational intelligence scheme was applied to examine the impact of Hall effects and thermal radiation on boundary layer flow upon a stretching sheet [52].
Motivated by the application of machine learning and Caputo’s time fractional derivative in fluid mechanics, the authors focused on the heat and mass transfer of Maxwell fluid with a Levenberg-Marquardt scheme with a backpropagation neural network (LMS-BPNN) inside a circular cylinder. The graphical and tabulated results are presented to validate the efficiency and accuracy of the proposed scheme. The remaining sections of the paper are structured as follows; Section 2 outlines the mathematical modelling of the problem under consideration. Section 3 introduces the numerical technique employed to derive the solution. The results and discussions are demonstrated in Section 4. Sensitivity analysis is elaborated in Section 5. Finally, concluding comments are summarized in Section 6.
2. Mathematical Formulation
2.1. Geometry of the Problem
Consider incompressible, unsteady non-Newtonian time fractional order Maxwell fluid flow within a cylinder having radius with the magnetic field effect.
is defined velocity field. Here, , , and are velocity components along the , , and axes, as shown in Figure 1.
Figure 1.
Flow geometry.
2.2. Constitutive Equation
The Maxwell fluid stress tensor is defined as
where is the relaxation time, indicates the material time derivative, and = is the first Rivlin–Ericksen tensor. If , Newtonian fluid is achieved.
2.3. Caputo’s Time Fractional Derivative Operator
Caputo’s time fractional derivative operator is defined as [20];
The convergence and stability of the Riemann Liouville and Caputo derivatives were discussed by Qian et al. [53]. They established a stability theorem for fractional differential systems with Riemann–Liouville and Caputo derivatives. Further literature concerning the convergence and stability analysis of fractional order derivatives is available [54,55].
3. Flow Equation and Boundary Condition
The governing flow equations are defined as follows.
where is the current density. However, the specific heat capacity of fluid is , and presents heat flux, which is defined in terms of Fourier’s, whereas Fick’s laws define mass flux as . Consider axisymmetric, steady, and incompressible flow assumptions and utilize Equations (3)–(6) and eliminate in Equations (1) and (4), the momentum boundary layer PDEs are defined as follows:
The momentum equation for the Maxwell Model in cylindrical system is given by [56,57,58,59]:
where is a fractional Maxwell’s tangential stress factor [60] and is represented by
If we replace the value of = 0 and or 0 and , the non-Newtonian fluid can be converted into Newtonian fluid, and if we replace the value = 1, classified Maxwell fluid will be obtained. The pressure difference is given as [61,62]:
where and are constants representing the amplitude due to the pulsatile pressure gradient and is the frequency.
Thus, after replacing the above values, the governing momentum equation in fractional form is given below;
The energy equation [56,57,58,59]: is defined as
where is thermal conductivity and is specific heat. is a metabolic source of heat and is radioactive heat flux [63,64], and is expressed as
is a frequency-dependent absorption coefficient [63,64]:
where is Planks function. By substituting the values of Equations (12) and (13) into Equation (11), the following form of energy equation is obtained
The concentration equation with the Soret effect [56,57,58,59]: can be expressed as follows
The concentration is denoted by , is the diffusibility of mass, and is a ratio of thermal diffusion. is ambient temperature and represents the chemical reaction coefficient.
It is considered that there is no flow initially, i.e., at time , inside the cylinder. There is a fundamental concept of no-slip velocity in the domain of fluid mechanics. It addresses that a fluid in contact with a wall or boundary of the surface will have zero velocity. Therefore, at all times greater than zero (), the velocity of the fluid in the neighborhood of wall remains stationary, i.e., when , velocity . Initially, the wall temperature and concentration are and , respectively. The flow is symmetric about central axes of the cylinder i.e., at , symmetry conditions are applied. The initial boundary conditions to solve the flow model are given by:
Non-Dimensionalization
The above model equations are transformed into a dimensionless form with defined dimensionless parameters as follows:
The Flow Chart of the research design is given next, in Figure 2.
Figure 2.
Flow model ML.
The dimensionless transformation quantities (Equation (18)) are applied to the governing equations of the flow problem, and dimensionless equations are obtained as follows:
The dimensionless numbers help to characterize flow regimes, predict heat and mass transfer, identify dominant forces, scale-up processes, and simplify complex problems. We will next give some details of these numbers.
is Reynolds number, which is the ratio of inertial forces to viscous force. It is used in the prediction of the flow as laminar or turbulent flow. The Reynold’s number that occurs at such a condition of flow when the laminar flow turns into turbulent flow is known as the critical Reynold’s number. When some fluid is passing through the pipe, indicates laminar flow and suggests turbulent flow. The Hartman number, , shows the magnetic effects as , which is the ratio of electromagnetic forces to viscous forces. The mixed convection is shown as (Thermal Grashof number), which is the ratio of buoyancy forces due to temperature differences to viscous forces and (Solutal Grashof number) is the ratio of buoyancy forces due to concentration gradients to viscous forces. Franz Grashof introduced the Grashof number, which is very important in mass transfer-driven convection. However, it can also provide some indication of the heat transfer and flow characteristics of systems where buoyancy forces are dominant, such as systems involving pipes with temperature gradients. When the Grashof number is large, buoyant forces have a larger influence on the flow rather than viscous force and hence the effects of natural convection are more dominant. This usually occurs when there exists a large temperature difference between the fluid and the wall of the pipe. In this case, the fluid that is adjacent to the wall will be heated, expand, and rise, while the cooler fluid will displace downwards. When the Grashof number is small, viscous forces are more powerful and buoyancy effects are negligible. In such cases, the fluid flow will be due to forced convection, i.e., motion of the fluid by outside forces (pumps, fans etc.), rather than buoyancy forces. Meanwhile, is a radiation parameter that defines the relative contribution of conduction heat transfer to thermal radiation transfer. is a Prandtl number, which is the ratio of momentum diffusion to thermal diffusion. It characterizes fluid flow and heat transfer. A small Prandlt number implies that the rate of heat diffusivity is higher than the velocity of the fluid (velocity or momentum is low). Consequently, it follows that the thermal boundary layer shall be thinner than the velocity boundary layer in that the fluid will heat up or cool down more quickly in relation to its flow characteristics. The value of Prandtl number for gasses. Meanwhile, when , the momentum diffusivity dominates the behavior of the fluid. is a Peclet number, which is the ratio of convective transport to diffusive transport. It has relevance in mass transfer and chemical reactions. The Brinkman number is represented by , which is the ratio between the heat produced by viscous dissipation and heat transported by molecular conduction. is a Schmidt number, which is the ratio of momentum diffusion to mass diffusion. It is significant for mass transfer, mixing, and chemical reactions. is a Soret number, which measures the ratio of thermal diffusion to mass diffusion. It characterizes thermally driven mass transport, and represents the chemical reaction parameter.
