Next Article in Journal
On the Equilibrium in a Queuing System with Retrials and Strategic Arrivals
Previous Article in Journal
Analysis of a Collision-Affected M/GI/1/ /N Retrial Queuing System Considering Negative Customers and Transmission Errors
 
 
Font Type:
Arial Georgia Verdana
Font Size:
Aa Aa Aa
Line Spacing:
Column Width:
Background:
Article

Optimized Statistical Beamforming for Cooperative Spectrum Sensing in Cognitive Radio Networks

by
Ubaid M. Al-Saggaf
1,2,†,
Jawwad Ahmad
3,†,
Mohammed A. Alrefaei
1,2,† and
Muhammad Moinuddin
1,2,*
1
Electrical and Computer Engineering Department, King Abdulaziz University, Jeddah 21589, Saudi Arabia
2
Centre of Excellence in Intelligent Engineering Systems, King Abdulaziz University, Jeddah 21589, Saudi Arabia
3
Faculty of Electrical Engineering, Usman Institute of Technology, UIT University, Karachi 75300, Pakistan
*
Author to whom correspondence should be addressed.
These authors contributed equally to this work.
Mathematics 2023, 11(16), 3533; https://doi.org/10.3390/math11163533
Submission received: 9 July 2023 / Revised: 4 August 2023 / Accepted: 9 August 2023 / Published: 16 August 2023
(This article belongs to the Section E2: Control Theory and Mechanics)

Abstract

:
In cognitive radio (CR), cooperative spectrum sensing (CSS) employs a fusion of multiple decisions from various secondary user (SU) nodes at a central fusion center (FC) to detect spectral holes not utilized by the primary user (PU). The energy detector (ED) is a well-established technique of spectrum sensing (SS). However, a major challenge in designing an energy detector-based SS is the requirement of correct knowledge for the distribution of decision statistics. Usually, the Gaussian assumption is employed for the received statistics, which is not true in real practice, particularly with a limited number of samples. Another big challenge in the CSS task is choosing an optimal fusion strategy. To tackle these issues, we have proposed a beamforming-assisted ED with a heuristic-optimized CSS technique that utilizes a more accurate distribution of decision statistics by employing the characterization of the indefinite quadratic form (IQF). Two heuristic algorithms, genetic algorithm with multi-parent crossover (GA-MPC) and constriction factor particle swarm-based optimization (CF-PSO), are developed to design optimum beamforming and optimum fusion weights that can maximize the global probability of detection p d while constraining the global probability of false alarm p f to below a required level. The simulation results are presented to validate the theoretical findings and to asses the performance of the proposed algorithm.

1. Introduction

Joseph Mitola presented cognitive radio (CR) as a viable method to enable wireless access to spectral holes or sporadic intervals of unutilized frequency spectrum by licensed users, usually called primary users (PU). The main objective of a CR network (CRN) is to detect the existence of spectral holes in the network, usually called spectrum sensing (SS). Then, a secondary user (SU) in need is given access to these open spectrum gaps. Since PU has the precedence to use the frequency spectrum at all times, CRN principles forbid SU from interfering with or harming PU’s regular communications in order to preserve the quality of service (QoS) [1]. When the detector knows the power of the received signal, energy detection serves as the best SS scheme and exhibits the benefit of its implementation simplicity in order to detect the PU signal with unknown position, structure, and strength [2]. If the energy statistics are greater than a certain threshold, the sensing nodes can detect the presence of the PU; otherwise, the PU is absent [3]. The probabilities that show the accuracy of detection performance are the probability of detection ( p d ) and the probability of false alarm ( p f ). The more accurately the idle channel is detected with a lower likelihood of a false alarm, the more accurately the PU is detected with a higher likelihood of detection.
Spectrum sensing for CRN has attracted much attention recently. Various SS methods have been developed to find spectral holes when they are present. The most well-known of these methods are energy detector-based SS [4,5,6,7], waveform matching-based SS [8,9], matched filter-based SS [10,11], autocorrelation-based SS [12], cyclostationarity-based SS [13], eigenvalue-based SS [14], wavelet-based SS [15], covariance-based SS [16,17], and beamforming-based SS [18,19,20].
Among the aforementioned SS techniques, the most popular is the energy-based SS method due to its simpler implementation and lower computational complexity. However, one major challenge faced by the energy-based SS process is that its performance is severely degraded when a PU signal is influenced by one or more channel impairments, such as shadowing, fading effects, noise uncertainty, and co-channel interference.
Cooperative spectrum sensing (CSS) has been suggested as a potential remedy to lessen these effects by increasing the detection rate by making use of spatial diversity via cooperation among multiple sensing nodes [21,22,23,24,25,26,27,28,29,30,31,32,33,34,35]. These include various techniques, such as distributed compressive SS for cooperative multihop CRN [24], wideband SS on real-time signal via sub-Nyquist sampling [25], CSS for energy-harvesting CRN [26], centralized CSS for CRN [27], semi-supervised deep-learning-network-based CSS [28], deep-reinforcement-learning-based decentralized CSS [29], and various machine-learning-based CSS [30,31,32,33,34,35].
One of the critical issues in obtaining the optimal fusion weights and beamforming weights is that the objective function of the optimization task is usually highly nonlinear and non-convex, which limits the use of classical optimization techniques. Thus, many heuristic optimization strategies have been employed for the SS in CRN [36,37,38,39,40,41,42]. In [36], genetic algorithm-assisted optimization for finding the optimal fusion combining is proposed. In [38], a modified genetic algorithm (GA) was proposed for SS which employs two additional constraints to limit the number of GA solutions and to reduce the size of the search space, which is termed as genetic algorithm-multi parent crossover (GA-MPC). Another method called cross-entropy has been successfully employed for the SS in [39]. Besides that, the particle swarm optimization (PSO) algorithm has recently shown very effective performance in CRN [42].

