A Bivariate Power Lindley Survival Distribution
Abstract
1. Introduction
2. The Power Lindley Survival Model
- is an increasing function in x and of for each .
- and so that .
- For and for .
- Since the PLS distribution has an increasing failure rate, the following chain of implications hold for it:
Quantile Function
3. Inference
4. A Bivariate Model
A Bivariate Lindley Conditionals Model
5. Estimation
Pseudo-Likelihood Estimation for the BPLS Distribution
6. Numerical Results
6.1. Univariate Simulation
6.2. Simulation Study for the BPLS Distribution
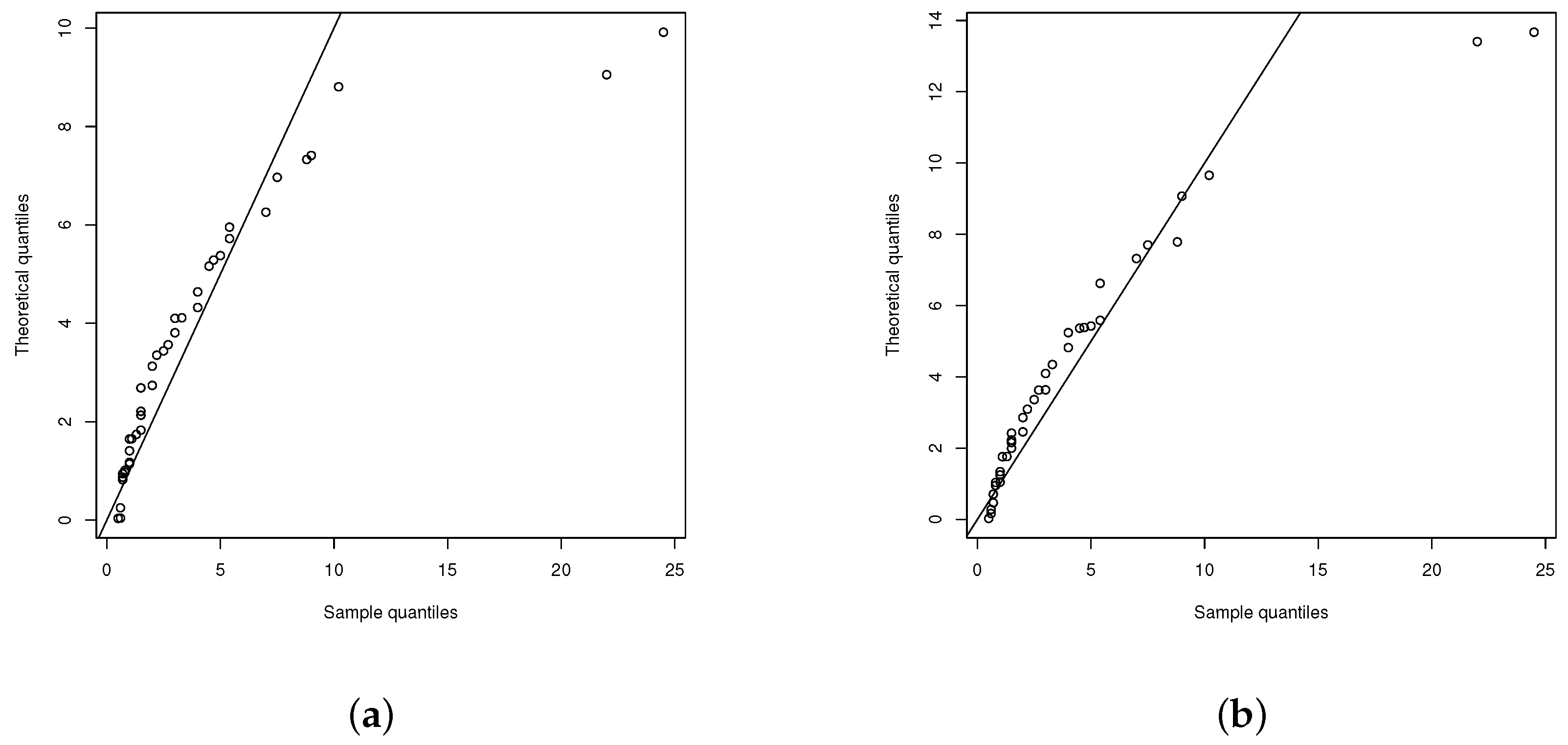
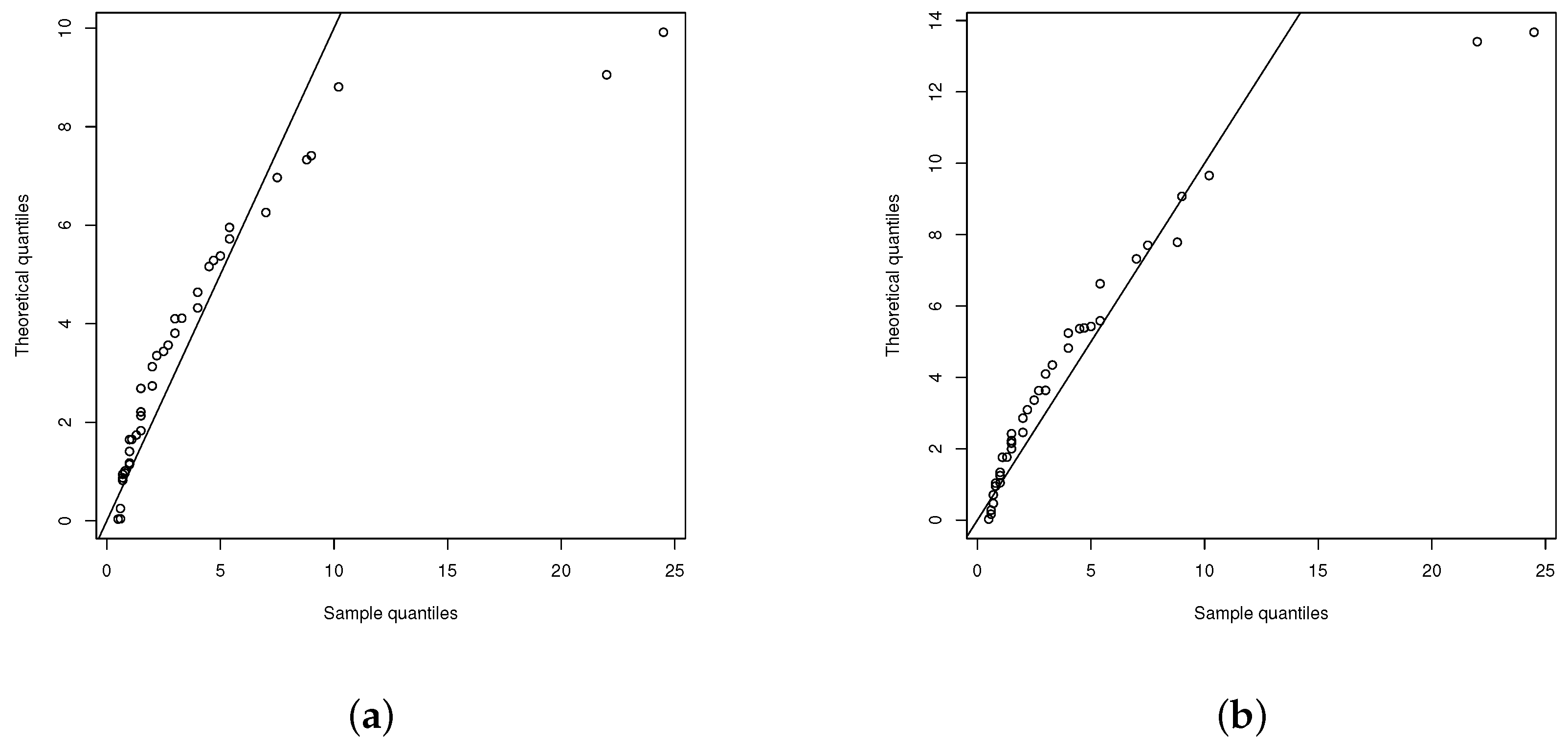
7. Applications of the Models
7.1. Application 1
7.2. Application 2
Author Contributions
Funding
Data Availability Statement
Acknowledgments
Conflicts of Interest
References
- Lindley, D.V. Fiducial Distributions and Bayes’ Theorem. J. R. Stat. Soc. Ser. B 1958, 20, 102–107. [Google Scholar] [CrossRef]
- Ghitany, M.E.; Atieh, B.; Nadarajah, S. Lindley distribution and its application. Math. Comput. Simulat. 2008, 78, 493–506. [Google Scholar] [CrossRef]
