Next Article in Journal
On Certain Classes of Multivalent Analytic Functions Defined with Higher-Order Derivatives
Previous Article in Journal
Intelligent Management of Enterprise Business Processes
 
 
Font Type:
Arial Georgia Verdana
Font Size:
Aa Aa Aa
Line Spacing:
Column Width:
Background:
Article

Dynamics of a Hybrid HIV/AIDS Model with Age-Structured, Self-Protection and Media Coverage

College of Mathematics and System Sciences, Xinjiang University, Urumqi 830017, China
*
Author to whom correspondence should be addressed.
Mathematics 2023, 11(1), 82; https://doi.org/10.3390/math11010082
Submission received: 5 December 2022 / Revised: 20 December 2022 / Accepted: 22 December 2022 / Published: 25 December 2022
(This article belongs to the Section E3: Mathematical Biology)

Abstract

Taking into account the effects of the heterogeneity of the population and media coverage on disease transmission, in this paper, a hybrid HIV/AIDS model with age-structure, self-protection awareness and media coverage is formulated, which is made up of five partial differential equations (PDEs) and one ordinary differential equation (ODE). We establish the existence of the solution associated with the hybrid system and prove that the solution is unique, bounded and positive utilizing the semigroup approach. Based on the basic reproduction number R 0 , the threshold dynamics of this model are rigorously investigated, that is, there always is a unique disease-free steady state E 0 and it is globally stable when R 0 < 1 , that is, the disease dies out. Further, there exists a unique endemic steady state E * and it is locally stable when R 0 > 1 and some additional technical conditions are met. In addition, the uniform persistence of this hybrid system is demonstrated for R 0 > 1 , which means that the disease remains at the endemic level for a long time, which is not discussed in other age-structured infectious disease articles. Numerical simulations are also given to explain the main theoretical results, which suggest that age variability is a non-negligible factor in HIV/AIDS transmission, that is, the moment and scale of HIV/AIDS outbreaks are diverse for people of different ages, and media coverage can encourage people to take steps to avoid potential infection and control the spread of the disease.

1. Introduction

Human immunodeficiency virus (HIV) is an infectious disease that attacks the body’s immune system, reducing humoral immunity and destroying the body’s ability to fight off certain infections and other diseases [1]. Research has shown that HIV is widely found in the blood, semen, vaginal secretions, saliva, urine, cerebrospinal fluid and brain tissue of the HIV-infected population. Therefore, the most common mode of transmission is sexual intercourse with HIV-infected people, followed by mother-to-child infection, sharing drug-injecting equipment, and via contaminated blood or instruments in healthcare settings [2]. The symptoms of HIV vary depending on the stage of infection. Though people living with HIV tend to be most infectious in the first few months after being infected, many are unaware of their status until the later stages. In the first few weeks after initial infection, people may experience no symptoms or an influenza-like illness, including fever, headache, rash or sore throat. As the infection progressively weakens the immune system, they can develop other signs and symptoms, such as swollen lymph nodes, weight loss, fever, diarrhea and cough. Acquired immune deficiency syndrome (AIDS) refers to the most advanced stages of HIV infection, defined by the occurrence of any of more than 20 opportunistic infections or related cancers. By the end of 2020, there were still 1.053 million people living with HIV (PLWH), with a cumulative reported death toll of 351,000 in China, and the epidemic continues to spread. AIDS remains a primary public health problem and a major cause of death [3]. At the same time, statistics show that the proportion of heterosexual and homosexual transmission increased from 48.3 % and 9.1 % in 2009 to 74.2 % and 23.3 % in 2020, respectively, whereas the proportion of HIV transmission by injection drug user (IDU) declined substantially from 25.2 % in 2009 to less than 2.5 % in 2020 [4]. The alarming data remind us of the need to pay special attention to the mode of sexual transmission during HIV/AIDS transmission and to control it effectively.
Mathematical models have been widely used in epidemiological studies to improve the understanding of the mechanisms of the transmission of infectious diseases. The mathematical modeling of HIV/AIDS based on the dynamics of infectious diseases can be traced back to the 1980s, especially from 1986 to 1989, when Blythe, Anderson, May et al. established some HIV/AIDS transmission models in the form of ordinary differential equations based on the transmission mechanism of HIV/AIDS among gay people in Britain and the United States [5,6,7,8,9] and obtained a series of important research results, which laid a foundation for AIDS dynamic modeling. May and Anderson [10] proposed a dynamical model of the transmission of HIV/AIDS, and discussed the relationship between epidemiological parameters, such as eventual fraction infected, incubation period, mortality and heterosexual transmission rate in an epidemic of HIV and the basic reproduction number. In recent years, works on HIV/AIDS models have progressed considerably, with more factors influencing the spread of the disease being added to mathematical models. For instance, Tripathi et al. [11] proposed a non-linear mathematical model to study the effect of screening of unaware infectives on the spread of HIV/AIDS in a homogeneous population, and dynamical analysis showed that the screening of unaware infectives reduces the spread of this disease. In Refs. [12,13,14], scholars concerned about the role of education in the HIV/AIDS transmission models found that public health education campaigns can reduce the basic reproduction number to values below unity as intended for disease control and thus would succeed in eliminating this disease.
In traditional epidemic models, the assumption of homogeneity is applied to these populations in the same region, ignoring the fact that individuals in the same class may also behave differently. However, in the real world, these heterogeneities are one of the factors that contribute to the outbreak or frequency of infectious diseases. On the one hand, the spread of an infectious disease may elicit behavioral responses from susceptible people who try to protect themselves and thus reduce the impact of this disease on them. From the perspective of mathematical modeling, Funk et al. [15] developed and analyzed an epidemic model with a sense of protection, which suggested that self-protection awareness prevents the disease from developing into an epidemic in cases where the infection rate is below the threshold. Recently, epidemic models dividing susceptible individuals into those who are self-protective and those who are not have been widely discussed, see for example [16,17,18,19] and the references therein. In particular, Musa et al. [19] proposed an epidemic model to study the impact on transmission of coronavirus disease (COVID-19), and the results indicated that raising the level of awareness of the population through effective enlightenment can significantly reduce infectiousness. On the other hand, in the process of disease transmission and control, seemingly ‘healthy individuals’ who are infected can transmit the virus, i.e., asymptomatic virus carriers induce the complexity of disease transmission. Gaeta et al. [20] formulated a SIR model with a large set of asymptomatic individuals, and drew conclusions that not taking into account the presence of a large set of asymptomatic individuals would give the wrong estimate of very relevant quantities, such as the need for hospital beds and the time to the epidemic peak. Hu et al. [21] constructed a compartmental model to simulate the transmission of COVID-19 among wild animal host, human population, and the environment, in which the infected class is divided into the asymptomatic infected class and symptomatic infected class according to individual differences, and obtained the moment when the number of infected individuals increases to a peak in the human population-only model with blocking migration and environment. Similarly, considering the asymptomatic infection facilitates the rapid dissemination of COVID-19, the infected individuals are divided into asymptomatic and symptomatic, Sintunavarat et al. [22] developed a fractional-order extended SEIR model of COVID-19, and analyzed the population’s dynamics by using the fractional operator.
Chronological age is a heterogeneity characteristic of all individuals in the population and the impact on disease transmission varies greatly among people of diverse ages and infection rates for various diseases, such as HIV/AIDS, Hepatitis B (HB), pertussis and pneumococcal, which change gradually with age. Capturing this feature, the introduction of chronological age in modeling the transmission of infectious diseases has received widespread attention [23,24,25,26]. In particular, Zou et al. [27] proposed and studied an age-structured model for the transmission dynamics of Hepatitis B in which the population is stratified by age; theoretical analysis and numerical simulation results show that the optimal control strategy is a combination of immunization of newborns and retroactive immunization of susceptible adults. In [28], Wang et al. modeled an age-structured pertussis model with multiple infections during a lifetime and presented the analysis including existence and stability of steady states, and discussed the impact of three infections on the transmission of this disease. Since the elderly and young children are more susceptible to pneumococcal infections, Sutton et al. [29] studied an age-structure model of pneumococcal infection, and discussed the effects of targeting the colonization and infection stages on the age profiles of morbidity in a population.
Modern society is the era of information explosion. There is no doubt that media coverage also plays an integral role in the spread of infectious diseases. In this time, people can learn the situation about diseases from media reports, resulting in some changes in susceptible individual behaviors and a reduction in the probability and frequency contacts [30,31]. Particularly, Cui et al. [32] proposed a SEI (susceptible–exposed–infected) model to investigate the impact of media coverage for the spread and control of SARS (severe acute respiratory syndrome), in which the effective contact rate is β ( I ) = μ e m I (where I denotes the quantity of infected individuals), to describe the influence of media reports coefficient m on human behavior. In addition, some references also characterized the impact of media coverage by introducing a new state variable M to measure [33,34,35]. Zhang et al. [34] proposed and analyzed a TB (tuberculosis) model with fast and slow progression and media coverage, where media information is set up as a separate compartment. Conclusions show that media coverage can encourage people to take measures to avoid potential infections and control the spread of TB. Pawelek et al. [35] assumed that the disease transmission β was reduced by a factor e α M due to the behavior change of the public after reading tweets about influenza, where α determined how effectively the disease information could influence the transmission rate. As mentioned in [36], mass media, such as newspapers and television programs, play a critical role in disseminating information about HIV/AIDS to the general public, and health agencies use mass media to raise awareness about the disease. Enhancing collaboration between health educators and the media can be an important strategy for disseminating HIV/AIDS knowledge. Therefore, it is more relevant to consider the influence of media coverage in the HIV/AIDS transmission model.
Motivated by the above debates, we introduce a hybrid HIV/AIDS model with age-structured, self-protection and media coverage to discuss the impact of these factors on the spread of HIV/AIDS. The remainder of this paper is organized as the following. In Section 2, we briefly describe and formulate this model as a mixed PDEs-ODE system. Section 3 is devoted to the existence of the unique, bounded and positive flow associated to the hybrid system. In Section 4, the basic reproduction number R 0 is determined, and the existence of steady states is established. Section 5 and Section 6 describe the stability of steady states and the uniform persistence of the disease, respectively. The numerical simulations are conducted to explain the main results in Section 7, and a brief conclusion is provided in the last section.

