An Outlier Detection Approach to Recognize the Sources of a Process Failure within a Multivariate Poisson Process
Abstract
1. Introduction
2. Main Results
2.1. A Method for Identifying Outliers in the Multivariate Poisson Distribution
2.2. A Method for Recognizing the Causes of a Process Failure in a Multivariate Poisson Process
- (I)
- Commence at i = 1.
- (II)
- Assign the value of to . (The error spending approach and the Bonferroni method are utilized here to retain the type I error around its nominal value. Refer to [34]).
- (III)
- At the significance level, test the hypothesis with the statistic .
- (IV)
- Eliminate the variable exhibiting the largest value in the adjusted residual if the hypothesis is rejected in Step (III). To make it easier, assuming the kth variable is removed. Updata k = k − 1 and i = i + 1. Revisit Step (II).
- (V)
- When the hypothesis in Step (III) cannot be rejected, Terminate and deduce whether the other variables are not responsible for the nonconformity shifts.
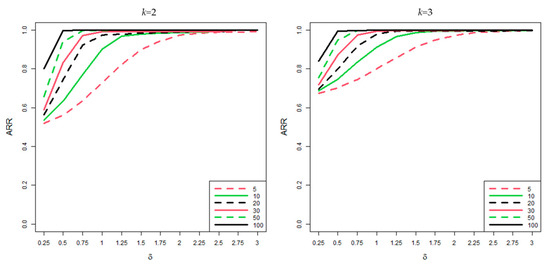
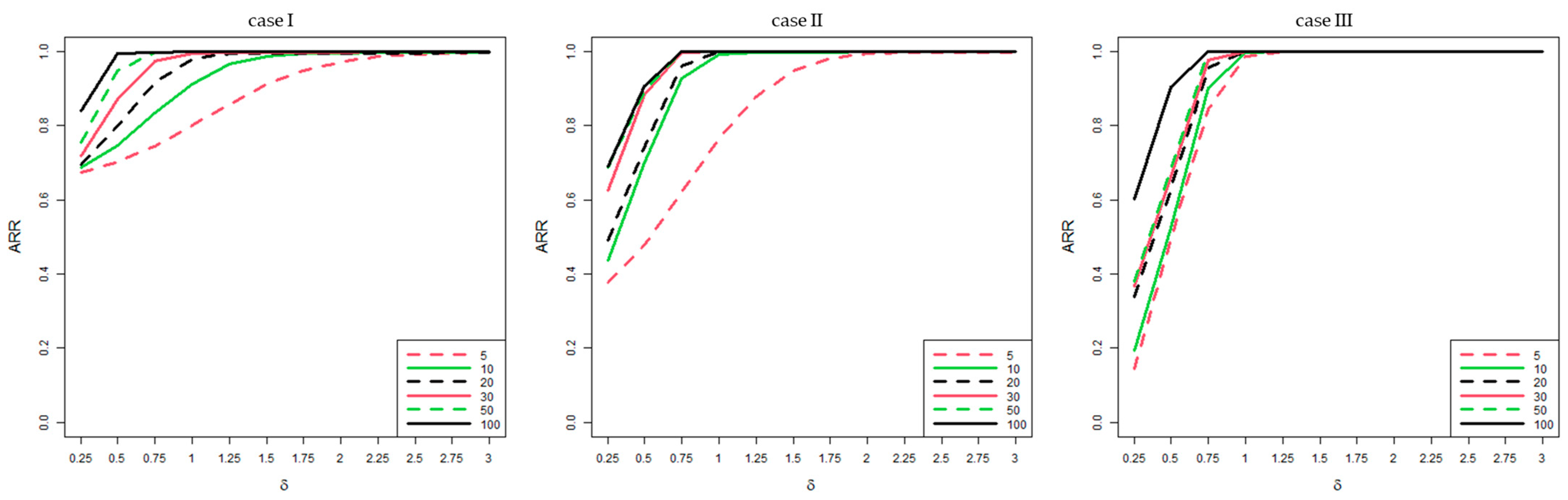
3. Numerical Simulations
4. A Demonstrative Case
5. Conclusions
Author Contributions
Funding
Data Availability Statement
Conflicts of Interest
References
- Low, C.; Hsu, C.M.; Yu, F.J. Analysis of variations in a multivariate process using neural networks. Int. J. Adv. Manuf. Technol. 2003, 22, 911–921. [Google Scholar] [CrossRef]
- Chen, L.H.; Wang, T.Y. Artificial neural networks to classify mean shifts from multivariate chart signals. Comput. Ind. Eng. 2004, 47, 195–205. [Google Scholar] [CrossRef]
- Hwarng, H.B.; Wang, Y. Shift detection and source identification in multivariate autocorrelated process. Int. J. Prod. Res. 2010, 48, 835–859. [Google Scholar] [CrossRef]
- Shao, Y.E.; Huang, H.Y.; Chen, Y.J. Determining the sources of variance shifts in a multivariate process using flexible discriminant analysis. ICIC Express Lett. 2010, 4, 1573–1578. [Google Scholar]
- Shao, Y.E.; Lu, C.J.; Wang, Y.C. A hybrid ICA-SVM approach for determining the quality variables at fault in a multivariate process. Math. Probl. Eng. 2012, 2012, 284910. [Google Scholar] [CrossRef]
- Shao, Y.E.; Hou, C.D. Hybrid artificial neural networks modeling for faults identification of a stochastic multivariate process. Abstr. Appl. Anal. 2013, 2013, 386757. [Google Scholar] [CrossRef][Green Version]
- Shao, Y.E.; Hou, C.D. Fault identification in industrial processes using an integrated approach of neural network and analysis of variance. Math. Probl. Eng. 2013, 2013, 516760. [Google Scholar] [CrossRef]
- Shao, Y.E. Recognition of process disturbances for an SPC/EPC stochastic system using support vector machine and artificial neural network approaches. Abstr. Appl. Anal. 2014, 2014, 519705. [Google Scholar] [CrossRef]
- Shao, Y.E. Using a computational intelligence hybrid approach to recognize the faults of variance shifts for a manufacturing process. J. Ind. Intell. Inf. 2016, 4, 131–135. [Google Scholar] [CrossRef][Green Version]
- Shao, Y.E.; Lin, S.C. Using a time delay neural network approach to diagnose the out-of-control signals for a multivariate normal process with variance shifts. Mathematics 2019, 7, 959. [Google Scholar] [CrossRef]
- Sabahno, H.; Niaki, S.T.A. New Machine-Learning Control Charts for Simultaneous Monitoring of Multivariate Normal Process Parameters with Detection and Identification. Mathematics 2023, 11, 3566. [Google Scholar] [CrossRef]
