Effects of Strain Rate and Temperature on Physical Mechanical Properties and Energy Dissipation Features of Granite
Abstract
:1. Introduction
2. Experimental Methods
2.1. Specimen Preparation
2.2. Experiment Device
2.3. Experiment Principle
2.4. Testing Procedure
3. Static Physical and Mechanical Test Results
3.1. Physical Properties of Granite
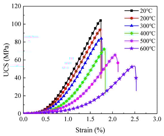
3.2. Static Mechanical Properties of Granite
4. Dynamic Compression Test Results and Analysis
4.1. Investigation of Dynamic Stress Balance
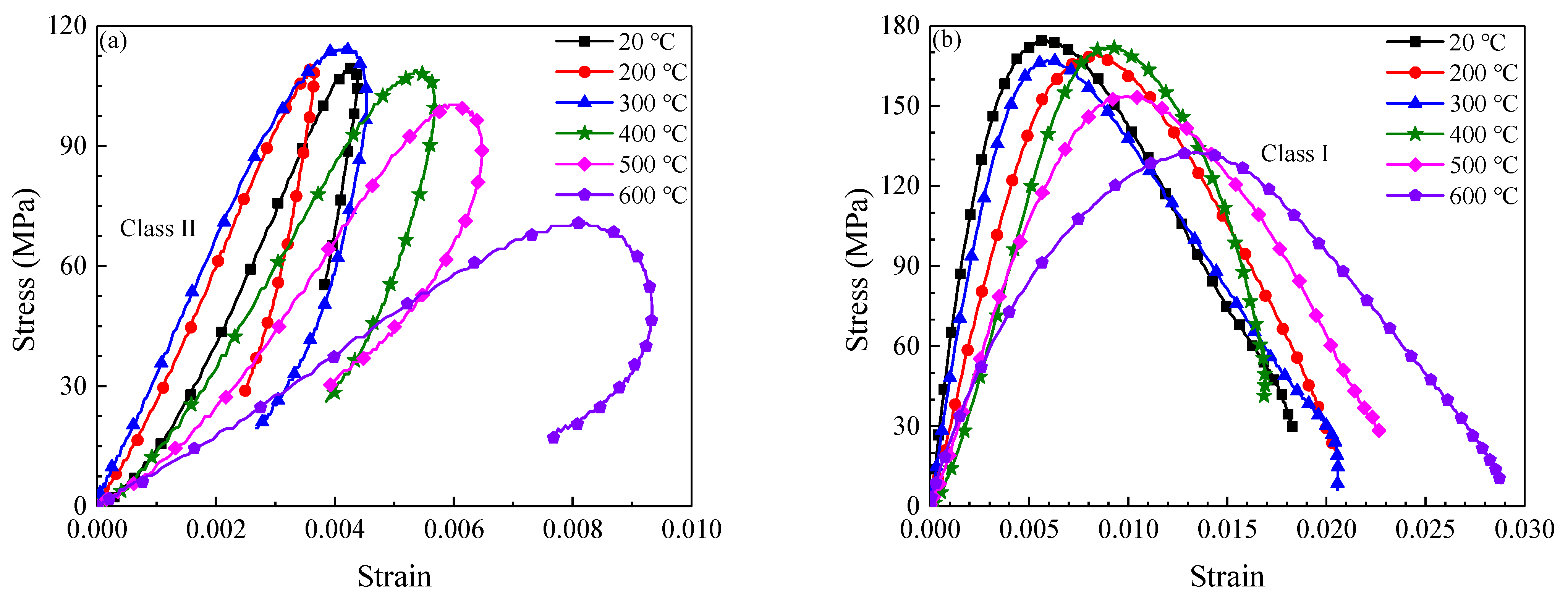
4.2. Dynamic Stress-Strain Curves
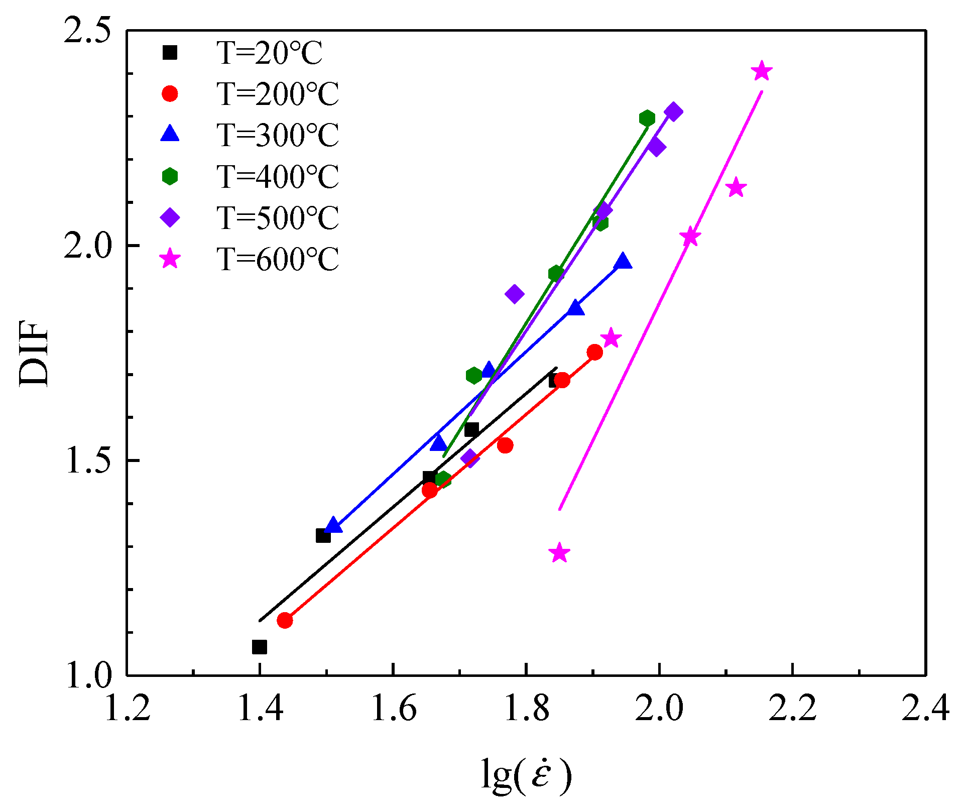
4.3. Strain Rate Effect on Granite after Thermal Shock
4.4. Temperature Sensitivity of Granite Behaviors
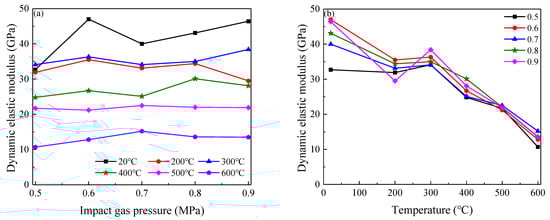
4.5. Dynamic Elastic Modulus of Granite under Thermal Shocking
4.6. Energy Dissipation Features of Specimens under Thermal Shock
5. Discussion
5.1. Dynamic Failure Modes of Specimens after Thermal Shock
5.2. Thermal Damage Assessment based on SEM
6. Conclusions
- (1)
- The physical and mechanical parameters (mass, ρs, Cs, UCS and Es) of granite specimen decreased with increasing temperature, except for volume increased.
- (2)
- At the same temperature, the σd of granite specimens increased exponentially with increasing strain rate, and the stress-strain curves gradually transformed from Class II to Class I behavior. For the same strain rate or incident energy, the dynamic compressive strength decreased with increasing temperature. Therefore, the temperature and EI can equivalently transform for the same σd, but the degree of the granite fragmentation in these states varied considerably.
- (3)
- The DIF exhibited an obvious linear correlation with the at the same temperature. The Ed of granite was determined to be more sensitive to temperature than impact gas pressure and decreased obviously as the temperature increased. Meanwhile, the higher the temperature, the greater the strain rate and the more severe the specimen failure, and the failure modes of the granite changed from brittle to ductile.
