Impulsive Discrete Runge–Kutta Methods and Impulsive Continuous Runge–Kutta Methods for Nonlinear Differential Equations with Delayed Impulses
Abstract
1. Introduction
2. Asymptotical Stability of the Exact Solutions of DEDIs
- (i)
- ,
- (ii)
- For , is differentiable and ,
- (iii)
- is right continuous in and .
- 1.
- stable if, for an arbitrary , there exists a positive number such that, for any other solution of (4), implies
- 2.
- asymptotically stable, if it is stable and
3. Scheme 1 Impulsive Discrete Runge–Kutta Methods
3.1. Convergence of S1IRKMs
3.2. Asymptotical Stability of S1IRKMs
- 1.
- stable, if ,(i) is invertible for all , , , ,(ii) for an arbitrary , there exists such a positive number that, for any other numerical solutions of (29), implieswhere and .
- 2.
- asymptotically stable, if it is stable and if , for , , ; the following holds:
- (1)
- Explicit Euler method
- (2)
- Two-stage second-order explicit Runge–Kutta methods

- (3)
- Three-stage third-order explicit Runge–Kutta methods

- (4)
- The classical four-stage fourth-order explicit Runge–Kutta method

3.3. Asymptotical Stability of S1IMs
4. Scheme 2 Impulsive Discrete Runge–Kutta Methods
4.1. Convergence of S2IRKMs
4.2. Asymptotical Stability of S2IRKMs
4.3. Asymptotical Stability of S2IM
5. Impulsive Continuous Runge–Kutta Methods
- (1)
- The same as S1IRKMs in Section 3, all points in the set are chosen as the numerical mesh. We can divide the intervals and () equally by m; m is a positive integer. In this case, ICRKM (31) in this section and S1IRKM (8) have the same values at the discrete points, if they have the same corresponding Runge–Kutta method. Because they have similar properties, we ignore this case for the sake of brevity.
- (2)
- For convenience, in the next part of this section, we divide the intervals () equally by m; m is a positive integer. Unlike the S2IRKMs, when we compute the numerical solutions at the moments of impulsive effect, the numerical solutions of ICRKMs at points can be obtained directly without substituting nearby values.
5.1. Convergence of ICRKMs
5.2. Asymptotical Stability of ICRKMs
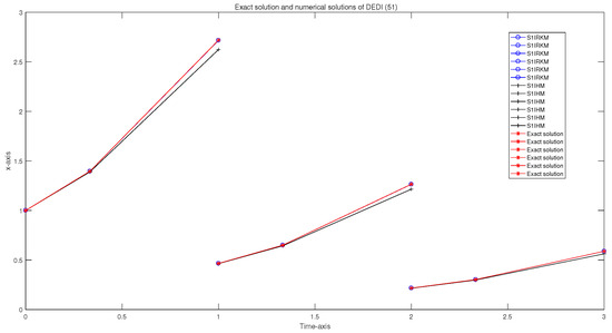
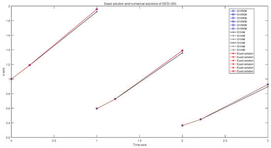
6. Numerical Experiments


7. Conclusions and Future Works
Author Contributions
Funding
Data Availability Statement
Conflicts of Interest
References
- Bainov, D.D.; Simeonov, P.S. Systems with Impulsive Effect: Stability, Theory and Applications; Ellis Horwood: Chichester, UK, 1989. [Google Scholar]
- Bainov, D.D.; Simeonov, P.S. Impulsive Differential Equations: Asymptotic Properties of the Solutions; World Scientific: Singapore, 1995. [Google Scholar]
- Lakshmikantham, V.; Bainov, D.D.; Simeonov, P.S. Theory of Impulsive Differential Equations; World Scientific: Singapore, 1989. [Google Scholar]
- Samoilenko, A.M.; Perestyuk, N.A.; Chapovsky, Y. Impulsive Differential Equations; World Scientific: Singapore, 1995. [Google Scholar]
- Li, X.D.; Song, S.J. Impulsive Systems with Delays: Stability and Control; Science Press: Beijing, China, 2022. [Google Scholar]
