Generalization of Reset Controllers to Fractional Orders
Abstract
1. Introduction
2. Background
2.1. Fractional Calculus
2.2. Reset Controllers
3. Results
3.1. Generalization to Fractional Orders
- We calculated a fractional derivative with an order , such that the obtained quantity became the integrable slope of the desired fractional derivative of order (e.g., for a fractional CI, );
- We integrated the result at each time step (thus, for the fractional CI, the order became );
- At the reset instances, the integration result was multiplied by .
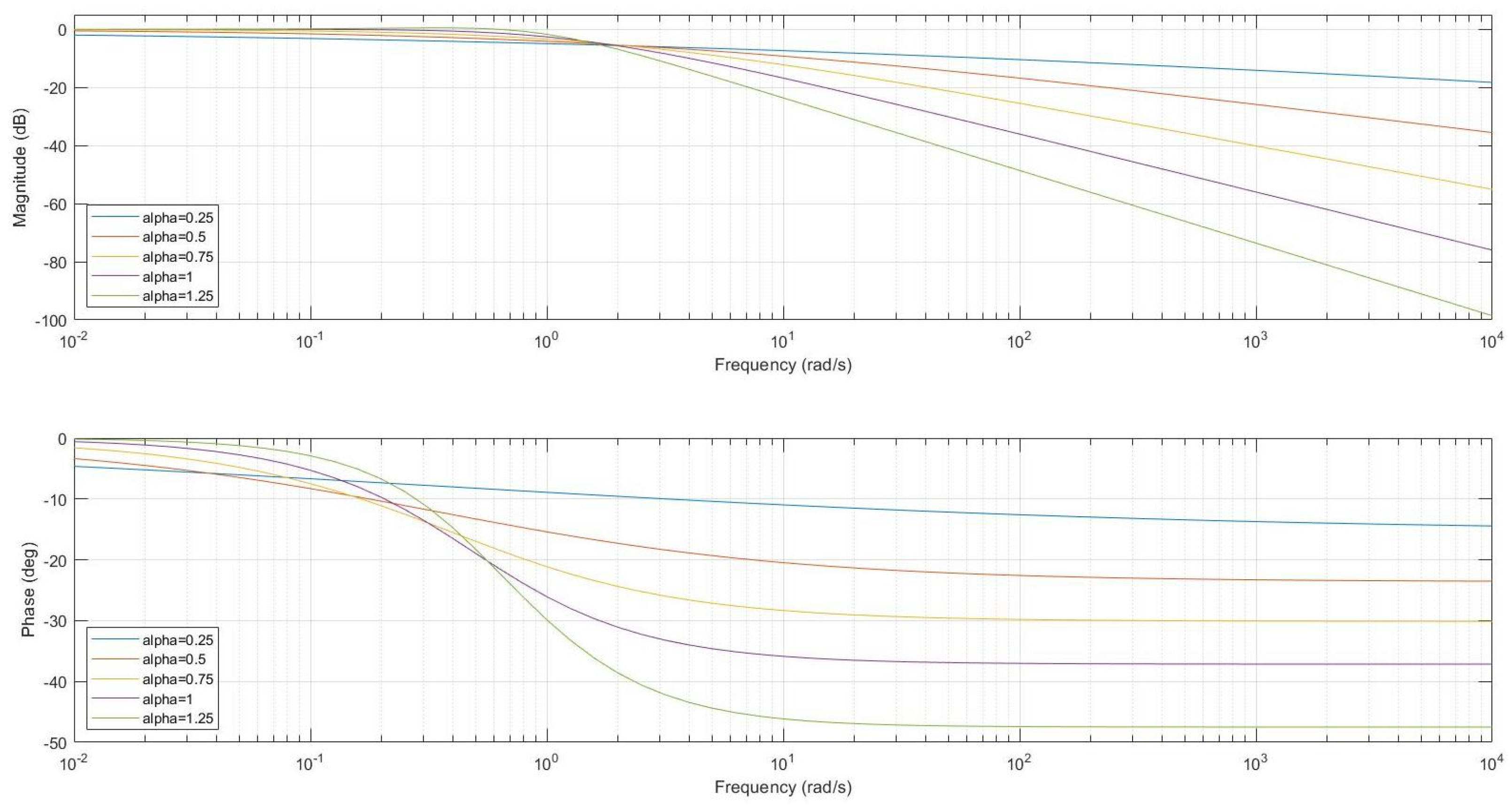
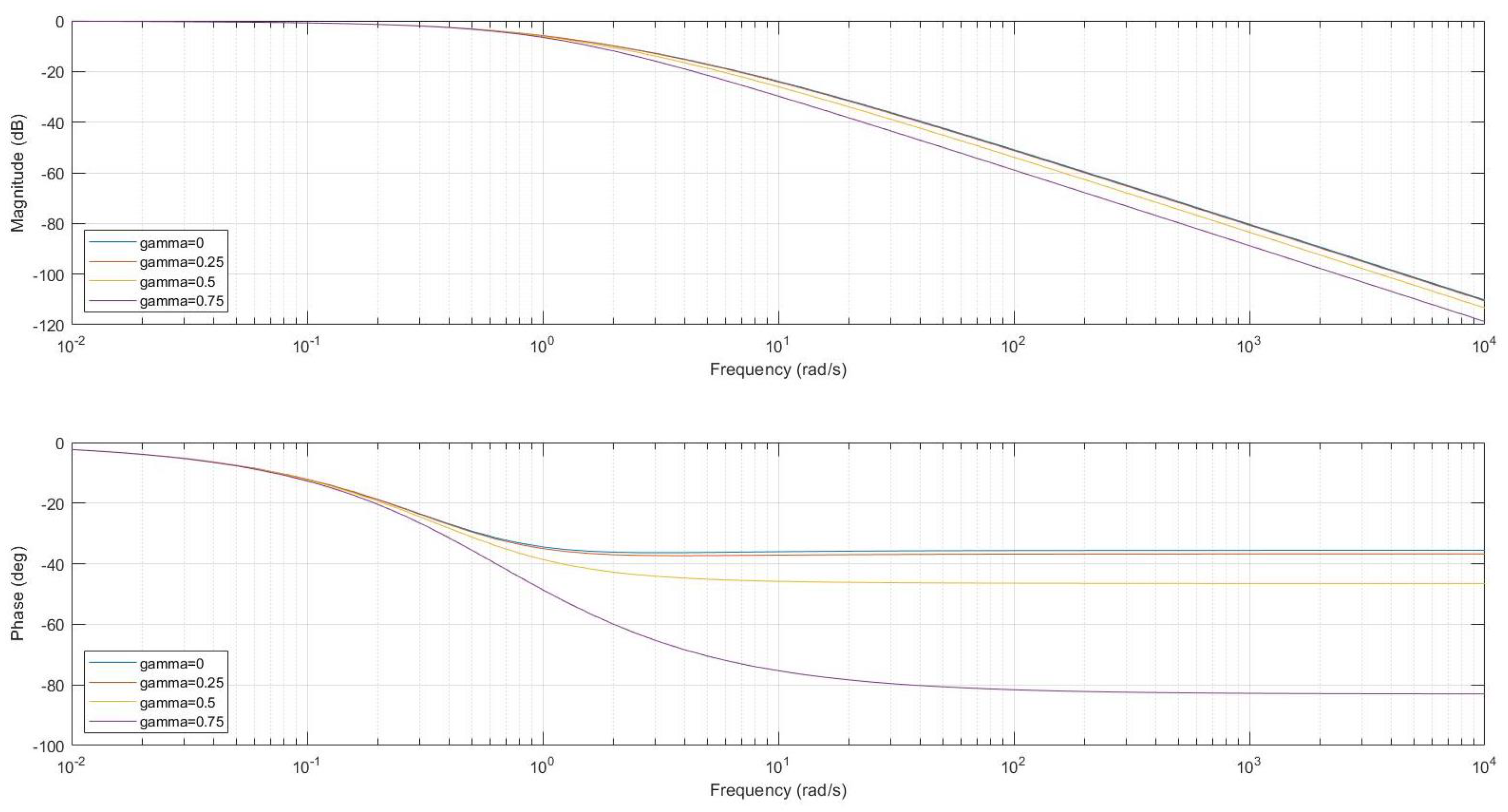
3.2. Fractional CI
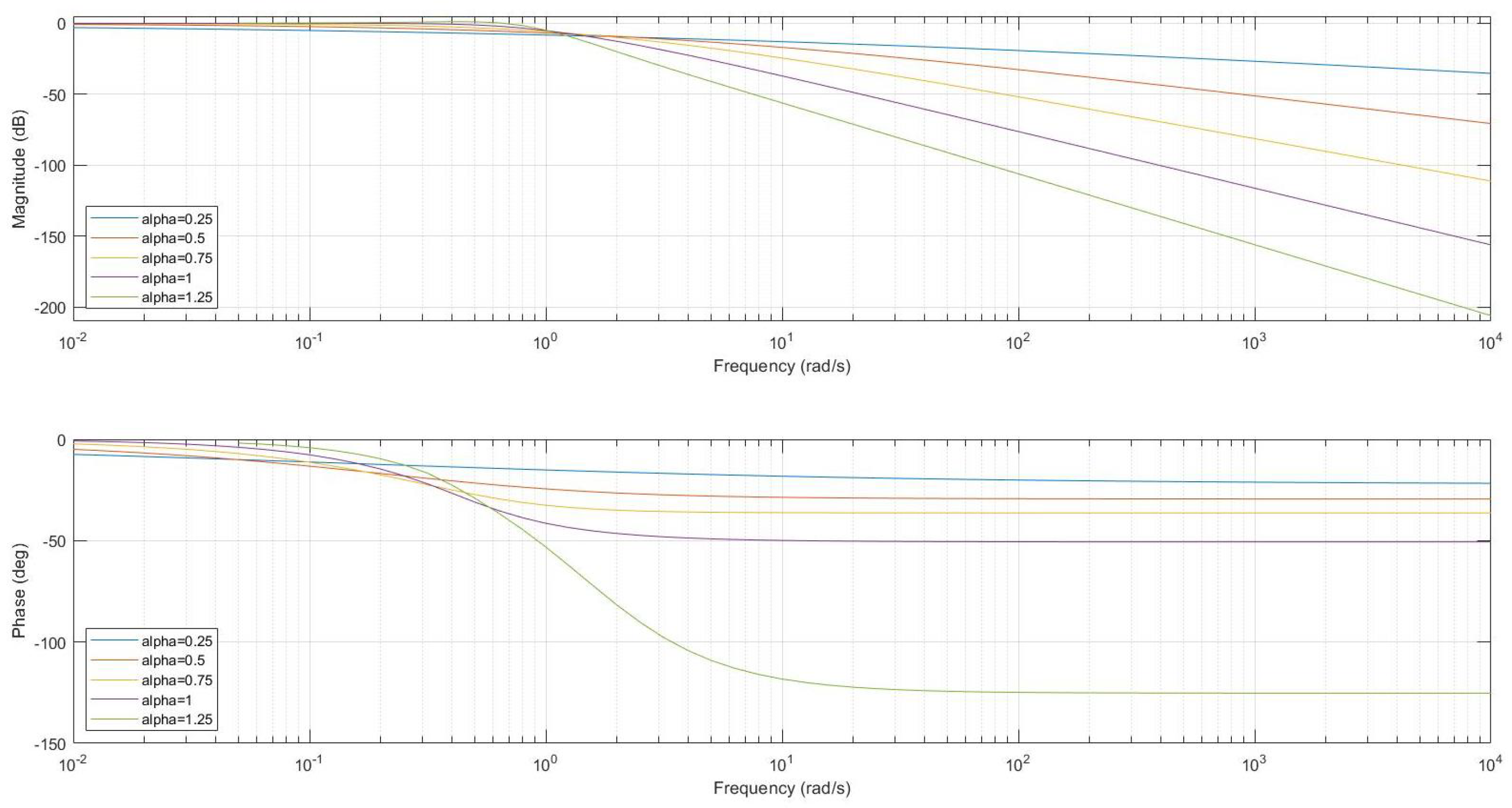
3.3. Fractional GFORE
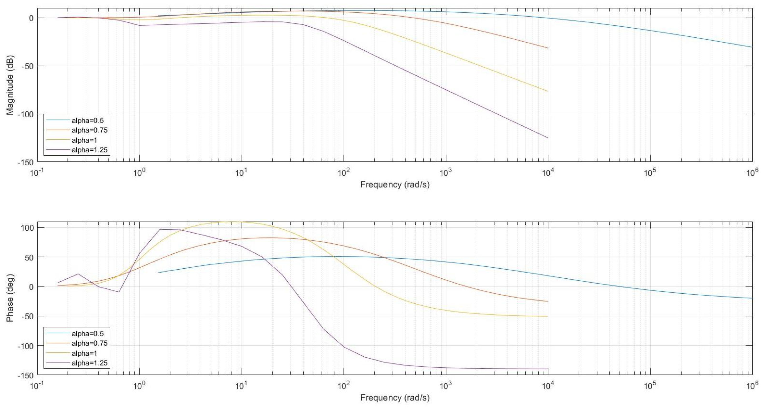
3.4. Other Generalizations
- fractional GSORE
- fractional CgLp-GFORE
- fractional CgLp-GSORE
- fractional GSORE
