High Steep Rock Slope Instability Mechanism Induced by the Pillar Deterioration in the Mountain Mining Area
Abstract
1. Introduction
2. Cases of High Steep Rock Slope Instability in Mining Area
2.1. Landslide in Pusa, Guizhou
2.1.1. Overview of Landslide
2.1.2. Engineering Geological Condition
2.1.3. Instability Reason Speculation
2.2. Rockfall in the Kaiyang Phosphorite, Guizhou
2.2.1. Overview of Rockfall
2.2.2. Engineering Geological Condition
2.2.3. Instability Reason Speculation
2.3. Weima Landslide, Shanxi
2.3.1. Overview of Landslide
2.3.2. Engineering Geological Condition
2.3.3. Instability Reason Speculation
3. Numerical Simulation Analysis
3.1. Scheme of Numerical Simulation
3.2. Analysis of the Failure Process
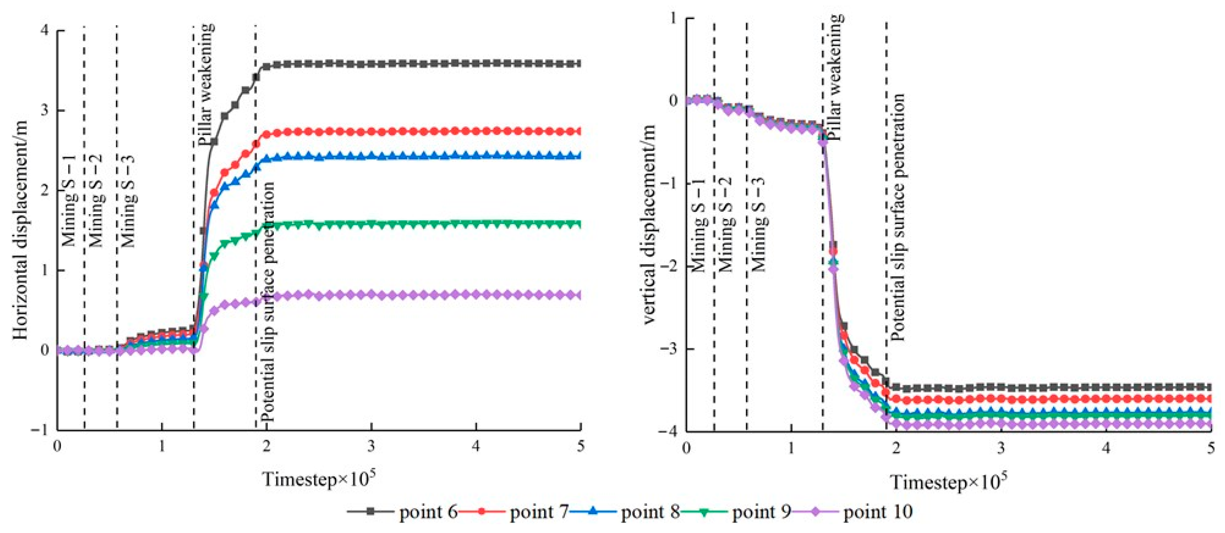
3.3. Analysis of Displacement Characteristics
4. Slope Instability Mechanism Induced by the Pillar Deterioration
- (I)
- Tiny displacement is caused by the mining (Figure 11a).
- (II)
- Roof collapse is caused by pillar failure (Figure 11b).
- (III)
- Macro-crack of the slope is induced by the overburdened rock movement, forming the potential slip surface (Figure 11c).
- (VI)
- The rock mass at the middle and lower of the slope is squeezed out, inducing the slope sliding (Figure 11d).
