You are currently viewing a new version of our website. To view the old version click .
Mathematics
  • Article
  • Open Access

12 June 2023

The Influence of Migration to Regions with Different Coverages of Health Education on Schistosomiasis

,
,
,
and
1
Department of Public Sports and Art Teaching, Hefei University, Hefei 230601, China
2
School of Mathematical Sciences, Anhui University, Hefei 230601, China
3
Department of Mathematics, Lanzhou Jiaotong University, Lanzhou 730070, China
4
Anhui Institute of Schistosomiasis, Hefei 230601, China
This article belongs to the Special Issue Complex Biological Systems and Mathematical Biology

Abstract

Background: Health education plays a vital role in the prevention and control of schistosomiasis in China and throughout the world. However, the coverage of health education varies from place to place for various reasons. Moreover, people with different levels of health education migrate between different regions. Methods: In order to analyze the effects of different coverages of health education on schistosomiasis transmission, a schistosomiasis mathematical model with people’s inter-regional migration is constructed in two regions with different coverages of health education. The basic reproduction number is calculated, the global stability of the system is analyzed qualitatively, and a numerical simulation is carried out. Results: (1) The transmission trend of schistosomiasis could be reduced by increasing the migration of the susceptible population from the region with a high coverage of health education to the region with low coverage, or by increasing the migration of the infected population between the two regions. Schistosomiasis can even be eliminated if the migration of the susceptible or infected population from the region with a high coverage of health education to the region with a low coverage is sufficiently large. This is quite different from the prevention and control of other epidemics in which the movement of people should be restricted. (2) A low coverage of health education will have an impact on the number of patients and infected snails in both of the two regions. This result indicates that increasing the coverage of health education can reduce the risk of schistosomiasis not only in the local population but also in the surrounding regions to which people migrate. Conclusions: There is no need to restrict the migration of the infected population between the two regions nor the migration of the susceptible population from the region with a high coverage of health education to the region with a low coverage. However, there is a need to restrict the migration of the susceptible population from the region with a low coverage of health education to the region with a high coverage. These are some suggestions to prevent and control schistosomiasis.

1. Introduction

Schistosomiasis is a serious disease caused by people’s daily contact with contaminated water. The World Health Organization has identified it as one of the most serious human parasitic diseases in the world. In 2015, the WHO reported that nearly 700 million people had no access to clean water, and nearly 2.5 billion people had no access to improved sanitation. Open defecation and the lack of sanitation are important risk factors for the spread of schistosomiasis [1]. The World Health Organization reported in 2018 that at least 206.5 million people needed preventive treatment for schistosomiasis in 2016, of which just over 88 million received treatment. Schistosomiasis causes between 10,000 and 200,000 deaths each year all over the world [2]. In 2018, King and Galvani used health surveys in East Africa to find a close link between infertility and schistosomiasis, which also increased the risk of contracting HIV, which cannot be cured [3,4,5]. Therefore, it is crucial to improve the rate of the awareness of schistosomiasis control measures and treatment participation through health education.
In the 1990s, scholars began to pay attention to the public health problems of human behavior and health education for the prevention and control of schistosomiasis [6]. Later on, schistosomiasis health education became a hot topic among experts and scholars, and many classic research results were produced during this period [7,8,9,10]. The historical schistosomiasis control campaigns on health education and the health promotion campaigns in China have all played a positive role in promoting people’s correct understanding of the impact of health education on schistosomiasis transmission. In general, scholars pay more attention to the influence of the regional, cultural, and environmental factors of schistosomiasis health education. In fact, health education and health promotion have both short-term and long-term effects in controlling schistosomiasis. They also aim to reduce the reinfection of schistosomiasis through the development of different interventions to raise the level of awareness on how to avoid infection and the health education on schistosomiasis. The results show that the daily behavior of residents in endemic villages has been significantly improved through intensive health education about schistosomiasis. For example, most women have given up washing their clothes in infected water, primary school students are less frequently exposed to contaminated water, and so on [11,12]. In China the planning outline of Healthy China 2030 has established the ultimate goal of eliminating schistosomiasis nationwide by 2030. However, the data provided by the World Health Organization showed that nearly 60 percent of the population has not received preventive treatment. Moreover, the investigations conducted in Anhui province and other places in China show that the rate awareness of schistosomiasis prevention, the correct rate of the preventive attitude, and the behavior of residents in the standard regions are all at a low level [13]. In the new stage of schistosomiasis prevention and control in China, health education is still facing new challenges. Among these are the means and methods of health education and health promotion, which are used to make the public recognize and understand schistosomiasis in order to adopt prevention methods and develop a healthy and civilized lifestyle. This is one of the most effective ways to solve the problem of schistosomiasis prevention and control. However, no theoretical studies have shown the importance of health education in controlling the spread of schistosomiasis.
From a global perspective, other countries with schistosomiasis have also implemented a series of prevention and control measures, of which health education is still an important measure. In 2019, Takeuchi et al. studied the prevalence of S c h i s t o s o m a m a n s o n i among primary students along the shores of Lake Victoria in Kenya, and found that there was a gap between the content of the health education and the practice. That is to say, first of all, even if the content of health education in different places is consistent, the results achieved in practice are not the same. Second, the impact of the different practical effects on the prevention and control of schistosomiasis both locally and nationally is not yet known. Third, population migration was not considered in this study. However, migration is an important factor in schistosomiasis transmission [14].
At present, a large number of studies has found that the risk of schistosomiasis transmission and the possibility of recurrence still exist, and health education is facing new challenges. The frequent movement of people with different levels of health education has become an important risk factor and potential hidden danger for the rebound of schistosomiasis control in China [15]. Therefore, the influence of the population’s mobility and migration diffusion plays an important role in the study of a schistosomiasis model. The study on the diffusion effect first appeared in the related research of Takeuchi et al. [16]. Since then, many researchers have carried forward the research on the diffusion effect [17,18]. There are many other methods, such as using the multi-graph link interaction mode, parabolic partial differential equations, linear diffusion, and machine learning models. In 2007, detailed research on the three diffusion mechanisms of linear diffusion, generalized linear diffusion, and generalized partial diffusion was conducted by Zhang et al., and abundant theoretical research results were obtained [19].
Migration and diffusion were introduced into schistosomiasis research by Feng et al. earlier. In 2005, a schistosomiasis model with migration between two human habitats was constructed by Feng et al. Studies have shown that the migration of the susceptible population from villages with a higher basic reproduction number to villages with a lower basic reproduction number leads to an increase in the model’s basic reproduction number. This is not conducive to controlling the spread of schistosomiasis [20]. In 2016, on the basis of ref. [20], the actual phenomenon was considered by Gao et al. where two human hosts shared water contaminated by schistosomiasis and migrated with each other, and a schistosomiasis model with migration was established. Studies have shown that the spread of the susceptible population from heavily polluted regions to lightly polluted regions is not conducive to controlling the spread of schistosomiasis [21]. It should be noted that the mutual migration of the susceptible population was considered in two studies [20,21], but the mutual migration of the infected population was not considered. This mutual migration of patients has an unknown impact on the prevention and control of schistosomiasis, and it is worth exploring.
In view of the current situation of schistosomiasis transmission and health education coverage in China, for a better understanding of health education and its influence mechanism, for the ultimate elimination of schistosomiasis, it is urgently needed to construct a dynamic model to study the impact of health education on the prevention and control of schistosomiasis. In the 1960s, Hairston and Macdonald et al. studied schistosomiasis by establishing mathematical models [22,23]. Since then, many mathematical models have emerged to study the dynamic behavior of schistosomiasis. These models take into account the impact of multiple hosts, host migration, age structure, and flooding, respectively, to provide useful information for understanding the transmission mechanisms of schistosomiasis [20,24,25,26,27,28,29,30], in order to find more reasonable control measures and provide some theoretical basis for people to prevent and control schistosomiasis. Targeted prevention and control strategies were proposed in order to achieve the goal of eliminating schistosomiasis in China as soon as possible [31,32,33,34,35,36]. In 2015, Xu et al. reviewed the application of mathematical modeling tools in S c h i s t o s o m i a s i s j a p o n i c a research in the past 20 years, and the remaining problems in the model application were pointed out [37]. However, few scholars have studied the impact of health education on schistosomiasis transmission and prevention and control from the perspective of mathematical modeling. The references [14,37] further emphasized that mathematical models can be used to study the impact of health education on schistosomiasis transmission. Therefore, this paper takes Anhui in China as an example to illustrate the different coverages of health education and the migration of people to different places, and then qualitatively analyzes their influence on schistosomiasis transmission. Because snail movement and control are affected by many factors, this model only considers human movement for the time being.

2. Materials and Methods

2.1. Study Area

This study was conducted in the Anhui Province of China, which is located in southeastern China, on the lower reaches of the Yangtze River and in the middle reaches of the Huaihe River. It is an inland province on the east coast of China. Anhui Province has jurisdiction over 16 prefecture-level cities. It covers an area of 140,100 km2 with a population of about 63.659 million. Schistosomiasis is mainly prevalent in 9 prefecture-level cities, 51 counties along both sides of the Yangtze River, the mountain area of Southern Anhui, and in Gaoyou Lake. By the end of 2015, the epidemic situation of schistosomiasis in 27 epidemic-control counties in Anhui Province had reached the standard of spread control [13]. However, as the prevention and control achievements in some regions are still fragile, and the major epidemic links of schistosomiasis still exist in most regions, the situation of the prevention and control of schistosomiasis in Anhui province is still not optimistic and is still facing complex natural environment and economic and social factors [15].

2.2. Data Collection

The health education of schistosomiasis has long been an important measure to prevent schistosomiasis infection. From the Anhui Institute of Schistosomiasis, health education is carried out regularly every year in Anhui province; it mainly takes place in villages with epidemics, primary and secondary schools in villages with epidemics, regions with concentrations of fishing boat people, and villages with major groups of returning migrant workers. Among them, the work of schistosomiasis prevention and health education in villages with returning migrant workers is relatively weak, and the coverage of health education in popular villages is not very high.