- fractional CgLp-GFORE
- fractional CgLp-GSORE




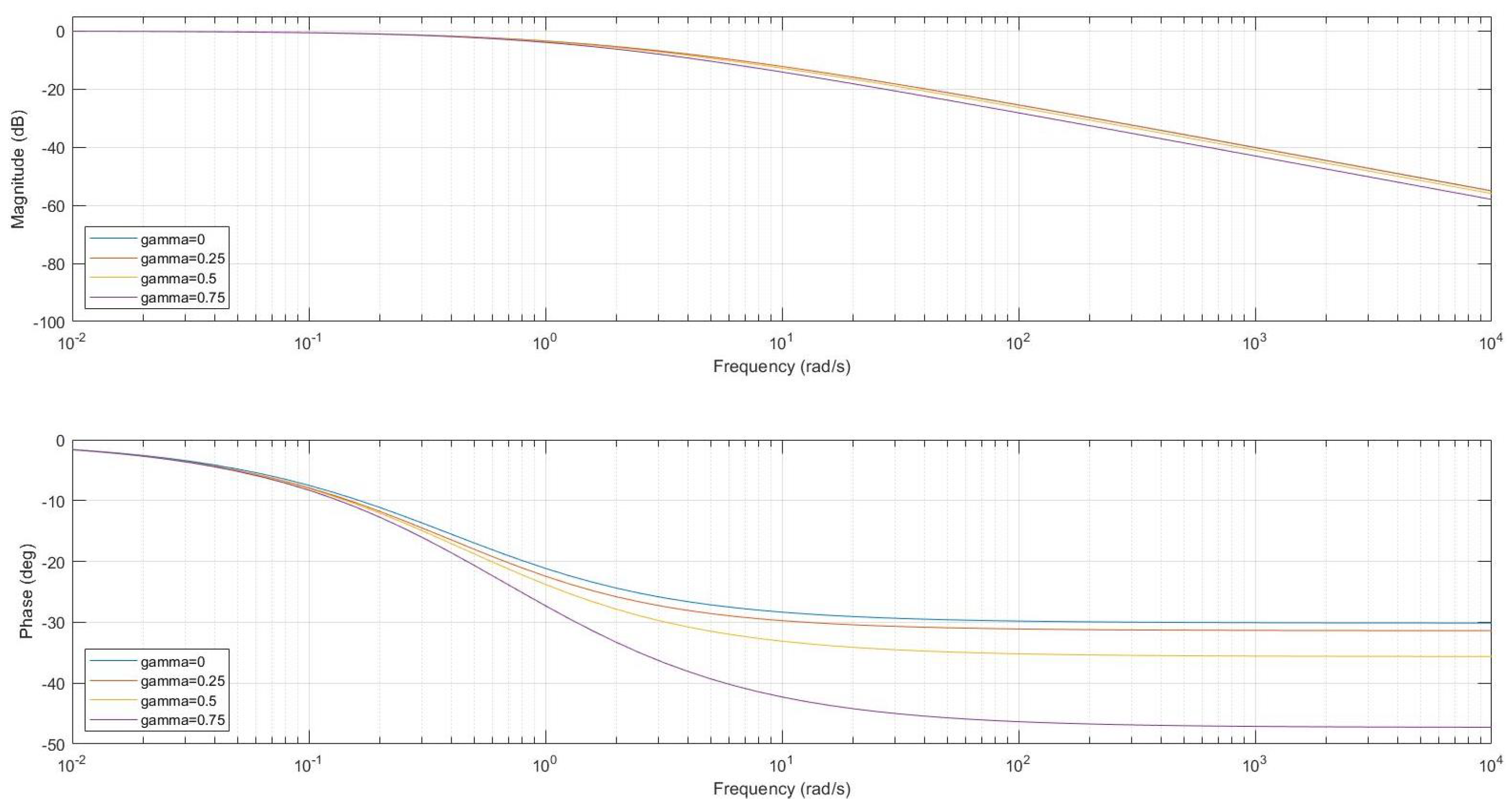
3.5. Analysis of the Describing Functions of the Generalizations








3.6. Application Example
4. Conclusions
Author Contributions
Funding
Institutional Review Board Statement
Informed Consent Statement
Data Availability Statement
Conflicts of Interest
References
- Åström, K.J. Limitations on Control System Performance. Eur. J. Control 2000, 6, 2–20. [Google Scholar] [CrossRef]
- Goodwin, G.C.; Graebe, S.F.; Salgado, M.E. Control System Design; Prentice-Hall: Upper Saddle River, NJ, USA; New Delhi, India, 2001. [Google Scholar]
- Seron, M.M.; Braslavsky, J.H.; Goodwin, G.C. Fundamental Limitations in Filtering and Control; Springer: Berlin/Heidelberg, Germany, 1997. [Google Scholar]