5. Discussion and Conclusions
Author Contributions
Funding
Data Availability Statement
Acknowledgments
Conflicts of Interest
References
- Yu, X.; Mao, X. A preliminary discrimination model of a deep mining landslide and its application in the Guanwen coal mine. Bull. Eng. Geol. Environ. 2020, 79, 485–493. [Google Scholar]
- Yang, Y.; Xu, Y.; Shen, S.; Yuan, Y.; Yin, Z. Mining-induced geo-hazards with environmental protection measures in Yunnan, China: An overview. Bull. Eng. Geol. Environ. 2015, 74, 141–150. [Google Scholar] [CrossRef]
- Zhong, Z.; Xu, Y.; Wang, N.; Liu, X.; Gao, G. Environmental characteristics and unified failure mode classification system for mining landslides in the karst mountainous areas of southwestern China. Carbonates Evaporites 2023, 38, 2. [Google Scholar] [CrossRef]
- Chen, L.; Zhao, C.; Li, B.; He, K.; Ren, C.; Liu, X.; Liu, D. Deformation monitoring and failure mode research of mining-induced jianshanying landslide in karst mountain area, China with ALOS/PALSAR-2 images. Landslides 2021, 18, 2739–2750. [Google Scholar] [CrossRef]
- Cheng, X.; Qi, W.; Huang, Q.; Zhao, X.; Fang, R.; Xu, J. Typical geo-hazards and countermeasures of mines in Yunnan province, southwest China. IOP Conf. Ser. Earth Environ. Sci. 2016, 44, 022008. [Google Scholar] [CrossRef]
- Tong, L.; Liu, L.; Yu, Q. Highway construction across heavily mined ground and steep topography in southern China. Bull. Eng. Geol. Environ. 2014, 73, 43–60. [Google Scholar] [CrossRef]
- Xiao, J. Analysis of the main causes of a composite landslide in Guizhou province. J. Transp. Sci. Eng. 2020, 36, 40–44. (In Chinese) [Google Scholar]
- Fan, X.; Xu, Q.; Scaringi, G.; Zheng, G.; Huang, R.; Dai, L.; Ju, Y. The “long” runout rock avalanche in Pusa, China, on august 28, 2017: A preliminary report. Landslides 2019, 16, 139–154. [Google Scholar] [CrossRef]
- Dai, Z.; Zhang, L.; Wang, Y.; Jiang, Z.; Xu, S. Deformation and failure response characteristics and stability analysis of bedding rock slope after underground adverse slope mining. Bull. Eng. Geol. Environ. 2021, 80, 4405–4422. [Google Scholar] [CrossRef]
- Salmi, E.; Nazem, M.; Karakus, M. Numerical analysis of a large landslide induced by coal mining subsidence. Eng. Geology. 2017, 217, 141–152. [Google Scholar] [CrossRef]
- Zhao, J.; Xiao, J.; Lee, M.; Ma, Y. Discrete element modeling of a mining-induced rock slide. Springer Plus 2016, 5, 1633. [Google Scholar] [CrossRef] [PubMed]
- Zheng, D.; Frost, J.D.; Huang, R.Q.; Liu, F.Z. Failure process and modes of rockfall induced by underground mining: A case study of Kaiyang phosphorite mine rockfalls. Eng. Geol. 2015, 197, 145–157. [Google Scholar] [CrossRef]
- Zhong, J.; Mao, Z.; Ni, W.; Zhang, J.; Liu, G.; Zhang, J.; Geng, M. Analysis of formation mechanism of slightly inclined bedding mudstone landslide in coal mining subsidence area based on finite–discrete element method. Mathematics 2022, 10, 3995. [Google Scholar] [CrossRef]
- Yang, C.; Shi, W.; Peng, X.; Zhang, S.; Wang, X. Numerical simulation of layered anti-inclined mining slopes based on different free face characteristics. Bull. Eng. Geol. Environ. 2022, 81, 359. [Google Scholar] [CrossRef]
- Zhang, Y.; Yang, Y.; Zhang, J.; Wang, Y. Sensitivity study of multi-field information maps of typical landslides in mining areas based on transfer learning. Front. Earth Sci. 2023, 11, 1105985. [Google Scholar] [CrossRef]