The corresponding dimensionless boundary conditions are obtained as follows:
Table 1 presents the different parameters of interest for the proposed fractional model to examine the flow behavior within cylinder. Seven different scenarios are considered with three cases of pertained parameters i.e., , , , , , and . The effects of these parameters are addressed for velocity, temperature and concentration profiles for the proposed fractional order derivatives with LMS-BPNN.
Table 1.
Scenario for fractional Maxwell fluid within a cylinder.
4. Research Methodology
The author focuses on solving the mixed convection MHD boundary layer flow of a fractional order Maxwell fluid model within a cylinder. The effects of different parameters, used in Equations (19)–(21) were analyzed. The reference solution was computed by using the homotopy perturbation method (HPM) for the solution of the boundary-layer flow problem. However, the forecast solution was obtained with LMS-BPNN. The literature has revealed that several analytical, semi-analytical, and numerical techniques have been developed to solve the nonlinear fractional partial differential equations of physical importance, such as the finite difference method, Adomian decomposition method, Laplace transform method, variational iteration method, and homotopy perturbation method (HPM) techniques. The one that is used the most is the He’s homotopy perturbation method. HPM refers to the homotopy perturbation method, which is a recent semi-analytical technique that is being used to approximate the solutions of both linear and nonlinear problems. The method was originally proposed by He [65] and was not only successfully used for almost all conventional differential equations, but also useful in solving fractional partial differential equations. The majority of the conventional perturbation techniques have been developed under the assumption of small parameters, and the identification of such parameters appears to be a very delicate process These small parameters are so sensitive that a small change will affect the results badly. Thus, an appropriate choice of small parameters results in ideal values. Moreover, He [65] developed HPM in which no small parameter assumptions are required. Zhang et al. [66] incorporated a straightforward and accurate analysis of the homotopy perturbation method (HPM) for the two-dimensional Caputo’s time-fractional wave equation.
HPM combines the concepts of homotopy in topology with a perturbation scheme to find an approximate solution in the form of a rapidly converging series. The convergence of HPM is important to address because it depicts the method’s applicability, as it affects the accuracy and stability of the series solution. The convergence of HPM is well established in [67,68,69]. The integration of the homotopy perturbation method in generating the dataset is justified for the fact that HPM is known to be efficient in solving nonlinear problems with reliable approximations, hence ensuring that the dataset generated for training the LMS-BPNN is diverse and rich. This combination of HPM with the ANN model also enhances the capacity of the fractional Maxwell model to learn from high-quality data, hence increasing its performance and the generalizability of the model. The linear operator is defined as with initial assumptions of , , ] is used. After that, ANN with LMS-BPNN is applied to obtain the approximate solutions of fractional order differential equations.
Artificial Neural Networks
A widely recognized area of study within artificial intelligence (AI) is ANN research, which is built upon the structural organization of the human brain. ANNs serve as a data modeling tool, utilizing diverse parameters and learning techniques for their functionality [70,71]. The numerical data sheet is computed using a series solution approach. Then, the predicted solution is obtained by using LMS-BPNN for the Caputo’s time fractional order Maxwell fluid. The data sheet is divided into three sets, i.e., is utilized for training purposes, for validation, and for testing. ANNs consist of several input, hidden, and output layers, which contain a variety of neurons/nodes. The information that ANN holds is determined by several neurons, which are represented as numerical values known as weights. These weights are applied to compute output for an initial trial input value. The performance of the recommended fractional Maxwell fluid model Equations (19)–(21) with boundary conditions (22) was studied by LMS-BPNN. In fluid flow problems, authors have shown that it is feasible to create an artificial neural network (ANN) utilizing a back-propagation algorithm in conjunction with the Levenberg–Marquardt optimization scheme. This ANN is trained on datasets generated by the homotopy perturbation method, which is a powerful technique for approximating the solutions of nonlinear differential equations.
By leveraging this approach, the ANN can accurately predict fluid flow characteristics within a specified range of input values. The benefits of using ANNs include their ability to learn complex patterns and relationships in the data, leading to high prediction accuracy and efficiency as compared with traditional numerical methods.
This method effectively bridges the gap between data-driven approaches and analytical techniques, offering a robust tool for researchers and engineers dealing with complex fluid dynamics problems. The successful application of this ANN framework highlights the potential of combining machine learning with established mathematical techniques to enhance the predictive capabilities in fluid flow analysis.
Figure 3a addresses the working methodology of LMS-BPNN for the considered Caputo fractional order Maxwell fluid within a cylinder. The input data are presented as , , …, , as demonstrated in Figure 3a. The weight function in the input layer is presented as and is a basis. However, is the activation function in the jth layer. is the weights function in the output layer of ANN. In the multilayer ANN, seven input scenarios are considered (), as displayed in Figure 3b.
Figure 3.
Representation of ANN.
Table 2 address the performance of proposed LMS-BPNN technique for the investigation of pertained parameters i.e., , , , , , and on velocity, temperature and concentration profiles of the fractional order Maxwell fluid within a cylinder. The numerical data are divided into training, testing, and validation purposes. The performance is discussed in term of epoch/iterations, gradient, and to ensure the validity of LMS-BPNN.
Table 2.
Outcomes of LMS-BPNN for Scenarios 1–7.
The loss function quantifies the variation between the expected and actual outputs (also known as ground truth) for a given set of input data. An ANN is developed by taking five neurons in hidden layers and three outputs. The LMS-BPNN performance of the suggested fractional Maxwell fluid model Equations (19)–(21) with boundary conditions (22) is verified using regression, histogram, and MSE analysis. The velocity , temperature (), and concentration () profiles for scenarios 1–7 were analyzed with LMS-BPNN (for details, see [72,73]).
