SimSST: An R Statistical Software Package to Simulate Stop Signal Task Data †
Abstract
1. Introduction
1.1. Stop Signal Task
1.2. The Horse Race Model
1.3. The Key Reaction Times Distributions
1.4. Motivation
1.5. Study Outline
2. The SimSST Package
2.1. The Background and Installation
- Set the simulation method (fixed SSD or tracking).
- Set the stochastic independency status of GORT and SSRT processes (Yes or No).
- Set distribution type for GORT and SSRT and also set starting SSD (one of seven distributions: ExW, ExG, SW, Gumbel, Weibull, Lognormal and Gamma).
- Simulate each process (either independently or using Copulas).
- Test if the response from the first stop trial meets . If so, the trial is marked as successful inhibition. Otherwise, failed inhibition.
- Test and record the status of all successive stop trials.
- (a)
- Fixed SSD Method—Repeat checking if the following stop trial status is similar to the first one without a change in the value of SSD in each stop trial.
- (b)
- Tracking Method—Check the status of the first stop trial. If a stop is successful, add a redesigned constant d (e.g., 50 ms) to the SSD to check the status of the second stop trial. Otherwise, subtract d (e.g., 50 ms) from the SSD to check that trial status. Repeat this algorithm for the successive stop trials until the end.
2.2. The Fixed SSD Based Simulated SST Data
2.3. The Tracking Method Based Simulated SST Data
2.4. The General Tracking Method Based Simulated Correlated SST Data
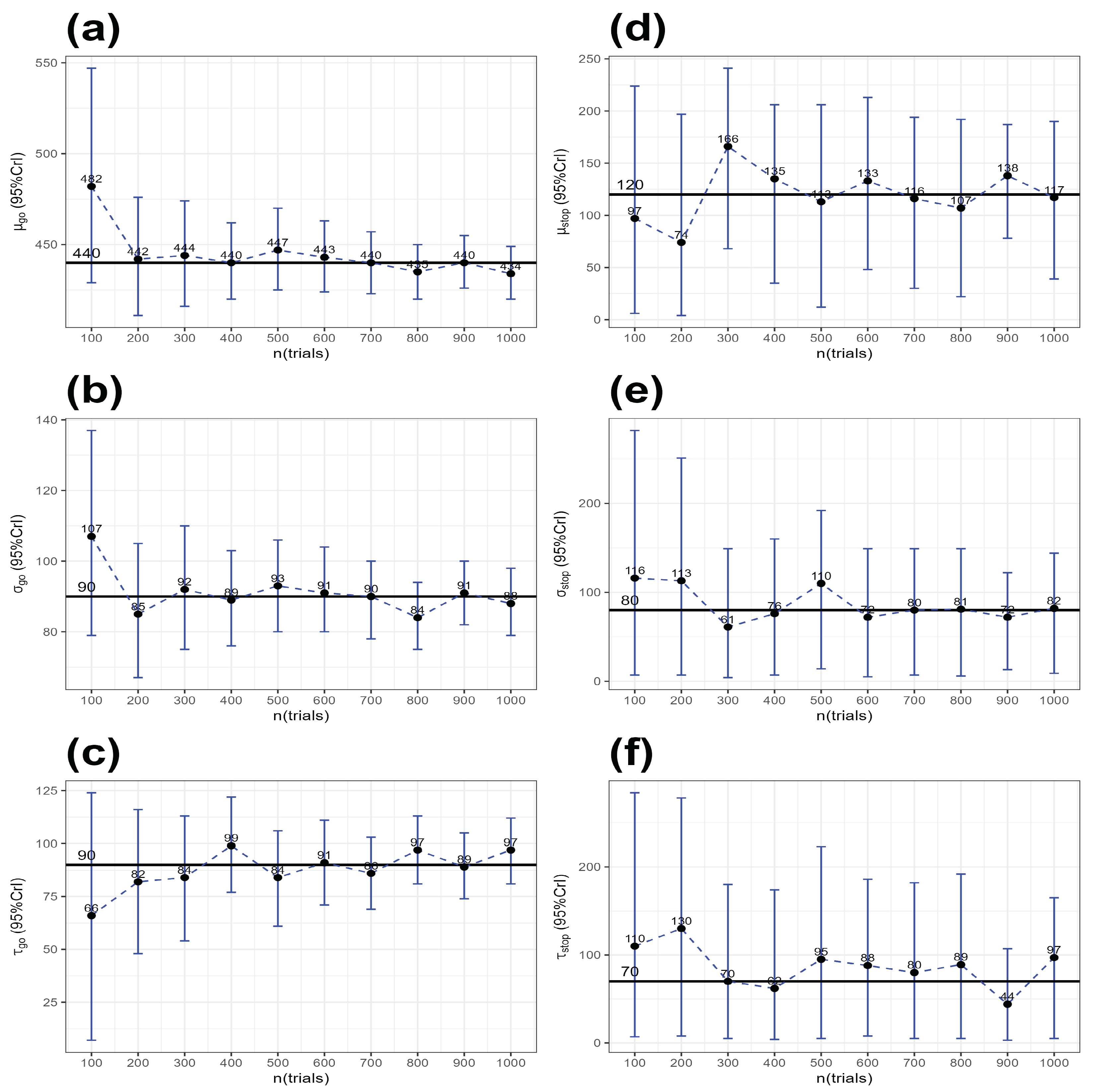
2.5. Simulation Study: An Example
| Method: | Tracking |
| Stoch. Ind. Status: | Independent |
| Initial SSD: | 220 ms |
| d parameter: | 50 ms |
| total trials: | k |
| stop trials: | k |
| GORT distribution: | ExGaussian(ExG) |
| SSRT distribution: | ExGaussian(ExG) |
| Prior Setting Information: | |
| start value: 500 | |
| start value: 150 | |
| start value: 150 | |
| start value: 300 | |
| start value: 150 | |
| start value: 150 | |
