Image Encryption Scheme Based on Newly Designed Chaotic Map and Parallel DNA Coding
Abstract
1. Introduction
- (1)
- A new one-dimensional chaotic system model with large chaotic range and an unbroken periodic interval is proposed.
- (2)
- A fast image encryption algorithm based on parallel DNA encoding and decoding is proposed.
- (3)
- The complex chaotic characteristics of the chaotic system model are proved by a series of complexity criteria, and the security of the proposed image encryption scheme is verified by a large number of experiments and a security analysis.
2. The Newly Designed Chaotic Map
2.1. Boundedness Analysis
- (1)
- If xn = 0 or xn = 1, then f(xn) = 0. If 0 < xn < 1, then f(xn) > 0. The fact indicates that function f(xn) has a lower bound in the domain of xn ∊ (0, 1).
- (2)
- Since ≤ 1, therefore f(xn) ≤ μ × 1/(exn + μ) < 1. This indicates that the function f(xn) has an upper bound of μ/(exn + μ) < 1 when xn ∊ (0, 1).
2.2. Fixed Point and Its Stability Analysis
2.3. The Diagram of Bifurcation and Lyapunov Exponent
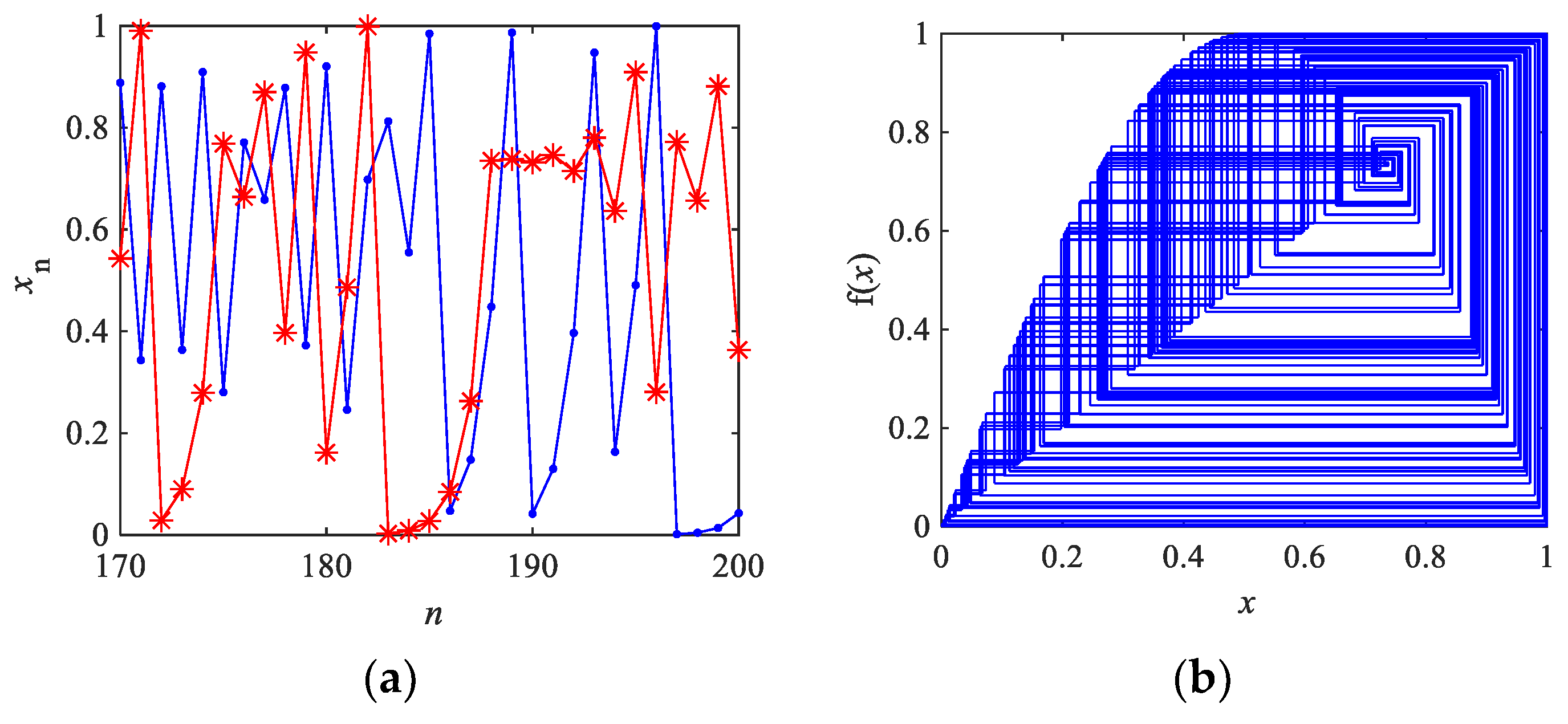
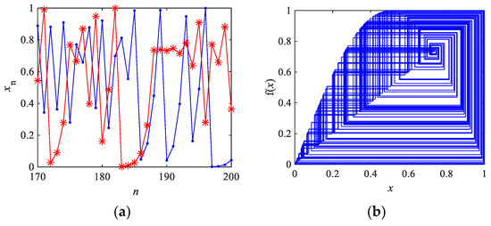
2.4. The Time-Series Diagram and Cobweb Graph
2.5. Correlation Analysis
2.6. Approximate Entropy Analysis
2.7. Correlation Dimension Analysis
2.8. NIST Test of the New Chaotic Map
3. The Proposed Image Encryption Scheme
3.1. Chaotic Secret Key Streams Generating
| Algorithm 1. Generating a chaotic sequence with length of L. |
| Input: Parameters {μ, e, x0} of chaotic system (1) and L. |
| Output: The chaotic sequence X = {X(1), X(2),..., X(L)}. |
| Step 1: X(1) ← x0. |
| Step 2: For i = 2:L, do |
| X(i) ← μ × sin(π × X(i − 1))/(e × X(i − 1) + μ); |
| End for |
| Step 3: Output the chaotic sequence X = {X(1), X(2),..., X(L)}. |
3.2. Parallel DNA Encoding
3.3. DNA Permutation
3.4. Parallel DNA Decoding
3.5. Parallel Pixel Encryption
4. Experimental Results and Security Analysis
4.1. Key Space Analysis
4.2. Histogram Analysis
4.3. Correlation Analysis
4.3.1. Correlations of Two Adjacent Pixels
4.3.2. Correlations between Original and Cipher-Images
4.4. MSE and Peak Signal-To-Noise Ratio Analysis
4.5. Information Entropy Analysis
4.6. Sensitivity Analysis
4.7. Robustness Analysis
4.8. Time Complexity Analysis
5. Conclusions
Author Contributions
Funding
Institutional Review Board Statement
Informed Consent Statement
Data Availability Statement
Conflicts of Interest
References