The metrics related to values and patterns in residuals for fractional order time derivatives are expressed in Table 3 and include practical parameters like SSE, R-square, Adj R-sq, as well as RMSE for different scenarios. The following observations have been noticed while comparing the metrics.
Table 3.
Residual fit for fractional order time derivatives for scenarios 1–7.
The observed values in R-square and Adj R-sq were on the higher side i.e., close to one, which indicates a strong fitness of observed and predicted values in almost all scenarios. Observing the trend from the above tabular form, we determined that the model having higher values of R-square and Adj R-sq along with a lower value of RMSE showed better accuracy.
RMSE and SSE varied from one scenario to the other, offering an indication that the precision of models may not be the same over different scenarios or data sets.
Table 4 shows a comparison of the velocity profile with the literature, see Figure 3 [56], which depicts the variation in velocity profiles for different values of fractional parameter. In Table 4, the value of was chosen for comparison at time , which showed similar results. We can clearly observe the accuracy of our implemented model.
Table 4.
Comparison of velocity profile with the literature.
5. Result and Discussion
LMS–BPNN was implemented to inspect outcomes of the proposed fractional Maxwell fluid model within a cylinder for various physical parameters of desired interest, as mentioned in Table 1. Seven different scenarios, each with three cases, are addressed. The governing flow equations are nonlinear PDEs and are represented as Equation (11) and Equations (15) and (16) with boundary conditions (17). The dimensionless variables are introduced to flow equations into a dimensionless form of PDEs (19)–(21) with boundary conditions Equation (22). The reference solutions were obtained by solving Equations (19)–(21) with boundary conditions (22) with HPM and the predicted solutions were obtained with the AI-based algorithm Levenberg–Marquardt scheme with back-propagation neural network (LMS-BPNN). The numerically labeled data sheet was divided into three different portions, for training, for validation, and for testing. The efficiency and validity of the proposed LMS-BPNN for the fractional Caputo-order Maxwell fluid model within a cylinder are displayed graphically in Figure 4, Figure 5 and Figure 6. The mean squared error (MSE) is the difference between predicted and numerical values of labeled data. However, the error histogram shows the graphical view of target values and predicted values. Figure 4a–g shows the mean squared error (MSE) for case 1 for scenarios 1–7, as mentioned in Table 1. The numerical values of MSE are shown in Table 2. The proposed MSE for the training, validation, and testing of the labeled data is approximate, . Figure 5a–g shows the error histograms for scenarios 1–7 of case 1 for LMS-BPNN. Figure 6 displays linear regression for scenarios 1–7 using case 1 with LMS-BPNN.

Figure 4.
The mean squared error (MSE) for different scenarios of case 1 with LMS-BPNN for the proposed fractional Maxwell fluid model within a cylinder.

Figure 5.
Error histograms for different scenarios of case 1 with LMS-BPNN for the proposed fractional Maxwell fluid model within a cylinder.

Figure 6.
Regression line analysis for different scenarios of case 1 with LMS-BPNN for the proposed fractional Maxwell fluid model within a cylinder.
The performance of the intended LMS-BPNN for the numerical solution of the fractional Caputo-order Maxwell fluid is also displayed in Table 2. The performance for case 1 of scenarios 1–7 is [, , , , , , and ] against epoch [175, 39, 51, 176, 484, 46, and 95]. The numerical values of and gradient for the numerical solution of fractional Caputo-order Maxwell fluid with LMS-BPNN are [, , , , , , and ] and [, , , , , and ], respectively.
The regression analysis involves fitting a line to best represent a dataset’s behavior to minimize the total distance from the data points. The regression analysis is described with the help of the correlation index (). If , then it means that the data are perfectly correlated. It is also found from Figure 6a–g that the data are perfectly correlated for scenarios 1–7. The function fit is displayed in Figure 7a–g. This figure shows that the fitted function satisfies the boundary conditions. This shows the validity and reliability of the function fit. Table 3 depicts the residual analysis for fractional-order Caputo Maxwell fluid for different scenarios 1–7.

Figure 7.
Function fits for different scenarios of case 1 with LMS-BPNN for the proposed fractional Maxwell fluid model within a cylinder.
To examine the R-square, SSE, DFE, and Adj. R-square, a 95% level of confidence is considered with the use of the linear polynomial function. The residual analysis for scenarios 1–7 is addressed, and R-square is computed. The R-square values are 0.9068, 0.8984, 0.8940, 0.8168, 0.8336, 0.8998, and 0.8998 for scenarios 1–7, respectively. Figure 8a–g display graphical views of the residual plots for different scenarios. It is noted in Figure 8a–g that the most points are concentrated at the center of the considered domain for various scenarios 1–7.

Figure 8.
Residual fit for different situations of case 1 with ANN for the proposed fractional Maxwell fluid model within a cylinder.
Influence of Dynamics Parameter on Flow Output Response
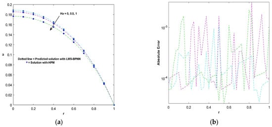
The consequences of , and for the momentum boundary layer (MBL) of Caputo’s time fractional order of the proposed Maxwell fluid model with LMS-BPNN are displayed in Figure 9, Figure 10 and Figure 11. The influence of on MBL is presented in Figure 9a at time with an error estimate in Figure 9b. The green, purple and blue dashed lines in Figure 9a represent the impact of fractional order, , and on velocity respectively and the same lines depict the error analysis in Figure 9b. This figure reveals that, with the increase in the value of to , the momentum boundary layer becomes higher and higher as the velocity of the fluid rises. Figure 10a displays the behavior of the velocity profiles as time passes from to against values of . The green, purple and blue dashed lines in Figure 10a represent the impact of time, , and on velocity respectively and the same lines depict the error analysis in Figure 10b. The fluid velocity increased as time increased from to . The error estimate was found to be in Figure 10b. It is important to address that, when a magnetic field is introduced in the considered domain of fractional-order Maxwell fluid within a cylinder, then due to the motion of fluid, the electric current is induced. The Lorentz force is produced due to this phenomenon. The Lorentz force opposes the flow motion of fluid, and as a result, the velocity of fluid declines. The effects of Hartman number on the momentum boundary layer are depicted in Figure 11a and the error estimate was found to be in Figure 11b. The green, purple and blue dashed lines in Figure 11a represent the impact of Hartman number, , and on velocity respectively and the same lines depict the error analysis in Figure 11b. When the Hartman number increased, the MBL decreased, as shown in Figure 11a. This resulted in a decrease in the fluid velocity when the Hartman number increased.