- (4)
- When the impact gas pressure was 0.6 MPa, the critical temperature for the stress-strain curve transition from Class II to Class I behavior was determined to be 300 °C.
- (5)
- The critical temperature of the crack initiation of granite was determined to be 300 °C. As the temperature increased, the initiation cracks in the granite specimen surface developed from intergranular cracks to transgranular cracks. Furthermore, a number of loose areas were observed on the granite specimens subjected to higher temperatures, especially those greater than 500 °C.
- (6)
- The ER and ET were found to be only related to the ratio of the wave impedances of the elastic bars and the specimen. For the same temperature, as the EI increased, the ER and the EA increased linearly, whereas ET increased logarithmically. For a similar EI, the ER increased but the ET decreased as the temperature increased.
Author Contributions
Funding
Institutional Review Board Statement
Informed Consent Statement
Data Availability Statement
Conflicts of Interest
Nomenclature
| σd, σs | dynamic compressive strength, static compressive strength, MPa; |
| EI, ER, ET, EA | incident, reflected, transmitted, absorbed energy, J; |
| ρs, ρe | specimen density, elastic bar density, g/cm3; |
| Cs, Ce | longitudinal wave velocity of the specimen, longitudinal wave |
| velocity of the elastic bar, m/s; | |
| Es, Ed | static elastic modulus of the specimen, dynamic elastic modulus of |
| the specimen, GPa; | |
| UCS | uniaxial compressive strength, MPa; |
| DIF | dynamic increase factor; |
| SHPB | split Hopkinson pressure bar; |
| SEM | scanning electron microscope; |
| XRD | X-ray diffraction; |
| logarithm of strain rate, s−1; | |
| R, T | the reflection coefficient, the transmission coefficient; |
| n | the ratio of wave impedance of two materials; |
| strain rate, s−1. |
References
- Delong, Z.; Jun, J.; Yuwen, H.; Wei, W.; Wenjian, Z. Study on well control technology of high temperature geothermal drilling. Procedia Eng. 2014, 73, 337–344. [Google Scholar] [CrossRef] [Green Version]
- Xu, H.; Rutqvist, J.; Birkholzer, J. A study of thermal pressurization and potential for hydro-fracturing associated with nuclear waste disposal in argillaceous claystone. Int. J. Rock Mech. Min. Sci. 2020, 136, 104536. [Google Scholar] [CrossRef]
- Hua, N.; Elhami Khorasani, N.; Tessari, A.; Ranade, R. Experimental study of fire damage to reinforced concrete tunnel slabs. Fire Saf. J. 2022, 127, 103504. [Google Scholar] [CrossRef]
- Xu, X.L.; Karakus, M. A coupled thermo-mechanical damage model for granite. Int. J. Rock Mech. Min. Sci. 2018, 103, 195–204. [Google Scholar] [CrossRef]
- Ge, Z.; Sun, Q. Acoustic emission (AE) characteristics of granite after heating and cooling cycles. Eng. Fract. Mech. 2018, 200, 418–429. [Google Scholar] [CrossRef]