2. Model Formulation and Preliminaries

The total population is divided into five classes: unprotected susceptible class, protected susceptible class, asymptomatic or undetected HIV-infectious class, symptomatic or confirmed HIV-infectious class and AIDS class. Their numbers at time t with age a are denoted by S 1 ( t , a ) , S 2 ( t , a ) , I ( t , a ) , J ( t , a ) and A ( t , a ) , respectively. Assuming a [ 0 , a ] , t 0 , where a denotes the maximal age of human. The age-dependent numbers of the total population are N ( t , a ) = S 1 ( t , a ) + S 2 ( t , a ) + I ( t , a ) + J ( t , a ) + A ( t , a ) . It is supposed that AIDS patients do not touch susceptible people due to the severity of its symptoms. Then, we take the force of infection as the separable intercohort constitutive form (see Ref. [37])
λ ( t , a ) = ψ ( a ) 0 a β 1 ( a ) I ( t , a ) + β 2 ( a ) J ( t , a ) N ( t , a ) d a ,
where β 1 ( a ) and β 2 ( a ) are the age-specific per-capita contact rate corresponding to asymptomatic infectious and symptomatic infectious, respectively; ψ ( a ) is the age-specific probability of becoming infected through contact with HIV-infected individuals of age a. Further, let M ( t ) denote the amount of media coverage, measured possibly by the time exposure to TV, internet and radio advertising for the HIV/AIDS at time t. It is assumed that positive parameter α determines how effectively the disease-related media messages can influence the infection force and the infection force λ ( t , a ) is reduced by a factor e α M ( t ) (see Refs. [34,35]), thus λ ˜ ( t , a ) = e α M ( t ) λ ( t , a ) .
The athe bove basic assumptions derive the epidemiological model for the transmission of HIV/AIDS, which can be developed by a PDEs-ODE coupled system as
t + a S 1 ( t , a ) = ρ ( a ) + λ ˜ ( t , a ) S 1 ( t , a ) μ ( a ) S 1 ( t , a ) , t + a S 2 ( t , a ) = ρ ( a ) S 1 ( t , a ) ε λ ˜ ( t , a ) S 2 ( t , a ) μ ( a ) S 2 ( t , a ) , t + a I ( t , a ) = λ ˜ ( t , a ) S 1 ( t , a ) + ε S 2 ( t , a ) κ ( a ) I ( t , a ) μ ( a ) I ( t , a ) , t + a J ( t , a ) = κ ( a ) I ( t , a ) γ ( a ) J ( t , a ) μ ( a ) J ( t , a ) , t + a A ( t , a ) = γ ( a ) J ( t , a ) μ ( a ) A ( t , a ) , d M ( t ) d t = ω 0 a ( J ( t , a ) + A ( t , a ) ) d a θ M ( t ) ,
with the boundary conditions
S 1 ( t , 0 ) = 0 a b ( a ) N ( t , a ) d a , S 2 ( t , 0 ) = I ( t , 0 ) = J ( t , 0 ) = A ( t , 0 ) = 0 ,
and the initial conditions S 1 ( 0 , a ) = P 0 ( a ) , S 2 ( 0 , a ) = Q 0 ( a ) , I ( 0 , a ) = I 0 ( a ) , J ( 0 , a ) = J 0 ( a ) , A ( 0 , a ) = A 0 ( a ) , M ( 0 ) = M 0 .
The meanings of model parameters are as follows: ε ( 0 < ε 1 ) implies that the protected susceptible individuals actively reduce contact with HIV-infected; b ( a ) and μ ( a ) are age-specific fertility and mortality which are supposed to not be affected by the disease; ρ ( a ) is the age-specific rate at which unprotected susceptible individuals become aware about the disease and take protective measures due to education; asymptomatic or undetected infected individuals become symptomatic or confirmed infected because of HIV testing at an age-specific rate κ ( a ) , and humans with symptomatic infections develop AIDS at an age-specific rate γ ( a ) ; and ω measures the amount of media coverage is proportional to the number of symptomatic or confirmed HIV-infectious and AIDS patients reported by the media and θ is the rate that message become outdated. Furthermore, according to the biological significance of model (1), the following assumptions are made for these parameters:
( A 1 )
b ( a ) L + [ 0 , a ] , μ ( a ) L l o c [ 0 , a ] , where L + [ 0 , a ] as the space of all essentially bounded and positive functions, which are Lebesgue-integrable, L l o c [ 0 , a ] as the space of all essentially bounded and positive functions which are locally Lebesgue-integrable, and 0 a μ ( a ) d a = + . b ( a ) 0 , μ ( a ) 0 for a [ 0 , a ] , and all these functions are extended by zero outside of the interval [ 0 , a ] .
( A 2 )
The non-negative initial age functions P 0 ( a ) , Q 0 ( a ) , I 0 ( a ) , J 0 ( a ) , A 0 ( a ) L + [ 0 , a ] , all age-specific parameters β 1 ( · ) , β 2 ( · ) , ψ ( · ) , ρ ( · ) , κ ( · ) , γ ( · ) belong to L + [ 0 , a ] , while α , ω and θ are positive constants.
( A 3 )
ψ ( a ) is also called the contagion rate which measures the influence of the HIV-infected class upon the susceptible class and satisfies conditions: ψ ( a ) L + [ 0 , a ] and ψ ( a ) 0 in the age interval [ 0 , a ] .
Summing up the first to the fifth equations of model (1), the total population N ( t , a ) is
t + a N ( t , a ) = μ ( a ) N ( t , a ) , N ( t , 0 ) = 0 a b ( a ) N ( t , a ) d a , N ( 0 , a ) = N 0 ( a ) = P 0 ( a ) + Q 0 ( a ) + I 0 ( a ) + J 0 ( a ) + A 0 ( a ) ,
which is the standard age-structured Mckendrick–Von Foerster equation (see Ref. [38]). Therefore, the steady state of model (2) satisfies
d N ˜ ( a ) d a = μ ( a ) N ˜ ( a ) , N ˜ ( 0 ) = 0 a b ( a ) N ˜ ( a ) d a ,
whose solution yields N ˜ ( a ) = N ˜ ( 0 ) e 0 a μ ( ξ ) d ξ . Then, it is straightforward to obtain that the net reproduction number of the population is equal to unity, i.e., 0 a b ( a ) e 0 a μ ( ξ ) d ξ d a = 1 . Solving model (2) along the characteristic curve t a = c o n s t (for more details, see Ref. [39]), one has
N ( t , a ) = N ( t a , 0 ) e 0 a μ ( ξ ) d ξ , t > a , N ( 0 , a t ) e 0 t μ ( a t + ξ ) d ξ , t a .
From 0 a μ ( a ) d a = + and the population reaching its steady state (see Ref. [40]), then
N ( t , a ) = N ( a ) = N ( 0 ) e 0 a μ ( ξ ) d ξ .
Let N ( a ) = P 0 ( a ) + Q 0 ( a ) + I 0 ( a ) + J 0 ( a ) + A 0 ( a ) ; by integrating both sides of (3) from 0 to a , one has
N ( 0 ) = 0 a P 0 ( a ) + Q 0 ( a ) + I 0 ( a ) + J 0 ( a ) + A 0 ( a ) d a 0 a e 0 a μ ( ξ ) d ξ d a .
Instead of model (1) throughout this article and working with the normalized model, we make the following transformations:
s 1 ( t , a ) = S 1 ( t , a ) N ( a ) , s 2 ( t , a ) = S 2 ( t , a ) N ( a ) , i ( t , a ) = I ( t , a ) N ( a ) , j ( t , a ) = J ( t , a ) N ( a ) , f ( t , a ) = A ( t , a ) N ( a ) ,
then model (1) becomes
t + a s 1 ( t , a ) = ρ ( a ) s 1 ( t , a ) λ ^ ( t , a ) s 1 ( t , a ) , t + a s 2 ( t , a ) = ρ ( a ) s 1 ( t , a ) ε λ ^ ( t , a ) s 2 ( t , a ) , t + a i ( t , a ) = λ ^ ( t , a ) s 1 ( t , a ) + ε s 2 ( t , a ) κ ( a ) i ( t , a ) , t + a j ( t , a ) = κ ( a ) i ( t , a ) γ ( a ) j ( t , a ) , t + a f ( t , a ) = γ ( a ) j ( t , a ) , d M ( t ) d t = ω 0 a j ( t , a ) + f ( t , a ) N ( a ) d a θ M ( t ) ,
with the boundary conditions
s 1 ( t , 0 ) = 1 , s 2 ( t , 0 ) = 0 , i ( t , 0 ) = 0 , j ( t , 0 ) = 0 , f ( t , 0 ) = 0 ,
and the initial conditions
s 1 ( 0 , a ) = P 0 ( a ) N ( a ) : = p 0 ( a ) , i ( 0 , a ) = I 0 ( a ) N ( a ) : = i 0 ( a ) , f ( 0 , a ) = A 0 ( a ) N ( a ) : = f 0 ( a ) , s 2 ( 0 , a ) = Q 0 ( a ) N ( a ) : = q 0 ( a ) , j ( 0 , a ) = J 0 ( a ) N ( a ) : = j 0 ( a ) , M ( 0 ) = M 0 ,
where
λ ^ ( t , a ) = e α M ( t ) ψ ( a ) 0 a β 1 ( a ) i ( t , a ) + β 2 ( a ) j ( t , a ) d a
Integrating the first five equations in (4) along the characteristic line t a = c o n s t , one has
s 1 ( t , a ) = p 0 ( a t ) e 0 t ρ ( a t + τ ) + λ ^ ( τ , a t + τ ) d τ , t a , e 0 a ρ ( τ ) + λ ^ ( t a + τ , τ ) d τ , t > a ,
s 2 ( t , a ) = 0 t ρ ( a t + ξ ) s 1 ( ξ , a t + ξ ) e ε ξ t λ ^ ( τ , a t + τ ) d τ d ξ + q 0 ( a t ) e ε 0 t λ ^ ( τ , a t + τ ) d τ , t a , 0 a ρ ( ξ ) s 1 ( t a + ξ , ξ ) e ε ξ a λ ^ ( t a + τ , τ ) d τ d ξ , t > a ,
i ( t , a ) = 0 t e ξ t κ ( a t + τ ) d τ λ ^ ( ξ , a t + ξ ) s 1 ( ξ , a t + ξ ) + ε s 2 ( ξ , a t + ξ ) d ξ + i 0 ( a t ) e 0 t κ ( a t + τ ) d τ , t a , 0 a λ ^ ( t a + ξ , ξ ) s 1 ( t a + ξ , ξ ) + ε s 2 ( t a + ξ , ξ ) e ξ a κ ( τ ) d τ d ξ , t > a ,
j ( t , a ) = 0 t e ξ t γ ( a t + τ ) d τ κ ( a t + ξ ) i ( ξ , a t + ξ ) d ξ + j 0 ( a t ) e 0 t γ ( a t + τ ) d τ , t a , 0 a κ ( ξ ) i ( t a + ξ , ξ ) e ξ a γ ( τ ) d τ d ξ , t > a ,
f ( t , a ) = 0 t γ ( a t + ξ ) j ( ξ , a t + ξ ) d ξ + f 0 ( a t ) , t a , 0 a γ ( ξ ) j ( t a + ξ , ξ ) d ξ , t > a .

3. Well-Posedness

Since variable M ( t ) is time-dependent only, it can be solved by using the constant variation formula, that is,
M ( t ) = M 0 e θ t + ω 0 t e θ ( t ξ ) 0 a j ( ξ , a ) + f ( ξ , a ) N ( a ) d a d ξ .
As a result, model (4) is rewritten as the following PDEs with (5) and (6),
t + a s 1 ( t , a ) = ρ ( a ) s 1 ( t , a ) λ ^ ( t , a ) s 1 ( t , a ) , t + a s 2 ( t , a ) = ρ ( a ) s 1 ( t , a ) ε λ ^ ( t , a ) s 2 ( t , a ) , t + a i ( t , a ) = λ ^ ( t , a ) s 1 ( t , a ) + ε s 2 ( t , a ) κ ( a ) i ( t , a ) , t + a j ( t , a ) = κ ( a ) i ( t , a ) γ ( a ) j ( t , a ) , t + a f ( t , a ) = γ ( a ) j ( t , a ) .
Let u = u ( t , a ) = s 1 ( t , a ) , s 2 ( t , a ) , i ( t , a ) , j ( t , a ) , f ( t , a ) , u t = u / t , u 0 = u ( 0 , a ) , h = 1 , 0 , 0 , 0 , 0 ,
L = a + ρ ( a ) 0 0 0 0 ρ ( a ) a 0 0 0 0 0 a + κ ( a ) 0 0 0 0 κ ( a ) a + γ ( a ) 0 0 0 0 γ ( a ) a , g = λ ^ ( t , a ) s 1 ( t , a ) ε λ ^ ( t , a ) s 2 ( t , a ) λ ^ ( t , a ) s 1 ( t , a ) + ε s 2 ( t , a ) 0 0 .
Thus, system (13) can be written as
u t + L u = g in [ 0 , a + ) × R + ; u = h on { 0 } × R + ; u = u 0 on [ 0 , a + ) × { t = 0 } .
In order to consider the existence and uniqueness of solution of system (14), we reinterpret (14) as the flow determined by a semigroup on Banach space X = L 1 ( 0 , a , R 5 ) with norm ϕ X = i = 1 5 ϕ i for ϕ = ( ϕ 1 , , ϕ 5 ) X , where ϕ i = 0 a ϕ i ( a ) d a . Let A : D ( A ) X X be defined by A u = L u for u D ( A ) , where D ( A ) = { Φ X Φ i W 1 , 1 ( 0 , a , R 5 ) , Φ ( 0 ) = h } , W 1 , 1 ( 0 , a , R 5 ) denotes the Sobolev space of all absolutely continuous functions on [ 0 , a ] .
Clearly, A is an unbounded linear operator on X (see Ref. [41]). Therefore, under the operation of the operator A defined above, system (14) can be formulated as a semilinear Cauchy problem on D ( A )
d Φ ( t ) d t = A Φ ( t ) + g ( Φ ( t ) , t ) , t > 0 , Φ ( 0 ) D ( A ) .
Before giving the main results, we first derive the following lemma.
Lemma 1.
If assumptions ( A 1 ) and ( A 2 ) are satisfied, then we have the following:
( i )
The operator A generates a contraction semigroup F ( t ) , t 0 on X;
( ii )
The nonlinear operator g : X × [ 0 , + ] X is continuous in t and uniformly Lipschitzian in D ( A ) .
Proof. 
Conclusion (i) can be obtained directly from Theorem 5 on page 421 in Ref. [41]. Now, we focus on conclusion (ii). It is clear that g ( · , t ) : X × [ 0 , + ] X is continuous on t for t [ 0 , ) . Let Φ 1 , Φ 2 X , where Φ 1 = ( s 11 , s 21 , i 1 , j 1 , f 1 ) ,   Φ 2 = ( s 12 , s 22 , i 2 , j 2 , f 2 ) . For t [ 0 , T ] ,
g ( Φ 1 ( t ) , t ) g ( Φ 2 ( t ) , t ) X = λ ^ s 11 s 12 ε λ ^ s 21 s 22 λ ^ s 11 s 12 + ε s 21 s 22 0 0 X 2 λ ^ s 11 s 12 + ε s 21 s 22 X 2 λ ^ X ( ε + 1 ) ( s 11 s 12 ) + ( s 21 s 22 ) + ( i 1 i 2 ) + ( j 1 j 2 ) + ( f 1 f 2 ) X = 2 λ ^ X ( ε + 1 ) Φ 1 Φ 2 X .
Hence g is uniformly Lipschitz-continuous in D ( A ) . This completes the proof. □
Regarding the existence and uniqueness of the solution of system (15), there is the following theorem.
Theorem 1.
If assumptions ( A 1 ) and ( A 2 ) are satisfied, then the Cauchy problem (15) admits a unique classical solution on [ 0 , T ] , which is given by
Φ ( t ) = F ( t ) Φ ( 0 ) + 0 t F ( t τ ) g Φ ( τ ) , τ d τ .
Proof. 
X is a Banach space and Φ ( 0 ) D ( A ) , then Lemma 1 tells us g is a Lipschitz-continuous operator from X × [ 0 , + ] into X. According to the Corollary 2.4.3 in Ref. [42], the function Φ ( t ) given by (16) is a unique classical solution to problem (15) on [ 0 , T ] . □
Next, we give some basic properties of this solution (16).
Lemma 2.
The solution Φ given by (16) is bounded.
Proof. 
Since F ( t ) , t 0 is a contraction semigroup on X, then F ( t ) 1 , t 0 . Thus, according to (16), Φ ( t ) C for all t [ 0 , T ] , where C = Φ ( 0 ) X + T sup 0 t T g ( Φ ( t ) , t ) X . The proof is completed. □
Let X + X be a positive cone of X, in other words, X + is a closed convex subset of X satisfying the following two properties: ( i ) if λ x X + , for all x X + , then λ 0 ; ( ii )   x X + and x X + , then x = 0 .
Theorem 2.
If Φ ( 0 ) X + , then Φ ( t ) X + for t [ 0 , T ] , where Φ ( t ) is the solution of (15).
Proof. 
Firstly, we show that F ( t ) , t 0 , is a positive semigroup. Since F ( t ) , t 0 is a contraction semigroup, one has ( 0 , ) ρ ( A ) , where ρ ( A ) is the resolvent set of A . For all λ > 0 , the resolvent operator R ( λ , A ) : X X can be defined by R ( λ , A ) u = ( λ I A ) 1 u , with
( λ I A ) 1 = l 1 0 0 0 0 ρ ( a ) l 1 l 2 l 2 0 0 0 0 0 l 3 0 0 0 0 κ ( a ) l 3 l 4 l 4 0 0 0 γ ( a ) κ ( a ) l 2 l 3 l 4 γ ( a ) l 2 l 4 l 2 ,
where I represents the unit matrix and
l 1 = λ + a + ρ ( a ) 1 , l 2 = λ + a 1 , l 3 = λ + a + κ ( a ) 1 , l 4 = λ + a + γ ( a ) 1 .
Thus, ( λ I A ) 1 0 , for all λ > 0 , and then A is resolvent-positive. Consequently, F ( t ) , t 0 , is a positive semigroup.
Secondly, we need to show that system (15) admits a solution Φ ( t ) X + , t [ 0 , T ] of the form (16) when Φ ( 0 ) X + . Since g is not positive on X + , we cannot claim that the solution (16) is non-negative when Φ ( 0 ) X + . Hence model (15) is written in the equivalent form
d Φ ( t ) d t = ( A σ I ) Φ ( t ) + σ I Φ ( t ) + g ( Φ ( t ) , t ) , t > 0 , Φ ( 0 ) D ( A ) ,
where σ 0 to be determined. It is clear that for each σ 0 , A σ I generates a contraction semigroup F ( t ) , t 0 . Furthermore, for each σ 0 , A σ I is resolvent-positive, namely, for all λ > 0 , ( λ I ( A σ I ) ) 1 X + X + . Consequently, F ( t ) , t 0 is a positive semigroup. It is easy to see that for any δ > 0 , there exists σ such that ( σ I + g ) ( X + A ( Φ ( 0 ) , δ ) ) X + , where A ( Φ ( 0 ) , δ ) = { Φ X : Φ Φ ( 0 ) X δ } . Then the solution corresponding to (17) is given by
Φ ( t ) = F ( t ) Φ ( 0 ) + 0 t F ( t τ ) σ I Φ ( τ ) + g ( Φ ( τ ) , τ ) d τ , 0 t T ,
and it is non-negative obviously when Φ ( 0 ) X + . The proof is completed. □
Therefore, model (4) with (5) and (6) has a unique positive global solution with respect to the positive initial conditions and can be concluded by the following theorem.
Theorem 3.
If assumptions ( A 1 ) and ( A 2 ) are satisfied, then model (4) with (5) and (6) admits a unique bounded solution on [ 0 , a ] × [ 0 , ) . This solution is positive when u 0 > 0 .
Proof. 
Theorem 1 and Lemma 2 respectively prove the existence, uniqueness, and boundedness of the solution of system (13). Theorem 2 states that the solution of system (13) is positive for u 0 > 0 . Then, from expression (12), we further have the existence, uniqueness, boundedness and positivity of M ( t ) for t [ 0 , ) . In summary, model (4) with (5) and (6) admits a unique bounded solution on [ 0 , a ] × [ 0 , ) , and this solution is positive when u 0 > 0 . □
Finally, let Y = X + × R + and define the state space for model (4) with (5) and (6) by
Ω = ( s 1 , s 2 , i , j , f , M ) Y : 0 s 1 + s 2 + i + j + f 1 , 0 M ω N ¯ θ ,
where N ¯ = 0 a N ( a ) d a denotes the total population size.