2.2.1. The Number of Villages with Migrant Workers Returning Home That Carry out Health Education

As shown in Figure 1, among all the villages of returning migrant workers in Anhui Province, 62.5% of them carried out health education in 2013. The proportion of villages with returning migrant workers covered by health education was 64.8% in 2014, 70% in 2016, 77.9% in 2017, 69.6% in 2018, and 64% in 2019. According to the situation of health education in villages with returning migrant workers from 2013 to 2019 in Anhui Province, the local efforts to carry out health education are not enough. There are still about 30% of villages with returning migrant workers without health education, which leaves a huge hidden danger for the local prevention and control of schistosomiasis. With the implementation of the strategy of economic development in the middle and lower reaches of the Yangtze River along the river and the increase in the returning migrant workers, it is feared that migrants (especially returning migrant workers) have a weak awareness of schistosomiasis prevention and that the intermigration between different regions may have an adverse impact on the transmission of schistosomiasis. In order to solve this problem, a mathematical model is established in this paper to conduct a theoretical study and provide answers.
Figure 1. The histograms of the number of villages with returning migrant workers with health education from 2013 to 2019 in Anhui Province, China (Data are missing in 2015 and are from the Anhui Institute of Schistosomiasis).

2.2.2. The Total Population of Endemic Villages with Health Education

According to the Anhui Institute of Schistosomiasis, more than 50% of the population in the villages where schistosomiasis is endemic has not received health education, and there is still a risk of small-scale schistosomiasis transmission. As shown in Figure 2, the proportion of the population covered by health education was 42.45% in 2013, 48.95% in 2014, 43.09% in 2016, 47.62% in 2017, 45.42% in 2018, and 43.26% in 2019. According to the existing literature on health education for schistosomiasis prevention and control [13], the intensity of schistosomiasis prevention and health education should be strengthened, but it has declined in recent years (See Figure 1 and Figure 2), which needs attention.
Figure 2. The histograms of the total population of endemic villages with health education in Anhui Province from 2013 to 2019 (Data are missing in 2015 and are from the Anhui Institute of Schistosomiasis).

2.3. Model

Based on the conclusions of previous studies, this paper takes into account both the susceptible and infected populations with mutual migration in regions with different coverages of health education, and a schistosomiasis model with linear diffusion is established, hoping to explain the important impact of health education and migration on the spread and prevention of schistosomiasis from the perspective of mathematical modeling. In order to more intuitively reflect the impact of the coverage of health education on the spread of schistosomiasis, different coverages of health education are used to distinguish different regions in this paper. The coverage of health education in region 1 is higher, while the coverage of health education in region 2 is lower, and both susceptible and infected populations can mutually migrate between these two regions. A mathematical model is then established for research. The flow chart of the model follows (Figure 3).
Figure 3. The flow chart of the model.
In general, after the water source is contaminated with feces containing schistosomiasis, the cercariae who escape after the susceptible snails in the water body are infected have certain infectivity to humans and livestock. According to the actual ecological background of mathematical modeling, both oncomelania and the human population have movement and migration. This paper only considers the human population migration to study the impact of health education on people, and the migration of oncomelania snails will be considered in future work. In addition, health education can affect people’s ideology. People’s consciousness is different and their behaviors are different too, which will affect the transmission rate from people to snails and the transmission rate β x i ( i = 1 , 2 ) from infected snails to susceptible people in region 1 and 2. When patients with schistosomiasis are hospitalized, health care workers are sure to inform them about health education; so, the effect of health education on patients again is not very high. Therefore, only the transmission rate β x i ( i = 1 , 2 ) of susceptible people to oncomelania snails is considered in this paper.
It can be seen from the data and materials provided by the Anhui Institute of Schistosomiasis that people in different regions have different coverages of health education, which proves that health education can affect the above transmission rate β x i . The transmission rate from snails to humans (the probability of human skin contact with epidemic water) is defined in this paper as β x i = p i · β x , ( i = 1 , 2 ) . β x is the probability of the successful infection by schistosoma. p i is the proportion of people who have had skin contact with contaminated water infected with schistosomiasis up to the edge of the endemic water. The coverage of health education is also the proportion of people receiving health education; so, there is a direct correlation between the two proportions. That is to say, the proportion of people in regions with a high coverage of health education that has been in contact with the contaminated water is definitely lower than that of people in regions with a low coverage of health education; then, p 1 < p 2 .
In [26,38,39], Qi et al. considered human or other mammals as the final host and snail as the intermediate host, and a related schistosomiasis mathematical model was constructed. Certain theoretical guidance for the interruption of block transmission and preventive control of schistosomiasis is provided in China. In view of the current situation of schistosomiasis education in Anhui Province, inspired by the modeling ideas in [20,21], this article distinguishes between the two regions with different coverages of health education on the basis of [26,38,39]. Considering that susceptible and infected populations will migrate between the two regions, the following schistosomiasis model with linear diffusion is constructed:
d x s 1 d t = Λ x 1 μ x x s 1 p 1 β x x s 1 y i + δ 2 , 1 x s 2 δ 1 , 2 x s 1 , d x s 2 d t = Λ x 2 μ x x s 2 p 2 β x x s 2 y i + δ 1 , 2 x s 1 δ 2 , 1 x s 2 , d x i 1 d t = p 1 β x x s 1 y i μ x + α x x i 1 + ϵ 2 , 1 x i 2 ϵ 1 , 2 x i 1 , d x i 2 d t = p 2 β x x s 2 y i μ x + α x x i 2 + ϵ 1 , 2 x i 1 ϵ 2 , 1 x i 2 , d y s d t = Λ y μ y y s β y x i 1 + x i 2 y s , d y e d t = β y x i 1 + x i 2 y s μ y + θ y e , d y i d t = θ y e μ y + α y y i ,
where, x s 1 t and x s 2 t represent the number of susceptible people living in regions 1 and 2, respectively. The coverage of health education in region 1 is higher, while that in region 2 is lower. x i 1 t and x i 2 t represent the number of infected people living in regions 1 and 2, respectively. y s t represents the number of susceptible snails. y i t represents the number of oncomelania snails that are infected and release cercariae. y e t represents the number of oncomelania snails that are infected but do not release cercariae. Λ x i t is the increased rate of susceptible people in region i ( i = 1 , 2 ) . Λ y is the increased rate of snails. p i ( i = 1 , 2 , p 1 < p 2 ) is the proportion of people who have had skin contact with contaminated water infected with schistosomiasis up to the edge of the endemic water in region i, and β x is the probability of successful infection by schistosoma. β y represents the infection rate of infected to susceptible snails. μ x and α x represent the natural mortality rate and mortality due to disease of the susceptible snails, respectively. μ y and α y represent the natural and disease-related mortality of the snails, respectively. θ indicates the unit change rate from a snail that is infected but does not release cercariae to infected snails that exude cercariae. δ i , j is the migration rate of the susceptible population from region i to region j ( i , j = 1 , 2 ) . ϵ i , j is the migration rate of the infected population from region i to region j ( i , j = 1 , 2 ) .
According to the concept of the next generation matrix and the composition of the basic reproduction number of the ordinary differential equation compartment model, by the method in [40,41,42,43], the basic reproduction number of the model (1) can be calculated as R 0 = R 1 3 + R 2 3 3 , where
R 1 = θ p 1 β x β y Λ y Λ x 1 μ x + δ 2 , 1 + δ 2 , 1 Λ x 2 μ x μ y μ x + α x + ϵ 1 , 2 μ y + α y μ y + θ μ x + δ 1 , 2 + δ 2 , 1 3 ,
R 2 = θ p 2 β x β y Λ y Λ x 2 μ x + δ 1 , 2 + δ 1 , 2 Λ x 1 μ x μ y μ x + α x + ϵ 2 , 1 μ y + α y μ y + θ μ x + δ 1 , 2 + δ 2 , 1 3 .
R 0 indicates that the miracidia coming from an infected person during the disease course infect oncomelania snails, and the number of new infections is caused by the cercariae escaping from these infectious snails during their disease course, that is, the number of the second generation to be infected. R i ( i = 1 , 2 ) represents the number of the second generation to be infected in region i ( i = 1 , 2 ) .
Remark 1.
According to the expressions of R 1 and R 2 , it can be seen that parameters p 1 , p 2 , β x , β y and ϵ 1 , 2 , ϵ 2 , 1 , δ 1 , 2 , δ 2 , 1 have an effect on the basic reproduction number, which also means that they all have impacts on the ecological behavior of the system. In addition, health education directly influences people’s behavior; that is, it directly affects the proportions p 1 and p 2 of people who have had skin contact with contaminated water infected with schistosomiasis up to the edge of the endemic water in region 1 and 2, which also shows that health education will affect the spread of schistosomiasis. In addition, the mutual migration of people is reflected in the parameters ϵ 1 , 2 , ϵ 2 , 1 and δ 1 , 2 , δ 2 , 1 , indicating that the migration of people between regions will also affect the spread of schistosomiasis. At the same time, from the expressions of R 1 and R 2 , it can be found that the parameter ϵ 1 , 2 only affects R 1 , and ϵ 2 , 1 only affects R 2 , whereas the parameters δ 1 , 2 , δ 2 , 1 affect both R 1 and R 2 . This means that the migration of the susceptible population can weaken the schistosomiasis transmission trend in the out-migration region but strengthen the trend in the in-migration region. The migration of the infected population can weaken the schistosomiasis transmission trend in the out-migration region but has no effect on the in-migration region. It is an interesting phenomenon.

