Evolutionary Game Analysis of SME Social Responsibility Performance under Public Health Emergencies
Abstract
1. Introduction
2. Evolutionary Game of SME Social Responsibility before a Public Health Emergency
2.1. Problem Description
2.2. The Basic Assumptions of the Model
2.3. Government Regulatory Agencies, Small and Medium-Sized Enterprises, Consumers Replicator Dynamics Equation Construction
2.3.1. Replicator Dynamics Equation of Government Regulatory Agencies
2.3.2. Replicator dynamics Equation of SMEs
2.3.3. Replicator Dynamics Equation of Consumers
2.4. Stability Analysis of the Equilibrium Points
- When ; , at this time, there is a stable point in the replicator dynamics equation, which means that the government regulatory agencies, small and medium-sized enterprises, and consumers, respectively, choose strict supervision, active implementation, and positive evaluation with a certain probability. At first, the government regulatory agencies choose not to strictly regulate it because they want to obtain certain benefits and have a good performance. Small and medium-sized enterprises due to lax supervision, leading to the negative performance of corporate social responsibility. Consumers choose to make a negative evaluation of small and medium-sized enterprises because of their negative performance of corporate social responsibility and reduce the purchase of goods from negative social responsibility enterprises. So, the efficiency of small and medium-sized enterprises decreases, the business environment is poor, and environmental pollution is serious. After the discovery of this phenomenon, the government regulatory agencies urgently rectification and chose to improve strict supervision. Finally, under the strict supervision of government regulatory agencies, small and medium-sized enterprises choose to actively fulfill their corporate social responsibility to a certain extent. The probability of consumers giving positive evaluations to enterprises increases. Therefore, the three main bodies will choose the mixed strategy in the constant dynamic game.
- When ; , at this time, the E9(x*,y*,z*) is the unstable point. It shows that the probabilities of government regulatory departments, small and medium-sized enterprises, and consumers are constantly changing internally, as shown in Figure 1. The probability of final convergence to what state is dependent on the phase volume. The analysis of the influence of the different influencing factors is shown in Table 3. Influencing factors include the regulatory intensity of government regulatory authorities , earnings from active performance, punishment, and loss from negative performance. When these influencing factors increase, x*, y*, and z* all decrease, E9 is close to E1(0,0,0), and thus the phase volume composed of the stabilization strategy E8(1,1,1) increases, then the probability that the three subjects will choose the (active supervision, active performance, positive evaluation) action strategy increases.
3. Evolutionary Game of SME Social Responsibility after a Public Health Emergency
3.1. Problem Description
3.2. The Basic Assumptions of the Model
3.3. Government Regulatory Agencies, Small and Medium-Sized Enterprises, Consumer Replicator Dynamics Equation Construction
3.3.1. Replicator Dynamics Equation of Government Regulatory Agencies
3.3.2. Replicator Dynamics Equation of SMEs
3.3.3. Replicator Dynamics Equation of Consumers
3.4. Stability Analysis of the Equilibrium Points
- When ; , at this time, there is an inner stable point in the replicator dynamics equation, which means that the government regulatory agencies, small and medium-sized enterprises, and consumers, respectively, choose strict supervision, active implementation, and positive evaluation with a certain probability. At first, the government regulatory agencies choose not to strictly regulate them because they want to obtain certain benefits, and they have performed well. Small and medium-sized enterprises, due to lax supervision, negatively perform their corporate social responsibility. Consumers choose to make negative evaluations of small and medium-sized enterprises because of their negative performance of corporate social responsibility and reduce the purchase of goods from negative social responsibility enterprises. Thus, the efficiency of small and medium-sized enterprises decreases, the business environment is poor, and environmental pollution is serious. After the discovery of this phenomenon, the government regulatory agencies urgently seek rectification and choose to improve strict supervision. Finally, under the strict supervision of government regulatory agencies, small and medium-sized enterprises choose to actively fulfill their corporate social responsibility to a certain extent. The probability of consumers giving positive evaluations to enterprises increases. Therefore, the three main bodies will choose the mixed strategy in the constant dynamic game.