- Ghitany, M.E.; Al-qallaf, F.; Al-Mutairi, D.K.; Hussain, H.A. A two parameter weighted Lindley distribution and its applications to survival data. Math. Comput. Simulat. 2011, 81, 1190–1201. [Google Scholar] [CrossRef]
- Ramos, P.L.; Louzada, F. The generalized weighted Lindley distribution: Properties, estimation, and applications. Cogent. Math. 2016, 3, 1256022. [Google Scholar] [CrossRef]
- Ristić, M.M.; Balakrishnan, N. The gamma exponentiated exponential distribution. J. Stat. Comput. Simul. 2012, 82, 1191–1206. [Google Scholar] [CrossRef]
- MirMostafaee, S.M.T.K.; Mahdizadeh, M.; Nadarajah, S. The beta Lindley distribution. J. Data Sci. 2015, 13, 603–626. [Google Scholar] [CrossRef]
- Bakouch, H.S.; Al-Zahrani, B.M.; Al-Shomrani, A.A.; Marchi, V.A.A.; Louzada, F. An extended Lindley distribution. J. Korean Stat. Soc. 2012, 41, 75–85. [Google Scholar] [CrossRef]
- Nadarajah, S.; Bakouch, H.S.; Tahmasbi, R.A. Generalized Lindley distribution. Sankhya B 2011, 73, 331–359. [Google Scholar] [CrossRef]
- Ghitany, M.E.; Al-Mutairi, D.K.; Balakrishnan, N.; Al-Enezi, L.J. Power Lindley distribution and associated inference. Comput. Stat. Data Anal. 2013, 64, 20–33. [Google Scholar] [CrossRef]
