Sign in to use this feature.

Years

Between: -

Subjects

remove_circle_outline
remove_circle_outline
remove_circle_outline
remove_circle_outline
remove_circle_outline
remove_circle_outline
remove_circle_outline
remove_circle_outline
remove_circle_outline

Journals

remove_circle_outline
remove_circle_outline
remove_circle_outline
remove_circle_outline
remove_circle_outline
remove_circle_outline
remove_circle_outline
remove_circle_outline
remove_circle_outline
remove_circle_outline
remove_circle_outline
remove_circle_outline
remove_circle_outline

Article Types

Countries / Regions

remove_circle_outline
remove_circle_outline
remove_circle_outline
remove_circle_outline
remove_circle_outline
remove_circle_outline
remove_circle_outline

Search Results (2,086)

Search Parameters:
Keywords = chaotic system

Order results
Result details
Results per page
Select all
Export citation of selected articles as:
16 pages, 1322 KB  
Article
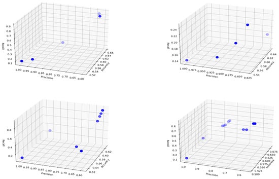
Chaos-Embedded Multi-Objective Intelligent Optimization-Based Explainable Classification Model for Determining Cherry Fruit Fly Infestation Levels Using Pomological Data
by Suna Yildirim, Inanc Ozgen, Bilal Alatas and Hakan Yildirim
Biomimetics 2026, 11(3), 218; https://doi.org/10.3390/biomimetics11030218 - 18 Mar 2026
Abstract
The European cherry fruit fly (Rhagoletis cerasi L.) poses a significant pest threat to cherry production due to its rapid reproduction and host specificity, causing substantial economic damage. This study presents a novel, explainable, and biologically inspired data-driven classification model based on [...] Read more.
The European cherry fruit fly (Rhagoletis cerasi L.) poses a significant pest threat to cherry production due to its rapid reproduction and host specificity, causing substantial economic damage. This study presents a novel, explainable, and biologically inspired data-driven classification model based on fruit characteristics to support targeted and sustainable pest control strategies. In research conducted at four different locations in Elazığ province, three population classes were determined based on the number of adult individuals caught in traps, and 10 different fruit characteristics were measured in fruit samples belonging to each class. The data used in this study are original data obtained by the authors. To examine the relationship between pomological characteristics of cherry fruit and cherry fruit fly density, the Chaotic Rule-based–Strength Pareto Evolutionary Algorithm2 (CRb-SPEA2) method, developed as a multi-objective and chaos-integrated evolutionary rule mining framework, was adapted. The developed algorithm aimed for high performance, interpretability, and transparency. Accuracy, Precision, and Recall metrics, which are conflicting objectives, were optimized with Pareto-optimal solutions, yielding selectable results for domain experts. To increase population diversity and reduce the risk of early convergence and getting stuck in a local optimum, the Tent chaotic mapping mechanism was also integrated into the system. Furthermore, the model was trained without the need for predefined automatic discretization of the continuous value ranges of the attributes. The proposed model achieved superior results across all classes, with the highest accuracy rate of 82.6% recorded in the High class, demonstrating excellent sensitivity and recall values. Full article
(This article belongs to the Special Issue Bio-Inspired Optimization Algorithms)
Show Figures