4. Existence of Steady States and Basic Reproduction Number

For the sake of brevity, define π ρ ( a ) = e 0 a ρ ( η ) d η . It is readily obtained that model (4) with (5) and (6) always has a disease-free steady state E 0 ( s 1 0 ( a ) , s 2 0 ( a ) , 0 , 0 , 0 , 0 ) , where
s 1 0 ( a ) = π ρ ( a ) , s 2 0 ( a ) = 0 a ρ ( ξ ) π ρ ( ξ ) d ξ = 1 π ρ ( a ) .
Let E * ( s 1 * ( a ) , s 2 * ( a ) , i * ( a ) , j * ( a ) , f * ( a ) , M * ) be an endemic steady state of model (4) with (5) and (6), then E * satisfies the following ODEs:
d s 1 * ( a ) d a = ρ ( a ) + λ * ( a ) s 1 * ( a ) , d s 2 * ( a ) d a = ρ ( a ) s 1 * ( a ) ε λ * ( a ) s 2 * ( a ) , d i * ( a ) d a = λ * ( a ) s 1 * ( a ) + ε s 2 * ( a ) κ ( a ) i * ( a ) , d j * ( a ) d a = κ ( a ) i * ( a ) γ ( a ) j * ( a ) , d f * ( a ) d a = γ ( a ) j * ( a ) , M * = ω θ 0 a j * ( a ) + f * ( a ) N ( a ) d a ,
with the initial value conditions s 1 * ( 0 ) = 1 , s 2 * ( 0 ) = i * ( 0 ) = j * ( 0 ) = f * ( 0 ) = 0 , where λ * ( a ) : = ψ ( a ) Λ * and Λ * = e α M * 0 a β 1 ( a ) i * ( a ) + β 2 ( a ) j * ( a ) d a is a number which depends on i * ( a ) and j * ( a ) . So by solving for (19), one has
s 1 * ( a ) = e 0 a ρ ( τ ) + Λ * ψ ( τ ) d τ , s 2 * ( a ) = 0 a ρ ( η ) e 0 η ρ ( τ ) + Λ * ψ ( τ ) d τ e η a ε Λ * ψ ( τ ) d τ d η , i * ( a ) = Λ * 0 a ψ ( x ) e x a κ ( τ ) d τ s 1 * ( x ) + ε s 2 * ( x ) d x , j * ( a ) = Λ * 0 a κ ( y ) 0 y ψ ( x ) e y a γ ( τ ) d τ e x y κ ( τ ) d τ s 1 * ( x ) + ε s 2 * ( x ) d x d y , f * ( a ) = Λ * 0 a γ ( z ) 0 z κ ( y ) 0 y ψ ( x ) e y z γ ( τ ) d τ e x y κ ( τ ) d τ s 1 * ( x ) + ε s 2 * ( x ) d x d y d z , M * = ω θ 0 a j * ( a ) + f * ( a ) N ( a ) d a .
Substituting the expression of i * ( a ) and j * ( a ) into Λ * and eliminating Λ * since Λ * 0 for the endemic steady state, then
1 = e α M * 0 a β 2 ( a ) 0 a κ ( y ) 0 y ψ ( x ) e y a γ ( τ ) d τ e x y κ ( τ ) d τ s 1 * ( x ) + ε s 2 * ( x ) d x d y d a + e α M * 0 a β 1 ( a ) 0 a ψ ( x ) e x a κ ( τ ) d τ s 1 * ( x ) + ε s 2 * ( x ) d x d a .
Symbolizing the right side of (21) by F ( Λ * ) , i.e.,
F ( Λ * ) = e α M * 0 a β 2 ( a ) 0 a κ ( y ) 0 y ψ ( x ) e y a γ ( τ ) d τ e x y κ ( τ ) d τ f ( Λ * , x ) d x d y d a + e α M * 0 a β 1 ( a ) 0 a ψ ( x ) e x a κ ( τ ) d τ f ( Λ * , x ) d x d a ,
where
f ( Λ * , x ) = s 1 * ( x ) + ε s 2 * ( x ) = e 0 x ρ ( τ ) + Λ * ψ ( τ ) d τ + 0 x ρ ( η ) e 0 η ρ ( τ ) + Λ * ψ ( τ ) d τ e η x ε Λ * ψ ( τ ) d τ d η , M * = ω θ 0 j * ( a ) + f * ( a ) N ( a ) d a .
It is clear to see that f ( Λ * , x ) is a strictly monotonically decreasing function of Λ * and so is F ( Λ * ) , and F ( Λ * ) 0 as Λ * + . Noting that the equation F ( Λ * ) = 1 has a unique positive root Λ * provided that F ( 0 ) > 1 , we define the basic reproduction number as
R 0 : = R 01 + R 02 ,
explicitly as
R 01 = 0 a β 1 ( a ) 0 a ψ ( x ) e x a κ ( τ ) d τ s 1 0 ( x ) + ε s 2 0 ( x ) d x d a , R 02 = 0 a β 2 ( a ) 0 a κ ( y ) 0 y ψ ( x ) e y a γ ( τ ) d τ e x y κ ( τ ) d τ s 1 0 ( x ) + ε s 2 0 ( x ) d x d y d a .
Thus, F ( Λ * ) = 1 has a unique positive root and then model (4) has a unique positive endemic steady state E * as long as R 0 > 1 . Now, the following result is established.
Theorem 4.
If R 0 1 , model (4) always has the disease-free steady state E 0 ( s 1 0 ( a ) , s 2 0 ( a ) , 0 , 0 , 0 , 0 ) ; if R 0 > 1 , in addition to E 0 , model (4) has a unique positive endemic steady state E * ( s 1 * ( a ) , s 2 * ( a ) , i * ( a ) , j * ( a ) , f * ( a ) , M * ) .
Remark 1.
In retrospect, ψ ( a ) is the probability of infection, κ ( a ) is the rate that asymptomatic or undetected infected individuals become symptomatic or confirmed infected. s 1 0 ( a ) and s 2 0 ( a ) are the initial unprotected and protected susceptible population size with age a, respectively. ε ( 0 < ε 1 ) implies that the protected susceptible individuals actively reduce contact with HIV-infected individuals. Thus, e x a κ ( τ ) d τ is the probability of being asymptomatic infected after the asymptomatic infection period, and
0 a ψ ( x ) probability of infection e x a κ ( τ ) d τ probability of asymptomatic infected s 1 0 ( x ) initial unprotected susceptibles d x number of asymptomatic infected individuals that one asymptomatic infected individual produces
is the number of asymptomatic infected individuals that one asymptomatic infected individual produces by infecting an unprotected susceptible individual after the asymptomatic infection period, and
0 a ψ ( x ) probability of infection e x a κ ( τ ) d τ probability of asymptomatic infected ε self preservation rate s 2 0 ( x ) initial protected susceptibles d x number of exposed individuals that one infected individual produces
represents the number of asymptomatic infected individuals that one asymptomatic infected individual produces by infecting a protected susceptible after asymptomatic infection period. Noting that β 1 ( a ) is the age-specific per capita contact rate of asymptomatic infectious, add the two expressions above, then R 01 is the average number of asymptomatic infections that one asymptomatic infected individual produces after the asymptomatic infection period.
It is found that γ ( a ) is the rate that symptomatic or detected infected develop AIDS. Thus, e x a γ ( τ ) d τ is the probability of symptomatic infected after the symptomatic infection period, and
0 a e y a γ ( τ ) d τ probability of symptomatic infected κ ( y ) rate of become symptomatic 0 y ψ ( x ) e x y κ ( τ ) d τ s 1 0 ( x ) + ε s 2 0 ( x ) d x number of asymptomatic infections d y number of asymptomatic infected individuals that one asymptomatic infected individual produces
is the number of asymptomatic infected individuals that one symptomatic infected individual produces by infecting the susceptible population after the symptomatic infection period. β 2 ( a ) is the age-specific per capita contact rate of symptomatic infectious; as a result, R 02 is the average number of asymptomatic infections that one symptomatic infected individual produces after the symptomatic infection period.
From what was discussed above, R 0 = R 01 + R 02 is the average number of asymptomatic infections that one HIV-infected individual produces after the HIV-infection period.

5. Stability Analysis of Steady States

In this section, we will discuss the local stability of the disease-free and endemic steady states, and the global stability of the disease-free steady state for model (4).