3. Dynamical Analysis

3.1. The Existence of Equilibria

It is easy to show that a disease-free equilibrium always exists for system (1)
E 0 = Λ x 1 μ x + δ 2 , 1 + δ 2 , 1 Λ x 2 μ x μ x + δ 1 , 2 + δ 2 , 1 , Λ x 2 μ x + δ 1 , 2 + δ 1 , 2 Λ x 1 μ x μ x + δ 1 , 2 + δ 2 , 1 , 0 , 0 , Λ y μ y , 0 , 0 .
Theorem 1.
For system (1),
(1) 
There is always a disease-free equilibrium E 0 .
(2) 
When R 0 > 1 , there is a unique endemic equilibrium E .
(3) 
When R 0 1 , there is no endemic equilibrium.
Proof. 
Regarding the endemic equilibrium E = x s 1 , x s 2 , x i 1 , x i 2 , y s , y e , y i of the system (1), it satisfies:
Λ x 1 μ x x s 1 p 1 β x x s 1 y i + δ 2 , 1 x s 2 δ 1 , 2 x s 1 = 0 , Λ x 2 μ x x s 2 p 2 β x x s 2 y i + δ 1 , 2 x s 1 δ 2 , 1 x s 2 = 0 , p 1 β x x s 1 y i μ x + α x x i 1 + ϵ 2 , 1 x i 2 ϵ 1 , 2 x i 1 = 0 , p 2 β x x s 2 y i μ x + α x x i 2 + ϵ 1 , 2 x i 1 ϵ 2 , 1 x i 2 = 0 , Λ y μ y y s β y x i 1 + x i 2 y s = 0 , β y x i 1 + x i 2 y s μ y + θ y e = 0 , θ y e μ y + α y y i = 0 ;
solving this gives
x s 1 = Λ x 1 μ x + p 2 β x y i + δ 2 , 1 + δ 2 , 1 Λ x 2 μ x + p 2 β x y i μ x + p 1 β x y i + δ 1 , 2 + δ 2 , 1 μ x + p 1 β x y i ,
x s 2 = Λ x 2 μ x + p 1 β x y i + δ 1 , 2 + δ 1 , 2 Λ x 1 μ x + p 2 β x y i μ x + p 1 β x y i + δ 1 , 2 + δ 2 , 1 μ x + p 1 β x y i ,
x i 1 = p 1 β x x s 1 y i μ x + α x + ϵ 1 , 2 p 1 β x x s 1 + p 2 β x x s 2 y i μ x + α x μ x + α x + ϵ 1 , 2 + ϵ 2 , 1 ,
x i 2 = p 2 β x x s 2 y i μ x + α x + ϵ 2 , 1 p 1 β x x s 1 + p 2 β x x s 2 y i μ x + α x μ x + α x + ϵ 1 , 2 + ϵ 2 , 1 ,
y s = Λ y μ y + β y x i 1 + x i 2 ,
y e = μ y + α y y i θ ,
and y i is the positive solution of the following equation
A y i 2 + B y i + C = 0 ,
where
A = μ y p 1 p 2 β x 2 μ x + α x μ y + α y μ y + θ + p 1 p 2 β x 2 β y μ y + α y μ y + θ Λ x 1 + Λ x 2 > 0 , B = p 1 β x μ x μ y μ x + α x + ϵ 1 , 2 μ y + α y μ y + θ μ x + δ 1 , 2 + δ 2 , 1 + p 2 β x μ x μ y μ x + α x + ϵ 2 , 1 μ y + α y μ y + θ μ x + δ 1 , 2 + δ 2 , 1 θ p 2 p 1 β x 2 β y Λ y Λ x 1 μ x + δ 2 , 1 + δ 2 , 1 Λ x 2 θ p 1 p 2 β x 2 β y Λ y Λ x 2 μ x + δ 1 , 2 + δ 1 , 2 Λ x 1 + θ p 1 p 2 β x 2 β y Λ y Λ x 1 μ x p 2 β x μ x μ y ϵ 1 , 2 μ y + α y μ y + θ μ x + δ 1 , 2 + θ p 2 p 1 β x 2 β y Λ y Λ x 2 μ x p 1 β x μ x μ y ϵ 2 , 1 μ y + α y μ y + θ μ x + δ 2 , 1 = p 1 β x 1 R 1 + p 2 β x 1 R 2 + θ p 1 p 2 β x 2 β y Λ y Λ x 1 μ x p 2 β x μ x μ y ϵ 1 , 2 μ y + α y μ y + θ μ x + δ 1 , 2 + θ p 2 p 1 β x 2 β y Λ y Λ x 2 μ x p 1 β x μ x μ y ϵ 2 , 1 μ y + α y μ y + θ μ x + δ 2 , 1 , C = 1 R 1 + 1 R 2 μ x μ y μ x + α x + ϵ 1 , 2 + ϵ 2 , 1 μ y + α y μ y + θ μ x + δ 1 , 2 + δ 2 , 1 .
We have noticed:
B 0 , if θ β y Λ y μ y μ y + α y μ y + θ m a x ϵ 1 , 2 μ x + δ 1 , 2 p 1 β x Λ x 1 , ϵ 2 , 1 μ x + δ 2 , 1 p 2 β x Λ x 2 , and 1 R 1 0 , 1 R 2 0 1 R 0 0 .
B < 0 , if θ β y Λ y μ y μ y + α y μ y + θ < m i n ϵ 1 , 2 μ x + δ 1 , 2 p 1 β x Λ x 1 , ϵ 2 , 1 μ x + δ 2 , 1 p 2 β x Λ x 2 , and 1 R 1 < 0 , 1 R 2 < 0 1 R 0 < 0 .
C < 0 , if 1 R 1 < 0 , 1 R 2 < 0 1 R 0 < 0 .
C 0 , if 1 R 1 0 , 1 R 2 0 1 R 0 0 , and
1 R 0 + μ x μ y μ x + α x + ϵ 1 , 2 + ϵ 2 , 1 μ y + α y μ x + δ 1 , 2 + δ 2 , 1 0 .
Next, R 0 is discussed in three cases. First, if R 0 > 1 ,
C = μ x 1 R 0 μ x μ y μ x + α x + ϵ 1 , 2 + ϵ 2 , 1 μ y + α y μ x + δ 1 , 2 + δ 2 , 1 0 ,
and the Equation (2) must have a unique real root y i , which means that system (1) has a unique endemic equilibrium E . Second, if R 0 1 , there is no endemic equilibrium when
B 0 θ β y Λ y μ y μ y + α y μ y + θ m a x ϵ 1 , 2 μ x + δ 1 , 2 p 1 β x Λ x 1 , ϵ 2 , 1 μ x + δ 2 , 1 p 2 β x Λ x 2 .
Third, the system may have an endemic equilibrium when
B < 0 θ β y Λ y μ y μ y + α y μ y + θ < m i n ϵ 1 , 2 μ x + δ 1 , 2 p 1 β x Λ x 1 , ϵ 2 , 1 μ x + δ 2 , 1 p 2 β x Λ x 2 .
Let the discriminant of the quadratic Equation (2) in one variable be
Δ = B 2 4 A C
= p 1 β x 1 R 1 + p 2 β x 1 R 2
+ θ p 1 p 2 β x 2 β y Λ y Λ x 1 μ x p 2 β x μ x μ y ϵ 1 , 2 μ y + α y μ y + θ μ x + δ 1 , 2
+ θ p 2 p 1 β x 2 β y Λ y Λ x 2 μ x p 1 β x μ x μ y ϵ 2 , 1 μ y + α y μ y + θ μ x + δ 2 , 1 2
4 μ y p 1 p 2 β x 2 β y Λ y Λ x 1 μ x p 2 β x μ x μ y ϵ 1 , 2 μ y + α y μ y + θ μ x + δ 1 , 2
· 1 R 1 + 1 R 2
μ x μ y μ x + α x + ϵ 1 , 2 + ϵ 2 , 1 μ y + α y μ y + θ μ x + δ 1 , 2 + δ 2 , 1 ;
it is easy to see that Δ is a strictly monotonically increasing function of R 0 on the right half plane.
Under the condition of B < 0 , Δ = 0 is equivalent to B = 2 A C , namely
A 1 1 R 0 2 + B 1 1 R 0 + C 1 = 0 ,
where
A 1 = p 1 β x + p 2 β x 2 > 0 ,
B 1 = p 1 β x + p 2 β x θ p 1 p 2 β x 2 β y Λ y Λ x 1 μ x p 2 β x μ x μ y ϵ 1 , 2 μ y + α y μ y + θ μ x + δ 1 , 2
+ θ p 2 p 1 β x 2 β y Λ y Λ x 2 μ x p 1 β x μ x μ y ϵ 2 , 1 μ y + α y μ y + θ μ x + δ 2 , 1 + p 1 β x R 1 + p 1 β x R 2
4 μ y p 1 p 2 β x 2 μ x + α x μ y + α y μ y + θ + p 1 p 2 β x 2 β y μ y + α y μ y + θ Λ x 1 + Λ x 2 ,
C 1 = θ p 1 p 2 β x 2 β y Λ y Λ x 1 μ x p 2 β x μ x μ y ϵ 1 , 2 μ y + α y μ y + θ μ x + δ 1 , 2
+ θ p 2 p 1 β x 2 β y Λ y Λ x 2 μ x p 1 β x μ x μ y ϵ 2 , 1 μ y + α y μ y + θ μ x + δ 2 , 1 + p 1 β x R 1 + p 2 β x R 2
+ μ x μ y μ x + α x + ϵ 1 , 2 + ϵ 2 , 1 μ y + α y μ y + θ μ x + δ 1 , 2 + δ 2 , 1 .
Setting 1 R 0 = X ( 0 < X < 1 ) , a quadratic equation of one variable about X can be obtained
g X = A 1 X 2 + B 1 X + C 1 = 0 .
According to R 0 < 1 and B < 0 , the positivity or negativity of the coefficients B 1 , C 1 of the abovementioned one-variable quadratic Equation (3) cannot be directly judged; so, the only root X of the Equation (2) cannot be found, and thus R 0 = 1 X < 1 cannot be solved. Therefore, the magnitude of R 0 , R 0 cannot be used to judge the sign of Δ [44,45]. It can be seen that there is no endemic equilibrium in the system (1) when R 0 < 1 . □