Figure 9.
Variations in for velocity and absolute error.
Figure 10.
Variations in for velocity and absolute error.
Figure 11.
Variations in for velocity and absolute error.
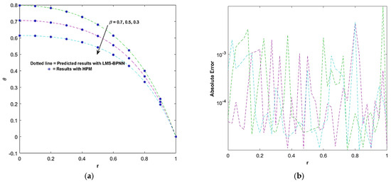
The consequences of heat source () and thermal radiation parameter () on the thermal boundary layer are demonstrated in Figure 12 and Figure 13. Figure 12a addresses the consequences of on the thermal boundary layer. It can be concluded from the observation that, with the increase in heat source values, the temperature of the fluid increased. The absolute error was calculated and found to be in Figure 12b. The green, purple and blue dashed lines in Figure 12a represent the impact of heat source, , and on temperature respectively and the same lines depict the error analysis in Figure 12b. The variations in for temperature are shown in Figure 13a,b shows the error estimate. The green, purple and blue dashed lines in Figure 13a represent the impact of radiation parameter, , and on temperature respectively and the same lines depict the error analysis in Figure 13b. This figure demonstrates that, when increased, the temperature profile of fluid increased. The concentration profile is discussed in Figure 14 and Figure 15 for Scenarios 6–7. Figure 14a shows the impacts of the chemical reaction parameter () on the concentration profile. It shows that the increase in chemical reaction parameter resulted in a decrease in the concentration profile with error in Figure 14b. The green, purple and blue dashed lines in Figure 14a represent the impact of chemical reaction parameter, , and on concentration profile respectively and the same lines depict the error analysis in Figure 14b. Figure 15a shows the effects of number on the concentration of species. This figure shows that, when we increased the values of , then the concentration profile increased with error in Figure 15b. The green, purple and blue dashed lines in Figure 15a represent the impact of Schmidt number, , and on concentration profile respectively and the same lines depict the error analysis in Figure 15b. To enhance the validity and reliability of the proposed scheme LMS-BPNN, we computed an approximate series solution with HPM. HPM had strong convergence over a domain of 0 to 1. The predicted solution with LMS-BPNN was compared with HPM and showed that both solutions were fitted well. This demonstrates that our proposed neural network predicted solution efficiently and exhibited enhanced accuracy and robustness for the considered scenarios of the pertained parameters.
Figure 12.
Variations in for temperature and absolute error.
Figure 13.
Variations in for temperature and absolute error.
Figure 14.
Variations in for concentration and absolute error.
Figure 15.
Variations in for concentration and absolute error.
6. Sensitivity Analysis
Sensitivity analysis is first rate of change of output response, i.e., velocity, temperature, and concentration profiles with respect to the input parameters. In this case, we focused on examining the sensitivity analysis of the velocity profile against the input parameters, i.e., , , and . To perform the sensitivity analysis, an experimental design is used with response surface methodology [74,75]. RSM is a statistical method to show the relationship between the input variables and the output (response) variables. In this paper, we used three input variables, , , and , which are denoted by A, B, and C, respectively. ANOVA is a statistical strategy that determines the statistically significant difference between different input parameters and output response. Here, the input parameters are , , and and the output response is velocity. We used the multiple regressions to obtain the polynomial of correlation for the responses (velocity). The statistical software used for the analysis of data in this study is MINITAB version 19. A response surface methodology using a central composite design was employed. Design input variables and CCD levels are mentioned below in Table 5. Face-centered CCD-RSM with three levels of design is employed and the minimum, central, and maximum range are codified as 1, 0, and −1, respectively.
Table 5.
Parameters of interest for velocity.
The regression models were used with twenty experiments and nineteen degrees of freedom by using Minitab which is represented in Table 6.
Table 6.
Experimental design for velocity.
An empirical correlation is developed for output velocity and shown in Equation (23);
Sensitivity values are proportional to the response function with respect to the input parameters. We took the first rate of change of Equation (23) with respect to A, B, and C, as shown below:
While p-value assesses model’s precision, the F-value quantifies the extent of variability around the mean value. The F-values show that the model is statistically significant for velocity as shown in Table 7. ANOVA was used to identify the surface layouts for which the response is to be stored.
Table 7.
ANOVA for velocity.
It is noted that coefficient of determination ( and adjusted coefficient of determination ( were close to each other, as shown in Table 8, thus showing the model accuracy. Table 8 shows the statistical estimates of the simplified models for the output response.
Table 8.
Regression coefficients for velocity profile.
Residual plot representation is imperative to check the accuracy of the relationship among input physical quantities and output responses. The residual is unexplained data points by regression line. When the model fails to depict the relationship among the input quantities and output responses, a lack of fit arises. We used the ANOVA table to express the residual plots, which are shown in Figure 16. The normal probability plot tests the normality of the data. The normal probability plots are linear, and it means that the data are normal, which can be seen in Figure 16a. The residual histogram indicates the validity of the model. In Figure 16b, we can observe that the residual histogram plots are less skewed and are similar to symmetric distribution, meaning that the model has a good fit. Figure 16c demonstrate that as the number of observations increases, the residual of u decreases, indicating a strong link between fitted and original values.
Figure 16.
Residual plots for u max: (a) Normal probability plot, (b) Histogram, (c) Observation order.
The sensitivity analysis of velocity profile is a parameterized variation and is shown in Figure 17. The sensitivity values of the velocity profile at medium levels of B and C are shown in Table 9 and are represented by using the bar graph in Figure 17. It can be seen that the sensitivities of B and C were positive towards the velocity profile, but A was negative in Figure 17a–c. This means that fluid velocity increases by increasing B and C, and decreases by increasing A.
Figure 17.
Sensitivity of for (a) (b) (c) .
Table 9.
Sensitivity analysis for output response at .