- When or , at this time, the E9(x*,y*,z*) is the unstable point. It shows that the probabilities of government regulatory departments, small and medium-sized enterprises, and consumers are constantly changing internally, as shown in Figure 2. The probability of final convergence to a given state is dependent on the phase volume. The analysis of the influence of the different influencing factors is shown in Table 6. Influencing factors include the regulatory intensity of government regulatory authorities , earnings from active performance, punishment and loss from negative performance, and additional tax benefits. When these influencing factors increase, x*, y*, and z* all decrease, and E9 is close to E1(0,0,0), and thus the phase volume composed of the stabilization strategy E8(1,1,1) increases, then the probability that the three subjects will choose the (active supervision, active performance, positive evaluation) action strategy increases.
4. Numerical Simulation and Discussion
4.1. Evolutionary Path of SMEs’ Fulfillment of Social Responsibilities before Public Health Emergencies
4.1.1. The Influence of Different Initial Strategic Choices on the System Evolution
4.1.2. Influence of Rewards and Punishments on System Evolution
4.2. Evolutionary Path of SME Social Responsibility Performance after a Public Health Emergency
4.2.1. The Effect of Different Initial Strategy Choices on the System Evolution
4.2.2. The Government Regulatory Agencies Will Give More Tax Incentives to SMEs That Actively Fulfill Their Corporate Social Responsibilities T for the Impact on the Evolution of the System
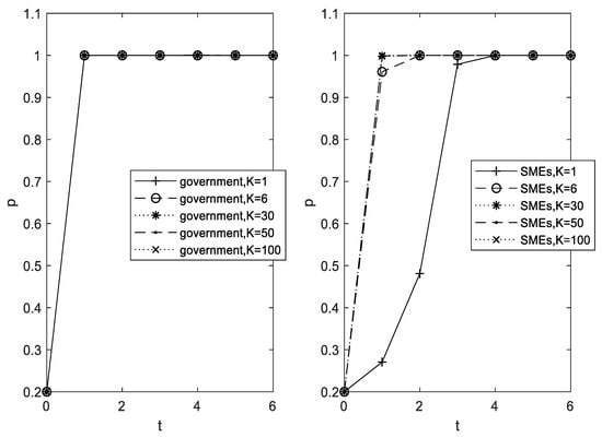
4.2.3. The Influence of Game Player’s Action Strength on the System Evolution
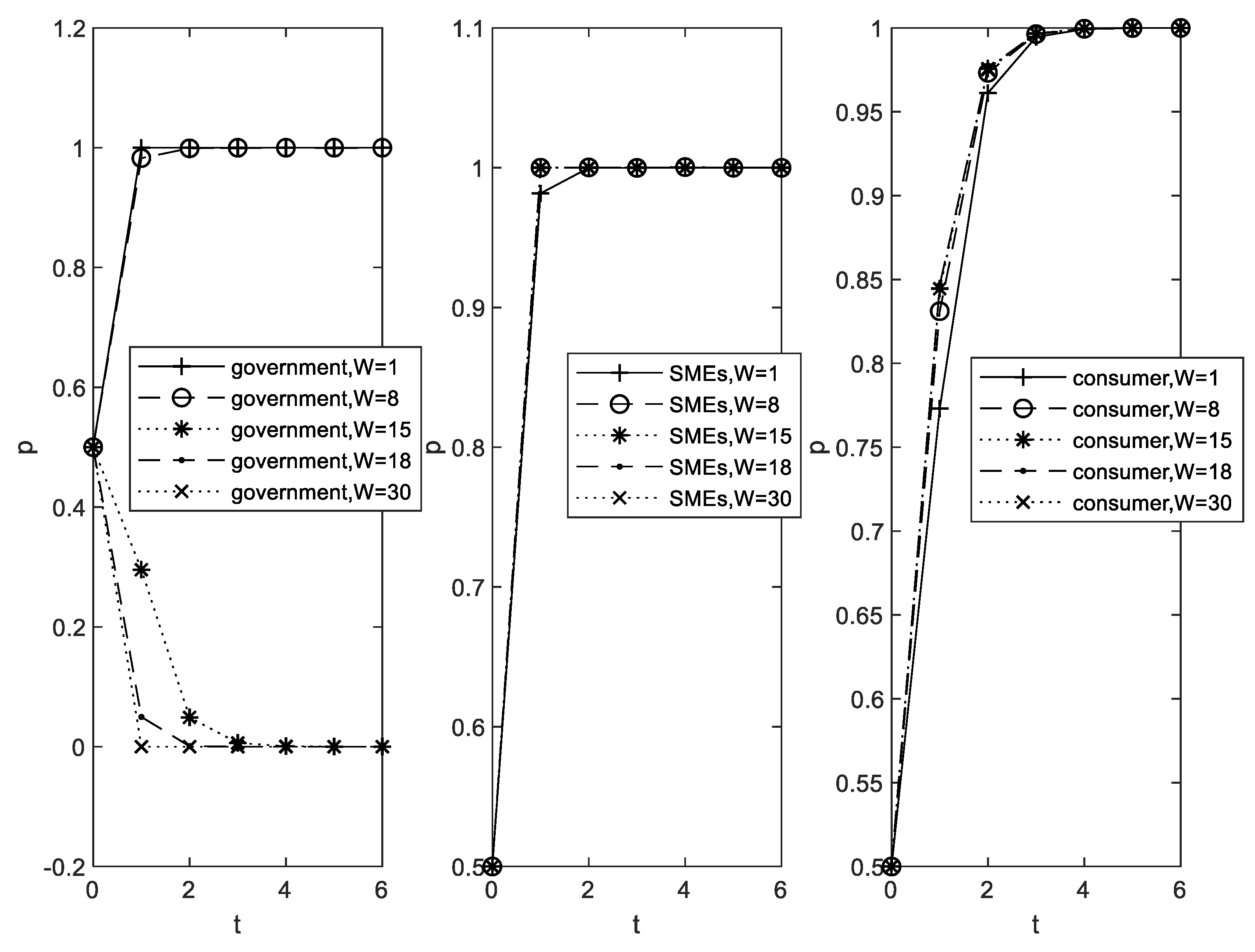
4.2.4. Influence of Rewards and Punishments on System Evolution
- (1)
- The effect of government regulatory agencies’ incentive W for SMEs on system evolution
- (2)
- Comparison of dynamic-equilibrium and nonequilibrium strategies
4.2.5. Impact of Cash and Inventory on System Evolution
4.2.6. Effect of Incremental Revenue and Incremental Cost on the System Evolution
- (1)
- The incremental cost of SMEs actively fulfilling CSR is the impact of on system evolution
- (2)
- Consumers who give positive reviews will have the impact of additional purchasing spending on the system evolution.
5. Conclusions
- (1)