3.2. Stability Analysis

In this section, the method proposed by Castillo-Chavez et al. in [38,46,47] is used to study the global stability of the disease-free equilibrium of system (1).
The model (1) can be rewritten into the following form:
d X d t = F X , Y , d Y d t = G X , Y , G X , 0 = 0 ,
where X R n 1 represents the uninfected group, Y R n 2 represents the infected group, and n 1 , n 2 are all positive integers.
Suppose U 0 = X 0 , 0 is the disease-free equilibrium of system (4). The following two assumptions are satisfied:
  • ( H 1 ) For d X d t = F X , 0 , X 0 is globally asymptotically stable.
  • ( H 2 ) G X , Y = A Y G ^ X , Y , G ^ X , Y 0 for X , Y Γ , where A = D Y G X 0 , 0 , A is an M-matrix (stable matrix with nonnegative off-diagonal elements), and Γ is a biologically feasible region.
If system (4) satisfies the above two conditions, we have the following results:
Lemma 1
([38,46,47]). The disease-free equilibrium E 0 of system (4) is globally asymptotically stable, if R 0 < 1 and the assumptions ( H 1 ) and ( H 2 ) are satisfied.
Using this Lemma 1, we can obtain
Theorem 2.
The disease-free equilibrium E 0 of the system (1) is globally asymptotically stable, if R 0 < 1 .
Proof. 
According to the previous calculation process,
A = 0 ϵ 2 , 1 0 p 1 β x Λ x 1 μ x + δ 2 , 1 + δ 2 , 1 Λ x 2 μ x μ x + δ 1 , 2 + δ 2 , 1 ϵ 1 , 2 0 0 p 2 β x Λ x 2 μ x + δ 1 , 2 + δ 1 , 2 Λ x 1 μ x μ x + δ 1 , 2 + δ 2 , 1 β y Λ y μ y β y Λ y μ y 0 0 0 0 θ 0
μ x + α x + ϵ 1 , 2 0 0 0 0 μ x + α x + ϵ 2 , 1 0 0 0 0 μ y + θ 0 0 0 0 μ y + α y
= μ x + α x + ϵ 1 , 2 ϵ 2 , 1 0 p 1 β x Λ x 1 μ x + δ 2 , 1 + δ 2 , 1 Λ x 2 μ x μ x + δ 1 , 2 + δ 2 , 1 ϵ 1 , 2 μ x + α x + ϵ 2 , 1 0 p 2 β x Λ x 2 μ x + δ 1 , 2 + δ 1 , 2 Λ x 1 μ x μ x + δ 1 , 2 + δ 2 , 1 β y Λ y μ y β y Λ y μ y μ y + θ 0 0 0 θ μ y + α y .
Now, X = x s 1 , x s 2 , y s T , Y = x i 1 , x i 2 , y e , y i T , and A = D Y G X 0 , 0 is an M-matrix. By comparing systems (1) and (4), we can obtain
F X , Y = Λ x 1 μ x x s 1 p 1 β x x s 1 y i + δ 2 , 1 x s 2 δ 1 , 2 x s 1 ,
Λ x 2 μ x x s 2 p 2 β x x s 2 y i + δ 1 , 2 x s 1 δ 2 , 1 x s 2 , Λ y μ y y s β y x i 1 + x i 2 y s T ,
G X , Y = p 1 β x x s 1 y i μ x + α x x i 1 + ϵ 2 , 1 x i 2 ϵ 1 , 2 x i 1 ,
p 2 β x x s 2 y i μ x + α x x i 2 + ϵ 1 , 2 x i 1 ϵ 2 , 1 x i 2 , β y x i 1 + x i 2 y s μ y + θ y e ,
θ y e μ y + α y y i T .
In addition, because the disease-free equilibrium of the system (1) is U 0 = X 0 , 0 = E 0 =
Λ x 1 μ x + δ 2 , 1 + δ 2 , 1 Λ x 2 μ x μ x + δ 1 , 2 + δ 2 , 1 , Λ x 2 μ x + δ 1 , 2 + δ 1 , 2 Λ x 1 μ x μ x + δ 1 , 2 + δ 2 , 1 , 0 , 0 , Λ y μ y , 0 , 0 ,
it follows that when t , as X X 0 , for d X d t = F X , 0 , X 0 is globally asymptotically stable.
Furthermore, one has G X , Y = A Y G ^ X , Y , where
G ^ X , Y = p 1 β x Λ x 1 μ x + δ 2 , 1 + δ 2 , 1 Λ x 2 μ x μ x + δ 1 , 2 + δ 2 , 1 x s 1 y i p 2 β x Λ x 2 μ x + δ 1 , 2 + δ 1 , 2 Λ x 1 μ x μ x + δ 1 , 2 + δ 2 , 1 x s 2 y i β y x i 1 + x i 2 Λ y μ y y s 0 .
On account of x s 1 Λ x 1 μ x + δ 2 , 1 + δ 2 , 1 Λ x 2 μ x μ x + δ 1 , 2 + δ 2 , 1 , x s 2 Λ x 2 μ x + δ 1 , 2 + δ 1 , 2 Λ x 1 μ x μ x + δ 1 , 2 + δ 2 , 1 , y s Λ y μ y , there is G ^ X , Y 0 for all X , Y R 4 + . Therefore, the conditions ( H 1 ) and ( H 2 ) are satisfied. According to the research results in [38,46,47], this theorem is established. □
At the same time, the stability of the endemic equilibrium E = x s 1 , x s 2 , x i 1 , x i 2 , y s , y e , y i can be obtained by constructing the Lyapunov function and using the LaSalle invariance principle.
Theorem 3.
The endemic equilibrium E of system (1) is globally asymptotically stable.
Proof. 
The Lyapunov function is established as follows [48,49],
V = d 1 x s 1 x s 1 x s 1 l n x s 1 x s 1 + x s 2 x s 2 x s 2 l n x s 2 x s 2
+ x i 1 x i 1 x i 1 l n x i 1 x i 1 + x i 2 x i 2 x i 2 l n x i 2 x i 2
+ d 2 y s y s y s l n y s y s + y e y e y e l n y e y e
+ μ y + θ θ y i y i y i l n y i y i ,
where the parameters d 1 > 0 and d 2 > 0 will be given later. It is easy to know that there is V 0 for all x s 1 , x s 2 , x i 1 , x i 2 , y s , y e , y i Ω , and
V = 0 x s 1 , x s 2 , x i 1 , x i 2 , y s , y e , y i = x s 1 , x s 2 , x i 1 , x i 2 , y s , y e , y i .
Therefore, function V is positive definite with respect to endemic equilibrium
E = x s 1 , x s 2 , x i 1 , x i 2 , y s , y e , y i .
The total derivative of the function V along the trajectory of the system (1) is calculated, and we obtain
V ˙ = d 1 x ˙ s 1 x ˙ s 1 x s 1 x s 1 + x ˙ s 2 x ˙ s 2 x s 2 x s 2 + x ˙ i 1 x ˙ i 1 x i 1 x i 1 + x ˙ i 2 x ˙ i 2 x i 2 x i 2 +
d 2 y ˙ s y ˙ s y s y s + y ˙ e y ˙ e y e y e + μ y + θ θ y ˙ i y ˙ i y i y i
= d 1 Λ x 1 μ x x s 1 p 1 β x x s 1 y i + δ 2 , 1 x s 2 δ 1 , 2 x s 1 + Λ x 2 μ x x s 2 p 2 β x x s 2 y i +
δ 1 , 2 x s 1 δ 2 , 1 x s 2 Λ x 1 x s 1 x s 1 + μ x x s 1 + p 1 β x x s 1 y i δ 2 , 1 x s 2 x s 1 x s 1 + δ 1 , 2 x s 1
Λ x 2 x s 2 x s 2 + μ x x s 2 + p 2 β x x s 2 y i δ 1 , 2 x s 1 x s 2 x s 2 + δ 2 , 1 x s 2
+ p 1 β x x s 1 y i μ x + α x x i 1 + ϵ 2 , 1 x i 2 ϵ 1 , 2 x i 1 p 1 β x x s 1 y i x i 1 x i 1
+ μ x + α x x i 1 ϵ 2 , 1 x i 1 + ϵ 1 , 2 x i 2 x i 1 x i 1
+ p 2 β x x s 2 y i μ x + α x x i 2 + ϵ 1 , 2 x i 1 ϵ 2 , 1 x i 2 p 2 β x x s 2 y i x i 2 x i 2
+ μ x + α x x i 2 ϵ 2 , 1 x i 2 + ϵ 1 , 2 x i 1 x i 2 x i 2
+ d 2 Λ y μ y y s β y x i 1 + x i 2 y s Λ y y s y s + μ y y s + β y x i 1 + x i 2 y s
+ β y x i 1 + x i 2 y s μ y + θ y e β y x i 1 + x i 2 y s y e y e + μ y + θ y e
+ μ y + θ y e y i μ y + θ μ y + α y θ y e μ y + θ y i y i + y i μ y + θ μ y + α y θ .
Substituting
Λ x 1 = μ x x s 1 p 1 β x x s 1 y i + δ 2 , 1 x s 2 δ 1 , 2 x s 1 ,
Λ x 2 = μ x x s 2 p 2 β x x s 2 y i + δ 1 , 2 x s 1 δ 2 , 1 x s 2 ,
p 1 β x x s 1 y i + ϵ 2 , 1 x i 2 ϵ 1 , 2 x i 1 = μ x + α x x i 1 ,
p 2 β x x s 2 y i + ϵ 1 , 2 x i 1 ϵ 2 , 1 x i 2 = μ x + α x x i 2 ,
Λ y = μ y y s β y x i 1 + x i 2 y s ,
β y x i 1 + x i 2 y s = μ y + θ y e ,
θ y e = μ y + α y y i
into V ˙ , we obtain
V ˙ = d 1 μ x x s 1 2 x s 1 x s 1 x s 1 x s 1 + p 1 β x x s 1 y i 2 x s 1 x s 1 x s 1 y i x s 1 y i +
μ x x s 2 2 x s 2 x s 2 x s 2 x s 2 + p 2 β x x s 2 y i 2 x s 2 x s 2 x s 2 y i x s 2 y i +
p 1 β x x s 1 y i μ x + α x x i 1 + ϵ 2 , 1 x i 2 ϵ 1 , 2 x i 1
+ p 2 β x x s 2 y i μ x + α x x i 2 + ϵ 1 , 2 x i 1 ϵ 2 , 1 x i 2
+ δ 1 , 2 x s 1 2 x s 2 x s 2 x s 2 x s 2 + δ 2 , 1 x s 2 2 x s 1 x s 1 x s 1 x s 1
+ ϵ 1 , 2 x i 2 x i 1 x i 1 ϵ 1 , 2 x i 1 x i 2 x i 2 + ϵ 2 , 1 x i 1 ϵ 2 , 1 x i 2
+ d 2 μ y y s 2 y s y s y s y s + β y x i 1 + x i 2 y s y i μ y + θ μ y + α y θ +
β y x i 1 + x i 2 y s 3 y s y s x i 1 + x i 2 y s x i 1 + x i 2 y s y e x i 1 + x i 2 y s x i 1 + x i 2 y s y e
= d 1 μ x x s 1 + x s 2 2 x s 1 + x s 2 x s 1 + x s 2 x s 1 2 x s 2 + x s 2 2 x s 1 x s 1 + x s 2 x s 1 x s 2
+ p 1 β x x s 1 y i 2 x s 1 x s 1 x s 1 y i x s 1 y i + p 2 β x x s 2 y i 2 x s 2 x s 2 x s 2 y i x s 2 y i +
p 1 β x x s 1 y i μ x + α x x i 1 + ϵ 2 , 1 x i 2 ϵ 1 , 2 x i 1
+ p 2 β x x s 2 y i μ x + α x x i 2 + ϵ 1 , 2 x i 1 ϵ 2 , 1 x i 2
+ δ 1 , 2 x s 1 2 x s 2 x s 2 x s 2 x s 2 + δ 2 , 1 x s 2 2 x s 1 x s 1 x s 1 x s 1
+ ϵ 1 , 2 x i 2 x i 1 x i 1 ϵ 1 , 2 x i 1 x i 2 x i 2 + ϵ 2 , 1 x i 1 ϵ 2 , 1 x i 2
+ d 2 μ y y s 2 y s y s y s y s + β y x i 1 + x i 2 y s y i μ y + θ μ y + α y θ +
β y x i 1 + x i 2 y s 3 y s y s x i 1 + x i 2 y s x i 1 + x i 2 y s y e x i 1 + x i 2 y s x i 1 + x i 2 y s y e .
Letting d 1 = β y x i 1 + x i 2 y s and d 2 = p 1 β x x s 1 + p 2 β x x s 2 y i , one has
p 1 β x x s 1 y i = μ x + α x x i 1 ϵ 1 , 2 x i 1 + ϵ 2 , 1 x i 2 ,
p 2 β x x s 2 y i = μ x + α x x i 2 ϵ 2 , 1 x i 2 + ϵ 1 , 2 x i 1 ,
β y x i 1 + x i 2 y s = y i μ y + θ μ y + α y θ ;
then,
d 1 p 1 β x x s 1 y i μ x + α x x i 1 + ϵ 1 , 2 x i 1 ϵ 2 , 1 x i 2 = 0 ,
d 1 p 2 β x x s 2 y i μ x + α x x i 2 + ϵ 2 , 1 x i 2 ϵ 1 , 2 x i 1 = 0 ,
d 2 β y x i 1 + x i 2 y s y i μ y + θ μ y + α y θ = 0 .
Therefore, for all x s 1 , x s 2 , x i 1 , x i 2 , y s , y e , y i Ω , there exists
V ˙ = d 1 μ x x i 1 + x i 2 2 x s 1 + x s 2 x s 1 + x s 2 x s 1 2 x s 2 + x s 2 2 x s 1 x s 1 + x s 2 x s 1 x s 2
+ d 1 p 1 β x x s 1 + p 2 β x x s 2 y i 2 p 1 β x x s 1 2 x s 2 + p 2 β x x s 2 2 x s 1 p 1 β x x s 1 + p 2 β x x s 2 x s 1 x s 2
p 1 β x x s 1 x s 1 y i x s 2 + p 2 β x x s 2 x s 2 y i x s 1 p 1 β x x s 1 + p 2 β x x s 2 x s 1 x s 2 y i + d 1 δ 1 , 2 x s 1 2 x s 2 x s 2 x s 2 x s 2
+ d 1 δ 2 , 1 x s 2 2 x s 1 x s 1 x s 1 x s 1 + d 1 ϵ 1 , 2 x i 2 x i 1 x i 1 ϵ 1 , 2 x i 1 x i 2 x i 2
+ d 1 ϵ 2 , 1 x i 1 ϵ 2 , 1 x i 2 + d 2 μ y y s 2 y s y s y s y s
+ d 2 β y x i 1 + x i 2 y s 3 y s y s x i 1 + x i 2 y s x i 1 + x i 2 y s y e x i 1 + x i 2 y s x i 1 + x i 2 y s y e .
Owing to
d 1 ϵ 1 , 2 x i 2 x i 1 x i 1 x i 1 x i 2 x i 2 = d 1 ϵ 1 , 2 x i 2 2 x i 1 x i 1 x i 1 x i 1 x i 1 x i 1 + x i 1 2 x i 2 x i 2 x i 2 x i 2 x i 2 x i 2
d 1 ϵ 1 , 2 x i 2 2 x i 1 x i 1 x i 1 x i 1 + x i 1 2 x i 2 x i 2 x i 2 x i 2 ,
d 1 ϵ 2 , 1 x i 1 ϵ 2 , 1 x i 2
d 1 2 ϵ 2 , 1 x i 1 ϵ 2 , 1 x i 2 = d 1 ϵ 2 , 1 x i 1 x i 1 x i 2 + 2 x i 2 x i 1 x i 1 x i 2 ; then,
V ˙ = d 1 μ x x i 1 + x i 2 2 x s 1 + x s 2 x s 1 + x s 2 x s 1 2 x s 2 + x s 2 2 x s 1 x s 1 + x s 2 x s 1 x s 2
+ d 1 δ 1 , 2 x s 1 2 x s 2 x s 2 x s 2 x s 2 + d 1 δ 2 , 1 x s 2 2 x s 1 x s 1 x s 1 x s 1
+ d 2 μ y y s 2 y s y s y s y s + d 1 ϵ 1 , 2 x i 2 2 x i 1 x i 1 x i 1 x i 1 + x i 1 2 x i 2 x i 2 x i 2 x i 2
+ d 1 ϵ 2 , 1 x i 1 x i 1 x i 2 + 2 x i 2 x i 1 x i 1 x i 2
+ d 1 d 2 5 y s y s x i 1 + x i 2 y s x i 1 + x i 2 y s y e x i 1 + x i 2 y s x i 1 + x i 2 y s y e
p 1 β x x s 1 2 x s 2 + p 2 β x x s 2 2 x s 1 p 1 β x x s 1 + p 2 β x x s 2 x s 1 x s 2 p 1 β x x s 1 x s 1 y i x s 2 + p 2 β x x s 2 x s 2 y i x s 1 p 1 β x x s 1 + p 2 β x x s 2 x s 1 x s 2 y i
0 .
It is easy to obtain V ˙ = 0 x s 1 = x s 1 , x s 2 = x s 2 , x i 1 = x i 1 , x i 1 = x i 1 , y s = y s , y e = y e , y i = y i . Therefore, the only largest compact invariant set of V ˙ is the endemic equilibrium E . According to the principle of LaSalle invariance [50], E is globally asymptotically stable when R 0 > 1 . □
From the above theoretical analysis results, it can be seen that the basic reproduction number R 0 in model (1) is very important for the prevalence of schistosomiasis; schistosomiasis is under control when R 0 < 1 , and schistosomiasis begins to be prevalent when R 0 > 1 .