- Li, X.D.; Song, S.J.; Wu, J.H. Exponential stability of nonlinear systems with delayed impulses and applications. IEEE Trans. Automat. Control 2019, 64, 4024–4034. [Google Scholar] [CrossRef]
- Yu, Z.Q.; Ling, S.; Liu, P.X. Exponential stability of time-delay systems with flexible delayed impulse. Asian J. Control. 2024, 26, 265–279. [Google Scholar] [CrossRef]
- Jiang, B.; Lu, J.; Liu, Y. Exponential stability of delayed systems with average-delay impulses. SIAM J. Control Optim. 2020, 58, 3763–3784. [Google Scholar] [CrossRef]
- He, Z.L.; Li, C.D.; Cao, Z.R.; Li, H.F. Stability of nonlinear variable-time impulsive differential systems with delayed impulses. Nonlinear Anal. Hybrid Syst. 2021, 39, 100970. [Google Scholar] [CrossRef]
- Lu, Y.; Zhu, Q.X. Exponential stability of impulsive random delayed nonlinear systems with average-delay impulses. J. Frankl. Inst. 2024, 361, 106813. [Google Scholar] [CrossRef]
- Chen, X.Y.; Liu, Y.; Ruan, Q.H.; Cao, J.D. Stabilization of nonlinear time-delay systems: Flexible delayed impulsive control. Appl. Math. Model. 2023, 114, 488–501. [Google Scholar] [CrossRef]
- Chen, W.H.; Zheng, W.X. Exponential stability of nonlinear time-delay systems with delayed impulse effects. Automatica 2011, 47, 1075–1083. [Google Scholar] [CrossRef]
- Cui, Q.; Li, L.L.; Cao, J.D. Stability of inertial delayed neural networks with stochastic delayed impulses via matrix measure method. Neurocomputing 2022, 471, 70–78. [Google Scholar] [CrossRef]
- Li, X.D.; Zhang, X.L.; Song, S.J. Effect of delayed impulses on input-to-state stability of nonlinear systems. Automatica 2017, 76, 378–382. [Google Scholar] [CrossRef]
- Liu, W.L.; Li, P.; Li, X.D. Impulsive systems with hybrid delayed impulses: Input-to-state stability. Nonlinear Anal. Hybrid Syst. 2022, 46, 101248. [Google Scholar] [CrossRef]
- Niu, S.N.; Chen, W.H.; Lu, X.M.; Xu, W.X. Integral sliding mode control design for uncertain impulsive systems with delayed impulses. J. Frankl. Inst. 2023, 360, 13537–13573. [Google Scholar] [CrossRef]
- Kuang, D.P.; Li, J.L.; Gao, D.D. Input-to-state stability of stochastic differential systems with hybrid delay-dependent impulses. Commun. Nonlinear Sci. Numer. Simul. 2024, 128, 107661. [Google Scholar] [CrossRef]
- Ran, X.J.; Liu, M.Z.; Zhu, Q.Y. Numerical methods for impulsive differential equation. Math. Comput. Model. 2008, 48, 46–55. [Google Scholar] [CrossRef]
- Liu, X.; Song, M.H.; Liu, M.Z. Linear multistep methods for impulsive differential equations. Discrete Dyn. Nat. Soc. 2012, 2012, 652928. [Google Scholar] [CrossRef]
- Zhang, Z.H.; Liang, H. Collocation methods for impulsive differential equations. Appl. Math. Comput. 2014, 228, 336–348. [Google Scholar] [CrossRef]
- Liu, M.Z.; Liang, H.; Yang, Z.W. Stability of Runge–Kutta methods in the numerical solution of linear impulsive differential equations. Appl. Math. Comput. 2007, 192, 346–357. [Google Scholar] [CrossRef]
- Zhang, G.L. Asymptotical stability of numerical methods for semi-linear impulsive differential equations. Comput. Appl. Math. 2020, 39, 17. [Google Scholar] [CrossRef]