- The government regulatory agencies, before and after the public health emergency, play a leading role in the whole evolutionary process. The government regulatory agencies need to formulate more perfect and reasonable relevant policies to guide small and medium-sized enterprises to actively fulfill their social responsibilities. Government regulatory agencies should also pay attention to the management of regulatory costs so as not to cause an excessive financial burden on the government regulatory agencies. The subsidies and penalties for small and medium-sized enterprises should be appropriate. It is suggested to adopt a dynamic balance strategy within the reasonable scope of (8, 15), which can effectively prevent a financial crisis for the government regulatory agencies. In particular, after a public health emergency, when the whole social economy is depressed, the initial willingness of small and medium-sized enterprises to participate in corporate social responsibility is relatively low, and the government regulatory agencies should take the initiative to stimulate the economy and play a guiding role. The government regulatory agencies need to establish a relatively sufficient emergency supply fund pool, give appropriate tax incentives to small and medium-sized enterprises that actively fulfill their corporate social responsibilities, and can quickly and effectively save the imminent bankruptcy during the crisis period, and provide appropriate liquidity for small and medium-sized enterprises, which plays an important role in alleviating the crisis.
- (2)
- Small and medium-sized enterprises are the main part of the process of fulfilling their social responsibility. We should closely follow the pace of the government regulatory agencies, cooperate with relevant policies, and actively fulfill our corporate social responsibility. In order to deal with public emergencies, we should do a good job in cash inventory management and reserve a certain amount of cash, but it is not a good choice to keep a large amount of inventory. Due to their small size, small and medium-sized enterprises are prone to produce financial crises when a crisis occurs. Therefore, in daily business activities, they should not only actively fulfill corporate social responsibility but also pay attention to the cost management of fulfilling corporate social responsibility. They should actively participate in corporate social responsibility activities, improve corporate governance, enhance the external reputation, and participate in social contributions to the donations so as to improve the company’s social reputation, establish a good image of the enterprise in the hearts of consumers, and obtain the support of consumers. This is the intangible property of the company. They also need to set aside a portion of the money to deal with the crisis to help companies overcome the difficulties in the event of a crisis.