- Ashour, S.K.; Eltehiwy, M.A. Exponentiated power Lindley distribution. J. Adv. Res. 2015, 6, 895–905. [Google Scholar] [CrossRef]
- Asgharzadeh, A.; Nadarajah, S.; Sharafi, F. Weibull Lindley distribution. REVSTAT 2018, 16, 87–113. [Google Scholar]
- Khokhar, J.; Khalil, R.; Shahid, N. Zografos Balakrishnan Power Lindley Distriution. J. Data Sci. 2020, 18, 279–298. [Google Scholar]
- Algarni, A. On a new generalized lindley distribution: Properties, estimation and applications. PLoS ONE 2021, 16, e0244328. [Google Scholar] [CrossRef] [PubMed]
- Chhetri, S.; Mdziniso, N.; Ball, C. Cubic Rank Transmuted Lindley Distribution with Applications. Rev. Colomb. Estadística-Appl. Stat. 2022, 45, 65–83. [Google Scholar] [CrossRef]
- Barlow, R.E.; Proschan, F. Statistical Theory of Reliability and Life Testing. Probability Models; To Begin With: Silver Springs, MD, USA; New York, NY, USA, 1981. [Google Scholar]
- R Core Team. R: A Language and Environment for Statistical Computing; R Foundation for Statistical Computing: Vienna, Austria, 2021; Available online: https://www.R-project.org/ (accessed on 15 January 2024).