| MCMC Setting Information: | |
| Number of chains: | 3 |
| Samples: | 50,000 |
| Burn in: | 5000 |
| Thining: | 5 |
| Limits of Integration: | 1–10,000 |
| With Trigger Failure(WTF): | No. |
3. Discussion
3.1. Summary and Contributions
3.2. Limitations and Future Work
3.3. Conclusions
Supplementary Materials
Author Contributions
Funding
Institutional Review Board Statement
Informed Consent Statement
Data Availability Statement
Acknowledgments
Conflicts of Interest
Abbreviations
Appendix A. The R Code to Convert SimSST Files to BEESTS Input Files
References
- Schachar, R.J.; Logan, G.D.; Robaey, P.; Chen, S.; Ickowicz, A.; Barr, C. Restraint and Cancellation: Multiple Inhibition Deficits in Attention Deficit Hyperactivity Disorder. J. Abnorm. Child Psychol. 2007, 35, 229–238. [Google Scholar] [CrossRef] [PubMed]
- van den Wildenberg, W.P.M.; Ridderinkhof, K.R.; Wylie, S.A. Towards Conceptual Clarification of Proactive Inhibitory Control: A Review. Brain Sci. 2022, 12, 1638. [Google Scholar] [CrossRef] [PubMed]
- Soltanifar, M.; Escobar, M.; Dupuis, A.; Chevrier, A.; Schachar, R. The Asymmetric Laplace Gaussian (ALG) Distribution as the Descriptive Model for the Internal Proactive Inhibition in the Standard Stop Signal Task. Brain Sci. 2022, 12, 730. [Google Scholar] [CrossRef] [PubMed]
- Trommer, B.L.; Hoeppner, J.B.; Lorber, R.; Armstrong, K.J. The Go-No-Go Paradigm in Attention Deficient Disorder. Ann. Neurol. 1988, 24, 610–614. [Google Scholar] [CrossRef] [PubMed]
- Logan, G.D.; Cowan, W.B. On the Ability to Inhibit Thought and Action: A Theory of an Act of Control. Psychol. Rev. 1984, 91, 295–327. [Google Scholar] [CrossRef]
- Verbruggen, F.; Aron, A.R.; Band, G.H.; Beste, C.; Bissett, P.G.; Brockett, A.T.; Brown, J.W.; Chamberlain, S.R.; Chambers, C.D.; Colonius, H.; et al. A consensus guide to capturing the ability to inhibit actions and impulsive behaviors in the stop-signal task. eLife 2019, 8, e46323. [Google Scholar] [CrossRef]