- Fan, L.F.; Wu, Z.J.; Wan, Z.; Gao, J.W. Experimental investigation of thermal effects on dynamic behavior of granite. Appl. Therm. Eng. 2017, 125, 94–103. [Google Scholar] [CrossRef]
- Huang, L.; Guo, Y.; Li, X. Failure characteristics of shale after being subjected to high temperatures under uniaxial compression. Bull. Eng. Geol. Environ. 2021, 81, 33. [Google Scholar] [CrossRef]
- Kumari, W.G.P.; Ranjith, P.G.; Perera, M.S.A.; Shao, S.; Chen, B.K.; Lashin, A.; Arifi, N.A.; Rathnaweera, T.D. Mechanical behaviour of australian strathbogie granite under in-situ stress and temperature conditions: An application to geothermal energy extraction. Geothermics 2017, 65, 44–59. [Google Scholar] [CrossRef]
- Yin, T.; Wu, B.; Wang, C.; Wu, Y. Determination of dynamic tensile strength of microwave-induced basalt using Brazilian test. Rock Mech. Rock Eng. 2022, 55, 1429–1443. [Google Scholar] [CrossRef]
- Kumari, W.G.P.; Ranjith, P.G.; Perera, M.S.A.; Chen, B.K.; Abdulagatov, I.M. Temperature-dependent mechanical behaviour of Australian Strathbogie granite with different cooling treatments. Eng. Geol. 2017, 229, 31–44. [Google Scholar] [CrossRef]
- Guo, Y.; Huang, L.; Li, X.; Chen, J.; Sun, J. Experimental investigation on the effects of thermal treatment on the physical and mechanical properties of shale. J. Nat. Gas Sci. Eng. 2020, 82, 103496. [Google Scholar] [CrossRef]
- Shao, S.; Wasantha, P.L.P.; Ranjith, P.G.; Chen, B.K. Effect of cooling rate on the mechanical behavior of heated Strathbogie granite with different grain sizes. Int. J. Rock Mech. Min. Sci. 2014, 70, 381–387. [Google Scholar] [CrossRef]
- Chen, S.; Yang, C.; Wang, G. Evolution of thermal damage and permeability of Beishan granite. Appl. Therm. Eng. 2017, 110, 1533–1542. [Google Scholar] [CrossRef]
- Shu, R.; Yin, T.; Li, X. Effect of heating rate on the dynamic compressive properties of granite. Geofluids 2019, 2019, 8292065. [Google Scholar] [CrossRef]
- Guo, L.; Zhang, Y.; Zhang, Y.; Yu, Z.; Zhang, J. Experimental investigation of granite properties under different temperatures and pressures and numerical analysis of damage effect in enhanced geothermal system. Renew. Energy 2018, 126, 107–125. [Google Scholar] [CrossRef]
- Li, Q.; Yin, T.; Li, X.; Zhang, S. Effects of rapid cooling treatment on heated sandstone: A comparison between water and liquid nitrogen cooling. Bull. Eng. Geol. Environ. 2020, 79, 313–327. [Google Scholar] [CrossRef]
- Zhao, Y.; Feng, Z.; Zhao, Y.; Wan, Z. Experimental investigation on thermal cracking, permeability under HTHP and application for geothermal mining of HDR. Energy 2017, 132, 305–314. [Google Scholar] [CrossRef]
- Zhang, W.; Wang, Z.; Du, Y.; Zhang, S.; Shi, Z.; Li, F. Effect of high temperature on pore characteristics, yield stress, and deformation property of sandstone. Bull. Eng. Geol. Environ. 2021, 81, 43. [Google Scholar] [CrossRef]