Paper Contributions and Organization

Although there is plenty of research on energy-based SS and CSS approaches for CRN, the current solutions have one or more drawbacks, such as (i) assuming that perfect knowledge of CSI is available at the sensing nodes, which is not true in real practice; (ii) requiring frequent transmission of pilot signals in order to obtain CSI, particularly for higher frequency (mmWave and terahertz), which increases the transmission overhead; (iii) employing the assumption of Gaussian distribution on the decision statistics at the FC, which is utilized to derive expressions for p d and p f , which is not valid in many real scenarios; (iv) ignoring the effect of co-channel interference in deriving the decision statistics at the FC; and (v) without using beamforming in the CSS scenario. In this work, we addressed these issues. Our main contributions are as follows:
(a)
We proposed a cooperative SS solution utilizing a beamforming-aided energy detector at the sensing nodes, which also takes into account the effect of co-channel interference.
(b)
We obtained a more accurate characterization of decision statistics by deriving the expressions for the p d and the p f IQF in contrast to the Gaussian assumption.
(c)
We proposed designing optimum beamforming that can maximize the p d while constraining the p f to below a certain required level. To do so, we developed two heuristic optimization solutions: a genetic algorithm with multi-parent crossover (GA-MPC) and particle swarm-based optimization (PSO).
(d)
Since the proposed method relies on statistical measures p d and p f , the proposed methods do not require pilot transmission. Thus, the proposed methods are spectrum efficient.
(e)
We provided simulation and numerical results, including sensitivity analysis, to prove the supremacy of the proposed methods.
This paper is organized as follows. Following this introduction, the system model is presented in Section 2. In Section 3, the proposed method for the beamforming in CSS is developed. The results are reported in Section 4. Finally, the concluding remarks are provided in Section 5.

2. System Model

Consider a CRN with K SUs operating in half-duplex mode, which senses the PU signal in order to detect the existence of any spectral hole. In addition, there are C co-channel interferer effects on each sensing node. Every SU employs a beamforming-aided energy detector on the observed PU signal and decides locally between hypotheses H 0 (i.e., PU signal is absent) and H 1 (i.e., PU signal is present). These local decisions from K SUs are then sent to the fusion center (FC) through separate complex Gaussian channels where a weighted energy detector is implemented, as shown in Figure 1.
Let the transmitted PU and the co-channel signals be denoted as x s ( t ) and { x c 1 ( t ) , , x c C ( t ) } , respectively. At the ith SU node, the PU signal is received via zero mean complex Gaussian channel h i ( t ) with correlation matrix R h i (i.e., h i CN ( 0 , R h i ) ), whereas the co-channel signals are received via zero mean complex Gaussian channels { h c 1 , i ( t ) , h c 2 , i ( t ) , , h c C , i ( t ) } (i.e., every kth channel has correlation matrix R h ck , i . Thus, h c k , i CN ( 0 , R h ck , i ) ). The accumulated signal is processed via M-length antenna beamforming weights w i ( t ) = [ w i 1 ( t ) , w i 2 ( t ) , w i M ( t ) ] in the presence of additive white Gaussian noise n i ( t ) . Thus, the received signals at the ith node, denoted as x i [ t | H 0 ] and x i [ t | H 0 ] , respectively, for Hypotheses H 0 and H 1 are given by:
H 0 : x i [ t | H 0 ] = k = 1 C E c k x c k ( t ) h c k , i H ( t ) w i ( t ) + n i ( t )
and
H 1 : x i [ t | H 1 ] = E s x s ( t ) h i H ( t ) w i ( t ) + k = 1 C E c k x c k ( t ) h c k , i H ( t ) w i ( t ) + n i ( t )
where E s and E c k show the PU and kth co-channel signal energies, respectively. Consequently, the sampled version of the received signals can be expressed as:
H 0 : x i [ n | H 0 ] = k = 1 C E c k x c k ( n ) h c k , i H [ n ] w i + n i [ n ]
and
H 1 : x i [ n | H 1 ] = E s x s ( n ) h i H [ n ] w i + k = 1 C E c k x c k ( n ) h c k , i H [ n ] w i + n i [ n ]
Next, every SU node process N received samples to obtain the average energy measure. Thus, the energy measure at the ith node (denoted as y i ) is calculated as:
y i = 1 N n = 1 N | x i [ n ] | 2 = 1 N x i 2
where | x i | 2 denotes the Euclidean norm of vector x i = [ x i [ 1 ] , x i [ 2 ] , , x i [ N ] ] T . Since all the channel vectors are complex Gaussian distributed and independent of each other, the resulting vector x will also be zero mean complex Gaussian with i.i.d. samples. Thus, its correlation matrix R x i will be computed as:
R x i = k = 1 C E c k T r E [ R h ck , i w i w i H ] I + σ n 2 I for H 0 E s T r E [ R h i w i w i H ] I + k = 1 C E c k T r E [ R h ck , i w i w i H ] I + σ n 2 I for H 1

3. Proposed Beamforming-Aided Cooperative Spectrum Sensing Solution

In this work, we propose performing cooperative spectrum sensing via collaborating local decisions from multiple sensing nodes at the FC, as shown in Figure 1.
Let v i denote the local decision at the ith sensing node. Thus, v i can take a value of either 0 or 1 depending on the level of the local energy detector’s decision variable y i . If  ϵ i represents the threshold level for the detection at the ith node, we can express v i as:
v i = { 0 for y i < ϵ i 1 for y i ϵ i
In the proposed CSS scheme, the local decisions v i from K sensing node are passed through a complex Gaussian channel g = [ g 1 , g 2 , , g K ] and corrupted by additive noise terms n F C = [ n F C 1 , n F C 2 , , n F C K ] , as shown in Figure 1. At the FC, the collected signals, denoted as z i , are then fused with FC weights w F C = [ w F C 1 , w F C 2 , , w F C K ] to obtain the global decision variable Γ . If  z m represents the mth branch received signal at the FC, then it can be expressed as:
z m = g m v m + n F C m , m = 1 , 2 , , K
Thus, the global decision variable Γ can be expressed as:
Γ = m = 1 K w F C m | z m | 2
In summary, the proposed CSS system requires optimization at two stages:
(i) Stage 1:
To obtain an optimal solution for beamforming weights at each sensing unit (i.e., w i = [ w i 1 , w i 2 , w i M ] , i ) such that the local probability of detection (denoted as p d i ) is maximized while constraining its local probability of false alarm (denoted as p f i ) to a certain acceptable level (say p f i max ).
(ii) Stage 2:
To obtain an optimal solution for the FC weights (i.e., w F C ) shown in Figure 1 such that the global probability of detection (denoted as p d ) is maximized while constraining its global probability of false alarm (denoted as p f ) to a certain acceptable level (say p f max ).
For the aforementioned tasks, two heuristic optimization algorithms are developed: (i) genetic algorithm with multi-parent crossover (GA-MPC) and (ii) particle swarm-based optimization (PSO).
In the ensuing sub-sections, we derive the expressions for local probabilities ( p d i and p f i i ) and global probabilities ( p d and p f ) using the characterization of IQF. These statistics are then utilized to develop two aforementioned heuristic optimization algorithms.