- (3)
- For consumers, it is necessary to improve their preference strength for social responsibility, transform consumers from interest-oriented consumers to responsibility-oriented consumers, cultivate the responsible consumer market, expand the scale of responsible consumption, and give preferential support to small and medium-sized enterprises that actively fulfill corporate social responsibility. Thus, doing so can improve the willingness of enterprises to actively fulfill corporate social responsibility and better maintain the survival and development of small and medium-sized enterprises in the crisis.
- (4)
- Although the expected research objective of this paper has been achieved, there are still some defects in this paper. The subjects involved in the fulfillment of the social responsibilities of SMEs in this paper not only include government regulatory authorities, SMEs, and consumers but also involve some intermediaries, such as banks and other financial institutions. We have not yet taken these intermediaries into account. Next, the foundations of evolutionary game theory are based on the assumption that there are large populations of players [52]. However, the government may not count as a large population. In order to solve this problem, this paper changes the government, one of the game players in the evolutionary game, into the government regulatory agencies. Such modification has effectively alleviated the problem. However, there are still some limitations, which are explained here. In addition, some model assumptions and parameter settings in this paper mainly consider China’s domestic scenarios, including China’s economic and institutional conditions. Therefore, the international economic and institutional situation is not within our study. Nevertheless, in fact, public health emergencies have global infectiousness. Once a national crisis breaks out, a series of crises will affect the global economy and development situation. The influence of each country is reciprocal. This is what this article lacks. In future studies, we will consider the interests of more groups as well as the interaction between group interests.
Author Contributions
Funding
Data Availability Statement
Acknowledgments
Conflicts of Interest
References
- Yang, Z.; Chen, Y.; Zhang, P. Macroeconomic impact, financial risk transmission and governance response under major public emergencies. J. Manag. World 2020, 36, 13–35+7. [Google Scholar]
- Wang, X.; Chen, H. Stakeholder-based Relationship between Corporate Social Responsibility and Corporate Value. J. Manag. Sci. 2011, 24, 29–37. [Google Scholar]
- Du, S.; Bhattacharya, C.B.; Sen, S. Maximizing business returns to corporate social responsibility (CSR): The role of CSR communication. Int. J. Manag. Rev. 2010, 12, 8–19. [Google Scholar] [CrossRef]
- Gao, R.; Xu, L.; Chen, S.; Lin, X. The impact of transaction motivation and prevention motivation on the company’s cash holdings under the COVID-19 outbreak. World Surv. Res. 2022, 06, 62–71. [Google Scholar]
- Yang, J.; Wu, W.; Cai, Z. The impact of CSR on the cash-holding value—Studies based on quantile regression models. Syst. Eng. Theory Pract. 2019, 39, 893–905. [Google Scholar]
- Meng, L.; Liu, F.; Duan, S.; Li, X.; Li, T. The impact of shared employee incident intensity on civic behavior under COVID-19—Based on the perspective of corporate social responsibility knowledge. Nankai Bus. Rev. 2022, 1–28. Available online: http://kns.cnki.net/kcms/detail/12.1288.f.20210316.1448.006.html (accessed on 9 February 2023).
- Servaes, H.; Tamayo, A. The impact of corporate social responsibility on firm value: The role of customer awareness. Manag. Sci. 2013, 59, 1045–1061. [Google Scholar] [CrossRef]
- Flammer, C. Does corporate social responsibility lead to superior financial performance? A regression discontinuity approach. Manag. Sci. 2015, 61, 2549–2568. [Google Scholar] [CrossRef]