5.1. Local Stability of Disease-Free and Endemic Steady State

We establish, firstly, the local stability results associated with the disease-free steady state and endemic steady state through linearization. For any steady state ( s 1 * ( a ) , s 2 * ( a ) , i * ( a ) , j * ( a ) , f * ( a ) , M * ) of model (4), let
s ¯ 1 ( t , a ) = s 1 ( t , a ) s 1 * ( a ) , i ¯ ( t , a ) = i ( t , a ) i * ( a ) , f ¯ ( t , a ) = f ( t , a ) f * ( a ) , s ¯ 2 ( t , a ) = s 2 ( t , a ) s 2 * ( a ) , j ¯ ( t , a ) = j ( t , a ) j * ( a ) , M ¯ ( t ) = M ( t ) M * .
Then, substituting (23) into model (4) and neglecting the nonlinear terms, one obtains
t + a s ¯ 1 ( t , a ) = ρ ( a ) s ¯ 1 ( t , a ) λ * ( a ) s ¯ 1 ( t , a ) λ ¯ * ( t , a ) s 1 * ( a ) , t + a s ¯ 2 ( t , a ) = ρ ( a ) s ¯ 1 ( t , a ) ε λ * ( a ) s ¯ 2 ( t , a ) ε λ ¯ * ( t , a ) s 2 * ( a ) , t + a i ¯ ( t , a ) = λ * ( a ) s ¯ 1 ( t , a ) + ε s ¯ 2 ( t , a ) + λ ¯ * ( t , a ) s 1 * ( a ) + ε s 2 * ( a ) κ ( a ) i ¯ ( t , a ) , t + a j ¯ ( t , a ) = κ ( a ) i ¯ ( t , a ) γ ( a ) j ¯ ( t , a ) , t + a f ¯ ( t , a ) = γ ( a ) j ¯ ( t , a ) , d M ¯ ( t ) d t = ω 0 a j ¯ ( t , a ) + f ¯ ( t , a ) N ( a ) d a θ M ¯ ( t ) ,
where
λ * ( a ) = e α M * ψ ( a ) 0 a β 1 ( a ) i * ( a ) + β 2 ( a ) j * ( a ) d a , λ ¯ * ( t , a ) = e α M * ψ ( a ) 0 a β 1 ( a ) i ¯ ( t , a ) + β 2 ( a ) j ¯ ( t , a ) d a α M ( t ) λ * ( a ) ,
with boundary conditions s ¯ 1 ( t , 0 ) = s ¯ 2 ( t , 0 ) = i ¯ ( t , 0 ) = j ¯ ( t , 0 ) = f ¯ ( t , 0 ) = 0 . Let the solution of model (24) be expressed in the exponential form s ¯ 1 ( t , a ) = s ¯ 1 ( a ) e ξ t , s ¯ 2 ( t , a ) = s ¯ 2 ( a ) e ξ t , i ¯ ( t , a ) = i ¯ ( a ) e ξ t , j ¯ ( t , a ) = j ¯ ( a ) e ξ t , f ¯ ( t , a ) = f ¯ ( a ) e ξ t and M ¯ ( t ) = M ¯ e ξ t . After a substitution, s ¯ 1 ( a ) , s ¯ 2 ( a ) , i ¯ ( a ) , j ¯ ( a ) , f ¯ ( a ) , and M ¯ satisfy the following ODEs:
d s ¯ 1 ( a ) d a = ξ + ρ ( a ) + λ * ( a ) s ¯ 1 ( a ) λ ¯ ( a ) s 1 * ( a ) , d s ¯ 2 ( a ) d a = ξ + ε λ * ( a ) s ¯ 2 ( a ) + ρ ( a ) s ¯ 1 ( a ) ε λ ¯ ( a ) s 2 * ( a ) , d i ¯ ( a ) d a = ξ + κ ( a ) i ¯ ( a ) + λ * ( a ) s ¯ 1 ( a ) + ε s ¯ 2 ( a ) + λ ¯ ( a ) s 1 * ( a ) + ε s 2 * ( a ) , d j ¯ ( a ) d a = ξ + γ ( a ) j ¯ ( a ) + κ ( a ) i ¯ ( a ) , d f ¯ ( a ) d a = ξ f ¯ ( a ) + γ ( a ) j ¯ ( a ) , 0 = ω 0 a j ¯ ( a ) + f ¯ ( a ) N ( a ) d a ( ξ + θ ) M ¯ ,
with s ¯ 1 ( 0 ) = s ¯ 2 ( 0 ) = i ¯ ( 0 ) = j ¯ ( 0 ) = f ¯ ( 0 ) = 0 , where λ ¯ ( a ) : = ψ ( a ) Λ ¯ ,
Λ ¯ = e α M * 0 a β 1 ( a ) i ¯ ( a ) + β 2 ( a ) j ¯ ( a ) d a α M ¯ 0 a β 1 ( a ) i * ( a ) + β 2 ( a ) j * ( a ) d a .
By means of solving (26), we obtain
s ¯ 1 ( a ) = Λ ¯ 0 a ψ ( u ) s 1 * ( u ) e u a ξ + ρ ( τ ) + λ * ( τ ) d τ d u , s ¯ 2 ( a ) = Λ ¯ 0 a ρ ( v ) 0 v ψ ( u ) s 1 * ( u ) e u v ξ + ρ ( τ ) + λ * ( τ ) d τ d u + ε ψ ( v ) s 2 * ( v ) × e v a ξ + ε λ * ( τ ) d τ d v , i ¯ ( a ) = Λ ¯ 0 a φ ( λ * ( · ) , x , ξ ) e x a ξ + κ ( τ ) d τ d x , j ¯ ( a ) = Λ ¯ 0 a κ ( y ) 0 y φ ( λ * ( · ) , x , ξ ) e y a ξ + γ ( τ ) d τ e x y ξ + κ ( τ ) d τ d x d y , f ¯ ( a ) = Λ ¯ 0 a γ ( z ) 0 z κ ( y ) 0 y φ ( λ * ( · ) , x , ξ ) e z a ξ d τ e y z ξ + γ ( τ ) d τ e x y ξ + κ ( τ ) d τ d x d y d z , M ¯ = ω ξ + θ 0 a j ¯ ( a ) + f ¯ ( a ) N ( a ) d a ,
where
φ ( λ * ( · ) , x , ξ ) = ψ ( x ) s 1 * ( x ) + ε s 2 * ( x ) λ * ( x ) g ( λ * ( τ ) , x , ξ ) ,
and
g ( λ * ( τ ) , x , ξ ) = ε 0 x ρ ( v ) 0 v ψ ( u ) s 1 * ( u ) e u v ξ + ρ ( τ ) + λ * ( τ ) d τ d u + ε ψ ( v ) s 2 * ( v ) × e v x ξ + ε λ * ( τ ) d τ d v + 0 x ψ ( u ) s 1 * ( u ) e u x ξ + ρ ( τ ) + λ * ( τ ) d τ d u .
Substituting (27) into
Λ ¯ = e α M * 0 a β 1 ( a ) i ¯ ( a ) + β 2 ( a ) j ¯ ( a ) d a α M ¯ 0 a β 1 ( a ) i * ( a ) + β 2 ( a ) j * ( a ) d a ,
one obtains G ( λ * ( · ) , ξ ) = 1 , where
G ( λ * ( · ) , ξ ) = e α M * 0 a β 1 ( a ) 0 a φ ( λ * ( · ) , x , ξ ) e x a ξ + κ ( τ ) d τ d x d a + e α M * 0 a β 2 ( a ) 0 a κ ( y ) 0 y φ ( λ * ( · ) , x , ξ ) e y a ξ + γ ( τ ) d τ x y ξ + κ ( τ ) d τ d x d y d a Λ * α ω ξ + θ 0 a { 0 a κ ( y ) 0 y φ ( λ * ( · ) , x , ξ ) e y a ξ + γ ( τ ) d τ x y ξ + κ ( τ ) d τ d x d y + 0 a γ ( z ) 0 z κ ( y ) 0 y φ ( λ * ( · ) , x , ξ ) e z a ξ d τ y z ξ + γ ( τ ) d τ x y ξ + κ ( τ ) d τ d x d y d z } N ( a ) d a ,
and M * , s 1 * ( · ) , s 2 * ( · ) are shown in (20). Obviously, G is continuous with respect to ξ .
Now, we present the conclusion regarding the local asymptotical stability of the disease-free steady state of model (4).
Theorem 5.
The disease-free steady state E 0 ( s 1 0 ( a ) , s 2 0 ( a ) , 0 , 0 , 0 , 0 ) of model (4) is locally asymptotically stable if R 0 < 1 and unstable if R 0 > 1 .
Proof. 
For E 0 ( s 1 0 ( a ) , s 2 0 ( a ) , 0 , 0 , 0 , 0 ) , it yields from the expression (25) that λ * ( · ) = 0 . For this reason, the expression (29) for G ( λ * ( · ) , ξ ) can be simplified as G ( ξ ) : = G 0 , ξ , where
G ( ξ ) = 0 a β 2 ( a ) 0 a κ ( y ) 0 y ψ ( x ) e y a ξ + γ ( τ ) d τ x y ξ + κ ( τ ) d τ s 1 0 ( x ) + ε s 2 0 ( x ) d x d y d a + 0 a β 1 ( a ) 0 a ψ ( x ) e x a ξ + κ ( τ ) d τ s 1 0 ( x ) + ε s 2 0 ( x ) d x d a .
For ξ R , it is easy to acquire some basic properties about G ( ξ ) that
G ( ξ ) < 0 , lim ξ G ( ξ ) = + , lim ξ + G ( ξ ) = 0 , G ( 0 ) = R 0 .
Thus, if R 0 > 1 , G ( ξ ) = 1 has a positive real root for ξ . That is, E 0 is unstable for R 0 > 1 .
If R 0 < 1 , a real root ξ * of G ( ξ ) = 1 can only be negative, i.e., ξ * < 0 . Next, let ξ = u + i v ( v 0 ) be any complex root satisfying G ( ξ ) = 1 . From Re ( e ξ ) = Re ( e u + i v ) = Re [ e u ( cos v + i sin v ) ] = e u cos v e u = e Re ξ , one can obtain that
1 = Re ( G ( ξ ) ) = 0 a β 1 ( a ) 0 a ψ ( x ) Re ( e ξ ( a x ) ) e x a κ ( τ ) d τ s 1 0 ( x ) + ε s 2 0 ( x ) d x d a + 0 a β 2 ( a ) 0 a κ ( y ) 0 y ψ ( x ) Re ( e ξ ( a x ) ) e y a γ ( τ ) d τ x y κ ( τ ) d τ s 1 0 ( x ) + ε s 2 0 ( x ) d x d y d a 0 a β 1 ( a ) 0 a ψ ( x ) e ( Re ξ ) ( a x ) e x a κ ( τ ) d τ s 1 0 ( x ) + ε s 2 0 ( x ) d x d a + 0 a β 2 ( a ) 0 a κ ( y ) 0 y ψ ( x ) e ( Re ξ ) ( a x ) e y a γ ( τ ) d τ x y κ ( τ ) d τ s 1 0 ( x ) + ε s 2 0 ( x ) d x d y d a = G ( Re ξ ) .
Thus,
1 G ( Re ξ ) G ( ξ * ) G ( Re ξ ) Re ξ ξ * < 0 ,
which means that complex roots must have negative real parts. Therefore, all roots of G ( ξ ) = 1 always have a negative real part if R 0 < 1 . Thus, E 0 is locally asymptotically stable. This finishes the proof. □
Next, we turn to the local stability of E * ( s 1 * ( a ) , s 2 * ( a ) , i * ( a ) , j * ( a ) , f * ( a ) , M * ) . In this case, λ * ( · ) 0 from its expression (25). From (21) and (29), for ξ = 0 ,
G ( λ * ( · ) , 0 ) = 1 e α M * 0 a β 1 ( a ) 0 a λ * ( x ) g ( λ * ( · ) , x , 0 ) e x a κ ( τ ) d τ d x d a e α M * 0 a β 2 ( a ) 0 a κ ( y ) 0 y λ * ( x ) g ( λ * ( · ) , x , 0 ) e y a γ ( τ ) d τ x y κ ( τ ) d τ d x d y d a Λ * α ω θ 0 a { 0 a κ ( y ) 0 y φ ( λ * ( · ) , x , 0 ) e y a γ ( τ ) d τ x y κ ( τ ) d τ d x d y + 0 a γ ( z ) 0 z κ ( y ) 0 y φ ( λ * ( · ) , x , 0 ) e y z γ ( τ ) d τ x y κ ( τ ) d τ d x d y d z } N ( a ) d a ,
where, from (28) and (29)
φ ( λ * ( τ ) , x , 0 ) = ψ ( x ) s 1 * ( x ) + ε s 2 * ( x ) λ * ( x ) g ( λ * ( τ ) , x , 0 )
and
g ( λ * ( τ ) , x , 0 ) = ε 0 x ρ ( v ) 0 v ψ ( u ) s 1 * ( u ) e u v ρ ( τ ) + λ * ( τ ) d τ d u + ε ψ ( v ) s 2 * ( v ) × e v x ε λ * ( τ ) d τ d v + 0 x ψ ( u ) s 1 * ( u ) e u x ρ ( τ ) + λ * ( τ ) d τ d u .
Before the local stability of the endemic steady state is given, the following lemma is proposed.
Lemma 3.
If φ ( λ * ( τ ) , x , ξ ) 0 for all 0 u v x a , then G λ * ( · ) , 0 < 1 and G λ * ( · ) , ξ < H ( ξ ) , where
H ( ξ ) = e α M * 0 a β 2 ( a ) 0 a κ ( y ) 0 y ψ ( x ) e y a ξ + γ ( τ ) d τ x y ξ + κ ( τ ) d τ s 1 * ( x ) + ε s 2 * ( x ) d x d y d a + e α M * 0 a β 1 ( a ) 0 a ψ ( x ) e x a ξ + κ ( τ ) d τ s 1 * ( x ) + ε s 2 * ( x ) d x d a .
Proof. 
G λ * ( · ) , 0 < 1 can be obtained directly from (30) if φ ( λ * ( τ ) , b , 0 ) 0 , and G λ * ( · ) , ξ < H ( ξ ) from expression of G λ * ( · ) , ξ for λ * ( · ) 0 if φ ( λ * ( τ ) , x , ξ ) 0 . □
Theorem 6.
Under Lemma 3, the endemic steady state E * ( s 1 * ( a ) , s 2 * ( a ) , i * ( a ) , j * ( a ) , f * ( a ) , M * ) of model (4) is locally asymptotically stable if R 0 > 1 .
Proof. 
It is clear that H ( ξ ) is decreasing with respect to ξ , then one has G λ * ( · ) , ξ < H ( ξ ) < H ( 0 ) = 1 for all Re ξ > 0 . It follows that G λ * ( · ) , ξ = 1 only happens in the region Re ξ < 0 . Thus all roots of G λ * ( · ) , ξ = 1 have negative real parts if R 0 > 1 . The proof is completed. □