3.1. Expressions for Local Probability of Detection and Probability of False Alarm

The local probability of detection ( p d i ) for ith node can be defined as the probability of y i being greater than a certain threshold ϵ i given Hypothesis H 1 (i.e., p r ( y i > ϵ i | H 1 ) ). Similarly, the local probability of false alarm ( p f i ) probability of y i is greater than certain threshold ϵ i given Hypothesis H 0 (i.e., p r ( y i > ϵ i | H 0 ) ). These probabilities can be evaluated as follows:
p d i = p r ( y i > ϵ i | H 1 ) = 1 p r ( y i < ϵ i | H 1 )
p f i = p r ( y i > ϵ | H 0 ) = 1 p r ( y i < ϵ i | H 0 )
In order to evaluate these probabilities, we employ the approach of IQF characterization outlined in [43]. To proceed with this evaluation, we first employ the whitening transformation x ˜ i = R x i H 2 x i to reformulate the variable y i as follows:
y i = x ˜ i A 2
where x ˜ i is the whitened version of x i , that is, x ˜ i C N ( 0 , I ) , and the weighting matrix A is given by:
A = 1 N R x i 1 2 R x i H 2 = 1 N R x i
Hence, the probabilities p r ( y i < ϵ i | H 0 ) and p r ( y i < ϵ i | H 1 ) can be found following the approach given in [43] and found to be:
p r ( y i < ϵ i | H k ) = 1 n = 1 N s i g n n ( ζ k ) ζ k n 1 Γ ( n ) ϵ i n 1 e ϵ i ζ k u ϵ i ζ k
where ζ k is defined as:
ζ k = { 1 N k = 1 C E c k T r E [ R h ck , i w i w i H ] + σ n 2 for H k = H 0 1 N E s T r E [ R h i w i w i H ] + k = 1 C E c k T r E [ R h ck , i w i w i H ] + σ n 2 for H k = H 1

3.2. Expression for Global Probability of Detection and Probability of False Alarm

In order to evaluate the global probabilities at the FC, we first reformulate the global decision variable Γ defined in (9) as:
Γ = z W F C 2
where W F C = diag [ w F C 1 , w F C 2 , , w F C K ] is a diagonal matrix and z = [ z 1 , z 2 , , z K ] is zero mean complex Gaussian with correlation matrix R z , which is given by:
R z = σ v 1 2 σ g 1 2 + σ F C 1 2 0 0 0 σ v 2 2 σ g 2 2 + σ F C 2 2 0 0 0 σ v K 2 σ g K 2 + σ F C K 2
where σ v i 2 , σ g i 2 , and σ F C i 2 are the variances of v i , g i , and  n F C i , respectively. Since v i is a discrete random variable defined in (7), its variance σ v i 2 can be computed using the relation in (7). Thus, knowing that v i ( 1 ) = 0 , v i ( 2 ) = 1 , and  E [ v i ] = p d i , the variance σ v i 2 is given by:
σ v i 2 = ( v i ( 1 ) E [ v i ] ) 2 p r ( y i < ϵ i | H 0 ) + ( v i ( 2 ) E [ v i ] ) 2 p r ( y i > ϵ i | H 1 ) = p d i 2 ( 1 p f i ) + ( 1 p d i ) 2 p d i
Next, utilizing whitening transformation z ˜ = R z i H 2 z to rewrite the global variable Γ  as:
Γ = z ˜ B 2
where z ˜ is the whitened version of z , that is, z ˜ C N ( 0 , I ) and the weighting matrix B is given by:
B = R z 1 2 W F C R z H 2
The global probability of detection ( p d ) and global probability of false alarm ( p f ) for the certain threshold γ can be obtained as:
p d = p r ( Γ > γ | H 1 ) = 1 p r ( Γ < γ | H 1 )
p f = p r ( Γ > γ | H 0 ) = 1 p r ( Γ < γ | H 0 )
Thus, the required probabilities are p r ( Γ < γ | H 1 ) and p r ( Γ < γ | H 0 ) , which can be computed using the approach of [43] and found to be:
p r ( Γ < γ | H k ) = { 1 l = 1 K λ l K e γ λ l | λ l | i = 1 , i l K ( λ l λ i ) u γ λ l for H k = H 0 1 l = 1 K ρ l K e γ ρ l | ρ l | i = 1 , i l K ( ρ l ρ i ) u γ ρ l for H k = H 1
where λ l and ρ l are the lth eigenvalues of matrix B for H 0 and H 1 , respectively.
Remark 1.
It should be noted here that the expressions for the p d and p f rely on the global decision threshold γ and eigenvalues of matrix B (i.e., λ l and ρ l ). The matrix B is dependent on the fusion weight matrix W F C and the correlation matrix R z , which, in turn, is a function of the local nodes’ p d i and p f i (which are dictated by individual node beamforming weights w i ) and their respective decision thresholds { ϵ 1 , ϵ 2 , , ϵ K } . Thus, it can be concluded that the overall performance of the proposed CSS is a function of the local nodes’ beamforming weights, the fusion weights, the local decision thresholds, and the global threshold.

3.3. Optimization Task for the Proposed Beamforming-Aided CSS

In order to obtain an optimum solution for beamforming weights that can enhance the CSS performance, we propose maximizing the global probability of detection ( p d ) while constraining the global probability of detection ( p f ) to a certain acceptable level (say p f max ). Thus, the required optimization task will be the maximization of the p d w.r.t. beamforming weights and fusion weights jointly stagged in w = { w 1 , w 2 , , w K , w F C } and the decision thresholds { ϵ 1 , ϵ 2 , , ϵ K , γ } while keeping p f to less than p f max , that is:
max { w , ϵ 1 , , ϵ K , γ } F i t = P d ( w , ϵ 1 , , ϵ K , γ ) , s . t . p f p f max .
This is a non-convex, highly non-linear, and non-smooth problem whose unique solution is difficult to obtain in a closed form. Thus, we propose employing heuristic approaches for this task. Specifically, we propose using the genetic algorithm with multi-parent crossover (GA-MPC) and the particle swarm-based optimization (PSO), which are briefly discussed next (readers can find their details in the cited references).