Graphical abstract

20 pages, 502 KB  
Article
Fuzzy Skew Maps: Preserving Robust Chaos Under Uncertainty with Applications to Cryptography
by Illych Alvarez, Antonio S. E. Chong, Jorge Chamba, Ximena Quiñonez and Ivy Peña
Mathematics 2026, 14(6), 1010; https://doi.org/10.3390/math14061010 - 17 Mar 2026
Abstract
We introduce fuzzy skew maps as a levelwise (α-cut) extension of robustly chaotic skew transformations of S-unimodal maps to epistemically uncertain environments. Our central hypothesis is that the robust-chaos mechanism of the underlying skew family transfers to fuzzy parameter uncertainty [...] Read more.
We introduce fuzzy skew maps as a levelwise (α-cut) extension of robustly chaotic skew transformations of S-unimodal maps to epistemically uncertain environments. Our central hypothesis is that the robust-chaos mechanism of the underlying skew family transfers to fuzzy parameter uncertainty in a set-based (not probabilistic) sense is as follows: for every α[0,1], the induced crisp family {F(·,q):q[q˜]α} preserves the absence of periodic windows and maintains strictly positive Lyapunov exponents. This yields a precise notion of fuzzy robustness that is distinct from interval enclosures (pure bounds) and stochastic robustness (average-case guarantees). We also formalize fuzzy topological entropy via the extension principle and discuss its basic structural properties under mild continuity assumptions. For chaos-based image encryption, fuzzification provides an uncertainty-aware key representation and stabilizes cryptographic indicators across α-cuts as follows: in our experiments, NPCR remains within 99.5899.64%, UACI within 33.4133.52%, and the cipher entropy is near 8 bits, while pixel correlation stays close to zero. These results support fuzzy skew maps as a robust primitive for secure information systems operating under parametric uncertainty. Full article
(This article belongs to the Topic Fuzzy Sets Theory and Its Applications)
Show Figures

Figure 1

31 pages, 13082 KB  
Article
Design and Evaluation of Chaos-Based Excitation Strategies for Brushless DC Motor Drives: A Multi-Domain Framework for Application-Specific Selection
by Asad Shafique, Georgii Kolev, Oleg Bayazitov, Varvara Sheptunova and Ekaterina Kopets
Designs 2026, 10(2), 33; https://doi.org/10.3390/designs10020033 - 17 Mar 2026
Abstract
This paper presents the design and multi-domain evaluation of three chaos-based excitation strategies for brushless DC (BLDC) motor drives implemented using Chua circuit-generated deterministic chaotic signals injected at three distinct control points: the PWM duty cycle, the commutation sequence, and the current feedback [...] Read more.
This paper presents the design and multi-domain evaluation of three chaos-based excitation strategies for brushless DC (BLDC) motor drives implemented using Chua circuit-generated deterministic chaotic signals injected at three distinct control points: the PWM duty cycle, the commutation sequence, and the current feedback loop. A systematic design methodology is established for each injection architecture, including signal normalization, amplitude parameterization, and injection point characterization, evaluated across the electromagnetic, thermal, mechanical, and acoustic domains through MATLAB (R2024a) simulation and physical test stand validation. PWM injection produces controlled spectral dispersion with 5–7% speed reduction and a 10–15 dB SNR decrease, making it the recommended design choice for acoustic signature masking in stealth UAV applications. Commutation injection achieves severe system destabilization with speed reduction exceeding 56% and SNR losses greater than 30 dB, establishing it as a design tool for accelerated stress testing and fault emulation. Current feedback injection delivers a balanced excitation profile with 12–20% efficiency loss and 16–30% SNR reduction, making it suitable as a design method for online parameter identification and adaptive control development. This study establishes the first multi-domain comparative design framework for application-specific selection of chaos excitation strategies in BLDC drives, supported by nonparametric statistical validation and experimental acoustic confirmation, providing drive engineers with quantitative selection criteria across four physical domains. Full article
(This article belongs to the Section Electrical Engineering Design)
Show Figures