- Logan, G.D.; van Zandt, T.; Verbruggen, F.; Wagenmakers, E.J. Ability to Inhibit Thought and Action: General and Special Theories of an Act of Control. Psychol. Rev. 2014, 121, 66–95. [Google Scholar] [CrossRef]
- Vince, M.A. The intermittency of control movements and the psychological refractory period. Br. J. Psychology. Gen. Sect. 1948, 38, 149–157. [Google Scholar]
- Ollman, R.T.; Billington, M.J. The Deadline Model for Simple Reaction Times. Cogn. Psychol. 1972, 3, 311–336. [Google Scholar] [CrossRef]
- Logan, G.D. Attention, Automaticity, and the Ability to Stop a Speeded Choice Response. In Attention and Performance IX; Long, J., Baddeley, A.D., Eds.; Hillsdale: Erlbaum, NJ, USA, 1981. [Google Scholar]
- Boucher, L.; Palmeri, T.J.; Logan, G.D.; Schall, J.D. Inhibitory Control in Mind and Brain: An Interactive Race Model of Countermanding Saccades. Psychol. Rev. 2007, 114, 376–397. [Google Scholar] [CrossRef]
- Hanes, D.P.; Carpenter, R.H.S. Countermanding Saccades in Humans. Vis. Res. 1999, 39, 2777–2791. [Google Scholar] [CrossRef] [PubMed]
- Athreya, K.B.; Lahiri, S.M. Measure Theory and Probability Theory; Springer: New York, NY, USA, 2006. [Google Scholar]
- Colonius, H. A Note on the Stop Signal Paradigm, or How to Observe the Unobservable. Psychol. Rev. 1990, 97, 309–312. [Google Scholar] [CrossRef]
- Matzke, D.; Dolan, C.V.; Logan, G.D.; Brown, S.D.; Wagenmakers, E.J. Bayesian Parametric Estimation of Stop signal Reaction Time Distributions. J. Exp. Psychol. Gen. 2013, 142, 1047–1073. [Google Scholar] [CrossRef] [PubMed]
- Soltanifar, M.; Escobar, M.; Dupuis, A.; Schachar, R. A Bayesian Mixture Modelling of Stop Signal Reaction Time Distributions: The Second Contextual Solution for the Problem of Aftereffects of Inhibition on SSRT Estimations. Brain Sci. 2021, 11, 1102. [Google Scholar] [CrossRef]
- Del Prado Martin, F.M. A Theory of Reaction Times Distributions. 2008. (Unpublished). Available online: http://cogprints.org/6310 (accessed on 16 December 2022).