3.4. The Proposed Genetic Algorithm-Multi Parent Crossover

The GA-MPC is based on the idea that the distance between the children and their parents should not be too great in order to preserve diversity and prevent early convergence. On the other hand, to prevent long-term optimal convergence, the offspring should not be considerably broader than their parents [44]. Therefore, to aid in exploration and exploitation, the offspring should be balanced, neither being significantly wider nor narrower than their parents. There are two groups of the three produced offspring. Whereas the third offspring is employed for exploration, the other two are used for exploitation. Additionally, a diversity operation in the GA-MPC, rather than a mutation operation, will prevent premature convergence [44]. The rest of the operations in the GA-MPC are identical to the standard GA. In our proposed design of GA-MPC, we suggested combining the benefit of both the natural-selection-based GA [45] and the GA-MPC technique [44]. Moreover, we have used the binary GA-MPC, i.e., the chromosomes are generated in binary numbers. The proposed GA-MPC is implemented according to the following steps:
(i)
Initialization:
  • Initialize parameters to execute GA-MPC such as the percentage of mutation, numbers of bits, bounds, etc.;
  • Generate a particular size of population of random chromosomes within the given bounds.
(ii)
Cost or Fitness Evaluation:
  • Evaluate the cost/fitness of each chromosome of the pheno-population using the given objective function;
  • Sort them to identify the best and worst individual chromosomes. After sorting, record them in a pocket variable.
(iii)
Pheno to Geno Conversion: Convert pheno-population into geno-population that will represent the binary bits format.
(iv)
Selection and Crossover:
  • Apply the natural selection scheme to choose a particular number of chromosomes, e.g., 50% higher ranking chromosomes, to develop a mating pool;
  • Next, select at least two pairs of random parents from the pool for MPC operation. In addition, generate a normally distributed random number γ with mean value μ and standard deviation σ ;
  • Generate four offspring by employing MPC technique as follows:
    p a r e n t 1 = p a r e n t 1 + γ × p a r e n t 2 p a r e n t 3 p a r e n t 2 = p a r e n t 2 + γ × p a r e n t 3 p a r e n t 4 p a r e n t 3 = p a r e n t 3 + γ × p a r e n t 4 p a r e n t 1 p a r e n t 4 = p a r e n t 4 + γ × p a r e n t 1 p a r e n t 2
  • Finally, combine these offspring with all the selected parents in the mating pool, keeping in view that the population size should remain constant.
(v)
Mutation and Geno to Pheno:
  • Apply mutation to some of the chromosomes with a small probability which were initialized earlier.
  • Convert geno-population into pheno-population under the given bits format.
Repeat step 2 to 5 for other generations or until the termination conditions are met.

3.5. The Proposed Particle Swarm Optimization Algorithm

Particle swarm optimization (PSO) is an optimization technique proposed by Eberhart and Kennedy that stimulates the behavior of birds exploring the food location in a given search space [46]. Thus, the PSO makes use of a swarm of particle solutions to find the optimal solution for a given optimization task. The particles move about the search space in accordance with a defined mathematical relation. The program assesses the fitness of a particular problem using the position and velocity of the particle. Each particle is influenced by its local best-known position, which is further directed by the global best-known position in the search space. As other particles discover more advantageous spots, the position is modified repeatedly [46].
In the conventional PSO, a population of η particles moves in a given search space to discover the best solution for the target problem. Each ith particle has position vector x i = [ x i 1 , x i 2 , , x i η ] and velocity vector v i = [ v i 1 , v i 2 , , v i η ] . Two more local and global vectors contain the best-known position values ith and all the individuals so far, in search space as x i p b e s t = [ x i 1 p b e s t , x i 2 p b e s t , , x i η p b e s t ] and x g b e s t = [ x 1 g b e s t , x 2 g b e s t , , x η g b e s t ] , respectively. The update equations for the velocity and position of the ith particle at the kth iteration are given, respectively, as: 
v i ( k + 1 ) = ω v i ( k ) + c 1 r 1 ( k ) x i p b e s t ( k ) x i ( k ) + c 2 r 2 ( k ) x g b e s t ( k ) x i ( k )
where r 1 ( k ) and r 2 ( k ) are uniform random variables such that r 1 ( k )   and   r 2 ( k ) U ( 0 , 1 ) . Each particle position vector x i ( k ) is updated according to the following:
x i ( k + 1 ) = x i ( k ) + v i ( k + 1 )
In Equation (26), the controlling parameters are inertia weight (denoted as ω ) and acceleration coefficients (denoted as c 1 and c 2 ). Over a period of time, multiple variants of PSO are developed to optimize the design of these controlling parameters. In our work, we have employed constriction-factor-based particle swarm optimization (CF-PSO), proposed by [47]. In our proposed method, the inertia weight is also updated via the approach introduced in [48], which is given by:
ω ( k ) = ω max ω max ω min k max × k
where ω max , ω min are bounds of the inertial weight parameter, k max is the maximum iteration value, and k is the current iteration value. Consequently, the velocity of the constriction factor-based PSO will be updated according to the following rule:
v i ( k + 1 ) = ω ( k ) v i ( k ) + ψ r 1 ( k ) x i p b e s t ( k ) x i ( k ) + r 2 ( k ) x g b e s t ( k ) x i ( k )
where ψ = 2 | 2 ϕ ϕ 2 4 ϕ | with ϕ = c 1 + c 2 > 4 . It is proved in [47] that the constriction factor-based PSO converges, avoiding premature convergence. It should be noted that with the proposed CF-PSO, the multiplication factor ψ does not multiply with the first term ω ( k ) v i ( k ) as it was originally proposed in [47]. This modification is based on the observation that the inertia weight ω ( k ) can impact independently on the velocity of the swarm.

3.6. Pseudo-Code of the Proposed Scheme

The pseudo-code of the proposed algorithm is summarized in Algorithm 1.
Algorithm 1 Pseudo-code of designing optimum beamforming and decision thresholds for the proposed CSS.
   Set the optimization method (GA-MPC or CF-PSO) and algorithm termination conditions.
   Initialize w , ϵ 1 , , ϵ K , γ randomly.
   Time index j = 0.
   Compute p d i using (10) and p f i using (11) i .
   Compute σ v i 2 using (18) i .
   Compute R z using (17).
   Compute the eigenvalues { λ l } and { ρ l } of the matrix B defined in (20).
   Compute p d using (21) and (23).
   Compute p f using (22) and (23).
   repeat
        j = j + 1 .
       Find Fit j ( w , ϵ 1 , , ϵ K , γ ) using (24).
       if  F i t j ( w , ϵ 1 , , ϵ K , γ ) F i t j 1 ( w , ϵ 1 , , ϵ K , γ )
        then,
          update beam weights and threshold values to their respective optimum values, that is, w = w O p t , and { ϵ 1 , , ϵ K , γ } = { ϵ 1 O p t , , ϵ K O p t , γ O p t } .
       else
           Condition = true.
       end if
   until {Termination condition = true.}

4. Results

In this section, we provide the results to validate our theoretical claims. In particular, results for the following tasks are presented:
  • Validation of theoretical results for a local p d i and p f i via comparison with Monte Carlo simulations;
  • Validation of theoretical results for global p d and p f via comparison with Monte Carlo simulations;
  • Performance of the proposed GA-MPC assisted CSS;
  • Performance of the proposed CF-PSO assisted CSS;
  • Sensitivity Analysis of the proposed GA-MPC;
  • Sensitivity Analysis of the proposed CF-PSO.