Figure 1

25 pages, 8047 KB  
Article
On the Numerical Reliability of Lyapunov-Based Chaos Analysis in Optically Injected Semiconductor Lasers: A Phasor-Quadrature Comparison
by Gerardo Antonio Castañón Ávila, Ana Maria Sarmiento-Moncada, Alejandro Aragón-Zavala and Ivan Aldaya Garde
Appl. Sci. 2026, 16(6), 2835; https://doi.org/10.3390/app16062835 - 16 Mar 2026
Abstract
Lyapunov-exponent-based diagnostics are widely used to quantify deterministic chaos in optically injected semiconductor lasers (OISLs). In most numerical implementations, the optical field is represented either in phasor coordinates (A,ψ,N) or in Cartesian quadrature coordinates [...] Read more.
Lyapunov-exponent-based diagnostics are widely used to quantify deterministic chaos in optically injected semiconductor lasers (OISLs). In most numerical implementations, the optical field is represented either in phasor coordinates (A,ψ,N) or in Cartesian quadrature coordinates (X,Y,N). Although these representations are mathematically related through a smooth coordinate transformation away from vanishing field amplitude, their numerical realizations can exhibit markedly different robustness in variational calculations, directly impacting the reliability of Lyapunov exponent estimation and chaoticity maps. In this work, we present a systematic assessment of the numerical reliability of Lyapunov-based chaos analysis in master-slave optically injected semiconductor lasers using both phasor and quadrature formulations. The full Lyapunov spectrum was computed via a noise-free variational method that integrates the nonlinear dynamics together with the corresponding Jacobian equations using a fourth-order Runge-Kutta scheme combined with periodic QR orthonormalization. High-resolution Lyapunov maps were constructed in the injection strength-frequency detuning parameter space, and the consistency between both formulations was quantitatively evaluated. While both approaches reproduce the overall structure of chaotic and non-chaotic regions, the phasor formulation may generate spurious positive Lyapunov exponents in regimes where the optical field amplitude approaches low values. These discrepancies originate from singular terms proportional to 1/A and 1/A2 in the variational Jacobian of the phasor model, which can lead to numerical amplification and artificial chaotic signatures. The quadrature formulation avoids these singularities and provides numerically stable and physically consistent Lyapunov spectra across the explored parameter space. The results establish practical guidelines for robust chaos quantification in optically injected semiconductor lasers and highlight the importance of representation choice in variational Lyapunov analysis of nonlinear photonic systems. Full article
(This article belongs to the Special Issue Advances in Optical Communication and Photonic Integrated Devices)
Show Figures

Figure 1

23 pages, 12572 KB  
Article
A Dynamics-Informed Non-Causal Deep Learning Framework for High-Precision SOP Positioning Using Low-Quality Data
by Zhisen Wang, Hu Lu and Zhiang Bian
Aerospace 2026, 13(3), 271; https://doi.org/10.3390/aerospace13030271 - 13 Mar 2026
Viewed by 43
Abstract
Low Earth Orbit (LEO) satellite signals of opportunity (SOP) provide a viable positioning alternative in GNSS (Global Navigation Satellite System)-denied environments, yet their accuracy is fundamentally constrained by the low-quality orbital data typically available, such as SGP4 (Simplified General Perturbations model 4) predictions [...] Read more.
Low Earth Orbit (LEO) satellite signals of opportunity (SOP) provide a viable positioning alternative in GNSS (Global Navigation Satellite System)-denied environments, yet their accuracy is fundamentally constrained by the low-quality orbital data typically available, such as SGP4 (Simplified General Perturbations model 4) predictions derived from Two-Line Elements (TLEs). To address this limitation, this paper proposes a dynamics-informed non-causal deep learning framework that enhances low-quality orbital data into high-fidelity trajectories for accurate SOP positioning. The proposed Non-Causal Dynamics-Informed Representation Temporal Convolutional Network (Non-Causal DIR-TCN) integrates phase space reconstruction and a Temporal Convolutional Network to explicitly model the chaotic dynamics inherent in LEO orbits, while relaxing the causality constraints of standard temporal convolutions to utilize both past and future context from the available SGP4 stream. Experimental results demonstrate that the framework significantly reduces orbit estimation errors and accelerates model convergence. When applied to LEO-SOP positioning, it achieves approximately 20% improvement in 2D positioning accuracy compared to conventional SGP4-based methods. This work effectively bridges the gap between accessible low-precision orbital data and high-accuracy state estimation, advancing the practical deployment of opportunistic signals for resilient positioning in challenging environments. Full article
(This article belongs to the Section Astronautics & Space Science)
Show Figures