- Zang, H.; Tai, M.; Wei, X. Image Encryption Schemes Based on a Class of Uniformly Distributed Chaotic Systems. Mathematics 2022, 10, 1027. [Google Scholar] [CrossRef]
- Zhang, S.; Liu, L.; Xiang, H. A Novel Plain-Text Related Image Encryption Algorithm Based on LB Compound Chaotic Map. Mathematics 2021, 9, 2778. [Google Scholar] [CrossRef]
- Malik, D.S.; Shah, T. Color multiple image encryption scheme based on 3D-chaotic maps. Math. Comput. Simul. 2020, 178, 646–666. [Google Scholar] [CrossRef]
- Öztürk, İ.; Kılıç, R. Utilizing true periodic orbits in chaos-based cryptography. Nonlinear Dynam. 2021, 103, 2805–2818. [Google Scholar] [CrossRef]
- Zhu, C.X. A novel image encryption scheme based on improved hyperchaotic sequences. Opt. Commun. 2012, 285, 29–37. [Google Scholar] [CrossRef]
- Zhu, S.; Wang, G.; Zhu, C. A Secure and Fast Image Encryption Scheme based on Double Chaotic S-Boxes. Entropy 2019, 21, 790. [Google Scholar] [CrossRef] [PubMed]
- Chai, X.; Fu, J.; Gan, Z.; Lu, Y.; Zhang, Y. An image encryption scheme based on multi-objective optimization and block compressed sensing. Nonlinear Dynam. 2022, 108, 2671–2704. [Google Scholar] [CrossRef]
- Ye, G.; Liu, M.; Wu, M. Double image encryption algorithm based on compressive sensing and elliptic curve. Alex. Eng. J. 2022, 61, 6785–6795. [Google Scholar] [CrossRef]
- Ye, G.; Wu, H.; Liu, M.; Shi, Y. Image encryption scheme based on blind signature and an improved Lorenz system. Expert Syst. Appl. 2022, 205, 117709. [Google Scholar] [CrossRef]
- Liu, L.; Wang, J. A cluster of 1D quadratic chaotic map and its applications in image encryption. Math. Comput. Simul. 2023, 204, 89–114. [Google Scholar] [CrossRef]
- Zhu, H.; Ge, J.; Qi, W.; Zhang, X.; Lu, X. Dynamic analysis and image encryption application of a sinusoidal-polynomial composite chaotic system. Math. Comput. Simul. 2022, 198, 188–210. [Google Scholar] [CrossRef]
- Zhu, S.; Deng, X.; Zhang, W.; Zhu, C. A New One-Dimensional Compound Chaotic System and Its Application in High-Speed Image Encryption. Appl. Sci. 2021, 11, 11206. [Google Scholar] [CrossRef]
- Rong, X.; Jiang, D.; Zheng, M.; Yu, X.; Wang, X. Meaningful data encryption scheme based on newly designed chaotic map and P-tensor product compressive sensing in WBANs. Nonlinear Dynam. 2022, 110, 2831–2847. [Google Scholar] [CrossRef]
- Sun, K.H.; He, S.B.; He, Y.; Yin, L.Z. Complexity analysis of chaotic pseudo-random sequences based on spectral entropy algorithm. Acta Phys. Sin. 2013, 62, 010501. [Google Scholar] [CrossRef]