- Wang, W.; Yan, Y.; Qu, Y.; Wang, P. Shallow failure of weak slopes in Bayan Obo west mine. Int. J. Environ. Res. Public Health. 2022, 19, 9755. [Google Scholar] [CrossRef]
- Nie, L.; Li, Z.; Zhang, M.; Xu, L. Deformation characteristics and mechanism of the landslide in west open-pit mine, Fushun, China. Arab. J. Geosci. 2015, 8, 4457–4468. [Google Scholar] [CrossRef]
- Li, J.; Li, B.; He, K.; Gao, Y.; Wan, J.; Wu, W.; Zhang, H. Failure mechanism analysis of mining-induced landslide based on geophysical investigation and numerical modelling using distinct element method. Remote Sens. 2022, 14, 6071. [Google Scholar] [CrossRef]
- Li, J.; Li, B.; Gao, Y.; Cui, F.; He, K.; Li, J.; Li, H. Mechanism of overlying strata migration and failure during underground mining in the mountainous carbonate areas in southwestern China. Front. Earth Sci. 2022, 10, 498. [Google Scholar] [CrossRef]
- Cao, Z.; Zhou, Y. Research on coal pillar width in roadway driving along goaf based on the stability of key block. CMC-Comput. Mater. Contin. 2015, 48, 77–90. [Google Scholar]
- Guo, J.; Cheng, X.; Lu, J.; Zhao, Y.; Xie, X. Research on factors affecting mine wall stability in isolated pillar mining in deep mines. Minerals 2022, 12, 623. [Google Scholar] [CrossRef]
- Reed, G.; Mctyer, K.; Frith, R. An assessment of coal pillar system stability criteria based on a mechanistic evaluation of the interaction between coal pillars and the overburden. Int. J. Min. Sci. Technol. 2017, 27, 9–15. [Google Scholar] [CrossRef]
- Zhou, Z.; Cai, X.; Li, X.; Cao, W.; Du, X. Dynamic response and energy evolution of sandstone under coupled static–dynamic compression: Insights from experimental study into deep rock engineering applications. Rock Mech. Rock Eng. 2020, 53, 1305–1331. [Google Scholar] [CrossRef]
- China Geological Survey. Topographic Map of Guizhou Province. (2018-10-31). Available online: https://geocloudproducts.cgs.gov.cn/dzzlfw/idx/fileView.do?dzcp_id=d9b9919f3f0b4d709b073fb85ae37188&path=https%3A%2F%2Fgeocloudproducts.cgs.gov.cn%2Fdzxxcp%2Fadmin_file%2Fcore%2Ffile%2FtoView.do%3Fid%3Df6852a644b6a4d3aa06c1036e9db5f1a%26t%3Ddeepzoom&providerid=4028803a518fe41c0151a47891240027 (accessed on 31 March 2023).
- Cai, X.; Zhou, Z.; Zang, H.; Song, Z. Water saturation effects on dynamic behavior and microstructure damage of sandstone: Phenomena and mechanisms. Eng. Geol. 2020, 276, 105760. [Google Scholar] [CrossRef]
- Fu, Y.; Liu, Z.; Zeng, L.; Gao, Q.; Luo, J.; Xiao, X. Numerical analysis method that considers weathering and water-softening effects for the slope stability of carbonaceous mudstone. Int. J. Environ. Res. Public Health. 2022, 19, 14308. [Google Scholar] [CrossRef] [PubMed]
- Huang, G.; Zheng, D. The formation mechanism and numerical simulation of the collapse of Kaiyang phosphate mine in Guizhou. Chin. J. Geol. Hazard Control. 2013, 24, 46–50+55. (In Chinese) [Google Scholar]
- Duan, P. Analysis on the formation mechanism of overlying landslide in goaf. Min. Technol. 2019, 19, 68–71. (In Chinese) [Google Scholar]
- Zhou, Z.; Chen, L.; Zhao, Y.; Zhao, T.; Cai, X.; Du, X. Experimental and numerical investigation on the bearing and failure mechanism of multiple pillars under overburden. Rock Mech. Rock Eng. 2017, 50, 995–1010. [Google Scholar] [CrossRef]