- Jodrá, P. Computer generation of random variables with Lindley or Poisson–Lindley distribution via the Lambert W function. Math. Comput. Simulat. 2010, 81, 851–859. [Google Scholar] [CrossRef]
- Arnold, B.C.; Castillo, E.; Sarabia, J.M. Conditional Specification of Statistical Models; Springer Series in Statistics; Springer: Berlin/Heidelberg, Germany, 1999. [Google Scholar]
- Arnold, B.C.; Strauss, D.J. Bivariate distributions with conditionals in prescribed exponential families. J. R. Stat. Soc. Ser. B. 1991, 53, 365–375. [Google Scholar] [CrossRef]
- Arnold, B.C.; Martínez-Flórez, G.; Gómez, H.W. Bivariate Proportional Hazard Models: Structure and Inference. Symmetry 2022, 14, 2073. [Google Scholar] [CrossRef]
- Arnold, B.C.; Strauss, D.J. Bivariate distributions with exponential conditionals. J. Am. Statist. Assoc. 1988, 83, 522–527. [Google Scholar] [CrossRef]
- Arnold, B.C.; Strauss, D.J. Pseudolikelihood estimation: Some examples. Sankhya Ser. B 1991, 53, 233–243. [Google Scholar]
- Besag, J. Statistical Analysis of Non-Lattice Data. J. R. Stat. Soc. Ser. D 1975, 24, 179–195. [Google Scholar] [CrossRef]
- Tibaldi, F.; Molenberghs, G.; Burzykowsky, T.; Geys, H. Pseudolikelohood estimation for a marginal multivariate survival model. Stat. Med. 2004, 23, 947–963. [Google Scholar] [CrossRef]
- Cheng, C.; Riu, J. On estimating linear relationships when both variables are subject to heteroscedastic measurement errors. Technometrics 2006, 48, 511–519. [Google Scholar] [CrossRef]
- Jorgensen, B. Statistical Properties of the Generalized Inverse Gaussian Distribution; Springer: New York, NY, USA, 1982. [Google Scholar]
- Akaike, H. A new look at the statistical model identification. IEEE Trans. Autom. Control. 1974, 19, 716–723. [Google Scholar] [CrossRef]
- Schwarz, G. Estimating the dimension of a model. Ann. Stat. 1978, 6, 461–464. [Google Scholar] [CrossRef]
- Bozdogan, H. Model selection and Akaike’s information criterion (AIC): The general theory and its analytical extensions. Psychometrika 1987, 52, 345–370. [Google Scholar] [CrossRef]
- Vaidyanathan, V.S.; Varghese, A.S. Morgenstern type bivariate Lindley distribution. Stat. Optim. Inf. Comput. 2016, 4, 132–146. [Google Scholar] [CrossRef]
- Gumbel, E.J. Bivariate Exponential Distributions. J. Am. Statist. Assoc. 1960, 55, 698–707. [Google Scholar] [CrossRef]
- Justel, A.; Peña, D.; Zamar, Z. A multivariate Kolmogorov-Smirnov test of goodness of fit. Stat. Probab. Lett. 1997, 35, 251–259. [Google Scholar] [CrossRef]





| and | and | and | ||||||||