5.2. Global Stability of Disease-Free Steady State

In this subsection, we investigate the global property of disease-free steady state E 0 .
Theorem 7.
The disease-free steady state E 0 ( s 1 0 ( a ) , s 2 0 ( a ) , 0 , 0 , 0 , 0 ) of model (4) is globally asymptotically stable if R 0 < 1 .
Proof. 
For global stability of the disease-free steady state, we just need to prove that the disease-free steady state E 0 is globally attractive, i.e.,
lim t s 1 ( t , a ) = s 1 0 ( a ) , lim t s 2 ( t , a ) = s 2 0 ( a ) , lim t i ( t , a ) = lim t j ( t , a ) = lim t f ( t , a ) = lim t M ( t ) = 0 ,
then it suffices to study the solution of model (4) when t > a . For this purpose, let X ( t ) = 0 a β 1 ( a ) i ( t , a ) + β 2 ( a ) j ( t , a ) d a : = L 1 + L 2 , where
L 1 = 0 t β 1 ( a ) i ( t , a ) + β 2 ( a ) j ( t , a ) d a , L 2 = t a β 1 ( a ) i ( t , a ) + β 2 ( a ) j ( t , a ) d a ,
then λ ^ ( t , a ) can be written as λ ^ ( t , a ) = e α M ( t ) ψ ( a ) X ( t ) , since λ ^ ( t , a ) 0 , by (7) and (8) we know that s 1 ( t , a ) e 0 a ρ ( τ ) d τ = s 1 0 ( a ) and s 2 ( t , a ) 0 a ρ ( ξ ) s 1 0 ( ξ ) d ξ = s 2 0 ( a ) when t > a , thus
L 1 0 t β 2 ( a ) 0 a κ ( ξ ) 0 ξ λ ^ ( t a + η , η ) s 1 0 ( η ) + ε s 2 0 ( η ) e η ξ κ ( τ ) d τ ξ a γ ( τ ) d τ d η d ξ d a + 0 t β 1 ( a ) 0 a λ ^ ( t a + ξ , ξ ) s 1 0 ( ξ ) + ε s 2 0 ( ξ ) e ξ a κ ( τ ) d τ d ξ d a 0 t β 2 ( a ) 0 a κ ( ξ ) 0 ξ ψ ( η ) X ( t a + η ) s 1 0 ( η ) + ε s 2 0 ( η ) e η ξ κ ( τ ) d τ ξ a γ ( τ ) d τ d η d ξ d a + 0 t β 1 ( a ) 0 a ψ ( ξ ) X ( t a + ξ ) s 1 0 ( ξ ) + ε s 2 0 ( ξ ) e ξ a κ ( τ ) d τ d ξ d a ,
and it is clear that L 2 t a β 1 ( τ ) + β 2 ( τ ) d τ 0 , t . Therefore,
X ( t ) t a β 1 ( τ ) + β 2 ( τ ) d τ + 0 t β 1 ( a ) 0 a ψ ( ξ ) X ( t a + ξ ) s 1 0 ( ξ ) + ε s 2 0 ( ξ ) e ξ a κ ( τ ) d τ d ξ d a + 0 t β 2 ( a ) 0 a κ ( ξ ) 0 ξ ψ ( η ) X ( t a + η ) s 1 0 ( η ) + ε s 2 0 ( η ) e η ξ κ ( τ ) d τ ξ a γ ( τ ) d τ d η d ξ d a .
Applying the superior limit on both sides of the above inequality, then
lim sup t X ( t ) R 0 lim sup t X ( t ) .
As it is supposed that R 0 < 1 , (31) holds if and only if lim sup t X ( t ) = 0 , and then lim t i ( t , a ) = 0 and lim t j ( t , a ) = 0 are acquired from the expression of X ( t ) , furthermore, lim t f ( t , a ) = 0 . Applying the fluctuation lemma on the last equation of model (4), it is not hard to see that lim t M ( t ) = 0 . According to (7), (8) and lim sup t X ( t ) = 0 , one knows that
lim t s 1 ( t , a ) = lim t e 0 a ρ ( τ ) + e α M ( t a + τ ) ψ ( τ ) X ( t a + τ ) d τ = e 0 a ρ ( τ ) d τ = s 1 0 ( a ) , lim t s 2 ( t , a ) = lim t 0 a ρ ( ξ ) s 1 ( t a + ξ , ξ ) e ε ξ a e α M ( t a + τ ) ψ ( τ ) X ( t a + τ ) d τ d ξ = 0 a ρ ( ξ ) s 1 0 ( ξ ) d ξ = s 2 0 ( a ) .
Until now, we have proved that E 0 is globally attractive. This, together with Theorem 5, completes the proof. □

6. Uniform Persistence

In this section, we discuss the uniform persistence of model (4) by using the persistence theory for an infinite dimensional dynamical system. To this end, define
a ¯ = inf a : a a κ ( u ) d u = 0 and a a γ ( u ) d u = 0 .
Since κ ( a ) , γ ( a ) L [ 0 , a ] , we have a ¯ > 0 . Furthermore, let Y ˜ = L + 1 [ 0 , a ] × L + 1 [ 0 , a ] ,
Z ˜ = ( i ( t , · ) , j ( t , · ) ) Y ˜ + : 0 a ¯ i ( t , x ) d x > 0 , or 0 a ¯ j ( t , x ) d x > 0 ,
and Z ˜ = Y ˜ \ Z ˜ , Z = L + 1 [ 0 , a ] × L + 1 [ 0 , a ] × Z ˜ × L + 1 [ 0 , a ] × R + , Z = Y \ Z .
Lemma 4.
If R 0 > 1 , then there exists a constant ϵ > 0 such that lim sup t Φ ( t , x 0 ) E 0 Y ϵ for any initial value x 0 Y .
Proof. 
Supposing that the conclusion is invalid, then there exists n sufficiently large such that lim sup t Φ ( t , x 0 ) E 0 Y < 1 / n for a x 0 Y . Therefore, there is a constant T > 0 such that for any t > T ,
s 1 0 ( · ) 1 n < s 1 ( t , · ) < s 1 0 ( · ) + 1 n , s 2 0 ( · ) 1 n < s 2 ( t , · ) < s 2 0 ( · ) + 1 n , 0 < M ( t ) < 1 n .
Further, by the comparison principle of age-dependent partial differential equations, one has i ( t , a ) > i ˇ ( t , a ) , j ( t , a ) > j ˇ ( t , a ) , f ( t , a ) > f ˇ ( t , a ) and M ( t ) > M ˇ ( t ) , where i ˇ ( t , a ) , j ˇ ( t , a ) , f ˇ ( t , a ) , M ˇ ( t ) is the solution of the following auxiliary system:
t + a i ˇ ( t , a ) = λ ˇ ( t , a ) s 1 0 ( a ) 1 n + ε s 2 0 ( a ) 1 n κ ( a ) i ˇ ( t , a ) , t + a j ˇ ( t , a ) = κ ( a ) i ˇ ( t , a ) γ ( a ) j ˇ ( t , a ) , t + a f ˇ ( t , a ) = γ ( a ) j ˇ ( t , a ) , d M ˇ ( t ) d t = ω 0 a j ˇ ( t , a ) + f ˇ ( t , a ) N ( a ) d a θ M ˇ ( t ) ,
with i ˇ ( t , 0 ) = j ˇ ( t , 0 ) = f ˇ ( t , 0 ) = 0 , i ˇ ( 0 , a ) = i 0 ( a ) , j ˇ ( 0 , a ) = j 0 ( a ) , f ˇ ( 0 , a ) = f 0 ( a ) , M ˇ ( 0 ) = M 0 , where
λ ˇ ( t , a ) = e α M ˇ ( t ) ψ ( a ) 0 a β 1 ( a ) i ˇ ( t , a ) + β 2 ( a ) j ˇ ( t , a ) d a .
Looking for a solution of system (32) of the form i ˇ ( t , a ) = i ˇ ( a ) e η t , j ˇ ( t , a ) = j ˇ ( a ) e η t , f ˇ ( t , a ) = f ˇ ( a ) e η t and M ˇ ( t ) = M ˇ e η t , where the functions i ˇ ( a ) , j ˇ ( a ) , f ˇ ( a ) will be determined later, we obtain the following linear eigenvalue problem:
d i ˇ ( a ) d a = η + κ ( a ) i ˇ ( a ) + λ ˇ 1 ( t , a ) s 1 0 ( a ) 1 n + ε s 2 0 ( a ) 1 n , d j ˇ ( a ) d a = η + γ ( a ) j ˇ ( a ) + κ ( a ) i ˇ ( a ) , d f ˇ ( a ) d a = η f ˇ ( a ) + γ ( a ) j ˇ ( a ) , 0 = ω 0 a j ˇ ( a ) + f ˇ ( a ) N ( a ) d a ( η + θ ) M ˇ , i ˇ ( 0 ) = j ˇ ( 0 ) = f ˇ ( 0 ) = 0 ,
where λ ˇ 1 ( t , a ) : = e α M ˇ ( t ) ψ ( a ) Λ ˇ and Λ ˇ = 0 a β 1 ( a ) i ˇ ( a ) + β 2 ( a ) j ˇ ( a ) d a . Solving the above system yields
i ˇ ( a ) = Λ ˇ 0 a e α M ˇ ( t ) ψ ( x ) s 1 0 ( x ) 1 n + ε s 2 0 ( x ) 1 n e x a ( η + κ ( τ ) ) d τ d x , j ˇ ( a ) = Λ ˇ 0 a κ ( y ) 0 y e α M ˇ ( t ) ψ ( x ) s 1 0 ( x ) 1 n + ε s 2 0 ( x ) 1 n × e y a ( η + γ ( τ ) ) d τ x y ( η + κ ( τ ) ) d τ d x d y , f ˇ ( a ) = Λ ˇ 0 a γ ( z ) 0 z κ ( y ) 0 y e α M ˇ ( t ) ψ ( x ) s 1 0 ( x ) 1 n + ε s 2 0 ( x ) 1 n × e z a η d τ y z ( η + γ ( τ ) ) d τ x y ( η + κ ( τ ) ) d τ d x d y d z , M ˇ = ω η + θ 0 a j ˇ ( a ) + f ˇ ( a ) N ( a ) d a .
Substituting the (33) into Λ ˇ = 0 a β 1 ( a ) i ˇ ( a ) + β 2 ( a ) j ˇ ( a ) d a and dividing both sides by Λ ˇ , we procure
1 = 0 a β 2 ( a ) 0 a κ ( y ) 0 y ψ ( x ) s 1 0 ( x ) 1 n + ε s 2 0 ( x ) 1 n × e α M ˇ ( t ) y a ( η + γ ( τ ) ) d τ x y ( η + κ ( τ ) ) d τ d x d y d a + 0 a β 1 ( a ) 0 a e α M ˇ ( t ) ψ ( x ) s 1 0 ( x ) 1 n + ε s 2 0 ( x ) 1 n e x a ( η + κ ( τ ) ) d τ d x d a ,
Taking the right end of equation (34) as K ( η ) . Clearly, lim η K ( η ) = 0 and
K ( 0 ) > 0 a β 2 ( a ) 0 a κ ( y ) 0 y e α n ψ ( x ) s 1 0 ( x ) 1 n + ε s 2 0 ( x ) 1 n e y a γ ( τ ) d τ x y κ ( τ ) d τ d x d y d a + 0 a β 1 ( a ) 0 a e α n ψ ( x ) s 1 0 ( x ) 1 n + ε s 2 0 ( x ) 1 n e x a κ ( τ ) d τ d x d a .
Since R 0 > 1 , we can choose n to be sufficiently large such that
0 a β 2 ( a ) 0 a κ ( y ) 0 y ψ ( x ) e y a γ ( τ ) d τ x y κ ( τ ) d τ s 1 0 ( x ) 1 n + ε s 2 0 ( x ) 1 n d x d y d a + 0 a β 1 ( a ) 0 a ψ ( x ) e x a κ ( τ ) d τ s 1 0 ( x ) 1 n + ε s 2 0 ( x ) 1 n d x d a > 1 .
Hence, if R 0 > 1 , K ( η ) = 1 has at least one positive root, which implies that solution ( i ˇ ( t , · ) , j ˇ ( t , · ) , f ˇ ( t , · ) , M ˇ ( t ) ) of system (32) is unbounded on t [ T , ) . Therefore, ( i ( t , · ) , j ( t , · ) , f ( t , · ) , M ( t ) ) is also unbounded on t [ T , ) , which is in conflict with the boundedness of Φ ( t , x 0 ) . The proof is completed. □
Theorem 8.
If R 0 > 1 , then there exists a constant ϵ 1 > 0 such that for any initial value x 0 X with i 0 ( · ) 0 or j 0 ( · ) 0 , the solution Φ ( t , x 0 ) of model (4) satisfies
lim inf t s 1 ( t , · ) L 1 ϵ 1 , lim inf t i ( t , · ) L 1 ϵ 1 , lim inf t f ( t , · ) L 1 ϵ 1 , lim inf t s 2 ( t , · ) L 1 ϵ 1 , lim inf t j ( t , · ) L 1 ϵ 1 , lim inf t M ( t ) ϵ 1 .
Proof. 
From the first and second equation of model (4), one has
t + a s 1 ( t , a ) ρ ( a ) s 1 ( t , a ) λ ´ ( a ) s 1 ( t , a ) , t + a s 2 ( t , a ) ρ ( a ) s 1 ( t , a ) ε λ ´ ( a ) s 2 ( t , a ) ,
with s 1 ( t , 0 ) = 1 and s 2 ( t , 0 ) = 0 , where λ ´ ( a ) = ψ ( a ) 0 a β 1 ( ζ ) + β 2 ( ζ ) d ζ . Considering the following comparison system,
t + a v 1 ( t , a ) = ρ ( a ) v 1 ( t , a ) λ ´ ( a ) v 1 ( t , a ) , t + a v 2 ( t , a ) = ρ ( a ) v 1 ( t , a ) ε λ ´ ( a ) v 2 ( t , a ) ,
with v 1 ( t , 0 ) = 1 and v 2 ( t , 0 ) = 0 , which has a globally asymptotically stable steady state
v 1 * ( a ) = e 0 a ρ ( τ ) + λ ´ ( τ ) d τ , v 2 * ( a ) = 0 a ρ ( ξ ) v 1 * ( ξ ) e ε ξ a λ ´ ( τ ) d τ d ξ .
By the comparison principle, lim inf t s 1 ( t , a ) v 1 * ( a ) , lim inf t s 2 ( t , a ) v 2 * ( a ) , and there exists a ϵ 1 such that lim inf t s 1 ( t , · ) L 1 ϵ 1 , lim inf t s 2 ( t , · ) L 1 ϵ 1 . This implies s 1 ( t , a ) and s 2 ( t , a ) in model (4) are uniformly persistent.
For any initial value x 0 Z , we have i ( t , a ) > 0 and j ( t , a ) > 0 for all t > 0 from the formulas (9) and (10). Therefore, set Z as the positive invariant set of solution semi-flow Φ ( t ) of model (4). Define the set
M = x 0 = ( p 0 ( · ) , q 0 ( · ) , i 0 ( · ) , j 0 ( · ) , f 0 ( · ) , M 0 ) Z : Φ ( t , x 0 ) Z , t 0
and M 1 = E 0 , ω ( x 0 ) be the omega limit set of Φ ( t , x 0 ) . Since Φ ( t , E 0 ) = E 0 for all t 0 , we have M 1 x 0 M ω ( x 0 ) .
Next, we prove x 0 M ω ( x 0 ) M 1 . For any x 0 M , one has 0 a ¯ i ( t , a ) d a 0 , or 0 a ¯ j ( t , a ) d a 0 for all t 0 . If 0 a ¯ i ( t , a ) d a 0 for all t 0 , then i ( t , a ) 0 for all t 0 and a 0 . Combining with
λ ^ ( t , a ) = e α M ( t ) ψ ( a ) 0 a β 1 ( a ) i ( t , a ) + β 2 ( a ) j ( t , a ) d a i ( t , a ) = 0 a λ ^ ( t a + ξ , ξ ) s 1 ( t a + ξ , ξ ) + ε s 2 ( t a + ξ , ξ ) e ξ a κ ( τ ) d τ d ξ
and the uniform persistence of s 1 ( t , a ) and s 2 ( t , a ) , we derive that j ( t , a ) 0 for all t 0 and a 0 , which yields that f ( t , a ) 0 and M ( t ) 0 . Furthermore, model (4) degrades into the following subsystem:
t + a s 1 ( t , a ) = ρ ( a ) s 1 ( t , a ) , t + a s 2 ( t , a ) = ρ ( a ) s 1 ( t , a ) ,
with s 1 ( t , 0 ) = 1 and s 2 ( t , 0 ) = 0 . It is clear from (35) that lim t s 1 ( t , a ) = s 1 0 ( a ) , lim t s 2 ( t , a ) = s 2 0 ( a ) , this shows ω ( x 0 ) = E 0 . Similarly, if 0 a ¯ j ( t , a ) d a 0 , we also get the conclusion that ω ( x 0 ) = E 0 . Therefore, we end up with x 0 M ω ( x 0 ) = M 1 . Since x 0 M ω ( x 0 ) = M 1 , one knows that all solutions of model (4) on boundary Z converge to E 0 when t . From Lemma 4, E 0 is an isolated invariant set in Y, and W s ( E 0 ) Z = , where W s ( E 0 ) = x Z : lim t Φ ( t , x ) = E 0 is the stable set of E 0 .
From the above arguments, one observes that no subset of M 1 forms a cycle in Z . By the theory of persistence for dynamical systems in Ref. [43], it follows that the uniform persistence result for model (4) is obtained. □