- Runger, G.C.; Alt, F.B.; Montgomery, D.C. Contributors to a multivariate statistical process control signal. Commun. Stat.-Theory Methods 1996, 25, 2203–2213. [Google Scholar] [CrossRef]
- Mason, R.L.; Tracy, N.D.; Young, J.C. A practical approach for interpreting multivariate T2 control chart signals. J. Qual. Technol. 1997, 29, 396–406. [Google Scholar] [CrossRef]
- Maravelakisa, P.E.; Bersimisb, S.; Panaretosc, J.; Psarakisa, S. Identifying the out of control variable in a multivariate control chart. Commun. Stat.-Theory Methods 2002, 31, 2391–2408. [Google Scholar] [CrossRef][Green Version]
- Vives-Mestres, M.; Daunis-i-Estadella, J.; Martín-Fernández, J.A. Signal interpretation in Hotelling’s T2 control chart for compositional data. IIE Trans. 2016, 48, 661–672. [Google Scholar] [CrossRef]
- Kim, J.; Jeong, M.K.; Elsayed, E.A.; Al-Khalifa, K.N.; Hamouda, A.M.S. An adaptive step-down procedure for fault variable identification. Int. J. Prod. Res. 2016, 54, 3187–3200. [Google Scholar] [CrossRef]
- Pina-Monarrez, M. Generalization of the Hotelling’s T2 decomposition method to the R-chart. Int. J. Ind. Eng.-Theory Appl. Pract. 2018, 25, 200–214. [Google Scholar] [CrossRef]
- Güler, Z.O.; Bakır, M.A. Detection and identification of mean shift using independent component analysis in multivariate processes. J. Stat. Comput. Simul. 2021, 92, 1920–1940. [Google Scholar] [CrossRef]
- Haq, A.; Khoo, M.B.C. An adaptive multivariate EWMA mean chart with variable sample sizes and/or variable sampling intervals. Qual. Reliab. Eng. Int. 2022, 38, 3322–3341. [Google Scholar] [CrossRef]
- Jing, H.; Li, J.; Bai, K. Directional monitoring and diagnosis for covariance matrices. J. Appl. Stat. 2022, 49, 1449–1464. [Google Scholar] [CrossRef]
- Lu, X.S.; Xie, M.; Goh, T.N.; Lai, C.D. Control chart for multivariate attribute processes. Int. J. Prod. Res. 1998, 36, 3477–3489. [Google Scholar] [CrossRef]
- Taleb, H. Control charts applications for multivariate attribute processes. Comput. Ind. Eng. 2009, 56, 399–410. [Google Scholar] [CrossRef]
- Topalidou, E.; Psarakis, S. Review of multinomial and multiattribute quality control charts. Qual. Reliab. Eng. Int. 2009, 25, 773–804. [Google Scholar] [CrossRef]
- Chiu, J.E.; Kuo, T.I. Control charts for fraction nonconforming in a bivariate binomial process. J. Appl. Stat. 2010, 37, 1717–1728. [Google Scholar] [CrossRef]
- Yang, S.F.; Yeh, J.T. Using cause selecting control charts to monitor dependent process stages with attributes data. Expert Syst. Appl. 2011, 38, 667–672. [Google Scholar] [CrossRef]
- Li, J.; Tsung, F.; Zou, C. Directional control schemes for multivariate categorical processes. J. Qual. Technol. 2012, 44, 136–154. [Google Scholar] [CrossRef]
- Niaki, S.T.A.; Jahani, P. The economic design of multivariate binomial EWMA VSSI control charts. J. Appl. Stat. 2013, 40, 1301–1318. [Google Scholar] [CrossRef]
- Li, J.; Tsung, F.; Zou, C. Multivariate binomial/multinomial control chart. IIE Trans 2014, 46, 526–542. [Google Scholar] [CrossRef]
- Niaki, S.T.A.; Khedmati, M. Step change-point estimation of multivariate binomial processes. Int. J. Qual. Reliab. Manag. 2014, 31, 566–587. [Google Scholar] [CrossRef]
- Pascual, F.G.; Akhundjanov, S.B. Copula-based control charts for monitoring multivariate Poisson processes with application to hepatitis C counts. J. Qual. Technol. 2020, 52, 128–144. [Google Scholar] [CrossRef]