- Lins, K.V.; Servaes, H.; Tamayo, A. Social capital, trust, and firm performance: The value of corporate social responsibility during the financial crisis. J. Financ. 2017, 72, 1785–1824. [Google Scholar] [CrossRef]
- Wu, W.; Tang, S.; Wei, S. Social responsibility, media concerns and corporate financial risks—Based on the empirical evidence of listed companies in China. J. Manag. 2022, 35, 124–141. [Google Scholar]
- Sobaih, A.E.E.; Gharbi, H.; Hasanein, A.M.; Elnasr, A.E.A. The Mediating Effects of Green Innovation and Corporate Social Responsibility on the Link between Transformational Leadership and Performance: An Examination Using SEM Analysis. Mathematics 2022, 10, 2685. [Google Scholar] [CrossRef]
- Strielkowski, W.; Guliyeva, A.; Rzayeva, U.; Korneeva, E.; Sherstobitova, A. Mathematical modeling of intellectual capital and business efficiency of small and medium enterprises. Mathematics 2021, 9, 2305. [Google Scholar] [CrossRef]
- Liang, X.; Liu, Y.; Xue, B. Exploration of Multi-dimensional Social Responsibility of SMEs in Major Public Health Emergency. J. Hebei Univ. Eng. (Soc. Sci. Ed.) 2020, 37, 91–94. [Google Scholar]
- Simpson, W.; Kohers, T. The Link between Corporate Social and Financial Performance: Evidence from the Banking Industry. J. Bus. Ethics 2002, 35, 97–109. [Google Scholar] [CrossRef]
- Wen, S.; Fang, Y. An Empirical Study on the relationship between Corporate Social Responsibility and Financial Performance—Panel data analysis from the stakeholder perspectives. China Ind. Econ. 2008, 10, 150–160. [Google Scholar]
- Yang, W.; Yang, S. An Empirical Study on the Relations between Corporate Social Responsibility and Financial Performance in the Chinese Situation—Based on the comparative analysis of large and small and medium-sized listed companies. Chin. J. Manag. Sci. 2016, 24, 143–150. [Google Scholar]
- Li, Z. Study on the Correlation of CSR and Corporate Value—From empirical evidence from Shanghai listed companies. China Ind. Econ. 2006, 02, 77–83. [Google Scholar]
- Ding, D.K.; Ferreira, C.; Wongchoti, U. Does it pay to be different? Relative CSR and its impact on firm value. Int. Rev. Financ. Anal. 2016, 47, 86–98. [Google Scholar] [CrossRef]
- Quan, X.; Wu, S.; Yin, H. Corporate social responsibility and stock price crash risk: “value tool” or “self-benefit tool”? Econ. Res. J. 2015, 50, 49–64. [Google Scholar]
- Kim, J.B.; Li, Y.; Zhang, L. Corporate tax avoidance and stock price crash risk: Firm-level analysis. J. Financ. Econ. 2011, 100, 639–662. [Google Scholar] [CrossRef]
- Huang, J.; Chen, L.; Ding, J. Corporate social responsibility, media coverage, and the risk of a stock price crash. Chin. J. Manag. Sci. 2022, 30, 1–12. [Google Scholar]
- Chen, J.; Zheng, H. Financing constraints, customer bargaining power and corporate social responsibility. Account. Res. 2020, 08, 50–63. [Google Scholar]
- Verrecchia, R.E. Essays on disclosure. J. Account. Econ. 2001, 32, 97–180. [Google Scholar] [CrossRef]
- Feng, L.; Xiao, X.; Cheng, X. The effect of social responsibility on corporate risk-is based on the analysis of China’s economic environment. Nankai Bus. Rev. 2016, 19, 141–154. [Google Scholar]
- Chen, C.; Zhang, J.; Li, M.; Pei, X.; Huang, J. Research on the Concept, Dimension and Measurement of SME Social Responsibility. Chin. J. Manag. 2015, 12, 1687–1694. [Google Scholar]
- Guo, Y. Research on the Social Responsibility Implementation Model of SMEs in China. Seeker 2011, 05, 40–42. [Google Scholar]
- Du, J.; Hu, D.; Zhang, Q. Research on Social Responsibility Reconstruction of SMEs in Digital Environment—Based on Major emergencies. J. Macro-Qual. Res. 2020, 8, 120–128. [Google Scholar]
- Carroll, A.B. Corporate social responsibility (CSR) and the COVID-19 pandemic: Organizational and managerial implications. J. Strateg. Manag. 2021, 14, 315–330. [Google Scholar] [CrossRef]
- Zheng, J.; Hu, Y. Can green credit drive the “greening” of financial system and enterprises’ emission reduction?—Based on evolutionary game analysis. Chin. J. Manag. Sci. 2023, 1–12. [Google Scholar] [CrossRef]