- Sun, K.H.; He, S.B.; Yin, L.Z.; Li-Kun, A. Application of FuzzyEn algorithm to the analysis of complexity of chaotic sequence. Acta Phys. Sin. 2012, 61, 130507. [Google Scholar]
- Wang, J.; Han, K.; Fan, S.; Zhang, Y.; Tan, H.; Jeon, G.; Pang, Y.; Lin, J. A logistic mapping-based encryption scheme for Wireless Body Area Networks. Future Gener. Comput. Syst. 2020, 110, 57–67. [Google Scholar] [CrossRef]
- Midoun, M.A.; Wang, X.; Talhaoui, M.Z. A sensitive dynamic mutual encryption system based on a new 1D chaotic map. Opt. Lasers Eng. 2021, 139, 106485. [Google Scholar] [CrossRef]
- Alawida, M.; Samsudin, A.; Sen Teh, J.; Alkhawaldeh, R.S. A new hybrid digital chaotic system with applications in image encryption. Signal Process. 2019, 160, 45–58. [Google Scholar] [CrossRef]
- Adleman, L.M. Molecular computation of solutions to combinatorial problems. Science 1994, 266, 1021–1024. [Google Scholar] [CrossRef]
- Hu, T.; Liu, Y.; Gong, L.-H.; Ouyang, C.-J. An image encryption scheme combining chaos with cycle operation for DNA sequences. Nonlinear Dynam. 2017, 87, 51–66. [Google Scholar] [CrossRef]
- Zhang, S.; Liu, L. A novel image encryption algorithm based on SPWLCM and DNA coding. Math. Comput. Simul. 2021, 190, 723–744. [Google Scholar] [CrossRef]
- Lu, Q.; Yu, L.; Zhu, C. A New Conservative Hyperchaotic System-Based Image Symmetric Encryption Scheme with DNA Coding. Symmetry 2021, 13, 2317. [Google Scholar] [CrossRef]
- Yan, X.; Wang, X.; Xian, Y. Chaotic image encryption algorithm based on arithmetic sequence scrambling model and DNA encoding operation. Multimed. Tools Appl. 2021, 80, 10949–10983. [Google Scholar] [CrossRef]
- Chai, X.; Gan, Z.; Yuan, K.; Chen, Y.; Liu, X. A novel image encryption scheme based on DNA sequence operations and chaotic systems. Neural Comput. Appl. 2019, 31, 219–237. [Google Scholar] [CrossRef]
- Hua, Z.; Zhou, B.; Zhou, Y. Sine Chaotification Model for Enhancing Chaos and Its Hardware Implementation. IEEE Trans. Ind. Electron. 2019, 66, 1273–1284. [Google Scholar] [CrossRef]
- May, R.M. Simple mathematical models with very complicated dynamics. Nature 1976, 261, 459–467. [Google Scholar] [CrossRef]
- Zhou, Y.; Bao, L.; Chen, C.L.P. A new 1D chaotic system for image encryption. Signal Process. 2014, 97, 172–182. [Google Scholar] [CrossRef]
- Ma, Y.; Li, C.; Ou, B. Cryptanalysis of an image block encryption algorithm based on chaotic maps. J. Inf. Secur. Appl. 2020, 54, 102566. [Google Scholar] [CrossRef]