Figure 1

20 pages, 2914 KB  
Article
Differential Equation Ensemble Discovery for Modeling Active Matter Based on Robotic Swarm Data
by Xeniya Bashkova, Anastasia Molodtsova, Nikita Olekhno and Alexander Hvatov
Mach. Learn. Knowl. Extr. 2026, 8(3), 72; https://doi.org/10.3390/make8030072 - 13 Mar 2026
Viewed by 119
Abstract
Active matter actively searches for models that allow them to connect the behavior of multiple agents to particle system with a physical law. However, the arsenal of models used to model active matter systems is very restricted. Modern differential equation discovery approaches allow [...] Read more.
Active matter actively searches for models that allow them to connect the behavior of multiple agents to particle system with a physical law. However, the arsenal of models used to model active matter systems is very restricted. Modern differential equation discovery approaches allow one to extract governing equations from data for a single particle in the form of the ODE. However, there is still the question of how to model at the meso- and macroscales. This paper presents a data-driven framework for extracting the governing physical laws of a hardware-made swarm across multiple scales of organization. Using the EPDE framework, we transition from a discrete, chaotic trajectory of individual agents to a continuous, effective field theory of the collective. We show that augmenting the symbolic search space with interaction-aware tokens allowed for the derivation of stochastic partial differential equations (SDEs) that significantly outperformed baseline deterministic models (reducing CRPS by up to 10%). Additionally, we derive a system of SPDEs that governs the macroscale displacement field. Full article
(This article belongs to the Section Learning)
Show Figures

Figure 1

31 pages, 22634 KB  
Article
A Novel Image Encryption Scheme Based on Two-Dimensional Chaotic Map Constructed from Ackley Function and DNA Operations
by Chao Jiang, Xiong Zhang and Xiaoqin Zhang
Entropy 2026, 28(3), 322; https://doi.org/10.3390/e28030322 - 13 Mar 2026
Viewed by 61
Abstract
In contemporary communication systems, digital images occupy an irreplaceable role; however, the privacy-related risks attendant to their prevalent application have grown increasingly salient. This paper presents an image encryption scheme integrating a novel two-dimensional Ackley-Sine chaotic map (2D-ASM) with dynamic DNA operations. First, [...] Read more.
In contemporary communication systems, digital images occupy an irreplaceable role; however, the privacy-related risks attendant to their prevalent application have grown increasingly salient. This paper presents an image encryption scheme integrating a novel two-dimensional Ackley-Sine chaotic map (2D-ASM) with dynamic DNA operations. First, a two-dimensional Ackley-Sine chaotic map, constructed based on the Ackley function and sine function, is designed and validated through a series of chaotic indicators. Results demonstrate that 2D-ASM exhibits superior chaotic properties compared to several existing state-of-the-art chaotic maps, with its maximum Lyapunov exponent (LE) exceeding 23, Permutation Entropy (PE) close to 1 in the full parameter range, and correlation dimension (CD) significantly higher than comparative chaotic systems. The proposed 2D-ASM-based image encryption scheme leverages the SHA-256 hash value of the plaintext image and four external keys to jointly generate the initial conditions and parameters of the 2D-ASM chaotic system, thereby ensuring a sufficiently large key space of 2256. Subsequently, chaotic sequences generated by 2D-ASM are employed to permute and diffuse the plaintext image, followed by dynamic DNA coding, operations, and decoding to obtain the encrypted image. Security analyses and comparisons with several existing representative algorithms confirm that the proposed encryption scheme achieves excellent encryption performance: the Number of Pixels Change Rate (NPCR) is above 99.6%, the Unified Average Changing Intensity (UACI) approaches 33.4%, and the information entropy of ciphertext images reaches 7.999 or higher. The scheme can effectively resist various potential attacks, including statistical and differential attacks, and outperforms representative algorithms in pixel correlation reduction and anti-interference performance. Full article
(This article belongs to the Section Signal and Data Analysis)
Show Figures