- Liang, H.; Song, M.H.; Liu, M.Z. Stability of the analytic and numerical solutions for impulsive differential equations. Appl. Numer. Math. 2011, 61, 1103–1113. [Google Scholar] [CrossRef]
- Liang, H.; Liu, M.Z.; Song, M.H. Extinction and permanence of the numerical solution of a two-preyone-predator system with impulsive effect. Int. J. Comput. Math. 2011, 88, 1305–1325. [Google Scholar] [CrossRef]
- Liang, H. hp-Legendre-Gauss collocation method for impulsive differential equations. Int. J. Comput. Math. 2015, 94, 151–172. [Google Scholar] [CrossRef]
- Wen, L.P.; Yu, Y.X. The analytic and numerical stability of stiff impulsive differential equations in Banach space. Appl. Math. Lett. 2011, 24, 1751–1757. [Google Scholar] [CrossRef][Green Version]
- Zhang, G.L. Convergence, consistency and zero stability of impulsive one-step numerical methods. Appl. Math. Comput. 2022, 423, 127017. [Google Scholar] [CrossRef]
- Liu, X.; Zhang, G.L.; Liu, M.Z. Analytic and numerical exponential asymptotic stability of nonlinear impulsive differential equations. Appl. Numer. Math. 2014, 81, 40–49. [Google Scholar] [CrossRef]
- Zhang, G.L. Asymptotical stability of Runge–Kutta methods for nonlinear impulsive differential equations. Adv. Differ. Equ. 2020, 2020, 42. [Google Scholar] [CrossRef]
- Ding, X.; Wu, K.N.; Liu, M.Z. The Euler scheme and its convergence for impulsive delay differential equations. Appl. Math. Comput. 2010, 216, 1566–1570. [Google Scholar] [CrossRef]
- Zhang, G.L.; Song, M.H.; Liu, M.Z. Asymptotical stability of the exact solutions and the numerical solutions for a class of impulsive differential equations. Appl. Math. Comput. 2015, 258, 12–21. [Google Scholar] [CrossRef]
- Zhang, G.L.; Song, M.H. Asymptotical stability of Runge–Kutta methods for advanced linear impulsive differential equations with piecewise constant arguments. Appl. Math. Comput. 2015, 259, 831–837. [Google Scholar] [CrossRef]
- Zhang, G.L.; Song, M.H.; Liu, M.Z. Exponential stability of the exact solutions and the numerical solutions for a class of linear impulsive delay differential equations. J. Comput. Appl. Math. 2015, 285, 32–44. [Google Scholar] [CrossRef]
- Zhang, G.L. High order Runge–Kutta methods for impulsive delay differential equations. Appl. Math. Comput. 2017, 313, 12–23. [Google Scholar] [CrossRef]
- Zhang, G.L.; Song, M.H. Impulsive continuous Runge–Kutta methods for impulsive delay differential equations. Appl. Math. Comput. 2019, 341, 160–173. [Google Scholar] [CrossRef]
- Wu, K.N.; Ding, X. Convergence and stability of Euler method for impulsive stochastic delay differential equations. Appl. Math. Comput. 2014, 229, 151–158. [Google Scholar] [CrossRef]
- Zhang, G.L.; Liu, C. Two schemes of impulsive Runge–Kutta methods for linear differential equations with delayed impulses. Mathematics 2024, 12, 2075. [Google Scholar] [CrossRef]
- Bellen, A. One-step collocation for delay differential equations. J. Comput. Appl. Math. 1984, 183, 275–283. [Google Scholar] [CrossRef]