- Alvarez, G.; Li, S. Some basic cryptographic requirements for chaos-based cryptosystems. Int. J. Bifurc. Chaos 2006, 16, 2129–2151. [Google Scholar] [CrossRef]
- Elghandour, A.N.; Salah, A.M.; Elmasry, Y.A.; Karawia, A.A. An Image Encryption Algorithm Based on Bisection Method and One-Dimensional Piecewise Chaotic Map. IEEE Access 2021, 9, 43411–43421. [Google Scholar] [CrossRef]
- Lu, Q.; Yu, L.; Zhu, C. Symmetric Image Encryption Algorithm Based on a New Product Trigonometric Chaotic Map. Symmetry 2022, 14, 373. [Google Scholar] [CrossRef]
- Stoyanov, B.; Kordov, K. Image Encryption Using Chebyshev Map and Rotation Equation. Entropy 2015, 17, 2117–2139. [Google Scholar] [CrossRef]
- Es-Sabry, M.; El Akkad, N.; Merras, M.; Saaidi, A.; Satori, K. A new image encryption algorithm using random numbers generation of two matrices and bit-shift operators. Soft Comput. 2019, 24, 3829–3848. [Google Scholar] [CrossRef]

















| NNIST Statistical Test Item | p-Value | Pass Rate | Results |
|---|---|---|---|
| Frequency (monobit) | 0.867692 | 99/100 | Pass |
| Block Frequency (m = 128) | 0.122325 | 99/100 | Pass |
| Cumulative Sums (Forward) | 0.319084 | 100/100 | Pass |
| Cumulative Sums (Reverse) | 0.224821 | 99/100 | Pass |
| Runs | 0.181557 | 96/100 | Pass |
| Longest Run of Ones | 0.419021 | 99/100 | Pass |
| Rank | 0.637119 | 99/100 | Pass |
| FFT | 0.289667 | 99/100 | Pass |
| Non-Overlapping Templates (m = 9, B = 000000011) | 0.014550 | 97/100 | Pass |
| Overlapping Templates (m = 9) | 0.030806 | 99/100 | Pass |
| Universal | 0.437274 | 99/100 | Pass |
| Approximate Entropy (m = 10) | 0.935716 | 100/100 | Pass |
| Random-Excursions (X = 4) | 0.022503 | 65/66 | Pass |
| Random-Excursions Variant (X = −9) | 0.671779 | 66/66 | Pass |
| Serial Test 1 (m = 16) | 0.019188 | 98/100 | Pass |
| Serial Test 2 (m = 16) | 0.719747 | 100/100 | Pass |
| Linear Complexity | 0.334538 | 99/100 | Pass |
| Digitals\Rules | 1 | 2 | 3 | 4 | 5 | 6 | 7 | 8 |
|---|---|---|---|---|---|---|---|---|
| 00 | A | A | G | C | G | C | T | T |
| 01 | G | C | A | A | T | T | G | C |
| 10 | C | G | T | T | A | A | C | G |
| 11 | T | T | C | G | C | G | A | A |
| Images | Original Image | This Work | Ref. [30] | Ref. [31] |
|---|---|---|---|---|
| Lena(256 × 256) | 3.0666 × 104 | 223.2891 | 230.1484 | 217.8984 |
| Cameraman(256 × 256) | 1.1097 × 105 | 239.4844 | 234.3047 | 219.4609 |
| Lena(512 × 512) | 1.5802 × 105 | 248.8750 | 239.7539 | 249.7266 |