- Palmer, E.M.; Horowitz, T.S.; Torralba, A.; Wolfe, J.M. What are the Shapes of Response Times Distributions in Visual Search? J. Exp. Psychol. 2011, 37, 58–71. [Google Scholar] [CrossRef]
- Heatcote, A. RTSYS: A DOS Application for the Analysis of Reaction Times Data. Behav. Res. Methods Instrum. Comput. 1996, 28, 427–445. [Google Scholar] [CrossRef]
- Schwarz, W. The Ex-Wald Distribution as a Descriptive Model of Reaction Time Data. Behav. Res. Methods Instruments Comput. 2001, 33, 457–469. [Google Scholar] [CrossRef]
- Gumbel, E.J. The Statistics of Extremes; Columbia University Press: New York, NY, USA, 1958. [Google Scholar]
- Weibull, W. A Statistical Distribution Function of wide Applicability. J. Appl. Mech. Transform. ASME 1951, 18, 293–297. [Google Scholar] [CrossRef]
- Johnson, N.L.; Kotz, S.; Balakrishnan, N. Continuous Univariate Distributions, 2nd ed.; “14: Lognormal Distributions”; John Wiley & Sons: New York, NY, USA, 1994; Volume 1. [Google Scholar]
- Lancaster, H.O. Forerunners of the Pearson chi-square. Aust. J. Stat. 1966, 8, 117–126. [Google Scholar] [CrossRef]
- Royce, A.; Alario, F.X.; Van Maanen, L. The Shifted Wald Distribution for Response Time Data Analysis. Psychol. Methods 2016, 21, 309–327. [Google Scholar]
- Band, G.P.; van der Molen, M.W.; Logan, G.D. Horse-race model simulations of the stop-signal procedure. Acta Psychol. 2003, 112, 105–142. [Google Scholar] [CrossRef] [PubMed]
- Hannah, R.; Muralidharan, V.; Aron, A.R. Failing to attend versus failing to stop: Single-trial decomposition of action-stopping in the stop signal task. Behav. Res. Methods 2022, 1–19. [Google Scholar] [CrossRef]
- Weise, L.; Boecker, M.; Gauggel, S.; Falkenburger, B.; Drueke, B. A reaction-time adjusted PSI method for estimating performance in the stop-signal task. PLoS ONE 2018, 13, e0210065. [Google Scholar] [CrossRef] [PubMed]
- Soltanifar, M.; Dupuis, A.; Schachar, R.; Escobar, M. A frequentist mixture modelling of stop signal reaction times. Biostat. Epidemiol. 2019, 3, 90–108. [Google Scholar] [CrossRef]
- Soltanifar, M.; Knight, K.; Dupuis, A.; Schachar, R.; Escobar, M. A Time Series-Based Point Estimation of Stop Signal Reaction Times: More Evidence on the Role of Reactive Inhibition-Proactive Inhibition Interplay on the SSRT Estimations. Brain Sci. 2020, 10, 598. [Google Scholar] [CrossRef] [PubMed]
- Ye, W. Dynamics of a revised neural mass model in the stop-signal task. Chaos Solitons Fractals 2020, 139, 110004. [Google Scholar] [CrossRef]
- Bissett, P.G.; Hagen, M.P.; Jones, H.M.; Poldrack, R.A. Design issues and solutions for stop-signal data from the Adolescent Brain Cognitive Development (ABCD) study. ELife 2021, 10, e60185. [Google Scholar] [CrossRef]
- Nieuwoudt, C.; Brooks-Wilson, A.; Graham, J. SimRVSequences. an R package to simulate genetic sequence data for pedigrees. Bioinformatics 2020, 36, 2295–2297. [Google Scholar] [CrossRef]
- Tripathi, S.; Lloyd-Price, J.; Ribeiro, A.; Yli-Harja, O.; Dehmer, M.; Emmert-Streib, F. sgnesR: An R package for simulating gene expression data from an underlying real gene network structure considering delay parameters. BMC Bioinform. 2017, 18, 325. [Google Scholar] [CrossRef]
- Nilforooshan, M.A. pedSimulate – An R package for simulating pedigree, genetic merit, phenotype, and genotype data. Rev. Bras. De Zootec. 2022, 51, e20210131. [Google Scholar] [CrossRef]
- Technow, F.R. Package hypred: Simulation of Genomic Data in Applied Genetics. Ph.D. Thesis, University of Hohenheim, Institute of Plant Breeding, Seed Science and Population Genetics, Stuttgart, Germany, 2011. [Google Scholar]
- Brilleman, S.L.; Wolfe, R.; Moreno-Betancur, M.; Crowther, M.J. Simulating Survival Data Using the simsurv R Package. J. Stat. Softw. 2021, 97, 1–27. [Google Scholar] [CrossRef]
- Welvaert, M.; Durnez, J.; Moerkerke, B.; Verdoolaege, G.; Rosseel, Y. neuRosim: AnRPackage for Generating fMRI Data. J. Stat. Softw. 2011, 44, 1–19. [Google Scholar] [CrossRef]
- Hackenberger, B.K. R software: Unfriendly but probably the best. Croat. Med. J. 2020, 61, 66–68. [Google Scholar] [CrossRef] [PubMed]
- Mizumoto, A.; Plonsky, L. R as a Lingua Franca: Advantages of Using R for Quantitative Research in Applied Linguistics. Appl. Linguist. 2015, 37, 284–291. [Google Scholar] [CrossRef]
- Soltanifar, M.; Lee, C. SimSST: Simulated Stop Signal Task Data. R Package Version 0.0.5.2. 2023. Available online: https://CRAN.R-project.org/package=SimSST (accessed on 9 January 2023).