- Zhao, Y.S.; Wan, Z.J.; Feng, Z.J.; Xu, Z.H.; Liang, W.G. Evolution of mechanical properties of granite at high temperature and high pressure. Geomech. Geophys. Geo-Energy Geo-Resour. 2017, 3, 199–210. [Google Scholar] [CrossRef]
- Peng, J.; Rong, G.; Cai, M.; Yao, M.-D.; Zhou, C.-B. Physical and mechanical behaviors of a thermal-damaged coarse marble under uniaxial compression. Eng. Geol. 2016, 200, 88–93. [Google Scholar] [CrossRef]
- Zhang, Y.; Sun, Q.; Cao, L.; Geng, J. Pore, mechanics and acoustic emission characteristics of limestone under the influence of temperature. Appl. Therm. Eng. 2017, 123, 1237–1244. [Google Scholar] [CrossRef]
- Han, H.; Peng, J.; Guo, Y.; He, Q.; Zhou, J.; Gou, X. Experimental research on the mechanical properties of heated granite after rapid cooling. J. Eng. 2021, 2021, 8838520. [Google Scholar] [CrossRef]
- Zhang, B.; Tian, H.; Dou, B.; Zheng, J.; Chen, J.; Zhu, Z.; Liu, H. Macroscopic and microscopic experimental research on granite properties after high-temperature and water-cooling cycles. Geothermics 2021, 93, 102079. [Google Scholar] [CrossRef]
- Xiao, P.; Zheng, J.; Dou, B.; Tian, H.; Cui, G.; Kashif, M. Mechanical behaviors of granite after thermal shock with different cooling rates. Energies 2021, 14, 3721. [Google Scholar] [CrossRef]
- Wu, X.; Huang, Z.; Song, H.; Zhang, S.; Cheng, Z.; Li, R.; Wen, H.; Huang, P.; Dai, X. Variations of physical and mechanical properties of heated granite after rapid cooling with liquid nitrogen. Rock Mech. Rock Eng. 2019, 52, 2123–2139. [Google Scholar] [CrossRef]
- Tarasov, B.G.; Stacey, T.R. Features of the energy balance and fragmentation mechanisms at spontaneous failure of class I and class II rocks. Rock Mech. Rock Eng. 2017, 50, 2563–2584. [Google Scholar] [CrossRef]
- Wawersik, W.R.; Fairhurst, C. A study of brittle rock fracture in laboratory compression experiments. Int. J. Rock Mech. Min. Sci. Geomech. Abstr. 1970, 7, 561–575. [Google Scholar] [CrossRef]
- Ma, L.; Wu, J.; Wang, M.; Dong, L.; Wei, H. Dynamic compressive properties of dry and saturated coral rocks at high strain rates. Eng. Geol. 2020, 272, 105615. [Google Scholar] [CrossRef]
- Feng, P.; Xu, Y.; Dai, F. Effects of dynamic strain rate on the energy dissipation and fragment characteristics of cross-fissured rocks. Int. J. Rock Mech. Min. Sci. 2021, 138, 104600. [Google Scholar] [CrossRef]
- Yan, Z.; Dai, F.; Liu, Y.; Du, H. Experimental investigations of the dynamic mechanical properties and fracturing behavior of cracked rocks under dynamic loading. Bull. Eng. Geol. Environ. 2020, 79, 5535–5552. [Google Scholar] [CrossRef]
- Dai, B.; Shan, Q.; Chen, Y.; Luo, X. Mechanical and energy dissipation characteristics of granite under cyclic impact loading. J. Cent. South Univ. 2022, 29, 116–128. [Google Scholar] [CrossRef]
- Huang, L.; Guo, Y.; Li, X. Mechanical response to dynamic compressive load applied to shale after thermal treatment. J. Nat. Gas Sci. Eng. 2022, 102, 104565. [Google Scholar] [CrossRef]