7. Numerical Simulations and Discussion

In this section, some numerical simulations are conducted to illustrate our theoretical analysis results as well as the influence of education campaigns and media coverage factors on the spread of HIV/AIDS by the finite difference method of characteristics through MATLAB. Considering the age heterogeneity of HIV/AIDS transmission, that is, HIV/AIDS transmission is mainly among young adults aged 20 40 (unit is y e a r ), then we assume that age-specific contagions take the form as normal distribution
β i ( a ) = β i 0 2 π σ i exp ( a 35 ) 2 2 σ i 2 , σ i > 0 , β i 0 > 0 , i = 1 , 2 ,
and fix the age-specific probability of becoming infected through contact with infectious individuals for
ψ ( a ) = ψ 0 16.8 2 π exp ( a 30 ) 2 2 × ( 16.8 ) 2 , ψ 0 > 0 .
In addition, suppose that unprotected susceptible individuals become aware about the HIV/AIDS and take protective measures only due to learning about related knowledge education in school, thus ρ ( a ) = ρ 0 a 2 exp ( 0.18 a ) , where ρ 0 > 0 . Disease progression rates, including the rate of undiagnosed individuals to confirmed κ ( a ) and the rate γ ( a ) of confirmed to AIDS, are all in the form u [ 1 + v exp ( w 2 a 2 ) ] 1 , where u ,   v , w > 0 . The images of these model parameters are given by Figure 1.
Example 1.
The global asymptotical stability of the disease-free steady state of model (4).
Model parameters are chosen as follows: ρ ( a ) = 0.058 a 2 exp ( 0.18 a ) , ε = 0.1 , ω = 0.6 , θ = 0.2 , α = 0.3 , κ ( a ) = 10 [ 1 + 25 exp ( 0 . 056 2 a 2 ) ] 1 , γ ( a ) = 4 [ 1 + 20 exp ( 0 . 039 2 a 2 ) ] 1 . Let β 1 0 = 360 , σ 1 0 = 8.5 , β 2 0 = 100 , σ 2 0 = 8.8 in the expression (36), ψ 0 = 5 in the expression (37). By numerical calculations, we obtain the basic reproduction number R 0 = 0.8878 < 1 . The plots in Figure 2a–d show the theoretical result that disease-free steady state of model (4) is globally asymptotically stable. In particular, the plots in Figure 3a show that trajectories of j ( t , a ) and f ( t , a ) at age a = 25 from different initial values all tend to zero, and Figure 3b portrays that total subpopulations 0 60 j ( t , a ) d a and 0 60 f ( t , a ) d a also tend to zero as t . In addition, the distribution of different age groups in each compartment is shown in Figure 4. The plots in Figure 4a illustrate that the majority of HIV-infected persons are young people aged 15–30 years. Figure 4b shows that AIDS patients are mostly elderly, which may be because we did not consider the mortality rate due to the disease so that all HIV-infected people survive to old age.
Example 2.
The persistence of disease, the stability of the endemic steady state of model (4).
Let κ ( a ) = 10 [ 1 + 25 exp ( 0 . 056 2 a 2 ) ] 1 , γ ( a ) = 4 [ 1 + 20 exp ( 0 . 039 2 a 2 ) ] 1 , ε = 0.3 , ω = 0.6 , θ = 0.2 , α = 0.3 , ρ ( a ) = 0.005 a 2 exp ( 0.18 a ) . Further, choose that β 1 0 = 880 , σ 1 0 = 8.5 , β 2 0 = 260 , σ 2 0 = 8.8 , ψ 0 = 5 in (36) and (37), respectively. We obtain basic reproduction number R 0 = 2.969 > 1 . The plots in Figure 5a–d show the distribution of solution ( s 1 ( t , a ) , s 2 ( t , a ) , i ( t , a ) , j ( t , a ) , f ( t , a ) ) of model (4), we can see that the moment and scale of HIV/AIDS outbreaks are diverse for people of different ages, which suggests that the age factor is not negligible in the process of HIV transmission. Further, the plots in Figure 6a show the sum-age curves 0 60 j ( t , a ) d a and 0 60 f ( t , a ) d a , which imply that the quantities of confirmed HIV-infectious individuals and AIDS individuals are at a certain level, that is, the disease will persist in the region for a long time. Further, Figure 6b shows the trajectories of j ( t , a ) and f ( t , a ) at age a = 25 ( y e a r s o l d ) from different initial values shown, which means that the endemic steady states are asymptotically stable. Further, the distributions of patients with confirmed HIV and AIDS in different age groups (15∼20, 25∼30, 35∼40, 45∼50, unit is y e a r ) are given in Figure 7a,b. Numerical simulations show that the young people (15∼20 years old) are the min force of HIV at the beginning of the disease outbreak, taking the lead in reaching the peak of the disease. Over time, these people gradually enter into other groups (25∼30 years old). Eventually, the distribution of those infected people gradually tends to be flat, and HIV becomes endemic in the region. These suggest that reducing the rate of infection in young people is one of the key factors in controlling the disease during the transmission of HIV.
Example 3.
The influence of education campaign of model (4).
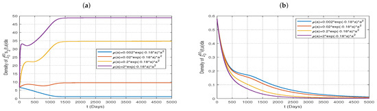
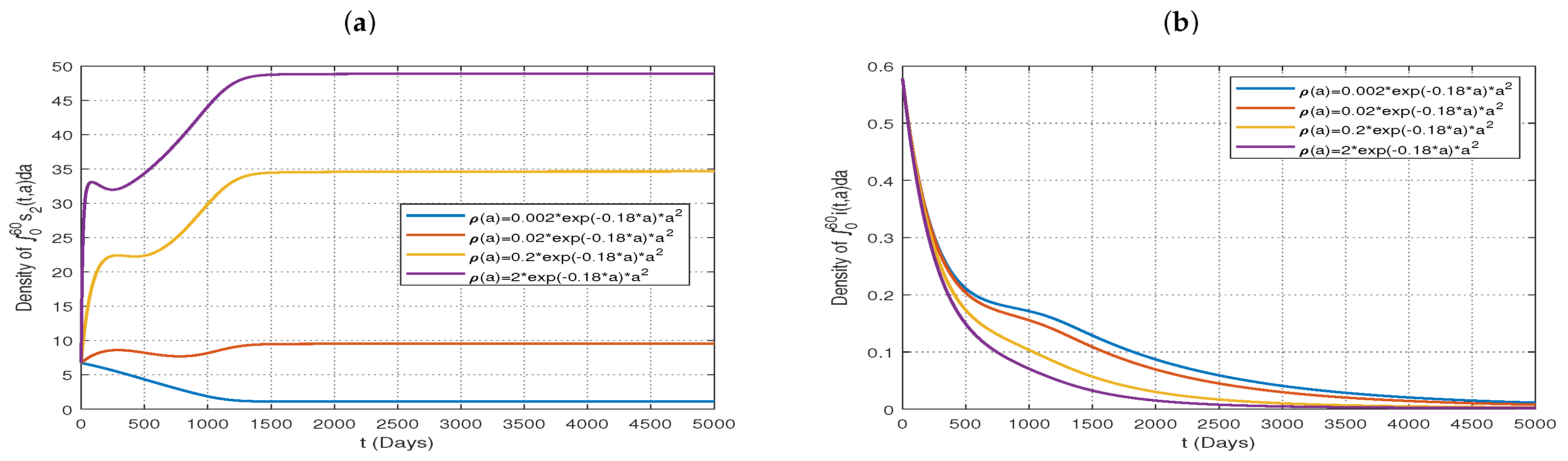
In order to evaluate the effect of education campaign on the transmission of HIV/AIDS, we choose β 1 0 = 960 , σ 1 = 8.5 , β 2 0 = 820 , σ 2 = 8.8 and ψ 0 = 5 in expressions of (36) and (37), respectively. Let ε = 0.55 , ω = 0.6 , θ = 0.2 , α = 0.3 , κ ( a ) = 10 [ 1 + 25 exp ( 0 . 056 2 a 2 ) ] 1 , γ ( a ) = 4 [ 1 + 20 exp ( 0 . 039 2 a 2 ) ] 1 , ρ ( a ) = ρ 0 exp ( 0.18 a ) a 2 . The plots in Figure 8a,b demonstrate the effect of change in cumulative distribution (that is, 0 60 s 2 ( t , a ) d a and 0 60 i ( t , a ) d a ) with ρ ( a ) for protection-aware susceptible and asymptomatic infected individuals, respectively, where, ρ 0 is chosen as 0.002 , 0.02 , 0.2 and 2.0 , respectively. Numerical simulations show that in high-risk areas of HIV outbreaks, even though the rate of disease suppression by personal protective measures is relatively small (i.e., ε = 0.55 is larger), one can achieve disease elimination by adopting a greater educational strategy (increasing the value of ρ ( a ) ) to turn the majority of unprotected susceptible individuals into those who are aware of protection.
Example 4.
The influence of media coverage of model (4).
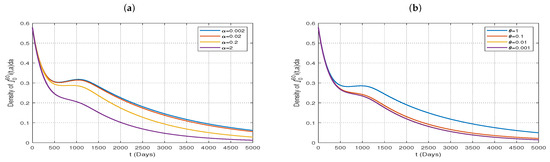
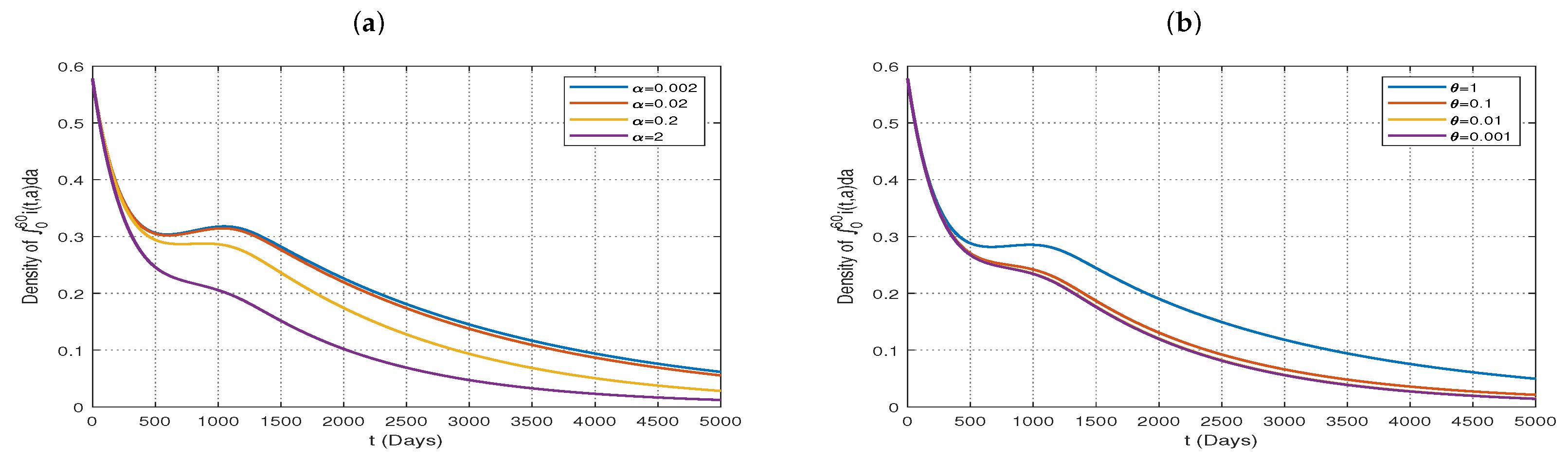
To assess the impact of media coverage on the transmission of HIV/AIDS, one chooses β 1 0 = 1290 , σ 1 = 8.5 , β 2 0 = 960 , σ 2 = 8.8 and ψ 0 = 5 in expressions of (36) and (37), respectively. Let ε = 0.35 , ρ ( a ) = 0.036 a 2 exp ( 0.18 a ) , κ ( a ) = 10 [ 1 + 25 exp ( 0 . 056 2 a 2 ) ] 1 , γ ( a ) = 4 [ 1 + 20 exp ( 0 . 039 2 a 2 ) ] 1 , ω = 0.3 . The plots in Figure 9a show that the cumulative distribution 0 60 i ( t , a ) d a of asymptomatic infected individuals decreases as the strength of the media coverage effect α increases from 0.002 , 0.02 and 0.2 to 2.0 . A similar result is obtained for the plots in Figure 9b, that is, there is a significant decrease in 1 / θ as the duration of the media effect is maintained (i.e., the rate of media effect dissipation decreased from 1, 0.1 and 0.01 to 0.001 ). Moreover, the plots in Figure 9b also show that when the duration of the media effect increases to a certain level (e.g., 1 / θ increases form 1 / 0.01 = 100 to 1 / 0.001 = 1000 ), the trend of the 0 60 i ( t , a ) d a changes negligibly. This is perhaps the phenomenon of aesthetic fatigue of the media effect. These numerical simulations also agree exactly with the theoretical results we obtained: media effect parameters α , θ and ω do not affect the value of R 0 from the expression of the basic reproduction number R 0 . More specifically, these parameters do not change the persistence and extinction of the disease, but do influence the intensity and duration of outbreaks.
Example 5.
Sensitivity of the main parameters of model (4) on the basic production number R 0 .
Finally, we discuss the sensitivity of the main parameters of model (4) to the basic reproduction number R 0 . It is not difficult to see from Figure 10a–d that ψ ( a ) , β 1 ( a ) and ε are positively correlated with R 0 , while ρ ( a ) is negatively correlated. More specifically, unprotected susceptibles receive AIDS-related education to become protective-aware, and protected susceptibles improve protective awareness and do a good job of implementing protective measures, such as the correct use of condoms, fixed sexual partners, and reducing the number of sexual partners, which can greatly reduce the basic reproduction number so as to achieve the purpose of disease control. In addition, people infected with HIV can reduce their infectivity ψ ( a ) through formal antiviral treatment, which may also be effective in controlling the epidemic.