- Bellen, A.; Zennaro, M. Numerical Methods for Delay Differential Equations; Clarendon Press: Oxford, UK, 2003. [Google Scholar]
- Brunner, H. Collocation Methods for Volterra Integral and Related Functional Differential Equations; Cambridge University Press: Cambridge, UK, 2004. [Google Scholar]
- Brunner, H.; Liang, H. Stability of collocation methods for delay differential equations with vanishing delays. BIT Numer. Math. 2010, 50, 693–711. [Google Scholar] [CrossRef]
- Liang, H.; Brunner, H. Collocation methods for differential equations with piecewise linear delays. Commun. Pure Appl. Anal. 2012, 11, 1839–1857. [Google Scholar] [CrossRef]
- Engelborghs, K.; Luzyanina, T.; Houty, K.J.I.; Roose, D. Collocation methods for the computation of periodic solutions of delay differential equations. SIAM J. Sci. Comput. 2001, 5, 1593–1609. [Google Scholar] [CrossRef]
- Butcher, J.C. Numerical Methods for Ordinary Differential Equations; Wiley: Hoboken, NJ, USA, 2003. [Google Scholar]
- Dekker, K.; Verwer, J.G. Stability of Runge–Kutta Methods for Stiff Nonlinear Differential Equations; North-Holland: Amsterdam, The Netherlands, 1984. [Google Scholar]
- Hairer, E.; Nørsett, S.P.; Wanner, G. Solving Ordinary Differential Equations I; Nonstiff Problems; Springer: New York, NY, USA, 1993. [Google Scholar]
- Hairer, E.; Nørsett, S.P.; Wanner, G. Solving Ordinary Differential Equations II; Stiff Problems; Springer: New York, NY, USA, 1993. [Google Scholar]
- Wanner, G.; Hairer, E.; Nϕrsett, S.P. Order stars and stability theorems. BIT 1978, 18, 475–489. [Google Scholar] [CrossRef]
- Song, M.H.; Yang, Z.W.; Liu, M.Z. Stability of θ-methods for advanced differential equations with piecewise continuous arguments. Comput. Math. Appl. 2005, 49, 1295–1301. [Google Scholar] [CrossRef]
- Wang, Q.; Qiu, S. Oscillation of numerical solution in the Runge–Kutta methods for equation x′(t) = ax(t) + a0x([t]). Acta Math. Appl. Sin. Engl. Ser. 2014, 30, 943–950. [Google Scholar] [CrossRef]
- Yang, Z.W.; Liu, M.Z.; Song, M.H. Stability of Runge–Kutta methods in the numerical solution of equation u′(t) = au(t) + a0u([t]) + a1u([t − 1]). Appl. Math. Comput. 2005, 162, 37–50. [Google Scholar] [CrossRef]






| S1IHM | S2IHM | ICHM | ||||
|---|---|---|---|---|---|---|
| AE | RE | AE | RE | AE | RE | |
| 10 | 7.553082 × 10−6 | 3.375092 × 10−5 | 0.008562 | 0.038261 | 9.937190 × 10−5 | 4.440430 × 10−4 |
| 20 | 1.902566 × 10−6 | 8.501609 × 10−6 | 0.008458 | 0.037796 | 6.538494 × 10−5 | 2.921723 × 10−4 |
| 40 | 4.774370 × 10−7 | 2.133426 × 10−6 | 0.008431 | 0.037674 | 2.077670 × 10−5 | 9.284060 × 10−5 |
| 80 | 1.195843 × 10−7 | 5.343618 × 10−7 | 0.001232 | 0.005504 | 1.88584928 × 10−6 | 8.426910 × 10−6 |
| Ratio | 3.982459 | 3.982459 | 2.953555 | 2.953555 | 5.227996 | 5.227996 |
| S1IRKM | S2IRKM | ICCRKM | ||||
|---|---|---|---|---|---|---|
| AE | RE | AE | RE | AE | RE | |
| 10 | 1.626758 × 10−10 | 7.269161 × 10−10 | 0.008422 | 0.037633 | 3.287970 × 10−7 | 1.469228 × 10−6 |
| 20 | 1.022230 × 10−11 | 4.567829 × 10−11 | 0.008422 | 0.037633 | 4.455852 × 10−8 | 1.991096 × 10−7 |
| 40 | 6.374623 × 10−13 | 2.848498 × 10−12 | 0.008422 | 0.037633 | 1.003505 × 10−9 | 4.484159 × 10−9 |