7. Conclusions
The goal of the conducted research was to investigate the heat and mass transfer in a chemically reacting fractional-order Maxwell fluid flow within a cylinder with the effects of thermal radiation and a heat source using machine learning techniques. Many practical applications, including biomedical and industrial processes involving non-Newtonian fluids, could benefit from this approach. In biomedical fields, non-Newtonian fluids are commonly used in applications like blood flow modeling and drug delivery through lubricants and medications. In engineering and various industries, such as chemical manufacturing, food processing, and pharmaceuticals, numerous products, like toothpaste and shampoos, exhibit non-Newtonian behavior. The governing equations of the considered Caputo’s time-fractional order Maxwell fluid are nonlinear PDEs. The dimensionless variables are used to make the flow problem dimensionless. The reference solution was obtained with HPM. The numerical datasheet was divided into three portions, i.e., was used for training the artificial neural network, for validation, and for testing. The predicted solution was computed with the training of the artificial neural network with LMS-BPNN. The performance of the AI-based neural network trained with LMS-BPNN was calculated with MSE, residual analysis, error histogram, correlation index, and RMSE. The consistency and reliability of the proposed scheme were observed with MSE and found to be approximately . Residual values, i.e., R-square, of 0.9068, 0.8984, 0.8940, 0.8168, 0.8336, 0.8998, and 0.8998 were achieved for scenarios 1–7 respectively. The performance for scenario 1 of scenarios 1–7 in term of means squared error was [, , , , , , and ] against epoch [175, 39, 51, 176, 484, 46, and 95]. The correlation index was noted to be unity (), which showed that the proposed model was best fitted. The following conclusion was drawn with the influence of dynamics parameters on flow response output, as mentioned in Table 1.
- With the increase in the values of Caputo’s fractional order to , fluid momentum boundary layer increased as a result velocity of fluid increased.
- The momentum boundary layer became higher and higher as time progressed.
- When a magnetic field was applied to a fractional-order Maxwell fluid, the fluid motion induced electric currents, producing a Lorentz force. This force opposed the velocity of the fluid.
- The thermal characteristics increased with the increase in the values of thermal radiation.
- The concentration profile showed increasing behavior with the increase in .
8. Future Work
In future studies, this model could be generalized by considering the heat-mass transfer model for Oldroyd-B or Berger fluid model for different geometries, like channel or cylinders, and conducting an experiment or obtaining experimental data will add to confirm the accuracy and applicability of the theoretical model in real-world scenarios. We may use a general definition of fractional derivatives (like the Atangana–Baleanu derivative operator in the sense of Caputo) and include the impacts of porous media. We will examine flow behavior with physics-informed neural network techniques. Additionally, we have outlined possible directions for future research, including exploring various fluid geometries and boundary conditions.
Author Contributions
Conceptualization, W.U.H., K.S., M.I.K. and L.G.; methodology, W.U.H., K.S., M.I.K. and L.G.; software, W.U.H., M.I.K. and L.G.; validation, W.U.H., K.S. and M.I.K.; formal analysis, W.U.H., K.S., M.I.K. and L.G.; investigation, W.U.H., K.S., M.I.K. and L.G.; resources, W.U.H., K.S., M.I.K. and L.G.; data curation, W.U.H., K.S., M.I.K. and L.G.; writing—original draft preparation, W.U.H. and M.I.K.; writing—review and editing, W.U.H., K.S., M.I.K. and L.G.; visualization, W.U.H., K.S., M.I.K. and L.G.; supervision, K.S. and L.G.; project administration, W.U.H. and M.I.K.; funding acquisition, L.G. All authors have read and agreed to the published version of the manuscript.
Funding
This research received no external funding.
Data Availability Statement
Data are available upon request to the authors.
Conflicts of Interest
The authors declare no conflicts of interest.
Nomenclature
| Symbol | Description | Unit |
| Velocity component | ||
| Magnetic field | ; | |
| Temperature at wall | ; | |
| Initial temperature | ; | |
| Concentration | ; | |
| Relaxation time | ; | |
| Thermal diffusivity of the fluid | ||
| Kinematic viscosity | ; | |
| Density of the fluid | ; | |
| Thermal conductivity | ; | |
| Caputo’s fractional derivative | ||
| Thermal expansion coefficient | ; | |
| Concentration expansion coefficient | ; | |
| Acceleration due to gravity | [m]; | |
| Frequency | []; | |
| Specific heat at constant pressure | ; | |
| Radiative heat flux | ; | |
| Diffusivity of mass | ; | |
| Chemical reaction | []; | |
| Prandtl number | Dimensionless Parameter | |
| Schmidt number | Dimensionless Parameter | |
| Soret Number | Dimensionless Parameter | |
| Reynolds Number | Dimensionless Parameter | |
| Hartman number | Dimensionless Parameter | |
| Thermal Grashof number | Dimensionless Parameter | |
| Solutal Grashof number | Dimensionless Parameter | |
| Peclet number | Dimensionless Parameter | |
| θ | Dimensionless temperature parameter | Dimensionless Parameter |
| ϕ | Dimensionless concentration parameter | Dimensionless Parameter |
Abbreviations
| Abbreviations | Description |
| Artificial neural network | |