8. Conclusions

The range of social activities and behaviors of people of different ages are completely different, which results in some age groups being at high risk for certain diseases. AIDS is a typical age-dependent infectious disease, and the specificity of its transmission route determines that biological age is one of the noteworthy factors in its transmission process [44]. For the reason that the risk from infection increases along with the chronological age of the person and different age groups interact heterogeneously, age-structured PDEs are terrific to characterize the dynamics of HIV transmission. In recent years, the increasing media coverage has not only enabled people to be aware of the infection mode and incidence of the disease, but has also changed the behavior and habits of the population, thus curbing the rate of disease transmission to a certain extent. As we all know, media coverage comprises public reports, which is not affected by age, and thus the ODE is used to describe how it changes. Most importantly, people of all ages can receive relevant information from media coverage. Based on the above factors, this paper proposes a nonlinear hybrid system to describe the spread of HIV, which consists of coupled partial differential equations and ordinary differential equation. This hybrid model not only fully takes into account the age factor in the HIV transmission process, but also takes into account the age-free nature of the cumulative density reported by the media. This is uncommon in the dynamical modeling of HIV and is one of our highlights. In addition, considering the complexity of the HIV transmission process, in this model, we classified susceptible individuals into two categories: protected and unprotected. We divided infected individuals into asymptomatic infected individuals and confirmed patients. This classification increases the complexity of the theoretical analysis, but is more in line with the characteristics of HIV transmission.
By classifying the nonlinear hybrid system as an abstract Cauchy problem, we obtain the well-posedness, that is, the existence, uniqueness and boundedness of the global positive solution of this model, which is the basis of discussing model dynamics. Further, we discuss the existence of the endemic steady state, the exact expression of the basic reproduction number R 0 , and explain the biological significance of R 0 . We also discuss the global asymptotic stability of the disease-free steady state and the local stability of the endemic steady state. Under additional conditions, the endemic steady state is locally stable. Particularly, in order to characterize the prevalence of the disease, the uniform persistence of our model is demonstrated, which is another highlight of this paper. Finally, numerical simulations are also conducted to illustrate our theoretical results, which also show that young people are the main cause of the HIV surge and that awareness of personal protection has a significant impact on the disease. Additionally, epidemic-dependent media coverage, while not eliminating the disease, can influence the peak of the outbreak. Most importantly, numerical simulations demonstrate that the timing and magnitude of HIV/AIDS outbreaks vary for different ages, confirming that age variability is a non-negligible factor in HIV transmission. If this factor is ignored in the modeling, it can overestimate or underestimate the risk of disease outbreaks. As a result, precise prevention and control measures for a certain age group cannot be determined to effectively slow down the risk of infection.
In order to analyze the effects of age factors and media reports on HIV transmission, this paper ignored the effects of population mobility, spatial heterogeneity, and viral latency on HIV transmission in model building. Establishing a model of HIV transmission with multiple factors coupled is worth further consideration in the future. For example, the spatial model needs to be used in order to understand a detailed dynamic and it is reasonable to establish a reaction–diffusion HIV/AIDS transmission model in a spatial heterogeneous environment. An age-structured HIV/AIDS transmission model with time delay is a work worthy of further study. Moreover, in recent years, fractional differential equation models have been widely used to analyze and discuss the real-world infectious disease problems [22,45], and thus a fractional order HIV/AIDS epidemic model with age structure is also something we need to consider in our future work.

Author Contributions

Conceptualization, Y.W. and L.N.; methodology, Y.W., L.H. and L.N.; software, Y.W.; validation, Y.W., L.H. and L.N.; formal analysis, Y.W. and L.N.; writing—original draft preparation, Y.W.; writing—review and editing, Y.W. and L.N. All authors have read and agreed to the published version of the manuscript.

Funding

This research was funded by the Natural Science Foundation of Xinjiang Uygur Autonomous Region (Grant Nos. 2021D01E12 and 2021D01C070), the National Natural Science Foundation of China (Grant No. 11961066).

Institutional Review Board Statement

Not applicable.

Informed Consent Statement

Not applicable.

Data Availability Statement

Not applicable.

Acknowledgments

The authors are thankful to the anonymous reviewers for their careful reading, useful comments and constructive suggestions for the improvement of the present research work. We are also thankful to the editor for his speed and cooperation.

Conflicts of Interest

The authors declare no conflict of interest.