- Stasinopoulos, M.; Rigby, R. gamlss.dist: Distributions for Generalized Additive Models for Location Scale and Shape. R Package Version 6.0-5. 2022. Available online: https://CRAN.R-project.org/package=gamlss.dist (accessed on 9 January 2023).
- Venables, W.N.; Ripley, B.D. Modern Applied Statistics with S., 4th ed.; Springer: New York, NY, USA, 2002; ISBN 0-387-95457-0. [Google Scholar]
- Wickham, H.; François, R.; Henry, L.; Müller, K. dplyr: A Grammar of Data Manipulation. R Package Version 1.0.10. 2022. Available online: https://CRAN.R-project.org/package=dplyr (accessed on 9 January 2023).
- R Core Team. R: A Language and Environment for Statistical Computing; R Foundation for Statistical Computing: Vienna, Austria, 2022; Available online: https://www.R-project.org/ (accessed on 9 January 2023).
- Bissett, P.G.; Jones, H.M.; Poldrack, R.A.; Logan, G.D. Severe violations of independence in response inhibition tasks. Sci. Adv. 2021, 7, eabf4355. [Google Scholar] [CrossRef]
- Wicklin, R. Simulating Data with SAS, 1st ed.; SAS Institute Inc.: Cary, NC, USA, 2013; pp. 169–174. [Google Scholar]
- Matzke, D.; Love, J.; Wiecki, T.V.; Brown, S.D.; Logan, G.D.; Wagenmakers, E.J. Release the BEESTS: Bayesian Estimation of Ex-Gaussian Stop Signal Reaction Time Distributions. Front. Psychol. 2013, 4, 918. [Google Scholar] [CrossRef]
- Holm, S. A Simple Sequentially Rejective Multiple Test Procedure. Scand. J. Stat. 1979, 6, 65–70. [Google Scholar]
- Ko, L.-W.; Shih, Y.-C.; Chikara, R.K.; Chuang, Y.-T.; Chang, E.C. Neural Mechanisms of Inhibitory Response in a Battlefield Scenario: A Simultaneous fMRI-EEG Study. Front. Hum. Neurosci. 2016, 10, 1–15. [Google Scholar] [CrossRef]
- Rouder, J.F. Are Un-shifted Distributional Models Appropriate for Response Time? Psychometrica 2005, 70, 377–381. [Google Scholar] [CrossRef]
- Heathcote, A. Fitting Wald and ex-Wald distributions to response time data: An example using functions for the S-PLUS package. Behav. Res. Methods Instruments Comput. 2004, 36, 678–694. [Google Scholar] [CrossRef]
- Soltanifar, M. A Look at the Primary Order Preserving Properties of Stochastic Orders: Theorems, Counterexamples and Applications in Cognitive Psychology. Mathematics 2022, 10, 4362. [Google Scholar] [CrossRef]
- Verbruggen, F.; Logan, G.D. Models of response inhibition in the stop-signal and stop-change paradigms. Neurosci. Biobehav. Rev. 2009, 33, 647–661. [Google Scholar] [CrossRef] [PubMed]




| Distribution | ||
|---|---|---|
| Representation | ||
| Domain | ||
| Parameters | ||
| CDF | ||
| Mean | ||
| Variance | ||