4. Numerical Simulation

In this section, with the help of the ode45 command in Matlab, we verify whether the theorem holds, given the values of the parameters that satisfy the corresponding theorem. This command ode45 denotes the four-order-five-order Runge–Kutta algorithm, which provides candidate solutions with a four-order method, controls the error with a five-order method, and is an adaptive step-by-step numerical solution of ordinary differential equations with an overall truncation error. There are many other functions for solving the numerical solutions of differential equations, such as ode23, ode15s, and ode23s. This command ode45 is more accurate than the other commands and is used more in practice. Based on the data provided by the Anhui Institute of Schistosomiasis, a numerical simulation was used to verify the transmission dynamics of schistosomiasis in two corresponding patches with different coverages of health education in system (1), to further support and extend the conclusions of the previous sections. The parameters were as follows (Table 1):
Table 1. Parameter values.
Figure 4 is a sequence diagram of system (1). Figure 4a depicts the situation where R 0 < 1 , and the system (1) had a disease-free equilibrium E 0 . At this time, the number of infected people, infected snails not releasing the cercariae, and infected snails releasing the cercariae in region 1 and 2 were close to 0, which means that schistosomiasis tended to extinction. Figure 4b describes the situation where R 0 > 1 , and the system (1) had an endemic equilibrium E . At this time, the human host and snails in region 1 and 2 coexisted steadily, and schistosomiasis was prevalent in these two regions.
Figure 4. Sequence diagram. (a) The system (1) had a disease-free equilibrium E 0 if R 0 < 1 . (b) The system (1) had an endemic equilibrium E if R 0 > 1 .
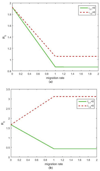
As can be seen from Figure 5a, the threshold R 0 decreased significantly when the diffusion coefficients ϵ 1 , 2 and ϵ 2 , 1 increased, and R 0 increased when ϵ 1 , 2 and ϵ 2 , 1 decreased. The degree of the decrease in R 0 when ϵ 1 , 2 increased was greater than that when ϵ 2 , 1 increases. This also indicates that when an infected person migrated from region 1 with a high coverage of health education to region 2 with a low coverage of health education, the reduction in R 0 was greater than when the infected person migrated from region 2 with a low coverage of health education to region 1 with a high coverage of health education. As can be seen from Figure 5b, the threshold R 0 decreased as δ 1 , 2 increased, while the threshold R 0 increased as δ 2 , 1 increased. Thus, increasing the mutual migration rate of infected people between these two regions with different coverages of health education would lead to a reduction in the basic reproduction number of the whole system. Increasing the migration of susceptible people from the region with a high coverage of health education to the region with a low coverage of health education would also lead to a reduction in the basic reproduction number of the whole system. In addition, it can be seen from Figure 6a that with the increase in the diffusion coefficient ϵ 1 , 2 , the threshold R 0 dropped below 1. With the increase in the diffusion coefficient ϵ 2 , 1 , the threshold R 0 was still greater than 1 in the end, although demonstrating a downward trend. As can be seen from Figure 6b, the threshold R 0 decreased to less than 1 as δ 1 , 2 increased. The threshold R 0 increased to more than 1 as δ 2 , 1 increased. This means that if the migration rate of the infected people from the region witha high coverage of health education to the region with a low coverage of health education was large enough, or the migration rate of the susceptible people from the region with a high coverage of health education to the region with a low coverage of health education was large enough, schistosomiasis in both regions could even be eliminated. This conclusion is different from that of other epidemics, which need to restrict the movement of people for prevention and treatment. This is an interesting result.
Figure 5. (a) The sensitivity relationship between R 0 and the migration rate ϵ 1 , 2 , ϵ 2 , 1 . (b) The sensitivity relationship between R 0 and the migration rate δ 1 , 2 , δ 2 , 1 .
Figure 6. (a) The variation trend of the R 0 when the migration rate ϵ 1 , 2 = 0 ( ϵ 2 , 1 = 0 ) and ϵ 2 , 1 ( ϵ 1 , 2 ) is evaluated on the interval [0, 2], (b) the variation trend of the R 0 when the migration rate δ 1 , 2 = 0 ( δ 2 , 1 = 0 ) and δ 2 , 1 ( δ 1 , 2 ) is evaluated on the interval [0, 2].
It can be seen from Figure 7 that the R 0 increased significantly when the proportions p 1 and p 2 of people who had skin contact with contaminated water infected with schistosomiasis up to the edge of the endemic water in region 1 and 2 increased, and the R 0 decreased when the proportions of p 1 and p 2 decreased. When the proportion of p 2 increased, the increase rate in the R 0 was greater than that when the p 1 increased. The coverage of health education in the region is reflected by the parameters p 1 and p 2 . The higher the health education coverage is, the lower is the proportion of people who have had skin contact with contaminated water infected with schistosoma up to the edge of the endemic water. Due to the fact that the coverage of health education in region 1 was relatively high, while that in region 2 was relatively low, the proportion p 2 was greater than the proportion p 1 . Therefore, when p 1 and p 2 increased simultaneously, the R 0 corresponded to the p 2 and increased by a larger extent. This implies that a higher coverage of health education leads to a lower proportion of people who have skin contact with contaminated water infected with schistosomiasis up to the edge of the endemic water and a smaller impact on the basic reproduction number of the whole system. It can be seen that carrying out health education can reduce not only the risk of schistosomiasis infection among local people but also people in neighboring regions, which further shows that health education is conducive to controlling the spread of schistosomiasis.
Figure 7. Sensitivity relationship between the R 0 and the proportions p 1 and p 2 of people who had skin contact with contaminated water infected with schistosomiasis up to the edge of the endemic water in regions 1 and 2.
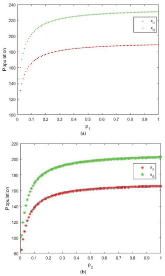
According to Figure 8 and the expressions of the infected people x i 1 and x i 2 in the endemic equilibrium of the model (1), when the proportions p 1 and p 2 of people who had skin contact with contaminated water infected with schistosomiasis up to the edge of the endemic water in region 1 and 2 increased, x i 1 and x i 2 also became larger; that is, the higher the coverage of the health education was, the lower the infection rate and patient numbers. From the sixth and seventh equations of system (1), it can be seen that when the numbers of infected people x i 1 and x i 2 increased, the number of snails infected without releasing the cercariae y e increased accordingly, and the number of snails infected and releasing the cercariae y i also increased. This also indicates that when health education is strengthened, the proportions p 1 and p 2 of people who have skin contact with contaminated water infected with schistosomiasis up to the edge of the endemic water in region 1 and 2 will decrease, the numbers of infected people will decrease, and the numbers of y e and y i will also decrease.
Figure 8. The variation diagram of infected people x i 1 and x i 2 with the increase in the parameter p 1 and p 2 in (a) and (b), respectively.
In the above, we assumed that the coverage of health education in region 1 was higher than that in region 2. According to the data of the proportion of health education provided by Anhui Institute of Schistosomiasis (Figure 2), if the coverage of health education in region 1 was 50 % , then the proportion p 1 of people who have had skin contact with contaminated water infected with schistosomiasis up to the edge of the endemic water in region 1 would be 100 % 50 % = 50 % . However, if the coverage of health education in region 2 was 10 % , then the proportion p 2 of people who have had skin contact with contaminated water infected with schistosomiasis up to the edge of the endemic water in region 2 would be 100 % 10 % = 90 % . If the coverage of health education in region 1 and region 2 was increased to 92 % and 90 % , then the proportions of p 1 and p 2 would be 8 % and 10 % , respectively. It can be seen from Figure 9 that the number of patients in region 2 would decrease significantly. For example, by the 50th day after the increase in health education coverage, the number of patients in region 2 dropped by 12, and by the 150th day the number of patients fell by 22. This indicates that the strengthening of health education can reduce the number of patients in region 2.
Figure 9. The variation trend comparison of infected people x i 2 with different coverages of health education.