- Wang, Z.L.; Shi, H.; Wang, J.G. Mechanical behavior and damage constitutive model of granite under coupling of temperature and dynamic loading. Rock Mech. Rock Eng. 2018, 51, 3045–3059. [Google Scholar] [CrossRef]
- Yin, T.; Chen, Y.; Li, X.; Li, Q. Effect of high temperature and strain rate on the elastic modulus of rocks: A review. Int. J. Earth Sci. 2021, 110, 2639–2660. [Google Scholar] [CrossRef]
- Li, X.B.; Lok, T.S.; Zhao, J. Dynamic characteristics of granite subjected to intermediate loading rate. Rock Mech. Rock Eng. 2005, 38, 21–39. [Google Scholar] [CrossRef]
- Zhou, Y.X.; Xia, K.; Li, X.B.; Li, H.B.; Ma, G.W.; Zhao, J.; Zhou, Z.L.; Dai, F. Suggested methods for determining the dynamic strength parameters and mode-I fracture toughness of rock materials. Int. J. Rock Mech. Min. Sci. 2012, 49, 105–112. [Google Scholar] [CrossRef]
- Yin, T.; Shu, R.; Li, X.; Wang, P.; Dong, L. Combined effects of temperature and axial pressure on dynamic mechanical properties of granite. Trans. Nonferrous Met. Soc. China 2016, 26, 2209–2219. [Google Scholar] [CrossRef]
- Guo, Y.; Li, X.; Huang, L.; Liu, H.; Wu, Y. Effect of water-based working fluid imbibition on static and dynamic compressive properties of anisotropic shale. J. Nat. Gas Sci. Eng. 2021, 95, 104194. [Google Scholar] [CrossRef]
- Huang, L.; Wang, J.; Momeni, A.; Wang, S. Spalling fracture mechanism of granite subjected to dynamic tensile loading. Trans. Nonferrous Met. Soc. China 2021, 31, 2116–2127. [Google Scholar] [CrossRef]
- Li, X.B.; Lok, T.S.; Zhao, J.; Zhao, P.J. Oscillation elimination in the Hopkinson bar apparatus and resultant complete dynamic stress–strain curves for rocks. Int. J. Rock Mech. Min. Sci. 2000, 37, 1055–1060. [Google Scholar] [CrossRef]
- Liu, X.; Liu, Z.; Li, X.; Gong, F.; Du, K. Experimental study on the effect of strain rate on rock acoustic emission characteristics. Int. J. Rock Mech. Min. Sci. 2020, 133, 104420. [Google Scholar] [CrossRef]
- Jin, P.; Hu, Y.; Shao, J.; Zhao, G.; Zhu, X.; Li, C. Influence of different thermal cycling treatments on the physical, mechanical and transport properties of granite. Geothermics 2019, 78, 118–128. [Google Scholar] [CrossRef]
- Inserra, C.; Biwa, S.; Chen, Y. Influence of thermal damage on linear and nonlinear acoustic properties of granite. Int. J. Rock Mech. Min. Sci. 2013, 62, 96–104. [Google Scholar] [CrossRef]
- Sun, Q.; Zhang, W.; Xue, L.; Zhang, Z.; Su, T. Thermal damage pattern and thresholds of granite. Environ. Earth Sci. 2015, 74, 2341–2349. [Google Scholar] [CrossRef]
- Ohno, I. Temperature variation of elastic properties of α-quartz up to the α-β transition. J. Phys. Earth 1995, 43, 157–169. [Google Scholar] [CrossRef] [Green Version]
- Li, Q.; Li, X.; Yin, T. Factors affecting pore structure of granite under cyclic heating and cooling: A nuclear magnetic resonance investigation. Geothermics 2021, 96, 102198. [Google Scholar] [CrossRef]