| 80 | 3.674838 × 10−14 | 1.642100 × 10−13 | 0.001229 | 0.005492 | 5.924100 × 10−10 | 2.647182 × 10−9 |
| Ratio | 16.432140 | 16.432140 | 2.950583 | 2.950583 | 17.825269 | 17.825269 |
| S1IHM | S2IHM | ICHM | ||||
|---|---|---|---|---|---|---|
| m | AE | RE | AE | RE | AE | RE |
| 10 | 1.818238 × 10−5 | 1.806009 × 10−4 | 0.009707 | 0.096421 | 1.826220 × 10−4 | 0.001814 |
| 20 | 4.602998 × 10−6 | 4.572040 × 10−5 | 0.009614 | 0.095489 | 4.296101 × 10−5 | 4.267208 × 10−4 |
| 40 | 1.157979 × 10−6 | 1.150191 × 10−5 | 0.002496 | 0.024787 | 1.073603 × 10−5 | 1.066382 × 10−4 |
| 80 | 2.904017 × 10−7 | 2.884486 × 10−6 | 0.002488 | 0.024715 | 2.638715 × 10−6 | 2.620969 × 10−5 |
| Ratio | 3.970884 | 3.970884 | 1.955017 | 1.955017 | 4.107037 | 4.107037 |
| S1IRKM | S2IRKM | ICCRKM | ||||
|---|---|---|---|---|---|---|
| AE | RE | AE | RE | AE | RE | |
| 10 | 1.007330 × 10−9 | 1.000556 × 10−8 | 0.009581 | 0.095163 | 2.293592 × 10−6 | 2.278166 × 10−5 |
| 20 | 6.376583 × 10−11 | 6.333697 × 10−10 | 0.009581 | 0.095163 | 2.057541 × 10−7 | 2.043703 × 10−6 |
| 40 | 3.940667 × 10−12 | 3.914164 × 10−11 | 0.002486 | 0.0246901 | 3.088753 × 10−8 | 3.067981 × 10−7 |
| 80 | 1.746658 × 10−13 | 1.734911 × 10−12 | 0.002486 | 0.0246901 | 3.531197 × 10−9 | 3.507448 × 10−8 |
| Ratio | 18.180002 | 18.180002 | 1.9514301 | 1.9514301 | 8.851896 | 8.851896 |
Disclaimer/Publisher’s Note: The statements, opinions and data contained in all publications are solely those of the individual author(s) and contributor(s) and not of MDPI and/or the editor(s). MDPI and/or the editor(s) disclaim responsibility for any injury to people or property resulting from any ideas, methods, instructions or products referred to in the content. |
© 2024 by the authors. Licensee MDPI, Basel, Switzerland. This article is an open access article distributed under the terms and conditions of the Creative Commons Attribution (CC BY) license (https://creativecommons.org/licenses/by/4.0/).
Share and Cite
Zhang, G.-L.; Zhu, Z.-Y.; Wang, Y.-C.; Liu, C. Impulsive Discrete Runge–Kutta Methods and Impulsive Continuous Runge–Kutta Methods for Nonlinear Differential Equations with Delayed Impulses. Mathematics 2024, 12, 3002. https://doi.org/10.3390/math12193002
Zhang G-L, Zhu Z-Y, Wang Y-C, Liu C. Impulsive Discrete Runge–Kutta Methods and Impulsive Continuous Runge–Kutta Methods for Nonlinear Differential Equations with Delayed Impulses. Mathematics. 2024; 12(19):3002. https://doi.org/10.3390/math12193002
Chicago/Turabian StyleZhang, Gui-Lai, Zhi-Yong Zhu, Yu-Chen Wang, and Chao Liu. 2024. "Impulsive Discrete Runge–Kutta Methods and Impulsive Continuous Runge–Kutta Methods for Nonlinear Differential Equations with Delayed Impulses" Mathematics 12, no. 19: 3002. https://doi.org/10.3390/math12193002
APA StyleZhang, G.-L., Zhu, Z.-Y., Wang, Y.-C., & Liu, C. (2024). Impulsive Discrete Runge–Kutta Methods and Impulsive Continuous Runge–Kutta Methods for Nonlinear Differential Equations with Delayed Impulses. Mathematics, 12(19), 3002. https://doi.org/10.3390/math12193002