5. Sensitivity Analysis

The change in the parameter value has a strong influence on the transmission rate of schistosomiasis, especially the value of the basic reproduction number. Therefore, the significant influencing factors of R 0 are mainly studied in this section. In order to analyze the significance of the parameters, the Latin Hypercube Sampling (LHS) method was used to sample the relevant parameters in the model, and the partial rank correlation coefficient (PRCC) method was used to evaluate the dependence of each output variable on the parameters [51,52,53,54].
Because the uniform distribution is a non-information distribution, the uniform distribution was chosen as the prior distribution when sampling the parameters. The value range of the parameters is shown in Table 2. The sampling frequency was n = 2000 . In the sampling process, the setting parameters were the input variables, and R 0 was the output variable. The greater the absolute value of the PRCC, the greater the influence of the parameters on the R 0 . We assumed that if the p-value was greater than 0.05, the parameter was not significant for the R 0 [55,56,57]. The dependence of the R 0 on each parameter is shown in Figure 10.
Table 2. Parameters’ scope and PRCC value corresponding to R 0 .
Figure 10. The significance analysis diagram of the parameters on R 0 .
From Table 2 and Figure 10, it can be seen that the effects of the parameters Λ x 1 , Λ x 2 , Λ y , p 1 , p 2 , β x , β y , θ , and δ 2 , 1 on R 0 were positively correlated. From the value of the PRCC, Λ y , p 1 , p 2 , β x , and β y had the more prominent positive impacts on the R 0 . Therefore, an increase in these variables may cause the R 0 to be greater than 1, resulting in an outbreak of disease. In addition, because the health education coverage in region 1 was relatively high, while that in region 2 was relatively low, the proportion p 1 of people who had skin contact with contaminated water infected with schistosomiasis up to the edge of the endemic water in patch 1 was significantly lower than the proportion p 2 in patch 2. According to the results of the PRCC analysis, the positive correlation between p 1 and R 0 was significantly smaller than that of p 2 . In addition, as can be seen from Figure 10, the positive correlation between p 1 , p 2 , and R 0 was the most conspicuous, which further demonstrates the importance of health education. Since schistosomiasis can be transmitted, skin contact with epidemic water is crucial. As long as people do not touch the contaminated water infected with schistosomiasis after receiving health education, there will be no new patients. This also further shows that a high coverage of health education has a greater impact on the R 0 .
In addition, the influence of the parameters μ x , μ y , α x , α y , ϵ 1 , 2 , ϵ 2 , 1 , and δ 1 , 2 on the R 0 was negatively correlated. Further,
  • μ x P R C C = 0.2481 ,
  • μ y P R C C = 0.3628 ,
  • α x P R C C = 0.2808 ,
  • ϵ 1 , 2 P R C C = 0.1388 , and
  • ϵ 2 , 1 P R C C = 0.1259
  • had the most significant negative impact on the R 0 [55,56,57]. It can be seen that the greater the natural mortality rate of the susceptible people and snails was, the greater the mortality rate of the snails was, the greater the migration rate of susceptible people from patch 1 to 2 was, and the greater the migration rate of infected people from patch 1 to 2 was, the value of R 0 decreased (because it is a negative effect, and the critical value of R 0 is 1, a decrease indicates that the schistosomiasis disease is gradually disappearing or stabilizing); that is, the number of infected people and infected snails was lower. When the diffusion coefficient ϵ 1 , 2 increased, the migration rate from the region with a high coverage of health education to the region with a low coverage of health education increased, the diffusion coefficient ϵ 2 , 1 increased, and the migration rate from the region with a low coverage of health education to the region with a high coverage of health education increased, then, the basic reproduction number R 0 decreased, and the patient numbers decreased. This was also verified by the numerical simulation results in Section 3, indicating that health education reduces the infection rate of schistosomiasis, reduces the number of patients, and helps to control the spread of schistosomiasis.