Figure 1

22 pages, 4806 KB  
Article
Solution of Time Fractional SIQR Epidemic System and Research with Respect to the Fractional Order
by Pingping Li, Zhen Wang and Gongsheng Li
Fractal Fract. 2026, 10(3), 189; https://doi.org/10.3390/fractalfract10030189 - 13 Mar 2026
Viewed by 168
Abstract
This article deals with the global existence and uniqueness of solutions to a fractional-order SIQR epidemic model, alongside its intricate chaotic and complex dynamics as functions of the fractional order. The well-posedness of the model solutions, including global existence, uniqueness, and positivity, is [...] Read more.
This article deals with the global existence and uniqueness of solutions to a fractional-order SIQR epidemic model, alongside its intricate chaotic and complex dynamics as functions of the fractional order. The well-posedness of the model solutions, including global existence, uniqueness, and positivity, is established by constructing appropriate Lyapunov functions. The local and global stability analyses are conducted for both the disease-free and endemic equilibria of the model. An asymptotic solution of the system in the form of series is derived by the Laplace–Adomian decomposition method (L–ADM), and its convergence is rigorously proved. Subsequently, numerical analysis determines and interprets the optimal truncation order of this asymptotic solution. Numerical simulations are performed based on the asymptotic solution, and the dynamics and chaos of the dynamic system with respect to the fractional order are analyzed and illustrated in terms of the maximum Lyapunov exponent and structural complexity. Finally, a local sensitivity analysis is conducted for each state variable with respect to the model parameters. Full article
Show Figures

Figure 1

16 pages, 928 KB  
Article
Optimizing the Configuration of MOGWO’s Distributed Energy Storage for Low-Carbon Enhancements
by Haizhu Yang, Qilong Ma, Peng Zhang, Zhongwen Li, Zhiping Cheng and Lulu Wang
Energies 2026, 19(6), 1393; https://doi.org/10.3390/en19061393 - 10 Mar 2026
Viewed by 199
Abstract
With the deepening implementation of the dual-carbon strategy, the penetration rates of distributed power sources and flexible loads in new distribution grids continue to rise, posing significant challenges to system security and stability due to output fluctuations and randomness. To enhance voltage quality [...] Read more.
With the deepening implementation of the dual-carbon strategy, the penetration rates of distributed power sources and flexible loads in new distribution grids continue to rise, posing significant challenges to system security and stability due to output fluctuations and randomness. To enhance voltage quality and achieve low-carbon economic operation in distribution grids, this paper proposes a multi-objective optimization model for Distributed Energy Storage System allocation. The model integrates power quality, economic benefits, and net carbon emissions. To efficiently solve this high-dimensional nonlinear problem, an improved Multi-Objective Gray Wolf Optimization algorithm is proposed. It employs a chaotic map to initialize the population, enhancing global distribution uniformity. A nonlinear convergence factor is introduced to dynamically balance global exploration and local exploitation. A dynamic grouping collaboration strategy is designed, combining Lévy flight and the elite crossover strategy to enhance search capability and convergence accuracy. Simulations on an IEEE 33-node system show that the improved MOGWO-optimized energy storage scheme reduces average voltage deviation by 37.0%, total operating costs by 7.0%, and net carbon emissions by 4.1%, compared to a no-storage scenario. Compared to the standard MOGWO algorithm, the proposed method achieves further optimization across all objectives, validating its effectiveness and superiority in realizing coordinated energy storage planning that balances safety, economy, and low-carbon goals. Full article
(This article belongs to the Special Issue Advancements in the Integrated Energy System and Its Policy)
Show Figures