References

  1. World Health Organization. HIV/AIDS. Available online: https://www.who.int/news-room/facts-in-pictures/detail/hiv-aids (accessed on 27 July 2022).
  2. Whiteside, A. HIV and AIDS: A Very Short Introduction; Oxford University Press: Oxford, UK, 2016. [Google Scholar]
  3. He, N. Research progress in the epidemiology of HIV/AIDS in China. China CDC Weekly 2021, 3, 1022–1030. [Google Scholar] [CrossRef] [PubMed]
  4. Gao, D.; Zou, Z.; Dong, B.; Zhang, W.; Chen, T.; Cui, W.; Ma, Y. Secular trends in HIV/AIDS mortality in China from 1990 to 2016: Gender disparities. PLoS ONE 2019, 14, e0219689. [Google Scholar] [CrossRef] [PubMed]
  5. Anderson, R.M.; Medley, G.F.; May, R.M.; Johnson, A.M. A preliminary study of the transmission dynamics of the human immunodeficiency virus(HIV), the causative agent of AIDS. Math. Med. Biol. 1986, 3, 229–263. [Google Scholar] [CrossRef] [PubMed]
  6. May, R.M.; Anderson, R.M.; Mclean, A.R. Possible demographic consequences of HIV/AIDS epidemics. I. Assuming HIV infection always leads to AIDS. Math. Biosci. 1988, 90, 475–505. [Google Scholar] [CrossRef]
  7. Blythe, S.P.; Anderson, R.M. Distributed incubation and infectious periods in models of the transmission dynamics of the human immunodeficiency virus (HIV). Math. Med. Biol. 1988, 5, 1–19. [Google Scholar] [CrossRef] [PubMed]
  8. Blythe, S.P.; Anderson, R.M. Variable infectiousness in HFV transmission models. Math. Med. Biol. 1988, 5, 181–200. [Google Scholar] [CrossRef] [PubMed]
  9. Blythe, S.P.; Anderson, R.M. Heterogenous sexual activity models of HIV transmission in male homosexual populations. Math. Med. Biol. 1988, 5, 237–260. [Google Scholar] [CrossRef]
  10. May, R.M.; Anderson, R.M. Transmission dynamics of HIV infection. Nature 1987, 326, 137–142. [Google Scholar] [CrossRef]
  11. Tripathi, A.; Naresh, R.; Sharma, D. Modeling the effect of screening of unaware infectives on the spread of HIV infection. Appl. Math. Comput. 2007, 184, 1053–1068. [Google Scholar] [CrossRef]
  12. Mukandavire, Z.; Garira, W.; Tchuenche, J.M. Modelling effects of public health educational campaigns on HIV/AIDS transmission dynamics. Appl. Math. Model. 2009, 33, 2084–2095. [Google Scholar] [CrossRef]
  13. Ostadzad, M.H.; Shahmorad, S.; Erjaee, G.H. Dynamical analysis of public health education on HIV/AIDS transmission. Math. Meth. Appl. Sci. 2014, 38, 3601–3614. [Google Scholar] [CrossRef]
  14. Ostadzad, M.H.; Shahmorad, S.; Erjaee, G.H. Study of public health education effect on spread of hiv infection in a density-dependent transmission model. Differ. Equat. Dyn. Sys. 2020, 28, 201–215. [Google Scholar] [CrossRef]
  15. Funk, S.; Gilad, E.; Watkins, C.; Jansen, V.A.A. The spread of awareness and its impact on epidemic outbreaks. Proc. Natl. Acad. Sci. USA 2009, 106, 6872–6877. [Google Scholar] [CrossRef]
  16. Funk, S.; Gilad, E.; Jansen, V.A.A. Endemic disease, awareness, and local behavioral response. J. Theor. Biol. 2010, 264, 501–509. [Google Scholar] [CrossRef] [PubMed]
  17. Samanta, S. Effects of awareness program and delay in the epidemic outbreak. Math. Meth. Appl. Sci. 2017, 40, 1679–1695. [Google Scholar] [CrossRef]
  18. Fatmawati; Khan, M.A.; Odinsyah, H.P. Fractional model of HIV transmission with awareness effect. Chaos Soliton. Fract. 2020, 138, 109967. [Google Scholar] [CrossRef]
  19. Musa, S.S.; Qureshi, S.; Zhao, S.; Yusuf, A.; Mustapha, U.T.; He, D. Mathematical modeling of COVID-19 epidemic with effect of awareness programs. Infect. Dis. Model. 2021, 6, 448–460. [Google Scholar] [CrossRef]
  20. Gaeta, G. A simple SIR model with a large set of asymptomatic infectives. Math. Eng. 2020, 3, 1–39. [Google Scholar] [CrossRef]
  21. Hu, L.; Nie, L.F. Dynamic modeling and analysis of COVID-19 in different transmission process and control strategies. Math. Meth. Appl. Sci. 2021, 44, 1409–1422. [Google Scholar] [CrossRef]
  22. Sintunavarat, W.; Turab, A. Mathematical analysis of an extended SEIR model of COVID-19 using the ABC-fractional operator. Math. Comput. Simulat. 2022, 198, 65–84. [Google Scholar] [CrossRef]
  23. Castillo-Chavez, C.; Feng, Z. Global stability of an age-structure model for TB and its applications to optimal vaccination strategies. Math. Biosci. 1998, 151, 135–154. [Google Scholar] [CrossRef] [PubMed]
  24. Zaman, G.; Khan, A. Dynamical aspects of an age-structured SIR endemic model. Comput. Math. Appl. 2016, 72, 1690–1702. [Google Scholar] [CrossRef]
  25. Khan, A.; Zaman, G. Global analysis of an age-structured SEIR endemic model. Chaos Soliton. Fract. 2018, 108, 154–165. [Google Scholar] [CrossRef]
  26. Huang, J.; Kang, H.; Lu, M.; Ruan, S.; Zhuo, W. Stability analysis of an age-structured epidemic model with vaccination and standard incidence rate. Nonlinear Anal.-Real 2022, 66, 103525. [Google Scholar] [CrossRef]
  27. Zou, L.; Ruan, S.; Zhang, W. An age-structured model for the transmission dynamics of hepatitis B. SIAM J. Appl. Math. 2010, 70, 3121–3139. [Google Scholar] [CrossRef]
  28. Wang, X.; Shi, Y.; Cui, J.; Feng, Z. Analysis of age-structured pertussis models with multiple infections during a lifetime. J. Dyn. Differ. Equ. 2019, 31, 2145–2163. [Google Scholar] [CrossRef]
  29. Sutton, K.L.; Banks, H.T.; Castillo-Chavez, C. Public vaccination policy using an age-structured model of pneumococcal infection dynamics. J. Biol. Dynam. 2010, 4, 176–195. [Google Scholar] [CrossRef]
  30. Liu, R.; Wu, J.; Zhu, H. Media/psychological impact on multiple outbreaks of emerging infectious diseases. Comput. Math. Method. M. 2007, 8, 153–164. [Google Scholar] [CrossRef]
  31. Shi, X.; Gao, X.; Zhou, X.; Li, Y. Analysis of an SQEIAR epidemic model with media coverage and asymptomatic infection. AIMS Math. 2021, 6, 12298–12320. [Google Scholar] [CrossRef]
  32. Cui, J.; Sun, Y.; Zhu, H. The impact of media on the control of infectious diseases. J. Dyn. Differ. Equ. 2008, 20, 31–53. [Google Scholar] [CrossRef]
  33. D’Onofrio, A.; Manfredi, P. Information-related changes in contact patterns may trigger oscillations in the endemic prevalence of infectious diseases. J. Theor. Biol. 2009, 256, 473–478. [Google Scholar] [CrossRef] [PubMed]
  34. Zhang, Y.D.; Huo, H.F.; Xiang, H. Dynamics of tuberculosis with fast and slow progression and media coverage. Math. Biosci. Eng. 2019, 16, 1150–1170. [Google Scholar] [CrossRef] [PubMed]
  35. Pawelek, K.A.; Oeldorf-Hirsch, A.; Rong, L. Modeling the impact of twitter on influenza epidemics. Math. Biosci. Eng. 2014, 11, 1337–1356. [Google Scholar] [CrossRef] [PubMed]
  36. Gao, J.; Fu, H.; Lin, L.; Nehl, E.J.; Wong, F.Y.; Zheng, P. Newspaper coverage of HIV/AIDS in China from 2000 to 2010. AIDS Care. 2013, 25, 1174–1178. [Google Scholar] [CrossRef] [PubMed]
  37. Cha, Y.; Iannelli, M.; Milner, F.A. Existence and uniqueness of endemic states for the age-structured S-I-R epidemic model. Math. Biosci. 1998, 150, 177–190. [Google Scholar] [CrossRef] [PubMed]
  38. Iannelli, M.; Milner, F.A. The Basic Approach to Age-Structured Population Dynamics. Models, Methods and Numerics; Lecture Notes on Mathematical Modelling in the Life Sciences; Springer: Dordrecht, The Netherlands, 2017. [Google Scholar]
  39. Iannelli, M. Mathematical Theory of Age-Structured Population Dynamics; Giardini Editori E Stampator: Pisa, Italy, 1995. [Google Scholar]
  40. Milner, F.A.; Rabbiolo, G. Rapidly converging numerical algorithms for models of population dynamics. J. Math. Biol. 1992, 30, 733–753. [Google Scholar] [CrossRef]
  41. Evans, L.C. Partial Differential Equations, 2nd ed.; American Mathematical Society: Providence, RI, USA, 2010. [Google Scholar]
  42. Zheng, S.M. Nonlinear Evolution Equations; CRC Press LLC: Boca Raton, FL, USA, 2004. [Google Scholar]
  43. Smith, H.L.; Zhao, X.Q. Robust persistence for semidynamical systems. Nonlinear Anal. 2001, 47, 6169–6179. [Google Scholar] [CrossRef]
  44. Jia, P.; Yang, J.; Li, X. Optimal control and cost-effective analysis of an ages-tructured emerging infectious disease model. Infect. Dis. Model. 2022, 7, 149–169. [Google Scholar]
  45. Shah, K.; Ali, A.; Zeb, S.; Khan, A.; Alqudah, M.A.; Abdeljawad, T. Study of fractional order dynamics of nonlinear mathematical model. Alex. Eng. J. 2022, 61, 11211–11224. [Google Scholar] [CrossRef]
Figure 1. The images of age-dependent parameters of model (4).
Figure 1. The images of age-dependent parameters of model (4).
Mathematics 11 00082 g001
Figure 2. The distribution of solution for model (4) with the basic reproduction number R 0 = 0.8878 < 1 : (a) the distribution of s 1 ( t , a ) ; (b) the distribution of s 1 ( t , a ) ; (c) the distribution of j ( t , a ) ; (d) the distribution of f ( t , a ) .
Figure 2. The distribution of solution for model (4) with the basic reproduction number R 0 = 0.8878 < 1 : (a) the distribution of s 1 ( t , a ) ; (b) the distribution of s 1 ( t , a ) ; (c) the distribution of j ( t , a ) ; (d) the distribution of f ( t , a ) .
Mathematics 11 00082 g002
Figure 3. The global asymptotical stability of disease-free steady state of model (4) with the basic reproduction number R 0 = 0.8878 < 1 , which implies that the disease dies out: (a) the trajectories of i ( t , 25 ) and f ( t , 25 ) starting from differential values; (b) the cumulative distributions of i ( t , a ) and j ( t , a ) , that is, 0 60 i ( t , a ) d a and 0 60 f ( t , a ) d a .
Figure 3. The global asymptotical stability of disease-free steady state of model (4) with the basic reproduction number R 0 = 0.8878 < 1 , which implies that the disease dies out: (a) the trajectories of i ( t , 25 ) and f ( t , 25 ) starting from differential values; (b) the cumulative distributions of i ( t , a ) and j ( t , a ) , that is, 0 60 i ( t , a ) d a and 0 60 f ( t , a ) d a .
Mathematics 11 00082 g003
Figure 4. Solution profiles of the densities of unprotected susceptible individuals, protected susceptible individuals, symptomatic or confirmed HIV-infectious and AIDS population at age groups (unit is y e a r ) 15∼20, 25∼30, 35∼40, 45∼50, respectively when R 0 = 0.8878 < 1 : (a) the distributions of j ( t , a ) at different age groups; (b) the distributions of f ( t , a ) at different age groups.
Figure 4. Solution profiles of the densities of unprotected susceptible individuals, protected susceptible individuals, symptomatic or confirmed HIV-infectious and AIDS population at age groups (unit is y e a r ) 15∼20, 25∼30, 35∼40, 45∼50, respectively when R 0 = 0.8878 < 1 : (a) the distributions of j ( t , a ) at different age groups; (b) the distributions of f ( t , a ) at different age groups.
Mathematics 11 00082 g004
Figure 5. The distribution of solution for model (4) with the basic reproduction number R 0 = 2.969 > 1 : (a) the distribution of s 1 ( t , a ) ; (b) the distribution of s 2 ( t , a ) ; (c) the distribution of j ( t , a ) ; (d) the distribution of f ( t , a ) .
Figure 5. The distribution of solution for model (4) with the basic reproduction number R 0 = 2.969 > 1 : (a) the distribution of s 1 ( t , a ) ; (b) the distribution of s 2 ( t , a ) ; (c) the distribution of j ( t , a ) ; (d) the distribution of f ( t , a ) .
Mathematics 11 00082 g005
Figure 6. The stability of the endemic steady state of model (4) with the basic reproduction number R 0 = 2.969 > 1 , which implies that the disease is persistent: (a) the cumulative distributions of j ( t , a ) and f ( t , a ) , that is, 0 60 j ( t , a ) d a and 0 60 f ( t , a ) d a ; (b) the trajectories of i ( t , 25 ) and j ( t , 25 ) starting from differential initial values.
Figure 6. The stability of the endemic steady state of model (4) with the basic reproduction number R 0 = 2.969 > 1 , which implies that the disease is persistent: (a) the cumulative distributions of j ( t , a ) and f ( t , a ) , that is, 0 60 j ( t , a ) d a and 0 60 f ( t , a ) d a ; (b) the trajectories of i ( t , 25 ) and j ( t , 25 ) starting from differential initial values.
Mathematics 11 00082 g006
Figure 7. Solution profiles of the densities of unprotected susceptible, protected susceptible, symptomatic or confirmed HIV-infectious and AIDS population at age groups (unit is y e a r ) 15∼20, 25∼30, 35∼40, 45∼50, respectively when R 0 = 2.969 > 1 : (a) the distributions of j ( t , a ) at different age groups; (b) the distributions of f ( t , a ) at different age groups.
Figure 7. Solution profiles of the densities of unprotected susceptible, protected susceptible, symptomatic or confirmed HIV-infectious and AIDS population at age groups (unit is y e a r ) 15∼20, 25∼30, 35∼40, 45∼50, respectively when R 0 = 2.969 > 1 : (a) the distributions of j ( t , a ) at different age groups; (b) the distributions of f ( t , a ) at different age groups.
Mathematics 11 00082 g007
Figure 8. The influence of education rate ρ ( a ) on the distribution of HIV/AIDS, that is the effects of the protection-aware for susceptible and asymptomatic infected individuals: (a) the effect of ρ ( a ) for the cumulative distribution 0 60 s 2 ( t , a ) d a ; (b) the effect of ρ ( a ) for the cumulative distribution 0 60 i ( t , a ) d a .
Figure 8. The influence of education rate ρ ( a ) on the distribution of HIV/AIDS, that is the effects of the protection-aware for susceptible and asymptomatic infected individuals: (a) the effect of ρ ( a ) for the cumulative distribution 0 60 s 2 ( t , a ) d a ; (b) the effect of ρ ( a ) for the cumulative distribution 0 60 i ( t , a ) d a .
Mathematics 11 00082 g008
Figure 9. The influence of media coverage parameters α and θ on the cumulative distribution 0 60 i ( t , a ) d a of asymptomatic infected individuals: (a) the effect of α ; (b) the effect of θ .
Figure 9. The influence of media coverage parameters α and θ on the cumulative distribution 0 60 i ( t , a ) d a of asymptomatic infected individuals: (a) the effect of α ; (b) the effect of θ .
Mathematics 11 00082 g009
Figure 10. Sensitivity of the main parameters of model (4) on the basic production number R 0 : (a) the three-dimensional graph of function R 0 = R 0 ( ε , β 1 0 ) ; (b) the two-dimensional graph of function R 0 = R 0 ( ε , β 1 0 ) for some fixed β 1 0 ; (c) the two-dimensional graph of function R 0 = R 0 ( ε , ρ 0 ) for some fixed ρ 0 ; (d) the two-dimensional graph of function R 0 = R 0 ( ε , ψ 0 ) for some fixed ψ 0 .
Figure 10. Sensitivity of the main parameters of model (4) on the basic production number R 0 : (a) the three-dimensional graph of function R 0 = R 0 ( ε , β 1 0 ) ; (b) the two-dimensional graph of function R 0 = R 0 ( ε , β 1 0 ) for some fixed β 1 0 ; (c) the two-dimensional graph of function R 0 = R 0 ( ε , ρ 0 ) for some fixed ρ 0 ; (d) the two-dimensional graph of function R 0 = R 0 ( ε , ψ 0 ) for some fixed ψ 0 .
Mathematics 11 00082 g010
Disclaimer/Publisher’s Note: The statements, opinions and data contained in all publications are solely those of the individual author(s) and contributor(s) and not of MDPI and/or the editor(s). MDPI and/or the editor(s) disclaim responsibility for any injury to people or property resulting from any ideas, methods, instructions or products referred to in the content.

Share and Cite

MDPI and ACS Style

Wang, Y.; Hu, L.; Nie, L. Dynamics of a Hybrid HIV/AIDS Model with Age-Structured, Self-Protection and Media Coverage. Mathematics 2023, 11, 82. https://doi.org/10.3390/math11010082

AMA Style

Wang Y, Hu L, Nie L. Dynamics of a Hybrid HIV/AIDS Model with Age-Structured, Self-Protection and Media Coverage. Mathematics. 2023; 11(1):82. https://doi.org/10.3390/math11010082

Chicago/Turabian Style

Wang, Yaping, Lin Hu, and Linfei Nie. 2023. "Dynamics of a Hybrid HIV/AIDS Model with Age-Structured, Self-Protection and Media Coverage" Mathematics 11, no. 1: 82. https://doi.org/10.3390/math11010082

APA Style

Wang, Y., Hu, L., & Nie, L. (2023). Dynamics of a Hybrid HIV/AIDS Model with Age-Structured, Self-Protection and Media Coverage. Mathematics, 11(1), 82. https://doi.org/10.3390/math11010082

Note that from the first issue of 2016, this journal uses article numbers instead of page numbers. See further details here.

Article Metrics

Back to TopTop