| Levenberg–Marquardt scheme with a backpropagation neural network (LMS-BPNN) | |
| Partial differential equations | |
| Machine learning | |
| Mean squared error | |
| Adjusted R-square | |
| Root-mean-square error |
References
- Acrivos, A. Method of characteristics technique. Application to heat and mass transfer problems. Ind. Eng. Chem. 1956, 48, 703–710. [Google Scholar]
- Skinazi, S. Fluid Mechanics and Thermodynamics of Our Environment; Academic Press, Inc.: New York, NY, USA, 1975; p. 435. [Google Scholar]
- Brujan, E. Cavitation in Non-Newtonian Fluids: With Biomedical and Bioengineering Applications; Springer Science & Business Media: Berlin/Heidelberg, Germany, 2010. [Google Scholar]
- Zhao, F.Y.; Liu, D.; Tang, G.F. Application issues of the streamline, heatline and massline for conjugate heat and mass transfer. Int. J. Heat Mass Transf. 2007, 50, 320–334. [Google Scholar] [CrossRef]
- Chhabra, R.P.; Richardson, J.F. Non-Newtonian Flow and Applied Rheology: Engineering Applications; Butterworth-Heinemann: London, UK, 2011. [Google Scholar]
- Peng, Y.; Lv, B.H.; Yuan, J.L.; Ji, H.B.; Sun, L.; Dong, C.C. Application and prospect of the non-Newtonian fluid in industrial field. In Materials Science Forum; Trans Tech Publications Ltd.: Baech, Switzerland, 2014; Volume 770, pp. 396–401. [Google Scholar]
- Chhabra, R.P. Non-Newtonian fluids: An introduction. Rheol. Complex Fluids 2010, 1, 3–34. [Google Scholar]
- Karra, S.; Průša, V.; Rajagopal, K.R. On Maxwell fluids with relaxation time and viscosity depending on the pressure. Int. J. Non-Linear Mech. 2011, 46, 819–827. [Google Scholar] [CrossRef]
- Del Nobile, M.A.; Chillo, S.; Mentana, A.; Baiano, A. Use of the generalized Maxwell model for describing the stress relaxation behavior of solid-like foods. J. Food Eng. 2007, 78, 978–983. [Google Scholar] [CrossRef]
- Reviol, T.; Kluck, S.; Genuit, F.; Reim, V.; Böhle, M. Investigation of the influence of viscoelastic behaviour on the agitation of non-Newtonian fluid flow. Chem. Eng. Sci. 2016, 152, 55–64. [Google Scholar] [CrossRef]
- Hsiao, K.L. Combined electrical MHD heat transfer thermal extrusion system using Maxwell fluid with radiative and viscous dissipation effects. Appl. Therm. Eng. 2017, 112, 1281–1288. [Google Scholar] [CrossRef]
- Vieru, D.; Rauf, A. Stokes flows of a Maxwell fluid with wall slip condition. Can. J. Phys. 2011, 89, 1061–1071. [Google Scholar] [CrossRef]
- Shen, F.; Tan, W.; Zhao, Y.; Masuoka, T. The Rayleigh–Stokes problem for a heated generalized second grade fluid with fractional derivative model. Nonlinear Anal. Real World Appl. 2006, 7, 1072–1080. [Google Scholar] [CrossRef]
- Khan, U.; Ahmed, N.; Mohyud-Din, S.T. Numerical investigation for three dimensional squeezing flow of nanofluid in a rotating channel with lower stretching wall suspended by carbon nanotubes. Appl. Therm. Eng. 2017, 113, 1107–1117. [Google Scholar] [CrossRef]
- Sudarmozhi, K.; Iranian, D.; Khan, I. Heat and mass transport of MHD viscoelastic fluid flow towards a permeable stretching cylinder. Int. Commun. Heat Mass Transf. 2023, 145, 106864. [Google Scholar] [CrossRef]
- Khan, M.N.; Nadeem, S.; Ahmad, S.; Saleem, A. Mathematical analysis of heat and mass transfer in a Maxwell fluid. Proc. Inst. Mech. Eng. Part C J. Mech. Eng. Sci. 2021, 235, 4967–4976. [Google Scholar] [CrossRef]
- Sun, H.; Zhang, Y.; Baleanu, D.; Chen, W.; Chen, Y. A new collection of real world applications of fractional calculus in science and engineering. Commun. Nonlinear Sci. Numer. Simul. 2018, 64, 213–231. [Google Scholar] [CrossRef]
- Atanackovic, T.M.; Pilipovic, S.; Stankovic, B.; Zorica, D. Fractional Calculus with Applications in Mechanics: Wave Propagation, Impact and Variational Principles; John Wiley & Sons: Hoboken, NJ, USA, 2014. [Google Scholar]
- Meral, F.C.; Royston, T.J.; Magin, R. Fractional calculus in viscoelasticity: An experimental study. Commun. Nonlinear Sci. Numer. Simul. 2010, 15, 939–945. [Google Scholar] [CrossRef]
- Podlubny, I. Fractional Differential Equations: An Introduction to Fractional Derivatives, Fractional Differential Equations, to Methods of Their Solution and Some of Their Applications; Elsevier: Amsterdam, The Netherlands, 1998. [Google Scholar]
- Odibat, Z.M. Computing eigenelements of boundary value problems with fractional derivatives. Appl. Math. Comput. 2009, 215, 3017–3028. [Google Scholar] [CrossRef]
- Srivastava, H.M. Fractional-order derivatives and integrals: Introductory overview and recent developments. Kyungpook Math. J. 2020, 60, 73–116. [Google Scholar]
- Luchko, Y. General fractional integrals and derivatives of arbitrary order. Symmetry 2021, 13, 755. [Google Scholar] [CrossRef]
- Wenchang, T.; Wenxiao, P.; Mingyu, X. A note on unsteady flows of a viscoelastic fluid with the fractional Maxwell model between two parallel plates. Int. J. Non-Linear Mech. 2003, 38, 645–650. [Google Scholar] [CrossRef]
- Heibig, A.; Palade, L.I. On the rest state stability of an objective fractional derivative viscoelastic fluid model. J. Math. Phys. 2008, 49, 043101. [Google Scholar] [CrossRef]
- Zayernouri, M.; Karniadakis, G.E. Exponentially accurate spectral and spectral element methods for fractional ODEs. J. Comput. Phys. 2014, 257, 460–480. [Google Scholar] [CrossRef]
- Yuste, S.B. Weighted average finite difference methods for fractional diffusion equations. J. Comput. Phys. 2006, 216, 264–274. [Google Scholar] [CrossRef]
- Cui, M. Compact alternating direction implicit method for two-dimensional time fractional diffusion equation. J. Comput. Phys. 2012, 231, 2621–2633. [Google Scholar] [CrossRef]