6. Conclusions and Discussion

At present, the number of people infected by schistosomiasis in various endemic provinces in China shows a declining trend. However, due to the difficulty of the management and the inadequate implementation of prevention and control measures, the form of the health education, prevention, and control of schistosomiasis is still serious. Therefore, the health education and publicity of schistosomiasis should be strengthened, especially the health education of the mobile population should be given attention. Their awareness of prevention can be continuously strengthened, and prevention and control measures can be comprehensively improved, so that the social harm of schistosomiasis can be completely eliminated.
Human behavior plays an important role in the transmission of schistosomiasis. Therefore, the impact of health education on population behavior and its important role in the prevention and treatment of schistosomiasis should be fully considered. In addition, mathematical modeling of other intervention strategies for schistosomiasis has been proposed, and there is little mathematical modeling of the impact of health education on schistosomiasis transmission. In the meantime, the existing schistosomiasis models with migration do not highlight the impact of health education on the transmission, prevention, and control of schistosomiasis. Taking into account the actual situation that susceptible and infected people will migrate between two regions with different coverages of health education, a schistosomiasis model with linear diffusion was constructed in this article. The qualitative and quantitative behavior of the model was analyzed and studied, and the dynamic behavior of the model was verified by numerical simulation.
The results of the theoretical analysis and numerical simulation showed that the influence of the diffusion coefficients ϵ 1 , 2 , ϵ 2 , 1 and δ 1 , 2 , δ 2 , 1 on the basic reproduction number was significant. The threshold R 0 decreased significantly when ϵ 1 , 2 , ϵ 2 , 1 increased; the R 0 decreased when δ 1 , 2 increased, and the R 0 increased when δ 2 , 1 increased. With the increase in the diffusion coefficient ϵ 1 , 2 , the basic reproduction number R 0 dropped below 1. With the increase in the ϵ 2 , 1 , although R 0 had a downward trend, it was ultimately greater than 1 in the end. The basic reproduction number R 0 decreased to below 1 with the increase in the diffusion coefficient δ 1 , 2 . The basic reproduction number R 0 increased to above 1 with the increase in the diffusion coefficient δ 2 , 1 . This showed that the migration of infected people from the region with a high coverage of health education to the region with a low coverage of health education is helpful for the control of schistosomiasis, and the migration from the region with a low coverage of health education to the region with a high coverage of health education is not conducive to schistosomiasis control. Increasing the migration of susceptible people from the region with a high coverage of health education to the region with a low coverage of health education, or the migration of infected people from the region with a high coverage of health education to the region with a low coverage of health education, can even eliminate schistosomiasis in both regions. It can be seen that increasing the migration of susceptible from the region with a high coverage of health education to the region with a low coverage of health education, or increasing the mutual migration rate of infected people between two regions with different coverages of health education, will reduce the basic reproduction number R 0 , also further slowing the spread of schistosomiasis. This conclusion is different from the need to restrict the movement of people in the prevention and treatment of other epidemics, which is an interesting result. This result may be caused by the fact that when these patients with a high coverage of health education migrate to the regions with a low coverage of health education, their behaviors will influence other people, enhancing their their awareness of schistosomiasis prevention and control, thereby slowing the spread of schistosomiasis in the two regions.
In addition, the influence of the proportions p 1 and p 2 of people who have had skin contact with contaminated water infected with schistosomiasis up to the edge of the endemic water in region 1 and 2 on R 0 was also very obvious. The threshold R 0 became significantly larger when the proportions p 1 and p 2 increased, and R 0 decreased when the proportions p 1 and p 2 decreased. When the proportion p 2 was fixed, R 0 increased as proportion p 1 increased. When the proportion p 1 was fixed, R 0 also increased as proportion p 2 increased, at a larger rate. This means that a higher coverage of health education leading to a lower proportion of people who had skin contact with contaminated water infected with schistosomiasis up to the edge of the endemic water had a smaller impact on the R 0 . It shows that health education reduces the infection rate of schistosomiasis, and the number of patients decreases. It follows that health education reduces the risk of schistosomiasis infection among local populations, indicating that health education helps control the spread of schistosomiasis.
In the sensitivity analysis of the basic reproduction number, the PRCC analysis results showed that the parameters Λ x 1 , Λ x 2 , Λ y , p 1 , p 2 , β x , β y , θ , and δ 2 , 1 had a positive influence on the R 0 , and the parameters μ x , μ y , α x , α y , ϵ 1 , 2 , ϵ 2 , 1 , and δ 1 , 2 had a negative influence on R 0 . It is observed that the positive correlation between p 1 and p 2 on the R 0 was the most conspicuous, which further demonstrates the importance of health education. Moreover, the greater the migration rate of susceptible people from patch 1 to 2, and the greater the migration rate of infected people from patch 1 to 2, the more the value of the R 0 decreased, and the number of infected people and infected snails was lower. Therefore, in order to better control the spread of schistosomiasis, the proportions p 1 and p 2 of people who have had skin contact with contaminated water infected with schistosomiasis up to the edge of the endemic water in region 1 and 2 should be reduced. In summary, for snails, the region for the snails should be reduced, infectious snails should be dealt with, and the hidden dangers of schistosomiasis infection in the population should be eliminated, which would successfully achieve the basis and guarantee for eliminating schistosomiasis. At the same time, health education should be strengthened for migrating people living in regions where schistosomiasis is endemic, so that schistosomiasis prevention and health education will gradually become routine schistosomiasis prevention work.
At present, other measures can be applied to control the spread of schistosomiasis; striking indicators should be built beside the endemic water infected by schistosomiasis to remind everyone, people should be warned not to dump their feces into the water, more public toilets should be established. and so on. Only by combining these measures with health education can we prevent and control the spread of schistosomiasis quickly and better and finally achieve the goal of eliminating schistosomiasis. Today, health education may not play an obvious role in the prevention and control of schistosomiasis for two main reasons. The first reason is that people do not realize that health education has a far greater impact on the prevention and control of schistosomiasis than any other prevention and control measures, even more than snail eradication. The second reason is that there is no true one hundred percent health education coverage currently.
Finally, we can give a clear answer to the question of whether the migration of people has an impact on the transmission of schistosomiasis or not. First, we supposed that people migrated from the region with a low coverage of health education to the region with a high coverage of health education. If the migrant is susceptible, the schistosomiasis transmission trend of the out-migration region will be weakened by this migration, and the transmission trend of the in-migration region will be strengthened. For the two regions as a whole, the schistosomiasis transmission trend in these two regions will be enhanced by this migration. If the migrant is infected, the transmission trend of the out-migration region will be weakened by this migration, but this migration has no effect on the schistosomiasis transmission in the in-migration region. For the two regions as a whole, the migration of infected people will reduce the transmission but can not eliminate schistosomiasis in these two regions. Second, we assumed that people migrated from the region with a high coverage of health education to the region with a low coverage of health education. If the migrant is susceptible, the transmission trend of the out-migration region will be weakened by this migration, and the transmission trend of the in-migration region will be enhanced. For the two regions as a whole, this migration can reduce the transmission of schistosomiasis in these two regions. If the migrant is infected, the transmission trend of the out-migration region will be weakened by this migration, but this migration has no effect on the schistosomiasis transmission of the in-migration region. For the two regions as a whole, this migration of infected people can even eliminate schistosomiasis in these two regions. Therefore, it is important to know the physical condition of migrants.
Of course, controlling the number of snails is a powerful measure to prevent and control the spread of schistosomiasis. This conclusion has been studied in the literature. In the future, snail movement and control will be considered in mathematical models. This article mainly studied the new perspective of health education for the human population. In addition, while human movements are easy to detect, snail movements are harder to track. Thus, in this article only human migration was temporarily studied, and the migration of snails will be considered in future work. According to the data provided by the Anhui Institute of Schistosomiasis and expert opinions, the number of schistosomiasis cases in Anhui province has been very low since 2013. Hence, we cannot make good use of our model to study the transmission of schistosomiasis and the impact of health education on the transmission of disease in Anhui province. At present, most of the endemic areas of schistosomiasis in China have reached the transmission control standards, and the prevalence of schistosomiasis in the country is gradually decreasing. However, this study is applicable to countries abroad, where schistosomiasis is still prevalent, and can provide some help.

Author Contributions

P.T. and L.Q. conceptualized the study and performed the literature review. P.T., L.Q. and L.S. wrote the original draft. P.T., L.Q., S.Q. and L.S. contributed to writing, review, and editing the manuscript. T.L. provided the data. All authors have read and agreed to the published version of the manuscript.

Funding

This research was supported by the National Natural Science Foundation of China (11401002), the Natural Science Foundation of Anhui Province (2008085MA02), the Natural Science Foundation for Colleges and Universities in Anhui Province (2022AH050078,KJ2018A0029), the Anhui University Humanities and Social Sciences key research project (SK2020A0438), the Teaching Research Project of Anhui University (ZLTS2016065), and the Quality Engineering Project of Colleges and Universities in Anhui Province (2020jyxm0103).

Data Availability Statement

Not applicable.

Acknowledgments

The authors would like to thank the reviewers for the helpful comments, which improved the presentation of this paper.

Conflicts of Interest

The authors declare that there are no conflict of interest.