Figure 1

22 pages, 5676 KB  
Article
Complete Coverage Random Path Planning Based on a Novel Fractal-Fractional-Order Multi-Scroll Chaotic System
by Xiaoran Lin, Mengxuan Dong, Xueya Xue, Xiaojuan Li and Yachao Wang
Mathematics 2026, 14(5), 926; https://doi.org/10.3390/math14050926 - 9 Mar 2026
Viewed by 143
Abstract
With the increasing demands for autonomy and coverage efficiency in tasks such as security patrol and post-disaster exploration using mobile robots, achieving random, efficient, and complete coverage path planning has become a critical challenge. Traditional chaotic path planning methods, while capable of generating [...] Read more.
With the increasing demands for autonomy and coverage efficiency in tasks such as security patrol and post-disaster exploration using mobile robots, achieving random, efficient, and complete coverage path planning has become a critical challenge. Traditional chaotic path planning methods, while capable of generating unpredictable trajectories, still have limitations in terms of randomness strength, traversal uniformity, and convergence coverage. To address this, this study proposes a complete-coverage random path planning method based on a novel four-dimensional fractal-fractional multi-scroll chaotic system. The main contributions of this research are as follows: First, by introducing additional state variables and fractal-fractional operators into the classical Chen system, a fractal-fractional chaotic system with a multi-scroll attractor structure is constructed. The output of this system is then mapped into robot angular velocity commands to achieve area coverage in unknown environments. Key findings include: the novel chaotic system possesses two positive Lyapunov exponents; Spectral Entropy (SE) and Complexity (CO) analyses indicate that when parameter B is fixed and the fractional order α increases, the dynamic complexity of the system significantly rises; in a 50 × 50 grid environment, the robot driven by this system achieved a coverage rate of 98.88% within 10,000 iterations, outperforming methods based on Lorenz, Chua systems, and random walks; ablation experiments further demonstrate that the combined effects of the fractal order β, fractional order α, and multi-scroll nonlinear terms are key to enhancing system complexity and coverage performance. The significance of this study lies in that it not only provides new ideas for constructing complex chaotic systems but also offers a reliable theoretical foundation and practical solution for mobile robots to perform efficient, random, and high-coverage autonomous inspection tasks in unknown regions. Full article
Show Figures

Figure 1

31 pages, 20829 KB  
Article
FPGA Implementation of a Secure Audio Encryption System Based on Chameleon Chaotic Algorithm
by Alaa Shumran, Abdul-Basset A. Al-Hussein and Viet-Thanh Pham
Dynamics 2026, 6(1), 9; https://doi.org/10.3390/dynamics6010009 - 7 Mar 2026
Viewed by 280
Abstract
The growing need to safeguard sensitive data in various fields, including in relation to education, banking over the phone, private voice conferences, and the military, has grown as dependence on technology in daily life has increased. Encryption schemes based on chaotic systems are [...] Read more.
The growing need to safeguard sensitive data in various fields, including in relation to education, banking over the phone, private voice conferences, and the military, has grown as dependence on technology in daily life has increased. Encryption schemes based on chaotic systems are among the most commonly utilized approaches in the security field due to their high levels of safety and reliability. This study proposes a secure audio encryption framework based on the Chameleon chaotic algorithm implemented on a Xilinx ZedBoard Zynq-7000 FPGA. The system was designed using a fixed-point arithmetic format with 32-bit precision (eight integers; 24 fractional bits) with the Xilinx System Generator in MATLAB Simulink R2021b and verified using Vivado. The Chameleon Chaotic System, characterized by its transition from self-excited to hidden attractors through parameter variation, adds complexity to the system dynamics and strengthens the encryption algorithm. The Adaptive Feedback Control technique was applied to synchronize the signals. These methods enhance the security of audio data by ensuring robust and fast synchronization during transmission. The performance of the proposed system was assessed using correlation analysis, the mean squared error, histogram analysis, and audio spectrogram analysis. The system demonstrated strong encryption capabilities with low correlation values (−0.0033). In decryption, they achieved high fidelity with a correlation exceeding 0.999 in noise-free conditions and above 0.9933 under 20 dB AWGN. Adaptive Feedback Control showed superior decryption precision with lower MSEU and higher PSNR, confirming its effectiveness under noisy environments. Full article
(This article belongs to the Special Issue Theory and Applications in Nonlinear Oscillators: 2nd Edition)
Show Figures