- Tedesco, J.W.; Ross, C.A. Strain-rate-dependent constitutive equations for concrete. J. Press. Vessel Technol. 1998, 120, 398–405. [Google Scholar] [CrossRef]
- Li, Q.M.; Meng, H. About the dynamic strength enhancement of concrete-like materials in a split Hopkinson pressure bar test. Int. J. Solids Struct. 2003, 40, 343–360. [Google Scholar] [CrossRef]
- Yin, T.; Shu, R.; Li, X.; Wang, P.; Liu, X. Comparison of mechanical properties in high temperature and thermal treatment granite. Trans. Nonferrous Met. Soc. China 2016, 26, 1926–1937. [Google Scholar] [CrossRef]
- Li, X.B. Rock Dynamics Fundamentals and Applications; Science Press: Beijing, China, 2014. [Google Scholar]



















| Temperature (°C) | Change Rate of Physical Parameters (%) | Cs (m/s) | UCS (MPa) | Peak Strain (%) | Es (GPa) | ||
|---|---|---|---|---|---|---|---|
| Mass | Volume | Density | |||||
| 20 | 0 | 0 | 0 | 4558.4 | 103.5 | 1.73 | 9.30 |
| 200 | −0.170 | 0.092 | −0.261 | 3124.8 | 96.6 | 1.72 | 8.99 |
| 300 | −0.144 | 0.312 | −0.454 | 2840.9 | 85.2 | 1.75 | 8.13 |
| 400 | −0.174 | 0.677 | −0.844 | 1995.3 | 74.8 | 1.82 | 7.17 |
| 500 | −0.272 | 1.726 | −1.964 | 1202.7 | 66.5 | 2.07 | 5.95 |
| 600 | −0.346 | 3.190 | −3.427 | 950.9 | 55.1 | 2.49 | 4.30 |
| T (°C) | No. | Impact Gas Pressure (MPa) | ||||||||||||||
|---|---|---|---|---|---|---|---|---|---|---|---|---|---|---|---|---|
| 0.5 | 0.6 | 0.7 | 0.8 | 0.9 | ||||||||||||
| 20 | 1 | 25.0 | 32.8 | 110.1 | 31.8 | 47.4 | 136.5 | 45.1 | 39.8 | 150.8 | 52.5 | 43.5 | 162.9 | 70.5 | 46.7 | 174.5 |
| 2 | 26.5 | 33.4 | 118.4 | 30.5 | 46.1 | 138.5 | 46.2 | 41.3 | 155.5 | 50.6 | 42.8 | 158.1 | 72.4 | 45.6 | 178.6 | |
| 3 | 23.9 | 32.5 | 102.6 | 31.6 | 47.5 | 136.6 | 45.0 | 39.0 | 146.6 | 53.7 | 43.1 | 167.2 | 67.2 | 46.9 | 170.7 | |
| Ave | 25.1 | 32.7 | 110.4 | 31.3 | 47.0 | 137.2 | 45.3 | 40.0 | 151.0 | 52.3 | 43.1 | 162.7 | 70.0 | 46.4 | 174.6 | |
| 200 | 1 | 27.1 | 30.0 | 109.5 | 45.3 | 36.1 | 138.5 | 58.3 | 32.7 | 148.1 | 71.4 | 33.9 | 163.8 | 80.7 | 28.6 | 169.2 |
| 2 | 28.5 | 33.7 | 111.2 | 46.3 | 35.5 | 140.1 | 60.1 | 33.2 | 150.3 | 73.8 | 34.8 | 167.5 | 78.3 | 29.1 | 167.3 | |
| 3 | 26.6 | 32.1 | 106.3 | 44.1 | 35.0 | 136.0 | 57.6 | 33.5 | 146.4 | 69.4 | 34.5 | 157.6 | 81.1 | 30.9 | 171.1 | |
| Ave | 27.4 | 31.9 | 109.0 | 45.2 | 35.5 | 138.2 | 58.7 | 33.1 | 148.3 | 71.5 | 34.4 | 163.0 | 80.0 | 29.5 | 169.2 | |
| 300 | 1 | 32.2 | 34.5 | 114.3 | 46.3 | 36.9 | 130.6 | 56.7 | 34.4 | 146.1 | 74.5 | 34.9 | 157.4 | 87.6 | 39.7 | 166.8 |
| 2 | 33.4 | 33.1 | 116.7 | 47.9 | 36.1 | 132.9 | 55.3 | 35.1 | 145.6 | 76.2 | 35.9 | 158.9 | 89.4 | 37.2 | 169.1 | |
| 3 | 31.7 | 34.7 | 113.1 | 45.9 | 35.9 | 129.2 | 54.6 | 32.9 | 144.4 | 73.8 | 34.1 | 156.7 | 87.3 | 38.4 | 165.1 | |