- Zhou, Z.; Zhao, Y.; Cao, W.; Chen, L.; Zhou, J. Dynamic response of pillar workings induced by sudden pillar recovery. Rock Mech. Rock Eng. 2018, 51, 3075–3090. [Google Scholar] [CrossRef]
- Qiu, Y.; Shang, Y. Analysis of progressive failure mechanism of loose slope under seismic load. J. China Foreign Highw. 2022, 42, 15–21. (In Chinese) [Google Scholar]
- Zhao, Q.; Yang, Z.; Jiang, Y.; Liu, X.; Cui, F.; Li, B. Discrete element analysis of deformation features of slope controlled by karst fissures under the mining effect: A case study of Pusa landslide, China. Geomat. Nat. Hazards Risk 2023, 14, 1–35. [Google Scholar] [CrossRef]
- Wang, N.; Zhong, Z.; Liu, X.; Gao, G. Failure mechanism of anti-inclined karst slope induced by underground multiseam mining. Geofluids 2022, 2022, 1302861. [Google Scholar] [CrossRef]












| Parameters | Limestone | Marl | Silty Mudstone | Coal | Argillaceous Siltstone |
|---|---|---|---|---|---|
| Porosity/% | 10 | 10 | 10 | 10 | 10 |
| Particle density/(kg/m3) | 2700 | 2650 | 2600 | 1350 | 2560 |
| Effective modulus/GPa | 10 | 8 | 7 | 3.84 | 5.6 |
| Normal-to-shear stiffness ratio/ | 1 | 1 | 1 | 1 | 1 |
| Bond effective modulus/GPa | 10 | 7 | 5 | 3.84 | 4.6 |
| Bond normal-to-shear stiffness ratio/ | 1 | 1 | 1 | 1 | 1 |
| Bond tensile strength/MPa | 15 | 12.5 | 10.2 | 5.5 | 8 |
| Bond cohesion/MPa | 25 | 18.1 | 15.4 | 8 | 14.45 |
| Bond friction angle/° | 33 | 41 | 35.8 | 48 | 30.1 |
| Parameters | Rock Interface | Coal Seam Interface |
|---|---|---|
| Bond effective modulus/GPa | 2.9 | 1.5 |
| Bond normal-to-shear stiffness ratio/() | 1 | 1 |
| Bond tensile strength/MPa | 0.15 | 0.1 |
| Bond cohesion/MPa | 0.2 | 0.13 |
| Bond friction angle/(°) | 22 | 15 |
Disclaimer/Publisher’s Note: The statements, opinions and data contained in all publications are solely those of the individual author(s) and contributor(s) and not of MDPI and/or the editor(s). MDPI and/or the editor(s) disclaim responsibility for any injury to people or property resulting from any ideas, methods, instructions or products referred to in the content. |
© 2023 by the authors. Licensee MDPI, Basel, Switzerland. This article is an open access article distributed under the terms and conditions of the Creative Commons Attribution (CC BY) license (https://creativecommons.org/licenses/by/4.0/).
Share and Cite
Chen, L.; Yu, X.; Luo, R.; Zeng, L.; Cao, H. High Steep Rock Slope Instability Mechanism Induced by the Pillar Deterioration in the Mountain Mining Area. Mathematics 2023, 11, 1889. https://doi.org/10.3390/math11081889
Chen L, Yu X, Luo R, Zeng L, Cao H. High Steep Rock Slope Instability Mechanism Induced by the Pillar Deterioration in the Mountain Mining Area. Mathematics. 2023; 11(8):1889. https://doi.org/10.3390/math11081889
Chicago/Turabian StyleChen, Lu, Xiangxi Yu, Ron Luo, Ling Zeng, and Hongtao Cao. 2023. "High Steep Rock Slope Instability Mechanism Induced by the Pillar Deterioration in the Mountain Mining Area" Mathematics 11, no. 8: 1889. https://doi.org/10.3390/math11081889
APA StyleChen, L., Yu, X., Luo, R., Zeng, L., & Cao, H. (2023). High Steep Rock Slope Instability Mechanism Induced by the Pillar Deterioration in the Mountain Mining Area. Mathematics, 11(8), 1889. https://doi.org/10.3390/math11081889