| Cameraman(512 × 512) | 4.1853 × 105 | 271.9883 | 278.0410 | 261.8965 |
| Barbara(512 × 512) | 1.4410 × 105 | 239.5566 | 253.9297 | 227.0996 |
| Mandrill(512 × 512) | 1.8760 × 105 | 244.7559 | 245.0137 | 241.0781 |
| Algorithm | Image Name | Horizontal | Vertical | Diagonal |
|---|---|---|---|---|
| This work | 5.1.10 | 0.0090266 | −0.0059255 | 0.0055227 |
| Ref. [32] | 5.1.10 | −0.002971 | −0.000897 | 0.003682 |
| Ref. [23] | 5.1.10 | −0.007100 | 0.008500 | 0.000200 |
| This work | 5.1.11 | 0.0042465 | −0.0074077 | −0.0045656 |
| Ref. [32] | 5.1.11 | 0.001757 | −0.010444 | 0.001124 |
| Ref. [23] | 5.1.11 | −0.004800 | −0.001700 | 0.006800 |
| This work | 5.1.12 | −0.0041533 | −0.0011927 | 0.0044498 |
| Ref. [32] | 5.1.12 | 0.009575 | −0.002502 | −0.000582 |
| Ref. [23] | 5.1.12 | 0.005500 | −0.004900 | 0.000100 |
| This work | 5.1.13 | 0.00088813 | 0.00060857 | 0.004348 |
| Ref. [32] | 5.1.13 | 0.000347 | 0.004691 | −0.009999 |
| Ref. [23] | 5.1.13 | 0.003800 | 0.002500 | 0.003200 |
| This work | 5.1.14 | −0.0029507 | −0.00010549 | −0.0016555 |
| Ref. [32] | 5.1.14 | 0.008773 | −0.011971 | 0.000220 |
| Ref. [23] | 5.1.14 | 0.000400 | 0.000400 | 0.001200 |
| This work | 5.2.08 | 0.0011946 | 0.0013694 | 0.0010658 |
| Ref. [32] | 5.2.08 | −0.002389 | −0.003528 | −0.003059 |
| Ref. [23] | 5.2.08 | 0.004100 | 0.001400 | 0.000054 |
| This work | 5.2.09 | −0.0019694 | 0.00042113 | 0.0015425 |
| Ref. [32] | 5.2.09 | 0.000783 | −0.003316 | −0.000207 |
| Ref. [23] | 5.2.09 | −0.001700 | −0.001800 | −0.001900 |
| This work | 5.2.10 | −0.001072 | −0.0014797 | 0.0051372 |
| Ref. [32] | 5.2.10 | −0.006168 | −0.007614 | 0.000369 |
| Ref. [23] | 5.2.10 | 0.000007 | 0.002100 | 0.001200 |
| This work | 7.1.01 | 0.0024507 | −0.0021272 | −0.0019601 |
| Ref. [32] | 7.1.01 | −0.002843 | 0.000667 | 0.004116 |
| Ref. [23] | 7.1.01 | −0.000100 | 0.001300 | −0.001300 |
| This work | 7.1.02 | −0.001142 | −6.4625 × 10−5 | 0.0026359 |
| Ref. [32] | 7.1.02 | −0.003666 | −0.001386 | −0.001295 |
| Ref. [23] | 7.1.02 | 0.000900 | 0.001600 | 0.005700 |
| This work | 7.1.03 | 0.0015743 | 0.0024114 | −4.7521 × 10−5 |
| Ref. [32] | 7.1.03 | −0.002931 | −0.004124 | 0.003147 |
| Ref. [23] | 7.1.03 | 0.000100 | 0.000200 | 0.003100 |
| This work | 7.1.04 | −0.001451 | −4.903 × 10−5 | 0.0035602 |
| Ref. [32] | 7.1.04 | −0.004028 | −0.001065 | −0.000901 |
| Ref. [23] | 7.1.04 | −0.001400 | 0.000811 | −0.003100 |
| This work | 7.1.05 | −0.005103 | 0.0019053 | 0.0020445 |