- Wang, X.; Gu, C.; Zhao, J.; Quan, J. Stochastic evolution dynamics and their cooperative mechanisms. J. Syst. Sci. Math. Sci. 2019, 39, 1533–1552. [Google Scholar]
- Wang, W. Research on Land Heavy Metal Pollution Regulation Strategy Based on Evolutionary Game and Simulation Analysis. Master’s Thesis, Jiangxi University of Finance and Economics, Nanchang, China, 2017. [Google Scholar]
- Wang, M.; Lian, S.; Yin, S.; Dong, H. A three-player game model for promoting the diffusion of green technology in manufacturing enterprises from the perspective of supply and demand. Mathematics 2020, 8, 1585. [Google Scholar] [CrossRef]
- Cui, H.; Wang, R.; Wang, H. An evolutionary analysis of green finance sustainability based on multi-agent game. J. Clean. Prod. 2020, 269, 121799. [Google Scholar] [CrossRef]
- Ning, Y.; Luo, Z. A Game Study on Government Control and Duopoly Corporate Social Responsibility Behavior. Chin. J. Manag. Sci. 2010, 18, 157–164. [Google Scholar]
- Holman, W.R.; New, J.R.; Singer, D. The Impact of Corporate Social Responsiveness on Shareholder Wealth. Res. Corp. Soc. Perform. Policy 1985, 7, 330–331. [Google Scholar]
- Hillman, A.J.; Keim, G.D. Shareholder value, stakeholder management, and social issues: What’s the bottom line? Strateg. Manag. J. 2001, 22, 125–139. [Google Scholar] [CrossRef]
- Albareda, L.; Lozano, J.M.; Tencati, A.; Midttun, A.; Perrini, F. The changing role of governments in corporate social responsibility: Drivers and responses. Bus. Ethics A Eur. Rev. 2008, 17, 347–363. [Google Scholar] [CrossRef]
- Jin, B. A Theoretical Study on the relationship between Resource and Environmental Control and Industrial Competitiveness. China Ind. Econ. 2009, 03, 5–17. [Google Scholar]
- Ju, F.; Xie, Z.; Bao, G. The implementation of CSR—Analysis based on consumer choice. China Ind. Econ. 2005, 09, 91–98. [Google Scholar]
- Tian, M.; Li, C.; Xiao, Q. The impact of CSR behavior on consumer brand evaluation. Nankai Bus. Rev. 2014, 17, 19–29. [Google Scholar]
- Ma, L. Mechanism of the influence of CSR on consumer purchase intention. J. Manag. World 2011, 05, 120–126. [Google Scholar]
- Cai, F.; Zhang, D.; Liu, Y. The impact of COVID-19 on China’s labor market—Is based on a comprehensive analysis of individual tracking surveys. Econ. Res. J. 2021, 56, 4–21. [Google Scholar]
- Ling, A.; Zhou, J.; Tang, L. Value effect of the company’s cash, inventory and social responsibility under the impact of major emergencies—Comes from new evidence of the impact of COVID-19. Chin. J. Manag. Sci. 2022, 1–17. [Google Scholar] [CrossRef]
- Zhou, X.; Li, Y.; Li, F. Evaluation of the impact of COVID-19 on small and medium-sized service enterprises—Analysis and prediction of the optimization model based on the regression algorithm. Econ. Rev. 2020, 03, 101–117. [Google Scholar]
- Ding, W.; Levine, R.; Lin, C.; Xie, W. Corporate immunity to the COVID-19 pandemic. J. Financ. Econ. 2021, 141, 802–830. [Google Scholar] [CrossRef]
- Yin, S.; Li, B.; Xing, Z. The governance mechanism of the building material industry (BMI) in transformation to green BMI: The perspective of green building. Sci. Total Environ. 2019, 677, 19–33. [Google Scholar] [CrossRef]
- Cheng, D.; Cheng, L. Evolution mechanism of financial friction, capital allocation and asset bubble—Evolution game analysis based on microscopic group behavior. Oper. Res. Manag. Sci. 2021, 30, 155–161. [Google Scholar]
- Xie, K.; Xiao, J.; Lai, J.; Li, X.; Wu, J. Food safety “regulatory dilemma”, signal distortion and institutional arrangement. J. Manag. Sci. China 2017, 20, 1–17. [Google Scholar]
- Wang, X.; Ren, X. Game Research on the Dynamic Evolution of Platform E-commerce Credit Supervision from the perspective of Government Governance. Chinese J. Manag. Sci. 2021, 29, 29–41. [Google Scholar]
- Liu, G. Analysis of the incentive effect of tax preference and financial subsidy policy—Empirical study based on the perspective of information asymmetry theory. J. Manag. World 2016, 10, 62–71. [Google Scholar]