Figure 1

34 pages, 5602 KB  
Review
Advanced Demodulation in Distributed Fiber Optic Sensing: A Review of Backscattering and UWFBG-Based Technologies
by Yiming Wang, Liang Zhang, Canyang Sun, Changjia Wang, Xin Gui, Xuelei Fu and Zhengying Li
Sensors 2026, 26(5), 1674; https://doi.org/10.3390/s26051674 - 6 Mar 2026
Viewed by 272
Abstract
Distributed fiber optic sensing (DFOS) has emerged as a critical technology for structural health monitoring of large-scale infrastructure, offering unique advantages in terms of coverage and environmental adaptability. This review presents a comprehensive analysis of the two dominant technical routes: fully distributed sensing [...] Read more.
Distributed fiber optic sensing (DFOS) has emerged as a critical technology for structural health monitoring of large-scale infrastructure, offering unique advantages in terms of coverage and environmental adaptability. This review presents a comprehensive analysis of the two dominant technical routes: fully distributed sensing based on intrinsic backscattering and massive-capacity sensing based on ultra-weak fiber Bragg grating (UWFBG) networks. For backscattering-based systems—encompassing Raman, Brillouin, and Rayleigh scattering—the inherent trade-offs among signal-to-noise ratio (SNR), spatial resolution, and sensing range constitute major performance bottlenecks. This review systematically summarizes advanced demodulation and signal processing strategies designed to overcome these physical barriers, including pulse coding sequences, chaotic laser compressed correlation, and deep learning-enhanced noise reduction algorithms. In parallel, for UWFBG-based technologies, the evolution from traditional multiple-point fiber Bragg grating (FBG) array to quasi-distributed and fully distributed UWFBG network is discussed. This review highlights key breakthroughs in achieving high spatial resolution and high-speed interrogation through hybrid multiplexing, aliased spectrum reconstruction, and dispersion-based demodulation techniques. By synthesizing recent advances in modulation schemes, detection hardware, and algorithmic processing, this paper outlines the trajectory of DFOS technologies toward high-precision, long-distance, and real-time sensing networking. Full article
(This article belongs to the Special Issue Feature Review Papers in Optical Sensors 2026)
Show Figures

Figure 1

31 pages, 2863 KB  
Article
A Physics-Informed Hybrid Ensemble for Robust and High-Fidelity Temperature Forecasting in PMSMs
by Rifath Bin Hossain, Md Maruf Al Hasan, Md Imran Khan, Monzur Ahmed, Yuting Lin and Xuchao Pan
World Electr. Veh. J. 2026, 17(3), 133; https://doi.org/10.3390/wevj17030133 - 5 Mar 2026
Viewed by 301
Abstract
The deployment of artificial intelligence in safety-critical industrial systems is hindered by a core trust deficit, as models trained via empirical risk minimization often fail catastrophically in out-of-distribution (OOD) scenarios. We address this challenge by developing a physics-informed hybrid ensemble that achieves state-of-the-art [...] Read more.
The deployment of artificial intelligence in safety-critical industrial systems is hindered by a core trust deficit, as models trained via empirical risk minimization often fail catastrophically in out-of-distribution (OOD) scenarios. We address this challenge by developing a physics-informed hybrid ensemble that achieves state-of-the-art accuracy and robustness for Permanent Magnet Synchronous Motor (PMSM) temperature forecasting. Our methodology first calibrates a Lumped-Parameter Thermal Network (LPTN) to serve as a physics engine for generating physically consistent data augmentations, which then pre-trains a Temporal Convolutional Network (TCN) encoder via self-supervision, with the final prediction assembled from the physics model’s baseline guess and a correction learned by an ensemble of gradient boosting models on a rich, multi-modal feature set. Evaluated against a suite of strong baselines, our hybrid ensemble achieves a state-of-the-art Root Mean Squared Error of 5.24 °C on a challenging OOD stress test composed of the most chaotic operational profiles. Most compellingly, our model’s performance improved by an unprecedented −10.68% under these extreme stress conditions where standard, purely data-driven models collapsed. This demonstrated robustness, combined with a statistically valid Coverage Under Shift (CUS) Gap of only 1.43%, provides a complete blueprint for building high-performance, trustworthy AI, enabling safer and more efficient control of critical cyber-physical systems and motivating future research into physics-guided pre-training for other industrial assets. Full article
Show Figures