| Skewness | ||
| Kurtosis | ||
| Hazard Function | ↗ | ↷ |
| Scenario | Method | Stoch. Ind. | GORT | SSRT | Function |
|---|---|---|---|---|---|
| 1 | Fixed SSD | Yes | ExG | ExG | simssfixed()/simssgen() |
| 2 | SW | simssfixed()/simssgen() | |||
| 3 | SW | ExG | simssfixed()/simssgen() | ||
| 4 | SW | simssfixed()/simssgen() | |||
| 5 | No | ExG | ExG | simssgen() | |
| 6 | SW | simssgen() | |||
| 7 | SW | ExG | simssgen() | ||
| 8 | SW | simssgen() | |||
| 9 | Tracking | Yes | ExG | ExG | simsstrack()/simssgen() |
| 10 | SW | simsstrack()/simssgen() | |||
| 11 | SW | ExG | simsstrack()/simssgen() | ||
| 12 | SW | simsstrack()/simssgen() | |||
| 13 | No | ExG | ExG | simssgen() | |
| 14 | SW | simssgen() | |||
| 15 | SW | ExG | simssgen() | ||
| 16 | SW | simssgen() |
| (a) t-test | ||||||
| 445(435,454) | 91(86,96) | 88(81,94) | 120(102,138) | 86(72,100) | 86(69,104) | |
| Sig.(2-sided) | 0.305 | 0.629 | 0.436 | 0.961 | 0.332 | 0.061 |
| PE(%) | 1.1 | 1.1 | 2.2 | 0.0 | 7.5 | 22.9 |
| (b) Wilcoxon test | ||||||
| 443(435,464) | 90(87,98) | 89(81,94) | 120(102,138) | 87(71,110) | 89(66,110) | |
| Sig.(2-sided) | 0.447 | 0.953 | 0.721 | 1.000 | 0.635 | 0.076 |
| PE(%) | 0.7 | 0.0 | 1.1 | 0.0 | 8.8 | 27.1 |
Disclaimer/Publisher’s Note: The statements, opinions and data contained in all publications are solely those of the individual author(s) and contributor(s) and not of MDPI and/or the editor(s). MDPI and/or the editor(s) disclaim responsibility for any injury to people or property resulting from any ideas, methods, instructions or products referred to in the content. |
© 2023 by the authors. Licensee MDPI, Basel, Switzerland. This article is an open access article distributed under the terms and conditions of the Creative Commons Attribution (CC BY) license (https://creativecommons.org/licenses/by/4.0/).
Share and Cite
Soltanifar, M.; Lee, C.H. SimSST: An R Statistical Software Package to Simulate Stop Signal Task Data. Mathematics 2023, 11, 500. https://doi.org/10.3390/math11030500
Soltanifar M, Lee CH. SimSST: An R Statistical Software Package to Simulate Stop Signal Task Data. Mathematics. 2023; 11(3):500. https://doi.org/10.3390/math11030500
Chicago/Turabian StyleSoltanifar, Mohsen, and Chel Hee Lee. 2023. "SimSST: An R Statistical Software Package to Simulate Stop Signal Task Data" Mathematics 11, no. 3: 500. https://doi.org/10.3390/math11030500
APA StyleSoltanifar, M., & Lee, C. H. (2023). SimSST: An R Statistical Software Package to Simulate Stop Signal Task Data. Mathematics, 11(3), 500. https://doi.org/10.3390/math11030500