References

  1. World Health Organization. Improving Water and Sanitation is Key to Eliminating Neglected Tropical Diseases. 2015. Available online: http://www.un.org/chinese/News/story.asp?NewsID=18724 (accessed on 3 April 2022).
  2. World Health Organization. Schistosomiasis 2018. Available online: https://www.who.int/en/news-room/fact-sheets/detail/schistosomiasis (accessed on 2 April 2022).
  3. World Health Organization. Global Health Estimates 2015: Deaths by Cause, Age, Sex, by Country and by Region, 2000–2015. Geneva. 2016. Available online: https://www.who.int/healthinfo/global-burden-disease/estimates/en/index1.html (accessed on 2 April 2022).
  4. King, C.H.; Galvani, A.P. Underestimation of the global burden of schistosomiasis. Lancet 2018, 391, 307–308. [Google Scholar] [CrossRef] [PubMed]
  5. Woodall, P.A.; Kramer, M.R. Schistosomiasis and infertility in East Africa. Am. J. Trop. Med. Hyg. 2018, 98, 1137–1144. [Google Scholar] [CrossRef]
  6. Kloos, H. Human behavior, health education and schistosomiasis control: A review. Soc. Sci. Med. 1995, 40, 1497–1511. [Google Scholar] [CrossRef] [PubMed]
  7. Lansdown, R. Schistosomiasis, helminth infection and health education in Tanzania: Achieving behaviour change in primary schools. Health Educ. Res. 2002, 17, 425–433. [Google Scholar] [CrossRef] [PubMed]
  8. Hu, G.H.; Jia, H.; Song, K.Y.; Lin, D.D.; Zhang, J.; Cao, C.L.; Xu, J.; Li, D.; Jiang, W.S. The role of health education and health promotion in the control of schistosomiasis: Experiences from a 12-year intervention study in the Poyang Lake area. Acta Trop. 2005, 96, 232–241. [Google Scholar] [CrossRef]
  9. Seydou, S.; Sake, J.D.V.; Amadou, M. Low awareness of intestinal schistosomiasis in northern Senegal after 7 years of health education as part of intense control and research activities. Trop. Med. Int. Health 2010, 8, 744–749. [Google Scholar] [CrossRef]
  10. Chen, Y.Y.; Liu, J.B.; Jiang, Y.L.; Li, G.; Shan, X.W.; Zhang, J.; Cai, S.X.; Huang, X.B. Dynamics of spatiotemporal distribution of schistosomiasis in Hubei Province, China. Acta Trop. 2018, 180, 88–96. [Google Scholar] [CrossRef]
  11. Haggag, A.A.; Amal, R.; Abd, E.K.M.; Gabrielli, A.F.; Abdelhai, R.; Hashish, A.; Jabbour, J.; Ramzy, R.M. Elimination of schistosomiasis haematobia as a public health problem in five governorates in Upper Egypt. Acta Trop. 2018, 188, 9–15. [Google Scholar] [CrossRef]
  12. Anumudu, C.; Onile, O.; Awobode, H.; Gboyega-Tokunbo, A.; Oladele, V.; Adebayo, A.; Chouvwen, C.O. Social, cultural and environmental determinants of a proposed schistosomiasis health education intervention in Eggua. Nigeria 2019, 8, 92–100. [Google Scholar] [CrossRef]
  13. Liu, H.; Wang, A.X.; Li, Y.Z. Knowledge, attitude and practice related to schistosomiasis control among rural residents in Wanjiang river region after a flood. Chin. J. Schistosomiasis Control 2017, 29, 219–224. (In Chinese) [Google Scholar]
  14. Takeuchi, R.; Njenga, S.M.; Ichinose, Y.; Kaneko, S.; Estrada, C.A.; Kobayashi, J. Is there a gap between health education content and practice toward schistosomiasis prevention among schoolchildren along the shores of Lake Victoria in Kenya? PLoS Neglected Trop. Dis. 2019, 13, e0007572. [Google Scholar] [CrossRef] [PubMed]
  15. Guan, Z.; Lv, S.; Li, S.Z.; Dang, H.; Zhang, L.; Xu, J. Analysis on the situation of schistosome infections in floating population in national schistosomiasis surveillance sites of China. China J. Schistosomiasis Control 2018, 30, 20–26. (In Chinese) [Google Scholar]
  16. Takeuchi, Y. Diffusion effect on stability of Lotka-Volterra models. Bull. Math. Biol. 1986, 48, 585–601. [Google Scholar] [CrossRef]
  17. Takeuchi, Y. Diffusion-mediated persistence in two-species competition Lotka-Volterra model. Math. Biosci. 1989, 95, 1–83. [Google Scholar] [CrossRef] [PubMed]
  18. Nishimura, K.; Kishida, O. Coupling of two competitive systems via density dependent migration. Ecol. Res. 2001, 16, 359–368. [Google Scholar] [CrossRef]
  19. Zhang, X.A.; Chen, L. The linear and nonlinear diffusion of the competitive Lotka-Volterra model. Nonlinear Anal. Theory Methods Appl. 2007, 66, 2767–2776. [Google Scholar] [CrossRef]
  20. Zhang, T.; Zhao, X.Q. Mathematical modeling for schistosomiasis with seasonal influence: A case study in Hubei, China. SIAM J. Appl. Dyn. Syst. 2020, 19, 1438–1471. [Google Scholar] [CrossRef]
  21. Liu, Y.; Lv, H.; Gao, S. A schistosomiasis model with diffusion effects. Appl. Math. 2016, 7, 587–598. [Google Scholar] [CrossRef]
  22. Macdonald, G. The dynamics of helminth infections, with special reference to schistosomes. Trans. R. Soc. Trop. Med. Hyg. 1965, 59, 489–506. [Google Scholar] [CrossRef]
  23. Hairston, N.G. On the mathematical analysis of schistosome populations. Bull. World Health Organ. 1962, 33, 45–62. [Google Scholar]
  24. Zou, L.; Ruan, S. Schistosomiasis transmission and control in China. Acta Trop. 2015, 143, 51–57. [Google Scholar] [CrossRef] [PubMed]
  25. Feng, Z.L.; Li, C.C.; Milner, F.A. Schistosomiasis models with density dependence and age of infection in snail dynamics. Math. Biosci. 2002, 177, 271–286. [Google Scholar] [CrossRef] [PubMed]
  26. Feng, Z.L.; Li, C.C.; Milner, F.A. Schistosomiasis models with two migrating human groups. Math. Comput. Model. 2005, 41, 1213–1230. [Google Scholar] [CrossRef]
  27. Gao, S.J.; He, Y.Y.; Liu, Y.J. Field transmission intensity of schistosoma japonicum measured by basic reproduction ratio from modified Barbour’s model. Parasites Vectors 2013, 6, 1–10. [Google Scholar] [CrossRef] [PubMed]
  28. Kalinda, C.; Mushayabasa, S.; Chimbari, M.J.; Mukaratirwa, S. Optimal control applied to a temperature dependent schistosomiasis model. BioSystems 2019, 175, 47–56. [Google Scholar] [CrossRef]
  29. Qi, L.X.; Cui, J.A.; Gao, Y.; Zhu, H.P. Modeling the schistosomiasis on the islets in Nanjing. Int. J. Biomath. 2012, 5, 1–17. [Google Scholar] [CrossRef]
  30. Qi, L.X.; Tian, S.J.; Cui, J.A.; Wang, T.P. Multiple infection leads to backward bifurcation for a schistosomiasis model. Math. Biosci. Eng. 2019, 16, 701–712. [Google Scholar] [CrossRef]
  31. Allen, E.J.; Victory, H.D. Modeling and simulation of a schistosomiasis infection with biological control. Acta Trop. 2003, 87, 251–267. [Google Scholar] [CrossRef]
  32. Castillo-Chavez, C.; Feng, Z.; Xu, D. A schistosomiasis model with mating structure and time delay. Math. Biosci. 2008, 211, 333–341. [Google Scholar] [CrossRef]
  33. Feng, Z.; Curtis, J.; Minchella, D.J. The influence of drug treatment on the maintenance of schistosome genetic diversity. J. Math. Biol. 2001, 43, 52–68. [Google Scholar] [CrossRef]
  34. Feng, Z.L.; Eppert, A.; Milner, E.A.; Minchella, D.J. Estimation of parameters governing the transmission dynamics of schistosomes. Appl. Math. Lett. 2004, 17, 1105–1112. [Google Scholar] [CrossRef]
  35. Ishikawa, H.; Ohmae, H.; Pangilinan, R.; Redulla, A.; Matsuda, H. Modeling the dynamics and control of schistosoma japonicum transmission on Bohol island, the Philippines. Parasitol. Int. 2006, 55, 23–29. [Google Scholar] [CrossRef] [PubMed]
  36. Liang, S.; Maszle, D.; Spear, R.C. A quantitative framework for a multi-group model of schistosomiasis japonicum transmission dynamics and control in Sichuan, China. Acta Trop. 2002, 82, 1–277. [Google Scholar] [CrossRef] [PubMed]
  37. Xu, J.F.; Lv, S.; Wang, Q.Y.; Qian, M.B.; Liu, Q.; Bergquist, R.; Zhou, X.N. Schistosomiasis japonica: Modelling as a tool to explore transmission patterns. Acta Trop. 2015, 141, 213–222. [Google Scholar] [CrossRef] [PubMed]
  38. Qi, L.; Cui, J.A. A schistosomiasis model with praziquantel resistance. Discret. Dyn. Nat. Soc. 2013, 2013, 1–13. [Google Scholar] [CrossRef]
  39. Qi, L.; Xue, M.; Cui, J.A. Schistosomiasis transmission model and its control in Anhui province. Bull. Math. Biol. 2018, 80, 2435–2451. [Google Scholar] [CrossRef]
  40. Castillo-Chavez, C.; Feng, Z.L.; Huang, W.Z. On the computation of R0 and its role in global stability. In Mathematical Approaches for Emerging and Re-Emerging Infection Diseases: An Introduction; The IMA Volumes in Mathematics and Its Applications; Springer: New York, NY, USA, 2002; Volume 125, pp. 31–65. [Google Scholar]
  41. Diekmann, O.; Heesterbeek, J.A.P.; Metz, J.A.J. On the definition and the computation of the basic reproduction ratio R0 in models for infectious-diseases in heterogeneous populations. J. Math. Biol. 1990, 28, 365–382. [Google Scholar] [CrossRef]
  42. Dreessche, P.; Watmough, J. Reproduction mumbers and sub-threshold endemic equilibria for compartmental models of disease transmission. Math. Biosci. 2002, 180, 29–48. [Google Scholar] [CrossRef]
  43. Kamgang, J.C.; Sallet, G. Computation of threshold conditions for epidemiological models and global stability of the disease-free equilibrium (DFE). Math. Biosci. 2008, 213, 1–12. [Google Scholar] [CrossRef]
  44. Chicone, C. Stability theory of ordinary differential equations. In Encyclopedia of Complexity and Systems Science; Springer: Cham, Switzerland, 2014. [Google Scholar]
  45. Rado, A. Stability of dynamical systems. Differ. Equ. 2004, 40, 1096–1105. [Google Scholar] [CrossRef]
  46. Lasalle, J.P. Stability theory for ordinary differential equations. J. Differ. Equ. 1968, 4, 57–65. [Google Scholar] [CrossRef]
  47. Kumar, A.; Srivastava, P.K.; Gupta, R.P. Nonlinear dynamics of infectious diseases via information-induced vaccination and saturated treatment. Math. Comput. Simul. 2019, 157, 77–99. [Google Scholar] [CrossRef]
  48. Li, H.L.; Zhang, L.; Teng, Z.D.; Jiang, Y.L.; Muhammadhaji, A. Global stability of an SI epidemic model with feedback controls in a patchy environment. Appl. Math. Comput. 2018, 321, 372–384. [Google Scholar] [CrossRef]
  49. Lahrouz, A.; Kiouach, D.; Omari, L. Global analysis of a deterministic and stochastic nonlinear SIRS epidemic model. Nonlinear Anal. Model. Control 2011, 1, 59–76. [Google Scholar] [CrossRef]
  50. LaSalle, J.P. The stability of dynamical systems. Soc. Ind. Appl. Math. 1976, 27, 1121–1130. [Google Scholar] [CrossRef]
  51. Marino, S.; Hogue, I.B.; Ray, C.J.; Kirschner, D.E. A methodology for performing global uncertainty and sensitivity analysis in systems biology. J. Theor. Biol. 2009, 254, 178–196. [Google Scholar] [CrossRef] [PubMed]
  52. Yan, Q.; Tang, S.; Gabriele, S.; Wu, J. Media coverage and hospital notifications: Correlation analysis and optimal media impact duration to manage a pandemic. J. Theor. Biol. 2016, 390, 1–13. [Google Scholar] [CrossRef]
  53. Xiao, Y.; Tang, S.; Wu, J. Media impact switching surface during an infectious disease outbreak. Sci. Rep. 2015, 5, 7838. [Google Scholar] [CrossRef]
  54. Tang, S.; Xiao, Y.; Yuan, L.; Cheke, R.A.; Wu, J. Campus quarantine (Fengxiao) for curbing emergent infectious diseases: Lessons from mitigating A/H1N1 in Xi’an, China. J. Theor. Biol. 2012, 295, 47–58. [Google Scholar] [CrossRef]
  55. Zhao, Y.; Li, M.; Yuan, S. Analysis of transmission and control of tuberculosis in mainland China, 2005–2016, based on the age-structure mathematical model. Int. J. Environ. Res. Public Health 2017, 14, 1192. [Google Scholar] [CrossRef]
  56. Yan, Q.L.; Tang, S.Y.; Xiao, Y.N. Impact of individual behaviour change on the spread of emerging infectious diseases. Stat. Med. 2018, 37, 948–952. [Google Scholar] [CrossRef] [PubMed]
  57. Wang, X.; Tang, S.; Wu, J.; Xiao, Y.; Cheke, R.A. A combination of climatic conditions determines major within-season dengue outbreaks in Guangdong province, China. Parasites Vectors 2019, 12, 1–10. [Google Scholar] [CrossRef] [PubMed]
Disclaimer/Publisher’s Note: The statements, opinions and data contained in all publications are solely those of the individual author(s) and contributor(s) and not of MDPI and/or the editor(s). MDPI and/or the editor(s) disclaim responsibility for any injury to people or property resulting from any ideas, methods, instructions or products referred to in the content.

Article Metrics

Citations

Article Access Statistics

Multiple requests from the same IP address are counted as one view.