Graphical abstract

21 pages, 4917 KB  
Article
Design and Performance Analysis of an RIS-Empowered RM-DCSK System for Wireless Powered Communication
by Fang Liu, Junjun Ma and Qihao Yu
Entropy 2026, 28(3), 300; https://doi.org/10.3390/e28030300 - 5 Mar 2026
Viewed by 187
Abstract
This paper proposed a reconfigurable intelligent surface (RIS)-empowered reference-modulated differential chaos shift keying (RM-DCSK) wireless powered communication (WPC) system. As a noncoherent chaotic communication scheme, the proposed system exploits the reference reuse property of RM-DCSK, where the reference signal simultaneously carries data information, [...] Read more.
This paper proposed a reconfigurable intelligent surface (RIS)-empowered reference-modulated differential chaos shift keying (RM-DCSK) wireless powered communication (WPC) system. As a noncoherent chaotic communication scheme, the proposed system exploits the reference reuse property of RM-DCSK, where the reference signal simultaneously carries data information, thereby improving spectral efficiency while maintaining noncoherent and channel-estimation-free reception with low receiver circuit complexity. Furthermore, RIS is utilized to reconfigure the propagation environment and mitigate the path loss effect of WPC links. At the user equipment (UE), a harvest–store–use (HSU) energy harvesting and finite-buffer model is developed, and a threshold-based on/off transmission policy is adopted to enable sustainable uplink transmission. To quantify the gain of energy buffering and management, a bufferless baseline system is further established. Closed-form bit error rate (BER) expressions are obtained under multi-path Rayleigh fading channels for both the proposed RIS-RM-DCSK-WPC system and bufferless baseline system. Finally, simulation results validate the analysis and demonstrate that the proposed system achieves superior BER performance compared with representative benchmarks, including existing RIS-aided DCSK-WPC, RM-DCSK-WPC, and bufferless RIS-RM-DCSK-WPC systems. Full article
(This article belongs to the Section Complexity)
Show Figures

Figure 1

24 pages, 749 KB  
Article
Stability Analysis and Chaos Control of Permanent-Magnet Synchronous Motor
by Ahmed Sadeq Hunaish, Fatma Noori Ayoob, Fadhil Rahma Tahir and Viet-Thanh Pham
Dynamics 2026, 6(1), 8; https://doi.org/10.3390/dynamics6010008 - 5 Mar 2026
Viewed by 205
Abstract
This paper investigates the dynamics of a permanent magnet synchronous motor (PMSM) and controls its chaotic speed behavior using the synergetic control technique (SCT). The model includes electrical dynamics in the dq frame and mechanical speed dynamics, with a scalar parameter γ capturing [...] Read more.
This paper investigates the dynamics of a permanent magnet synchronous motor (PMSM) and controls its chaotic speed behavior using the synergetic control technique (SCT). The model includes electrical dynamics in the dq frame and mechanical speed dynamics, with a scalar parameter γ capturing cross-coupling effects. The equilibrium structure and local stability properties of the PMSM are analyzed. For zero input voltages and zero load torque, the system exhibits a pitchfork-type bifurcation in the electrical–mechanical equilibrium as γ crosses a critical value. Explicit expressions are derived for all equilibria, and their stability is characterized using eigenvalue analysis and the Routh–Hurwitz criterion, and a secondary loss of stability via a Hopf-type mechanism is identified. The case of nonzero input voltages with zero load torque is also discussed. Numerical simulations confirm the analytical results and highlight the parameter regions that admit stable operation. Bifurcation diagrams show the different PMSM behaviors as the parameter γ varies. For a certain interval of γ, the PMSM speed undergoes chaotic oscillations. The SCT is introduced to control the chaos. Macro variables are chosen to design the SCT. The derived SCT is implemented to eliminate the chaotic speed. The controller provides good performance in suppressing the chaos. The controller is tested under sudden reference speed change where the controller gets the new reference speed accurately. It is also evaluated under sudden and sinusoidal load torque variations. Full article
(This article belongs to the Special Issue Recent Advances in Dynamic Phenomena—3rd Edition)
Show Figures

Figure 1

Back to TopTop