- Su, L.; Wang, W.; Wang, H. A characteristic difference method for the transient fractional convection–diffusion equations. Appl. Numer. Math. 2011, 61, 946–960. [Google Scholar] [CrossRef]
- Langlands, T.A.; Henry, B.I. The accuracy and stability of an implicit solution method for the fractional diffusion equation. J. Comput. Phys. 2005, 205, 719–736. [Google Scholar] [CrossRef]
- Lin, Y.; Xu, C. Finite difference/spectral approximations for the time-fractional diffusion equation. J. Comput. Phys. 2007, 225, 1533–1552. [Google Scholar] [CrossRef]
- Gao, G.H.; Sun, Z.Z.; Zhang, H.W. A new fractional numerical differentiation formula to approximate the Caputo fractional derivative and its applications. J. Comput. Phys. 2014, 259, 33–50. [Google Scholar] [CrossRef]
- Odibat, Z. Approximations of fractional integrals and Caputo fractional derivatives. Appl. Math. Comput. 2006, 178, 527–533. [Google Scholar] [CrossRef]
- Li, C.; Chen, A.; Ye, J. Numerical approaches to fractional calculus and fractional ordinary differential equation. J. Comput. Phys. 2011, 230, 3352–3368. [Google Scholar] [CrossRef]
- Zhang, Y.; Zhao, H.; Liu, F.; Bai, Y. Analytical and numerical solutions of the unsteady 2D flow of MHD fractional Maxwell fluid induced by variable pressure gradient. Comput. Math. Appl. 2018, 75, 965–980. [Google Scholar] [CrossRef]
- Fetecau, C.; Athar, M.; Fetecau, C. Unsteady flow of a generalized Maxwell fluid with fractional derivative due to a constantly accelerating plate. Comput. Math. Appl. 2009, 57, 596–603. [Google Scholar] [CrossRef]
- Fetecau, C.; Jamil, M.; Fetecau, C.; Siddique, I. A note on the second problem of Stokes for Maxwell fluids. Int. J. Non-Linear Mech. 2009, 44, 1085–1090. [Google Scholar] [CrossRef]
- Zhao, J.; Zheng, L.; Zhang, X.; Liu, F. Unsteady natural convection boundary layer heat transfer of fractional Maxwell viscoelastic fluid over a vertical plate. Int. J. Heat Mass Transf. 2016, 97, 760–766. [Google Scholar] [CrossRef]
- Xu, M.; Tan, W. Theoretical analysis of the velocity field, stress field and vortex sheet of generalized second order fluid with fractional anomalous diffusion. Sci. China Ser. A Math. 2001, 44, 1387–1399. [Google Scholar] [CrossRef]
- Bai, Y.; Jiang, Y.; Liu, F.; Zhang, Y. Numerical analysis of fractional MHD Maxwell fluid with the effects of convection heat transfer condition and viscous dissipation. AIP Adv. 2017, 7, 125309. [Google Scholar] [CrossRef]
- Basheer, I.A.; Hajmeer, M. Artificial neural networks: Fundamentals, computing, design, and application. J. Microbiol. Methods 2000, 43, 3–31. [Google Scholar] [CrossRef]
- Raissi, M.; Perdikaris, P.; Karniadakis, G.E. Physics-informed neural networks: A deep learning framework for solving forward and inverse problems involving nonlinear partial differential equations. J. Comput. Phys. 2019, 378, 686–707. [Google Scholar] [CrossRef]
- Abdelghany, M.T.; Elshamy, S.M.; Sharafeldin, M.A.; Abdellatif, O.E. Utilizing artificial neural networks to predict the thermal performance of conical tubes with pulsating flow. Appl. Therm. Eng. 2023, 224, 120087. [Google Scholar] [CrossRef]
- Zeeshan, A.; Khan, M.I.; Ellahi, R.; Marin, M. Computational intelligence approach for optimising MHD casson ternary hybrid nanofluid over the shrinking sheet with the effects of radiation. Appl. Sci. 2023, 13, 9510. [Google Scholar] [CrossRef]
- Liu, Y.; Zhu, Y.; Li, D.; Huang, Z.; Bi, C. Computational simulation of mass transfer in membranes using hybrid machine learning models and computational fluid dynamics. Case Stud. Therm. Eng. 2023, 47, 103086. [Google Scholar] [CrossRef]
- Tizakast, Y.; Kaddiri, M.; Lamsaadi, M.; Makayssi, T. Machine Learning based algorithms for modeling natural convection fluid flow and heat and mass transfer in rectangular cavities filled with non-Newtonian fluids. Eng. Appl. Artif. Intell. 2023, 119, 105750. [Google Scholar] [CrossRef]
- Sabir, Z.; Akkurt, N.; Said, S.B. A novel radial basis Bayesian regularization deep neural network for the Maxwell nanofluid applied on the Buongiorno model. Arab. J. Chem. 2023, 16, 104706. [Google Scholar] [CrossRef]
- Nasr, M.J.; Khalaj, A.H.; Mozaffari, S.H. Modeling of heat transfer enhancement by wire coil inserts using artificial neural network analysis. Appl. Therm. Eng. 2010, 30, 143–151. [Google Scholar] [CrossRef]
- Zeeshan, A.; Khan, M.I.; Ellahi, R.; Asghar, Z. Artificial neural network simulation and sensitivity analysis for optimal thermal transport of magnetic viscous fluid over shrinking wedge via RSM. Int. J. Numer. Methods Heat Fluid Flow 2023, 33, 3492–3518. [Google Scholar] [CrossRef]
- Colorado, D.; Ali, M.E.; García-Valladares, O.; Hernández, J.A. Heat transfer using a correlation by neural network for natural convection from vertical helical coil in oil and glycerol/water solution. Energy 2011, 36, 854–863. [Google Scholar] [CrossRef]
- Reddy PB, A.; Das, R. Estimation of MHD boundary layer slip flow over a permeable stretching cylinder in the presence of chemical reaction through numerical and artificial neural network modeling. Eng. Sci. Technol. Int. J. 2016, 19, 1108–1116. [Google Scholar] [CrossRef]
- Raja, M.A.Z.; Shoaib, M.; Hussain, S.; Nisar, K.S.; Islam, S. Computational intelligence of Levenberg-Marquardt backpropagation neural networks to study thermal radiation and Hall effects on boundary layer flow past a stretching sheet. Int. Commun. Heat Mass Transf. 2022, 130, 105799. [Google Scholar] [CrossRef]