| Ref. [32] | 7.1.05 | 0.001735 | −0.003046 | −0.002081 |
| Ref. [23] | 7.1.05 | −0.002400 | −0.000700 | 0.003400 |
| This work | 7.1.06 | −0.00022585 | 0.0040692 | 0.003082 |
| Ref. [32] | 7.1.06 | −0.001395 | −0.003363 | −0.001516 |
| Ref. [23] | 7.1.06 | 0.000832 | 0.001700 | 0.001800 |
| This work | 7.1.07 | −0.0012256 | −0.0032455 | −0.0044288 |
| Ref. [32] | 7.1.07 | −0.000608 | 0.000682 | −0.000090 |
| Ref. [23] | 7.1.07 | 0.003900 | 0.002100 | 0.002500 |
| This work | 5.3.01 | −6.562 × 10−5 | −3.2479 × 10−5 | −0.0013003 |
| Ref. [32] | 5.3.01 | 0.000606 | 0.000090 | 0.002417 |
| Ref. [23] | 5.3.01 | 0.000400 | 0.002600 | 0.001200 |
| This work | 5.3.02 | 0.0011262 | −0.00055271 | −0.00089431 |
| Ref. [32] | 5.3.02 | 0.000502 | 0.001669 | −0.000435 |
| Ref. [23] | 5.3.02 | −0.000377 | −0.000474 | −0.000301 |
| Images | This Paper | Ref. [5] | Ref. [1] | Ref. [33] |
|---|---|---|---|---|
| Lena | −0.0035 | 0.002851 | −0.0033 | 0.001744 |
| Baboon | −7.3104 × 10−5 | −0.006632 | 0.0020 | 0.005929 |
| Cameraman | 0.0026 | −0.003558 | −0.0025 | - |
| Pepper | −0.0046 | −0.001650 | 0.0043 | −0.001332 |
| Images | MSE | PSNR | ||||||
|---|---|---|---|---|---|---|---|---|
| Ours | Ref. [5] | Ref. [1] | Ref. [33] | Ours | Ref. [5] | Ref. [1] | Ref. [33] | |
| lena | 9072.7 | 7760.0 | 9048.1 | 8692.3 | 8.5534 | 9.2322 | 8.5652 | 8.1636 |
| baboon | 7188.3 | 7218.1 | 7200.6 | 8325.0 | 9.5645 | 9.5466 | 9.5571 | 8.9400 |
| cameraman | 9400.4 | 9466.7 | 9460.6 | - | 8.3993 | 8.3688 | 8.3716 | - |
| peppers | 8199.6 | 8202.4 | 8093.0 | 9647.4 | 8.9929 | 8.9914 | 9.0497 | 7.5889 |
| Image Name | Image Size | This Work | Ref. [18] | Ref. [23] | Ref. [32] |
|---|---|---|---|---|---|
| 5.1.10 | 256 × 256 | 7.9976948 | 7.99720 | 7.99680 | 7.99717 |
| 5.1.11 | 256 × 256 | 7.9970808 | 7.99730 | 7.99710 | 7.96999 |
| 5.1.12 | 256 × 256 | 7.9975342 | 7.99540 | 7.99730 | 7.99757 |
| 5.1.13 | 256 × 256 | 7.9971601 | 7.99630 | 7.99680 | 7.99735 |
| 5.1.14 | 256 × 256 | 7.9972009 | 7.99730 | 7.99690 | 7.99674 |
| 5.2.08 | 512 × 512 | 7.9993163 | 7.99920 | 7.99920 | 7.99934 |
| 5.2.09 | 512 × 512 | 7.9993178 | 7.99900 | 7.99940 | 7.99930 |
| 5.2.10 | 512 × 512 | 7.9992856 | 7.99870 | 7.99930 | 7.99926 |
| 7.1.01 | 512 × 512 | 7.9992931 | 7.99800 | 7.99930 | 7.99929 |
| 7.1.02 | 512 × 512 | 7.9992812 | 7.99490 | 7.99930 | 7.99931 |
| 7.1.03 | 512 × 512 | 7.9992667 | 7.99830 | 7.99940 | 7.99925 |
| 7.1.04 | 512 × 512 | 7.9992436 | 7.99850 | 7.99940 | 7.99923 |