| Ave | 32.4 | 34.1 | 114.7 | 46.7 | 36.3 | 130.9 | 55.5 | 34.1 | 145.4 | 74.8 | 35.0 | 157.7 | 88.1 | 38.4 | 167.0 | |
| 400 | 1 | 47.1 | 25.4 | 108.5 | 52.1 | 26.1 | 126.7 | 70.1 | 24.4 | 144.9 | 81.3 | 29.5 | 154.0 | 94.8 | 27.4 | 169.1 |
| 2 | 48.9 | 25.9 | 110.8 | 51.4 | 27.3 | 125.3 | 72.1 | 25.6 | 147.1 | 80.6 | 32.1 | 150.4 | 97.4 | 29.1 | 174.2 | |
| 3 | 46.1 | 24.4 | 107.4 | 54.6 | 26.8 | 129.1 | 67.8 | 25.3 | 142.0 | 83.0 | 28.7 | 156.4 | 95.5 | 27.9 | 171.9 | |
| Ave | 47.4 | 24.8 | 108.9 | 52.7 | 26.7 | 127.0 | 70.0 | 25.1 | 144.7 | 81.6 | 30.1 | 153.6 | 95.9 | 28.1 | 171.7 | |
| 500 | 1 | 52.1 | 22.0 | 99.6 | 60.0 | 21.0 | 125.1 | 82.0 | 22.2 | 138.1 | 99.3 | 21.7 | 147.9 | 104.3 | 21.5 | 153.4 |
| 2 | 53.7 | 22.0 | 103.4 | 62.9 | 22.3 | 128.6 | 83.9 | 24.0 | 141.6 | 96.9 | 23.4 | 146.5 | 103.1 | 23.4 | 150.2 | |
| 3 | 50.3 | 20.1 | 97.3 | 58.8 | 20.4 | 122.9 | 81.0 | 21.3 | 135.8 | 102.5 | 21.0 | 150.3 | 107.6 | 20.8 | 157.5 | |
| Ave | 52.0 | 21.7 | 100.1 | 60.6 | 21.2 | 125.5 | 82.3 | 22.5 | 138.5 | 99.0 | 22.0 | 148.2 | 105.0 | 21.9 | 153.7 | |
| 600 | 1 | 71.3 | 10.3 | 70.5 | 84.2 | 13.4 | 98.5 | 110.5 | 15.4 | 110.6 | 130.9 | 13.9 | 117.1 | 142.1 | 13.2 | 133.2 |
| 2 | 72.9 | 12.1 | 73.5 | 86.4 | 13.1 | 100.4 | 114.3 | 16.0 | 114.1 | 133.1 | 14.2 | 120.4 | 144.5 | 14.4 | 135.5 | |
| 3 | 68.1 | 9.7 | 68.3 | 83.2 | 11.9 | 96.1 | 109.2 | 14.1 | 109.3 | 127.1 | 13.6 | 115.3 | 140.8 | 12.9 | 128.9 | |
| Ave | 70.8 | 10.7 | 70.8 | 84.6 | 12.8 | 98.3 | 111.3 | 15.2 | 111.3 | 130.4 | 13.6 | 117.6 | 142.5 | 13.5 | 132.5 | |
Publisher’s Note: MDPI stays neutral with regard to jurisdictional claims in published maps and institutional affiliations. |
© 2022 by the authors. Licensee MDPI, Basel, Switzerland. This article is an open access article distributed under the terms and conditions of the Creative Commons Attribution (CC BY) license (https://creativecommons.org/licenses/by/4.0/).
Share and Cite
Wu, Y.; Huang, L.; Li, X.; Guo, Y.; Liu, H.; Wang, J. Effects of Strain Rate and Temperature on Physical Mechanical Properties and Energy Dissipation Features of Granite. Mathematics 2022, 10, 1521. https://doi.org/10.3390/math10091521
Wu Y, Huang L, Li X, Guo Y, Liu H, Wang J. Effects of Strain Rate and Temperature on Physical Mechanical Properties and Energy Dissipation Features of Granite. Mathematics. 2022; 10(9):1521. https://doi.org/10.3390/math10091521
Chicago/Turabian StyleWu, Yangchun, Linqi Huang, Xibing Li, Yide Guo, Huilin Liu, and Jiajun Wang. 2022. "Effects of Strain Rate and Temperature on Physical Mechanical Properties and Energy Dissipation Features of Granite" Mathematics 10, no. 9: 1521. https://doi.org/10.3390/math10091521
APA StyleWu, Y., Huang, L., Li, X., Guo, Y., Liu, H., & Wang, J. (2022). Effects of Strain Rate and Temperature on Physical Mechanical Properties and Energy Dissipation Features of Granite. Mathematics, 10(9), 1521. https://doi.org/10.3390/math10091521