| 0.25 | −0.0453 | −0.0279 | −0.0215 | −0.1542 | −0.0958 | −0.0743 | −0.3329 | −0.2079 | −0.1622 | |
| 0.1 | 0.75 | −0.0429 | −0.0263 | −0.0190 | −0.1633 | −0.1008 | −0.0737 | −0.3871 | −0.2401 | −0.1773 |
| 1.25 | −0.0389 | −0.0233 | −0.0157 | −0.1722 | −0.1036 | −0.0709 | −0.5090 | −0.3039 | −0.2112 | |
| 0.25 | −0.0457 | −0.0275 | −0.0200 | −0.1564 | −0.0950 | −0.0701 | −0.3423 | −0.2099 | −0.1562 | |
| 0.25 | 0.75 | −0.0375 | −0.0207 | −0.0124 | −0.1433 | −0.0803 | −0.0494 | −0.3443 | −0.1952 | −0.1225 |
| 1.25 | −0.0290 | −0.0135 | −0.0050 | −0.1283 | −0.0611 | −0.0245 | −0.3791 | −0.1825 | −0.0775 | |
| 0.25 | −0.0419 | −0.0243 | −0.0163 | −0.1442 | −0.0848 | −0.0577 | −0.3246 | −0.1930 | −0.1331 | |
| 0.50 | 0.75 | −0.0261 | −0.0104 | −0.0017 | −0.1003 | −0.0417 | −0.0091 | −0.2471 | −0.1056 | −0.0264 |
| 1.25 | −0.0118 | 0.0025 | 0.0113 | −0.0526 | 0.0086 | 0.0469 | −0.1577 | 0.0211 | 0.1349 | |
| 0.25 | −0.0374 | −0.0206 | −0.0124 | −0.1293 | −0.0727 | −0.0448 | −0.2998 | −0.1705 | −0.1068 | |
| 0.75 | 0.75 | −0.0153 | −0.0007 | 0.0081 | −0.0593 | −0.0047 | 0.0285 | −0.1505 | −0.0151 | 0.0685 |
| 1.25 | 0.0039 | 0.0171 | 0.0259 | 0.0161 | 0.0727 | 0.1114 | 0.0467 | 0.2164 | 0.3369 | |
| 0.25 | −0.0248 | −0.0100 | −0.0016 | −0.0871 | −0.0366 | −0.0077 | −0.2246 | −0.0962 | −0.0227 | |
| 1.5 | 0.75 | 0.0125 | 0.0251 | 0.0338 | 0.0473 | 0.0952 | 0.1290 | 0.1302 | 0.2625 | 0.3587 |
| 1.25 | 0.0437 | 0.0550 | 0.0637 | 0.1924 | 0.2426 | 0.2822 | 0.6350 | 0.8083 | 0.9552 | |
| and | and | and | ||||||||
| 2.25 | 0.2874 | 0.3062 | 0.3220 | 0.3485 | 0.3700 | 0.3878 | 0.3646 | 0.3887 | 0.4088 | |
| 1.0 | 3.0 | 0.3265 | 0.3423 | 0.3557 | 0.3948 | 0.4125 | 0.4274 | 0.4063 | 0.4263 | 0.4433 |
| 3.75 | 0.3547 | 0.3684 | 0.3802 | 0.4274 | 0.4426 | 0.4555 | 0.4367 | 0.4540 | 0.4689 | |
| 4.5 | 0.3763 | 0.3885 | 0.3991 | 0.4520 | 0.4653 | 0.4767 | 0.4603 | 0.4757 | 0.4890 | |
| 2.25 | 0.3796 | 0.3919 | 0.4027 | 0.4291 | 0.4427 | 0.4546 | 0.4946 | 0.5104 | 0.5241 | |
| 2.0 | 3.0 | 0.4175 | 0.4278 | 0.4369 | 0.4714 | 0.4827 | 0.4926 | 0.5334 | 0.5465 | 0.5580 |
| 3.75 | 0.4453 | 0.4542 | 0.4621 | 0.5021 | 0.5118 | 0.5204 | 0.5627 | 0.5739 | 0.5839 | |
| 4.5 | 0.4670 | 0.4748 | 0.4819 | 0.5258 | 0.5344 | 0.5420 | 0.5860 | 0.5959 | 0.6048 | |
| 2.25 | 0.4480 | 0.4566 | 0.4643 | 0.4939 | 0.5033 | 0.5117 | 0.5878 | 0.5987 | 0.6083 | |
| 3.5 | 3.0 | 0.4865 | 0.4936 | 0.5000 | 0.5361 | 0.5438 | 0.5507 | 0.6263 | 0.6352 | 0.6432 |
| 3.75 | 0.5151 | 0.5211 | 0.5267 | 0.5671 | 0.5737 | 0.5796 | 0.6559 | 0.6635 | 0.6704 | |
| 4.5 | 0.5376 | 0.5429 | 0.5478 | 0.5914 | 0.5971 | 0.6024 | 0.6798 | 0.6864 | 0.6925 | |