4.1. Validation of Theoretical Derived Expressions

In order to perform the first task, the beamforming weights { w i } and the channel vectors { h i } are randomly generated with zero mean complex Gaussian distribution. The number of co-channel interference is set at C = 5 , the number of samples used is N = 5 , and the number of antenna elements is M = 5 . The variance of the additive noise ( σ n 2 ) at all SU nodes is kept to 0.01 . For Monte Carlo simulations, 1000 independents runs are used for averaging the results. Analytical values of the probability of detection and the probability of false alarm for an arbitrary ith SU node are computed using (10) and (11), respectively. The comparison of analytical and simulated p d i and p f i is reported in Figure 2, which demonstrates a good agreement between the theory and simulations.
For validating the derived expressions of the global probability of detection ( p d ) and the global probability of false alarm ( p f ) given in (21) and (22), respectively, a comparison of the simulated and analytical values is provided in Figure 3. All the local parameters used in this result are kept the same as in Figure 2. At the FC, local decisions from K = 6 SU nodes are fused to generate the global decision. The FC noise variance ( σ F C m 2 ) is set to 0.01 + ( 0.005 × m ) (where m is the branch number of the FC). The simulation results are obtained by averaging 500 independent Monte Carlo runs. Again, the results show a close match between the theory and simulations and, hence, validate the theoretical analysis.

4.2. Performance of the Proposed Optimization Algorithms

Next, the performance of the proposed CSS technique using the modified GA-MPC and the modified CF-PSO algorithms is investigated. Their performance is contrasted with that of the standard GA (without MPC) and the standard PSO (without constriction factor). All the required optimization variables are normalized to range [ 0 , 1 ] . Thus, the search space for the algorithms is { 0 , 1 } . Since beamforming weights are complex numbers, their real and imaginary parts are separately generated. The probability of crossover and the probability of diversity in the proposed GA-MPC are set to 70 % and 20 % , respectively. The population size in GA-MPC and swarm size in PSO are set to 100. The number of iterations is also set to 100 for both algorithms. The acceleration coefficients in PSO, c 1 and c 2 , are kept equal (which is 2.05 in our case).
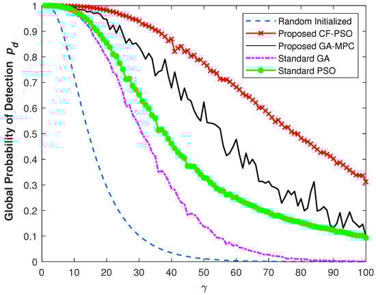
In Figure 4, the optimization of global probability of detection p d via all the algorithms are compared. The blue-colored dashed line shows the p d for randomly initialized beam vectors. These randomly selected beam vectors will be initial chromosomes or particle velocities at the first iteration. It can be seen from the results that both the proposed algorithms (GA-MPC and CF-PSO) significantly enhance the p d in contrast to the standard GA and PSO algorithms for all threshold values. Moreover, it can be seen that the performance improvement via the CF-PSO is the best among all. For example, at the threshold value γ = 50 , the p d achieved by the CF-PSO, the GA-MPC, the standard PSO, and the standard GA are 0.79, 0.60, 0.32, and 0.13, respectively.
Finally, in Figure 5, the optimization of constraint satisfaction for the global probability of false alarm p f for all the compared algorithms is shown. It is evident from the graphs that all the considered algorithms satisfied the constraint p f p f max .

4.3. Sensitivity Analysis of the Proposed GA-MPC

In this section, the sensitivity of the proposed GA-MPC is investigated for two tuning parameters: (1) mutation percentage and (2) binary bit size used for generating chromosomes. For this purpose, the best, the worst, the mean, and the standard deviation of the cost function p d are calculated. In the case of mutation percentage, the experiment is performed with a population size of 750 chromosomes, 250 maximum generations, and 32 as the number for binary bit representation. The mutation percentage tested values are 2.5%, 3.5%, and 4.5%. The results are reported in Table 1, which shows that the algorithm has consistent performance, as it maintains a smaller standard deviation in the achieved solution.
Next, the sensitivity analysis of the GA-MPC for the number of bits is investigated. For this task, the experiment is carried out with a population size of 1000 chromosomes, 300 maximum generations, and 3% mutation. The number of bits tested are chosen to be 8, 16, 32, and 64. The results are reported in Table 2, which again proves the consistent performance of the algorithm by maintaining a smaller standard deviation.

4.4. Sensitivity Analysis of the Proposed CF-PSO

In order to carry out the sensitivity analysis of the proposed CF-PSO, two tuning parameters, the (1) values of acceleration coefficients ( c 1 and c 2 ) and (2) initial inertia weight ( ω ( 0 ) ), are investigated.
For the acceleration coefficients, the experiment is performed with a 700 swarm size of particles, 250 maximum iterations, and 0.25 for the initial value of inertia weight ω ( 0 ) . Three sets of values for c 1 and c 2 are chosen, which are c 1 = c 2 = 2.05 , c 1 = 1.15 , c 2 = 3.15 , and c 1 = 3.25 , c 2 = 1.25 . The results are reported in Table 3, which shows a smaller standard deviation in the optimized achieved goal in contrast to the one achieved by the GA-MPC.
Next, the sensitivity of the CF-PSO w.r.t. to the initial value of inertia weight ω ( 0 ) is investigated. The experiment is performed with a 700 swarm size of particles, 250 maximum iterations, and 0.25 for the initial value of inertia weight ω ( 0 ) . Three values for ω ( 0 ) are tested, which are 0.15, 0.35, and 0.55. The results are reported in Table 4, which again shows superior performance of the CF-PSO in contrast to the other algorithms.

5. Conclusions

In this work, a more accurate distribution of decision statistics at the FC of CSS for a beamforming-assisted ED is derived using the characterization of the IQF. These statistics are then utilized to post an optimization problem that can maximize the p d while limiting the p f to below a necessary level using the GA-MPC and the PSO algorithms. The simulation results illustrated the enhancement of system performance. For example, at the threshold value of γ = 50 , the p d achieved by the CF-PSO, the GA-MPC, the standard PSO, and the standard GA are 0.79, 0.60, 0.32, and 0.13, respectively. Additionally, sensitivity analysis was carried out, which showed the supremacy of the CF-PSO in contrast to the GA-MPC. Since the proposed algorithms rely only on channel statistics and do not require pilot transmission for channel estimation, the proposed solution is bandwidth-efficient.