- Qian, D.; Li, C.; Agarwal, R.P.; Wong, P.J. Stability analysis of fractional differential system with Riemann–Liouville derivative. Math. Comput. Model. 2010, 52, 862–874. [Google Scholar] [CrossRef]
- Kumar, S.; Sharma, A.; Singh, H.P. Convergence and global stability analysis of fractional delay block boundary value methods for fractional differential equations with delay. Chaos Solitons Fractals 2021, 144, 110648. [Google Scholar] [CrossRef]
- Sene, N. Stability analysis of the fractional differential equations with the Caputo-Fabrizio fractional derivative. J. Fract. Calc. Appl. 2020, 11, 160–172. [Google Scholar]
- Wang, X.; Qiao, Y.; Qi, H.; Xu, H. Numerical study of pulsatile non-Newtonian blood flow and heat transfer in small vessels under a magnetic field. Int. Commun. Heat Mass Transf. 2022, 133, 105930. [Google Scholar] [CrossRef]
- Maiti, S.; Shaw, S.; Shit, G.C. Fractional order model for thermochemical flow of blood with Dufour and Soret effects under magnetic and vibration environment. Colloids Surf. B Biointerfaces 2021, 197, 111395. [Google Scholar] [CrossRef] [PubMed]
- Bansi CD, K.; Tabi, C.B.; Motsumi, T.G.; Mohamadou, A. Fractional blood flow in oscillatory arteries with thermal radiation and magnetic field effects. J. Magn. Magn. Mater. 2018, 456, 38–45. [Google Scholar] [CrossRef]
- Sinha, A.; Shit, G.C. Role of slip velocity on the oscillatory flow of blood through a porous vessel in the presence of heat source and chemical reaction. J. Mech. 2014, 30, 209–218. [Google Scholar] [CrossRef]
- Friedrich CH, R. Relaxation and retardation functions of the Maxwell model with fractional derivatives. Rheol. Acta 1991, 30, 151–158. [Google Scholar] [CrossRef]
- Qiao, Y.; Wang, X.; Qi, H.; Xu, H. Numerical simulation and parameters estimation of the time fractional dual-phase-lag heat conduction in femtosecond laser heating. Int. Commun. Heat Mass Transf. 2021, 125, 105355. [Google Scholar] [CrossRef]
- Chen, Y.; Zhang, X.; Ren, L.; Geng, Y.; Bai, G. Analysis of blood flow characteristics in fractal vascular network based on the time fractional order. Phys. Fluids 2021, 33, 041902. [Google Scholar] [CrossRef]
- Cogley, A.C.; Vincent, W.G.; Gilles, S.E. Differential approximation for radiative transfer in a nongrey gas near equilibrium. Aiaa J. 1968, 6, 551–553. [Google Scholar] [CrossRef]
- Ogulu, A.; Bestman, A.R. Deep heat muscle treatment a mathematical model—II. Acta Phys. Hung. 1993, 73, 17–27. [Google Scholar] [CrossRef]
- He, J.H. Homotopy perturbation technique. Comput. Methods Appl. Mech. Eng. 1999, 178, 257–262. [Google Scholar] [CrossRef]
- Zhang, X.; Zhao, J.; Liu, J.; Tang, B. Homotopy perturbation method for two dimensional time-fractional wave equation. Appl. Math. Model. 2014, 38, 5545–5552. [Google Scholar] [CrossRef]
- Elbeleze, A.A.; Kılıçman, A.; Taib, B.M. Note on the convergence analysis of homotopy perturbation method for fractional partial differential equations. In Abstract and Applied Analysis; Hindawi Publishing Corporation: Cairo, Egypt, 2014; Volume 2014, p. 803902. [Google Scholar]
- Sayevand, K.; Fardi, M.; Moradi, E.; Boroujeni, F.H. Convergence analysis of homotopy perturbation method for Volterra integro-differential equations of fractional order. Alex. Eng. J. 2013, 52, 807–812. [Google Scholar] [CrossRef]
- Yadav, N.; Das, A.; Singh, M.; Singh, S.; Kumar, J. Homotopy perturbation method and its convergence analysis for nonlinear collisional fragmentation equations. Proc. R. Soc. A 2023, 479, 20230567. [Google Scholar] [CrossRef]
- Guo, X.; Li, W.; Iorio, F. Convolutional neural networks for steady flow approximation. In Proceedings of the 22nd ACM SIGKDD International Conference on Knowledge Discovery and Data Mining, New York, NY, USA, 13 August 2016; pp. 481–490. [Google Scholar]
- Yousif, M.Z.; Lim, H.C. Reduced-order modeling for turbulent wake of a finite wall-mounted square cylinder based on artificial neural network. Phys. Fluids 2022, 34, 015116. [Google Scholar] [CrossRef]
- Atayılmaz, Ş.Ö.; Demir, H.; Ağra, Ö. Application of artificial neural networks for prediction of natural convection from a heated horizontal cylinder. Int. Commun. Heat Mass Transf. 2010, 37, 68–73. [Google Scholar] [CrossRef]
- Babu, B.V.; Ramakrishna, V.; Chakravarthy, K.K. Artificial Neural Networks for Modeling of Adsorption. Learning 2008, 5, 5. [Google Scholar]
- Lu, J.; Li, J.; Song, Z.; Zhang, W.; Yan, C. Uncertainty and sensitivity analysis of heat transfer in hypersonic three-dimensional shock waves/turbulent boundary layer interaction flows. Aerosp. Sci. Technol. 2022, 123, 107447. [Google Scholar] [CrossRef]
- Chen, L.; Hussain, D.; Sun, B.; Kazim, M.; Abbas, M.A. Optimization of mass and heat flux of MHD viscous fluid flow with constant proportional Caputo derivative by using response surface methodology: Sensitivity analysis. Int. Commun. Heat Mass Transf. 2024, 154, 107442. [Google Scholar] [CrossRef]
Disclaimer/Publisher’s Note: The statements, opinions and data contained in all publications are solely those of the individual author(s) and contributor(s) and not of MDPI and/or the editor(s). MDPI and/or the editor(s) disclaim responsibility for any injury to people or property resulting from any ideas, methods, instructions or products referred to in the content. |
© 2024 by the authors. Licensee MDPI, Basel, Switzerland. This article is an open access article distributed under the terms and conditions of the Creative Commons Attribution (CC BY) license (https://creativecommons.org/licenses/by/4.0/).