- Chiu, J.E.; Kuo, T.I. Attribute control chart for multivariate Poisson distribution. Commun. Stat.-Theory Methods 2008, 37, 146–158. [Google Scholar] [CrossRef]
- Suri, N.N.R.R.; Murty, M.N.; Athithan, G. Outlier Detection: Techniques and Applications. A Data Mining Perspective; Springer Nature: Cham, Switzerland, 2019. [Google Scholar]
- Krummenauer, F. Efficient simulation of multivariate binomial and Poisson distributions. Biom. J. 1998, 40, 823–832. [Google Scholar] [CrossRef]
- Hou, C.D.; Chiang, J.; Tai, J.J. Identifying chromosomal fragile sites from a hierarchical-clustering point of view. Biometrics 2001, 57, 435–440. [Google Scholar] [CrossRef]
- Benjamini, Y.; Hochberg, Y. Controlling the false discovery rate: A practical and powerful approach to multiple hypothesis testing. J. R. Stat. Soc. Ser. B-Stat. Methodol. 1995, 57, 289–300. [Google Scholar] [CrossRef]
- Holm, S. A simple sequentially rejective multiple test procedure. Scand. J. Stat. 1979, 6, 65–70. [Google Scholar] [CrossRef]
- Sidák, Z.K. Rectangular confidence regions for the means of multivariate normal distributions. J. Am. Stat. Assoc. 1967, 62, 626–633. [Google Scholar] [CrossRef]



| State | N | V | S |
|---|---|---|---|
| Test statistic | 0.43 | 0.75 | 0.46 |
| p-value | 0.99 | 0.63 | 0.98 |
| Correlation Coefficient | |||
|---|---|---|---|
| Test statistic | 0.98 | 0.94 | 0.36 |
| p-value | 0.33 | 0.36 | 0.72 |
| State | N | V | S |
|---|---|---|---|
| Sample mean | 5.00 | 17.40 | 5.70 |
| Adjusted residual | 3.30 | 2.87 | 1.30 |
| Iteration | k | Test Statistic | Critical Value | Summary | |
|---|---|---|---|---|---|
| 1 | 3 | (3.30, 2.87, 1.30) | 3.30 | 2.39 | N is the contributor |
| 2 | 2 | (2.87, 1.30) | 2.87 | 2.39 | V is the contributor |
| 3 | 1 | (1.30) | 1.30 | 2.24 | S is not the contributor |
Disclaimer/Publisher’s Note: The statements, opinions and data contained in all publications are solely those of the individual author(s) and contributor(s) and not of MDPI and/or the editor(s). MDPI and/or the editor(s) disclaim responsibility for any injury to people or property resulting from any ideas, methods, instructions or products referred to in the content. |
© 2024 by the authors. Licensee MDPI, Basel, Switzerland. This article is an open access article distributed under the terms and conditions of the Creative Commons Attribution (CC BY) license (https://creativecommons.org/licenses/by/4.0/).
Share and Cite
Hou, C.-D.; Su, R.-H. An Outlier Detection Approach to Recognize the Sources of a Process Failure within a Multivariate Poisson Process. Mathematics 2024, 12, 2813. https://doi.org/10.3390/math12182813
Hou C-D, Su R-H. An Outlier Detection Approach to Recognize the Sources of a Process Failure within a Multivariate Poisson Process. Mathematics. 2024; 12(18):2813. https://doi.org/10.3390/math12182813
Chicago/Turabian StyleHou, Chia-Ding, and Rung-Hung Su. 2024. "An Outlier Detection Approach to Recognize the Sources of a Process Failure within a Multivariate Poisson Process" Mathematics 12, no. 18: 2813. https://doi.org/10.3390/math12182813
APA StyleHou, C.-D., & Su, R.-H. (2024). An Outlier Detection Approach to Recognize the Sources of a Process Failure within a Multivariate Poisson Process. Mathematics, 12(18), 2813. https://doi.org/10.3390/math12182813