Author Contributions

Conceptualization, U.M.A.-S. and M.M.; methodology, J.A. and M.A.A.; software, J.A. and M.A.A.; validation, U.M.A.-S. and M.M.; formal analysis, U.M.A.-S., A.A. and J.A.; investigation, A.A. and M.M.; resources, U.M.A.-S. All authors have read and agreed to the published version of this manuscript.

Funding

This research work was funded by Institutional Fund Projects under grant no. (IFPIP: 1744-135-1443). The authors gratefully acknowledge technical and financial support provided by the Ministry of Education and King Abdulaziz University, DSR, Jeddah, Saudi Arabia.

Data Availability Statement

The data presented in this study are available on request from the corresponding author.

Conflicts of Interest

The authors declare no conflict of interest.

Nomenclature

We provide a list of abbreviations/acronyms used in this paper.
AcronymsStands for
CRCognitive radio
QoSQuality of service
EDEnergy detector
PUPrimary user
SUSecondary user
CSIChannel state information
CRNCR network
SSSpectrum sensing
CSSCooperative spectrum sensing
FCFusion center
IQFIndefinite quadratic form
GAGenetic algorithm
PSOParticle swarm optimization
GA-MPCGenetic algorithm with multi-parent crossover
CF-PSOConstriction factor particle swarm optimization
p d i Local probability of detection for i th node
p f i Local probability of false alarm for i th node
p d Global probability of detection
p f Global probability of false alarm