- Li, W.; Li, N. Dynamic game and Simulation of Intelligent Transformation of Manufacturing Enterprises Based on Complex Network—Consider the driving effect of the government and the consumers. Soft Sci. 2022, 36, 39–47. [Google Scholar]
- Weibull, J.W. Evolutionary Game Theory; MIT Press: Cambridge, MA, USA, 1997. [Google Scholar]
















| Small and Medium-Sized Enterprises | |||||
|---|---|---|---|---|---|
| Positive Performance (y) | Negative Performance (1 − y) | ||||
| Consumer | Consumer | ||||
| Positive Evaluation (z) | Negative Evaluation (1 − z) | Positive Evaluation (z) | Negative Evaluation (1 − z) | ||
| Governent regulatory agencies | Strict supervision (x) | ||||
| Not strictly supervised (1 − x) | | | | ||
| Equilibrium Point | Eigenvalues | Eigenvalues | Eigenvalues |
|---|---|---|---|
| Parameter Category | Change Direction | E9 Change | The Phase Volume Changes | The Direction of Action Evolution |
|---|---|---|---|---|
| Effect of regulation | x*, y*, z* | (Active supervision, active performance, positive) | ||
| Earnings from active performance | R1, R3 | x*, y*, z* | (Active supervision, active performance, positive) | |
| Punishment and loss from negative performance | x*, y*, z* | (Active supervision, active performance, positive) | ||
| Additional incentives | x*, y*, z* | (Active supervision, active performance, positive) |
| Small and Medium-sized Enterprises | |||||
|---|---|---|---|---|---|
| Positive Performance (y) | Negative Performance (1 − y) | ||||
| Consumer | Consumer | ||||
| Positive Evaluation (z) | Negative Evaluation (1 − z) | Positive Evaluation (z) | Negative Evaluation (1 − z) | ||
| Governent regulatory agencies | Strict supervision (x) | | | ||
| Not strictly supervised (1 − x) | | | | | |
| Equilibrium Point | Eigenvalues | Eigenvalues | Eigenvalues |
|---|---|---|---|
| E1(0,0,0) | |||
| E2(1,0,0) | |||
| E3(0,1,0) | |||
| E4(0,0,1) | |||
| E5(1,1,0) | |||
| E6(0,1,1) | |||
| E7(1,0,1) | |||
| E8(1,1,1) | |||
| Parameter Category | Change Direction | E9 Change | The Phase Volume Changes | The Direction of Action Evolution |
|---|---|---|---|---|
| Effect of regulation | x*, y*, z* | (Active supervision, active performance, positive) | ||
| Earnings from active performance | R1, R3 | x*, y*, z* | (Active supervision, active performance, positive) | |
| Punishment and loss from negative performance | x*, y*, z* | (Active supervision, active performance, positive) | ||
| Additional incentives | x*, y*, z* | (Active supervision, active performance, positive) | ||
| Additional tax benefits | x*, y*, z* | (Active supervision, active performance, positive) |
Disclaimer/Publisher’s Note: The statements, opinions and data contained in all publications are solely those of the individual author(s) and contributor(s) and not of MDPI and/or the editor(s). MDPI and/or the editor(s) disclaim responsibility for any injury to people or property resulting from any ideas, methods, instructions or products referred to in the content. |
© 2023 by the authors. Licensee MDPI, Basel, Switzerland. This article is an open access article distributed under the terms and conditions of the Creative Commons Attribution (CC BY) license (https://creativecommons.org/licenses/by/4.0/).
Share and Cite
Xie, N.; Tong, Y.; He, H. Evolutionary Game Analysis of SME Social Responsibility Performance under Public Health Emergencies. Mathematics 2023, 11, 1802. https://doi.org/10.3390/math11081802
Xie N, Tong Y, He H. Evolutionary Game Analysis of SME Social Responsibility Performance under Public Health Emergencies. Mathematics. 2023; 11(8):1802. https://doi.org/10.3390/math11081802
Chicago/Turabian StyleXie, Nan, Yezi Tong, and Haitao He. 2023. "Evolutionary Game Analysis of SME Social Responsibility Performance under Public Health Emergencies" Mathematics 11, no. 8: 1802. https://doi.org/10.3390/math11081802
APA StyleXie, N., Tong, Y., & He, H. (2023). Evolutionary Game Analysis of SME Social Responsibility Performance under Public Health Emergencies. Mathematics, 11(8), 1802. https://doi.org/10.3390/math11081802