| 2.25 | 0.4988 | 0.5051 | 0.5108 | 0.5438 | 0.5506 | 0.5569 | 0.6540 | 0.6618 | 0.6689 | |
| 5.5 | 3.0 | 0.5384 | 0.5435 | 0.5483 | 0.5868 | 0.5924 | 0.5975 | 0.6934 | 0.6998 | 0.7057 |
| 3.75 | 0.5680 | 0.5724 | 0.5764 | 0.6188 | 0.6235 | 0.6278 | 0.7241 | 0.7295 | 0.7345 | |
| 4.5 | 0.5915 | 0.5953 | 0.5989 | 0.6440 | 0.6481 | 0.6519 | 0.7492 | 0.7539 | 0.7583 | |
| 0.5 | 0.0634 | 0.3384 | 0.0632 | 0.3019 | 0.0594 | 0.3463 | 0.0246 | 0.1677 | |
| 0.5 | 2.5 | 0.0207 | 0.1659 | 0.0116 | 0.1124 | 0.0209 | 0.1359 | 0.0005 | 0.0349 |
| 4.5 | 0.0076 | 0.0768 | 0.0040 | 0.0618 | 0.0018 | 0.0404 | 0.0014 | 0.0290 | |
| 0.5 | 0.2408 | 0.7052 | 0.1018 | 0.4233 | 0.0413 | 0.3438 | 0.0114 | 0.1619 | |
| 2.5 | 2.5 | 0.0266 | 0.7298 | 0.0110 | 0.6882 | 0.0052 | 0.3668 | 0.0045 | 0.4449 |
| 4.5 | 0.0072 | 0.3723 | 0.0071 | 0.3507 | 0.0006 | 0.2592 | 0.0002 | 0.1827 | |
| 0.5 | 0.0245 | 0.1888 | 0.0161 | 0.1902 | 0.0052 | 0.1445 | 0.0003 | 0.0407 | |
| 7.5 | 2.5 | 0.0230 | 0.2440 | 0.0118 | 0.2012 | 0.0106 | 0.2336 | 0.0021 | 0.1091 |
| 4.5 | 0.0254 | 0.4401 | 0.0093 | 0.3756 | 0.0013 | 0.2473 | 0.0061 | 0.2347 | |
| 0.5 | 0.1646 | 0.4287 | 0.1086 | 0.3726 | 0.0651 | 0.2775 | 0.0333 | 0.1945 | |
| 0.5 | 2.5 | 0.0222 | 0.3653 | 0.0292 | 0.3712 | 0.0237 | 0.3727 | 0.0170 | 0.2220 |
| 4.5 | 0.0322 | 0.3272 | 0.0305 | 0.3103 | 0.0124 | 0.4404 | 0.0100 | 0.2139 | |
| 0.5 | 0.2217 | 0.5397 | 0.0873 | 0.3250 | 0.0298 | 0.1284 | 0.0079 | 0.0594 | |
| 2.5 | 2.5 | 0.3146 | 0.8976 | 0.2523 | 0.8676 | 0.0868 | 0.4347 | 0.0513 | 0.5333 |
| 4.5 | 0.1305 | 0.5626 | 0.0935 | 0.6519 | 0.0323 | 0.5542 | 0.0194 | 0.3495 | |
| 0.5 | 0.0200 | 0.1006 | 0.0109 | 0.0774 | 0.0037 | 0.0524 | 0.0014 | 0.0291 | |
| 7.5 | 2.5 | 0.0889 | 0.4399 | 0.0494 | 0.3323 | 0.0267 | 0.2325 | 0.0083 | 0.1319 |
| 4.5 | 0.1174 | 0.5963 | 0.0799 | 0.4741 | 0.0346 | 0.3322 | 0.0210 | 0.2233 | |
| Scenario 1 | ||||||||||
| n | ||||||||||
| 30 | 0.1236 | 0.6551 | 0.3269 | 1.0653 | 1.0899 | 2.1701 | 0.6024 | 2.6989 | 1.6199 | 2.5336 |
| 60 | 0.0862 | 0.5256 | 0.251 | 0.8143 | 0.8629 | 1.8099 | 0.5326 | 2.3808 | 1.2446 | 2.1412 |
| 90 | 0.0622 | 0.4936 | 0.1920 | 0.6754 | 0.6280 | 1.4775 | 0.4337 | 2.0347 | 0.9237 | 1.8002 |
| 200 | 0.0498 | 0.3112 | 0.1328 | 0.5381 | 0.3910 | 1.1129 | 0.3562 | 1.7097 | 0.5017 | 1.3194 |
| Scenario 2 | ||||||||||
| n | ||||||||||
| 30 | 1.0233 | 0.7638 | 0.1750 | 0.4802 | 1.0195 | 1.6341 | 0.4081 | 1.7194 | 2.1485 | 2.2890 |
| 60 | 0.9859 | 0.5943 | 0.1240 | 0.3482 | 0.9494 | 1.3375 | 0.2200 | 1.3114 | 2.0599 | 1.8930 |
| 90 | 0.9111 | 0.4675 | 0.1092 | 0.2816 | 0.9412 | 1.1967 | 0.0978 | 1.1076 | 2.0110 | 1.6285 |