References

  1. Akyildiz, I.F.; Lee, W.-Y.; Vuran, M.C.; Mohanty, S. Next generation/dynamic spectrum access/cognitive radio wireless networks: A survey. Comput. Netw. 2006, 50, 2127–2159. [Google Scholar] [CrossRef]
  2. Shen, B.; Cui, T.; Kwak, K.; Zhao, C.; Zhou, Z. An optimal soft fusion scheme for cooperative spectrum sensing in cognitive radio network. In Proceedings of the IEEE Wireless Communications and Networking Conference, Budapest, Hungary, 5–8 April 2009; pp. 1–5. [Google Scholar]
  3. Shen, J.; Liu, S.; Wang, Y.; Xie, G.; Rashv, H.F.; Liu, Y. Next generation/dynamic Robust energy detection in cognitive radio. IET Commun. 2009, 3, 1016–1023. [Google Scholar] [CrossRef]
  4. Shankar, S.N.; Cordeiro, C.; Challapali, K. Spectrum agile radios: Utilization and sensing architectures. In Proceedings of the IEEE International Symposium on New Frontiers in Dynamic Spectrum Access Networks, Baltimore, MA, USA, 13–16 November 2005; pp. 160–169. [Google Scholar]
  5. Ganesan, G.; Li, Y. Agility improvement through cooperative diversity in cognitive radio. In Proceedings of the GLOBECOM ’05 IEEE Global Telecommunications Conference, St. Louis, MO, USA, 28 November–2 December 2005; pp. 2505–2509. [Google Scholar]
  6. Lehtomaki, J. Analysis of Energy Based Signal Detection. Ph.D. Dissertation, University of Oulu, Oulu, Finland, December 2005. [Google Scholar]
  7. Wu, J.Y.; Wang, C.H.; Wang, T.Y. Performance Analysis of Energy Detection Based Spectrum Sensing with Unknown Primary Signal Arrival Time. IEEE Trans. Commun. 2011, 59, 1779–1784. [Google Scholar] [CrossRef]
  8. Tang, H. Some physical layer issues of wide-band cognitive radio systems. In Proceedings of the IEEE International Symposium on New Frontiers in Dynamic Spectrum Access Networks, Baltimore, MA, USA, 12–16 November 2005; pp. 151–159. [Google Scholar]
  9. Mishra, S.M.; Brink, S.T.; Mahadevappa, R.; Brodersen, R.W. Cognitive Technology for Ultra-Wideband/WiMax Coexistence. In Proceedings of the 2nd IEEE International Symposium on New Frontiers in Dynamic Spectrum Access Networks, Dublin, Ireland, 3–5 March 2007; pp. 179–186. [Google Scholar]
  10. Ma, L.; Li, Y.; Demir, A. Matched filtering assisted energy detection for sensing weak primary user signals. In Proceedings of the IEEE International Conference on Acoustics, Speech and Signal Processing (ICASSP), Kyoto, Japan, 2–6 June 2012; pp. 3149–3152. [Google Scholar]
  11. Zhang, X.; Chai, R.; Gao, F. Matched filter based spectrum sensing and power level detection for cognitive radio network. In Proceedings of the IEEE Global Conference on Signal and Information Processing (GlobalSIP), Atlanta, GA, USA, 10–16 December 2014; pp. 1267–1270. [Google Scholar]
  12. Chaudhari, S.; Koivunen, V.; Poor, H.V. Autocorrelation-Based Decentralized Sequential Detection of OFDM Signals in Cognitive Radios. IEEE Trans. Signal Process. 2009, 57, 2690–2700. [Google Scholar] [CrossRef]
  13. Huang, G.; Tugnait, J.K. On Cyclostationarity Based Spectrum Sensing Under Uncertain Gaussian Noise. In Proceedings of the IEEE Transactions on Signal Processing, New York, NY, USA, 15–18 August 2013; Volume 61. [Google Scholar]
  14. Sharma, S.K.; Chatzinotas, S.; Ottersten, B. Eigenvalue-based SNR estimation for cognitive radio in presence of noise correlation. IEEE Trans. Veh. Technol. 2013, 62, 3671–3684. [Google Scholar] [CrossRef]
  15. Tian, Z.; Giannakis, G. A wavelet approach to wideband spectrum sensing for cognitive radios. In Proceedings of the IEEE International Conference on Cognitive Radio Oriented Wireless Network Communications, Mykonos Island, Greece, 8–12 June 2006; pp. 1–5. [Google Scholar]
  16. Zeng, Y.; Liang, Y.C. Covariance based signal detections for cognitive radio. In Proceedings of the 2007 2nd IEEE International Symposium on New Frontiers in Dynamic Spectrum Access Networks, Dublin, Ireland, 17–20 April 2007; pp. 202–207. [Google Scholar]
  17. Zeng, Y.; Liang, Y.C. Spectrum sensing algorithms for cognitive radio based on statistical covariances. IEEE Trans. Veh. Technol. 2009, 58, 1804–1815. [Google Scholar] [CrossRef]
  18. Xiong, G.; Kishore, S. Cooperative Spectrum Sensing with Beamforming in Cognitive Radio Networks. IEEE Commun. Lett. 2011, 15, 220–222. [Google Scholar] [CrossRef]
  19. Bouallegue, K.; Crussiere, M.; Dayoub, I. On the impact of the covariance matrix size for spectrum sensing methods: Beamforming versus eigenvalues. In Proceedings of the 2019 IEEE Symposium on Computers and Communications (ISCC), Barcelona, Spain, 5–7 August 2019; pp. 1–5. [Google Scholar]
  20. Chaabane, S.B.; Bouallegue, K.; Belazi, A.; Kharbech, S.; Bouallegue, A. Smart Full-Exploitation of Beamforming Fusion assisted Spectrum Sensing for Cognitive Radio. In Proceedings of the 18th International Conference on Wireless and Mobile Computing, Networking and Communications (WiMob), Thessaloniki, Greece, 4–7 July 2022; pp. 217–222. [Google Scholar]
  21. Akyildiz, I.F.; Lo, B.F.; Balakrishnan, R. Cooperative spectrum sensing in cognitive radio networks: A survey. Phys. Commun. 2011, 4, 40–62. [Google Scholar] [CrossRef]
  22. Guo, H.; Jiang, W.; Luo, W. Linear Soft Combination for Cooperative Spectrum Sensing in Cognitive Radio Networks. IEEE Commun. Lett. 2017, 21, 1573–1576. [Google Scholar] [CrossRef]
  23. Chen, C.; Cheng, H.; Yao, Y.D. Cooperative Spectrum Sensing in Cognitive Radio Networks in the Presence of the Primary User Emulation Attack. IEEE Trans. Wirel. Commun. 2011, 10, 2135–2141. [Google Scholar] [CrossRef]
  24. Zeng, F.; Li, C.; Tian, Z. Distributed compressive spectrum sensing in cooperative multihop cognitive networks. IEEE J. Sel. Top. Signal Process. 2010, 5, 37–48. [Google Scholar] [CrossRef]
  25. Qin, Z.; Gao, Y.; Plumbley, M.D.; Parini, C.G. Wideband Spectrum Sensing on Real-Time Signals at Sub-Nyquist Sampling Rates in Single and Cooperative Multiple Nodes. IEEE Trans. Signal Process. 2016, 64, 3106–3117. [Google Scholar] [CrossRef]
  26. Liu, X.; Zheng, K.; Chi, K.; Zhu, Y.-H. Cooperative Spectrum Sensing Optimization in Energy-Harvesting Cognitive Radio Networks. IEEE Trans. Wirel. Commun. 2020, 19, 7663–7676. [Google Scholar] [CrossRef]
  27. Gnanasivam, P.; Bharathy, G.T.; Rajendran, V.; Tamilselvi, T. Efficient centralized cooperative spectrum sensing techniques for cognitive networks. Comput. Syst. Sci. Eng. 2023, 44, 55–65. [Google Scholar] [CrossRef]
  28. Zhang, Y.; Zhao, Z. Limited Data Spectrum Sensing Based on Semi-Supervised Deep Neural Network. IEEE Access 2021, 9, 166423–166435. [Google Scholar] [CrossRef]
  29. Li, L.; Wang, J.; Li, W.; Peng, Q.; Chen, X.; Li, S. Decentralized Decision for Multi-Band Sensing: A Deep Reinforcement Learning Approach. IEEE Wirel. Commun. Lett. 2021, 10, 2674–2677. [Google Scholar] [CrossRef]
  30. Gattoua, C.; Chakkor, O.; Aytouna, F. An overview of Cooperative Spectrum Sensing based on Machine Learning Techniques. In Proceedings of the IEEE 2nd International Conference on Electronics, Control, Optimization and Computer Science (ICECOCS), Kenitra, Morocco, 8–12 December 2020; pp. 1–8. [Google Scholar]
  31. Muzaffar, M.U.; Sharqi, R. Energy based Machine Learning Spectrum Sensing in 5G Cognitive Radios. In Proceedings of the International Conference on Computational Intelligence and Knowledge Economy (ICCIKE), Dubai, United Arab Emirates, 4–10 April 2023; pp. 326–330. [Google Scholar]
  32. Ning, W.; Huang, X.; Yang, K.; Wu, F.; Leng, S. Reinforcement learning enabled cooperative spectrum sensing in cognitive radio networks. J. Commun. Netw. 2020, 22, 12–22. [Google Scholar] [CrossRef]
  33. Pham, T.T.H.; Cho, S. A Review on Reinforcement Learning enabled Cooperative Spectrum Sensing. In Proceedings of the International Conference on Information Networking (ICOIN), Bangkok, Thailand, 5–7 October 2023; pp. 669–672. [Google Scholar]
  34. Xu, M.; Yin, Z.; Zhao, Y.; Wu, Z. Cooperative Spectrum Sensing Based on Multi-Features Combination Network in Cognitive Radio Network. Entropy 2022, 24, 129. [Google Scholar] [CrossRef] [PubMed]
  35. Dewangan, N.; Kumar, A.; Patel, R.N. A Framework for Secure Cooperative Spectrum Sensing based with Blockchain and Deep Learning model in Cognitive Radio. In Proceedings of the International Conference on Artificial Intelligence and Knowledge Discovery in Concurrent Engineering (ICECONF), Chennai, India, 10–14 July 2023; pp. 1–6. [Google Scholar]
  36. Elsayed, S.M.; Sarker, R.A.; Essam, D.L. A new genetic algorithm for solving optimization problems. Eng. Appl. Artif. Intell. 2014, 27, 57–69. [Google Scholar] [CrossRef]
  37. Bhattacharjee, S. Optimization of probability of false alarm and probability of detection in cognitive radio networks using GA. In Proceedings of the ReTIS’15—2nd IEEE International Conference on Recent Trends in Information Systems, Kolkata, India, 4–8 October 2015; pp. 53–57. [Google Scholar]
  38. Alrefaei, M.A.; Shami, T.M.; El-Saleh, A.A. Genetic Algorithm with Multi-Parent Crossover for cooperative spectrum sensing. In Proceedings of the 2015 1st International Conference on Telematics and Future Generation Networks (TAFGEN), Kuala Lumpur, Malaysia, 23–27 May 2015; pp. 17–21. [Google Scholar]
  39. El-Saleh, A.A.; Albreem, M.A.M.; Ahad, T.R.; Raquib, W. Cross entropy algorithm for improved soft fusion-based cooperative spectrum sensing in cognitive radio networks. In Proceedings of the 2018 IEEE Middle East and North Africa Communications Conference (MENACOMM), Jounieh, Lebanon, 28–30 December 2018; pp. 1–5. [Google Scholar]
  40. Khan, M.S.; Kim, S.M.; Lee, E.H.; Kim, J. Genetic Algorithm Based Cooperative Spectrum Sensing Optimization in the Presence of Malicious Users in Cognitive Radio Networks. In Proceedings of the 2019 International Conference on Information and Communication Technology Convergence (ICTC), Jeju, Republic of Korea, 2–5 August 2019; pp. 207–209. [Google Scholar]
  41. Gupta, V.; Beniwal, N.S.; Singh, K.K.; Sharan, S.N.; Singh, A. Optimal cooperative spectrum sensing for 5G cognitive networks using evolutionary algorithms. Peer-Peer Netw. Appl. 2021, 14, 3213–3224. [Google Scholar] [CrossRef]
  42. Gul, N.; Ahmed, S.; Kim, S.M.; Kim, J. Robust spectrum sensing against malicious users using particle swarm optimization. ICT Express 2023, 9, 106–111. [Google Scholar] [CrossRef]
  43. Al-Naffouri, T.Y.; Moinuddin, M.; Ajeeb, N.; Hassibi, B.; Moustakas, A.L. On the distribution of indefinite quadratic forms in Gaussian random variables. IEEE Trans. Commun. 2016, 64, 153–165. [Google Scholar] [CrossRef]
  44. Eiben, A.E.; Raué, P.E.; Ruttkay, Z. Genetic algorithms with multi-parent recombination. In Parallel Problem Solving from Nature—PPSN III—Lecture Notes in Computer Science; Davidor, Y., Schwefel, H.P., Männer, R., Eds.; Springer: Berlin/Heidelberg, Germany, 1994; Volme 866. [Google Scholar]
  45. Albadr, M.A.; Tiun, S.; Ayob, M.; AL-Dhief, F. Genetic Algorithm Based on Natural Selection Theory for Optimization Problems. Symmetry 2020, 12, 1758. [Google Scholar] [CrossRef]
  46. Eberhart, R.; Kennedy, J. A new optimizer using particle swarm theory. In Proceedings of the Sixth International Symposium on Micro Machine and Human Science, Nagoya, Japan, 1–6 October 1995; pp. 39–43. [Google Scholar]
  47. Clerc, M. The swarm and the queen: Towards a deterministic and adaptive particle swarm optimization. In Proceedings of the 1999 Congress on Evolutionary Computation, Washington, DC, USA, 6–9 July 1999; Volume 3, pp. 1951–1957. [Google Scholar]
  48. Kennedy, J.; Eberhart, R.C.; Shi, Y. Swarm Intelligence; Morgan Kaufmann Publishers: San Francisco, CA, USA, 2001. [Google Scholar]
Figure 1. Architecture of proposed beamforming-aided cooperative spectrum sensing.
Figure 1. Architecture of proposed beamforming-aided cooperative spectrum sensing.
Mathematics 11 03533 g001
Figure 2. Comparison of analytical and simulated local probability of detection p d i and local probability of false alarm p f i .
Figure 2. Comparison of analytical and simulated local probability of detection p d i and local probability of false alarm p f i .
Mathematics 11 03533 g002
Figure 3. Comparison of analytical and simulated global probability of detection p d and global probability of false alarm p f .
Figure 3. Comparison of analytical and simulated global probability of detection p d and global probability of false alarm p f .
Mathematics 11 03533 g003
Figure 4. Optimization of global probability of detection p d .
Figure 4. Optimization of global probability of detection p d .
Mathematics 11 03533 g004
Figure 5. Constraint satisfaction for global probability of false alarm p f .
Figure 5. Constraint satisfaction for global probability of false alarm p f .
Mathematics 11 03533 g005
Table 1. Sensitivity analysis of GA-MPC w.r.t. mutation percentage.
Table 1. Sensitivity analysis of GA-MPC w.r.t. mutation percentage.
MutationBestWorstMeanStd
2.5%0.78270.01660.12800.0924
3.5%0.95010.03890.21670.2629
4.5%0.90820.01150.24960.2007
Table 2. Sensitivity analysis of GA-MPC w.r.t. number of binary bits.
Table 2. Sensitivity analysis of GA-MPC w.r.t. number of binary bits.
BitsBestWorstMeanStd
080.12580.09350.10480.0077
160.54140.07160.13200.0537
320.89280.05470.20890.2244
640.90350.11070.22390.1355
Table 3. Sensitivity analysis of CF-PSO w.r.t. c 1 and c 2 .
Table 3. Sensitivity analysis of CF-PSO w.r.t. c 1 and c 2 .
C 1 C 2 C 1 + C 2 BestWorstMeanStd
2.052.054.10.78950.00396.5615 × 10−40.0104
1.153.154.30.96940.04704.6536 × 10−40.0074
3.251.254.50.64000.09334.2678 × 10−40.0067
Table 4. Sensitivity Analysis of CF-PSO w.r.t. ω ( 0 ) .
Table 4. Sensitivity Analysis of CF-PSO w.r.t. ω ( 0 ) .
ω ( 0 ) BestWorstMeanStd
0.150.99470.14480.00100.0126
0.350.43210.13300.00130.0163
0.550.67460.00450.00110.0130
Disclaimer/Publisher’s Note: The statements, opinions and data contained in all publications are solely those of the individual author(s) and contributor(s) and not of MDPI and/or the editor(s). MDPI and/or the editor(s) disclaim responsibility for any injury to people or property resulting from any ideas, methods, instructions or products referred to in the content.