| 7.1.05 | 512 × 512 | 7.9993051 | 7.99880 | 7.99930 | 7.99929 |
| 7.1.06 | 512 × 512 | 7.9993503 | 7.99900 | 7.99930 | 7.99933 |
| 7.1.07 | 512 × 512 | 7.9993485 | 7.99870 | 7.99910 | 7.99931 |
| 7.1.08 | 512 × 512 | 7.9993392 | 7.99880 | 7.99920 | 7.99923 |
| 7.1.09 | 512 × 512 | 7.9993272 | 7.99850 | 7.99920 | 7.99219 |
| elaine.512 | 512 × 512 | 7.9992569 | 7.99930 | 7.99930 | 7.99922 |
| 5.3.01 | 1024 × 1024 | 7.9998174 | 7.99930 | 7.99980 | 7.99983 |
| 5.3.02 | 1024 × 1024 | 7.9998495 | 7.99920 | 7.99990 | 7.99981 |
| testpat.1k | 1024 × 1024 | 7.9997892 | 7.98470 | 7.99980 | 7.99982 |
| The Proposed Method in this Paper | The Method Proposed in Ref. [5] | ||||
|---|---|---|---|---|---|
| Changes of Key | NPCR | UACI | Changes of Key | NPCR | UACI |
| Δμ = 10−15 | 99.6124 | 33.3809 | Δx0 = 10−10 | 99.6300 | 33.5100 |
| Δx01 = 10−15 | 99.6201 | 33.6414 | Δy0 = 10−10 | 99.6000 | 33.5100 |
| Δy01 = 10−15 | 99.6262 | 33.5600 | Δz0 = 10−10 | 99.6000 | 33.5000 |
| Δs01 = 10−15 | 99.6552 | 33.5363 | Δw0 = 10−10 | 99.6200 | 33.5100 |
Disclaimer/Publisher’s Note: The statements, opinions and data contained in all publications are solely those of the individual author(s) and contributor(s) and not of MDPI and/or the editor(s). MDPI and/or the editor(s) disclaim responsibility for any injury to people or property resulting from any ideas, methods, instructions or products referred to in the content. |
© 2023 by the authors. Licensee MDPI, Basel, Switzerland. This article is an open access article distributed under the terms and conditions of the Creative Commons Attribution (CC BY) license (https://creativecommons.org/licenses/by/4.0/).
Share and Cite
Zhu, S.; Deng, X.; Zhang, W.; Zhu, C. Image Encryption Scheme Based on Newly Designed Chaotic Map and Parallel DNA Coding. Mathematics 2023, 11, 231. https://doi.org/10.3390/math11010231
Zhu S, Deng X, Zhang W, Zhu C. Image Encryption Scheme Based on Newly Designed Chaotic Map and Parallel DNA Coding. Mathematics. 2023; 11(1):231. https://doi.org/10.3390/math11010231
Chicago/Turabian StyleZhu, Shenli, Xiaoheng Deng, Wendong Zhang, and Congxu Zhu. 2023. "Image Encryption Scheme Based on Newly Designed Chaotic Map and Parallel DNA Coding" Mathematics 11, no. 1: 231. https://doi.org/10.3390/math11010231
APA StyleZhu, S., Deng, X., Zhang, W., & Zhu, C. (2023). Image Encryption Scheme Based on Newly Designed Chaotic Map and Parallel DNA Coding. Mathematics, 11(1), 231. https://doi.org/10.3390/math11010231