| 200 | 0.8156 | 0.4537 | 0.0769 | 0.1576 | 0.8658 | 0.9036 | 0.0213 | 0.8472 | 1.8631 | 1.2091 |
| Scenario 3 | ||||||||||
| n | ||||||||||
| 30 | 0.2784 | 0.5608 | 0.1469 | 0.6254 | 0.4837 | 2.0776 | 0.7651 | 2.2199 | 0.7959 | 2.1892 |
| 60 | 0.2730 | 0.5033 | 0.1065 | 0.5472 | 0.1677 | 1.7553 | 0.6526 | 1.8444 | 0.3805 | 1.7982 |
| 90 | 0.2350 | 0.4009 | 0.0843 | 0.4638 | 0.1510 | 1.6180 | 0.6017 | 1.6769 | 0.3212 | 1.5325 |
| 200 | 0.2342 | 0.2880 | 0.0536 | 0.3308 | 0.0525 | 1.2179 | 0.3898 | 1.2856 | 0.1142 | 1.0140 |
| n | mean | variance | ||
| 40 | 4.0125 | 26.6801 | 2.6158 | 10.0226 |
| Parameter | L | GL | PLS |
| 0.4241(0.0306) | 0.3588(0.0588) | 67.9071(5.4333) | |
| – | 0.7459(0.1676) | 0.0036(0.0006) | |
| AIC | 199.582 | 199.821 | 195.161 |
| BIC | 201.271 | 203.199 | 198.545 |
| CAIC | 202.271 | 205.199 | 200.545 |
| Parameter | BLM | BEG | BPLS |
| 0.0266(0.0026) | 0.0082(0.0003) | ||
| 0.1880(0.0196) | 0.0752(0.0010) | ||
| 0.0120(0.0017) | 5.0075(1.5483) | ||
| 0.0807(0.0150) | 3.0053(1.2481) | ||
| 0.9756(0.4637) | 0.9936(0.4999) | 4.8559(2.6724) | |
| AIC | 854.5633 | 887.3073 | 843.1525 |
| BIC | 860.3583 | 893.1028 | 852.8116 |
| CAIC | 863.3583 | 896.1028 | 857.8116 |
Disclaimer/Publisher’s Note: The statements, opinions and data contained in all publications are solely those of the individual author(s) and contributor(s) and not of MDPI and/or the editor(s). MDPI and/or the editor(s) disclaim responsibility for any injury to people or property resulting from any ideas, methods, instructions or products referred to in the content. |
© 2024 by the authors. Licensee MDPI, Basel, Switzerland. This article is an open access article distributed under the terms and conditions of the Creative Commons Attribution (CC BY) license (https://creativecommons.org/licenses/by/4.0/).
Share and Cite
Martínez-Flórez, G.; Arnold, B.C.; Gómez, H.W. A Bivariate Power Lindley Survival Distribution. Mathematics 2024, 12, 3334. https://doi.org/10.3390/math12213334
Martínez-Flórez G, Arnold BC, Gómez HW. A Bivariate Power Lindley Survival Distribution. Mathematics. 2024; 12(21):3334. https://doi.org/10.3390/math12213334
Chicago/Turabian StyleMartínez-Flórez, Guillermo, Barry C. Arnold, and Héctor W. Gómez. 2024. "A Bivariate Power Lindley Survival Distribution" Mathematics 12, no. 21: 3334. https://doi.org/10.3390/math12213334
APA StyleMartínez-Flórez, G., Arnold, B. C., & Gómez, H. W. (2024). A Bivariate Power Lindley Survival Distribution. Mathematics, 12(21), 3334. https://doi.org/10.3390/math12213334