Share and Cite

MDPI and ACS Style

Al-Saggaf, U.M.; Ahmad, J.; Alrefaei, M.A.; Moinuddin, M. Optimized Statistical Beamforming for Cooperative Spectrum Sensing in Cognitive Radio Networks. Mathematics 2023, 11, 3533. https://doi.org/10.3390/math11163533

AMA Style

Al-Saggaf UM, Ahmad J, Alrefaei MA, Moinuddin M. Optimized Statistical Beamforming for Cooperative Spectrum Sensing in Cognitive Radio Networks. Mathematics. 2023; 11(16):3533. https://doi.org/10.3390/math11163533

Chicago/Turabian Style

Al-Saggaf, Ubaid M., Jawwad Ahmad, Mohammed A. Alrefaei, and Muhammad Moinuddin. 2023. "Optimized Statistical Beamforming for Cooperative Spectrum Sensing in Cognitive Radio Networks" Mathematics 11, no. 16: 3533. https://doi.org/10.3390/math11163533

APA Style

Al-Saggaf, U. M., Ahmad, J., Alrefaei, M. A., & Moinuddin, M. (2023). Optimized Statistical Beamforming for Cooperative Spectrum Sensing in Cognitive Radio Networks. Mathematics, 11(16), 3533. https://doi.org/10.3390/math11163533

Note that from the first issue of 2016, this journal uses article numbers instead of page numbers. See further details here.

Article Metrics

Back to TopTop