- Beker, O.; Hollot, C.V.; Chait, Y. Plant with integrator: An example of reset control overcoming limitations of linear feedback. In Proceedings of the 2001 American Control Conference, Arlington, VA, USA, 25–27 June 2001. [Google Scholar]
- Åström, K.J.; Murray, R.M. Feedback Systems: An Introduction for Scientists and Engineers; Princeton University Press: Princeton, NJ, USA, 2008. [Google Scholar]
- Clegg, J.C. A nonlinear integrator for Servomechanisms. Trans. Am. Inst. Electr. Eng. Part II Appl. Ind. 1958, 77, 41–42. [Google Scholar] [CrossRef]
- Guo, Y.; Wang, Y.; Xie, L. Frequency-domain properties of reset systems with application in hard-disk-drive systems. IEEE Trans. Control Syst. Technol. 2009, 17, 1446–1453. [Google Scholar]
- Hazeleger, L.; Heertjes, M.; Nijmeijer, H. Second-order reset elements for Stage Control Design. In Proceedings of the 2006 American Control Conference (ACC), Minneapolis, MN, USA, 14–16 June 2006. [Google Scholar]
- Saikumar, N.; Sinha, R.K.; HosseinNia, S.H. “Constant in gain lead in phase” element—Application in Precision Motion Control. IEEE/ASME Trans. Mechatron. 2019, 24, 1176–1185. [Google Scholar] [CrossRef]
- Valério, D.; Sá da Costa, J. An Introduction to Fractional Control; IET Control Engineering Series, 91; Institution of Engineering and Technology: London, UK, 2013. [Google Scholar]
- Valério, D.; Sá da Costa, J. Fractional reset control. Signal Image Video Process. 2012, 6, 495–501. [Google Scholar] [CrossRef]
- HosseinNia, S.H.; Tejado, I.; Vinagre, B.M. Fractional-order Reset Control: Application to a servomotor. Mechatronics 2013, 23, 781–788. [Google Scholar] [CrossRef]
- Monje Concepción, A. Fractional-Order Systems and Controls: Fundamentals and Applications; Springer: Berlin/Heidelberg, Germany, 2010. [Google Scholar]
- Saikumar, N.; HosseinNia, H. Generalized Fractional Order Reset Element (GFrORE). In Proceedings of the 9th European Nonlinear Dynamics Conference, Budapest, Hungary, 21–30 June 2017. [Google Scholar]
- Chen, L.; Saikumar, N.; HosseinNia, S. Development of Robust Fractional-Order Reset Control. IEEE Trans. Control Syst. Technol. 2020, 28, 1404–1417. [Google Scholar] [CrossRef]
- Karbasizadeh, N.; Saikumar, N.; HosseinNia, S. Fractional-order single state reset element. Nonlinear Dyn. 2021, 104, 413–427. [Google Scholar] [CrossRef]
- Oustaloup, A.; Mathieu, B.; Melchior, P.L. Commande CRONE: Commande Robuste d’Ordre Non Entier; Hermès: Paris, France, 1991. [Google Scholar]
- Valério, D.; Ortigueira, M.D.; Lopes, A.M. How Many Fractional Derivatives Are There? Mathematics 2022, 10, 737. [Google Scholar] [CrossRef]
- Podlubny, I. Fractional Differential Equations; Academic Press: San Diego, CA, USA, 1999. [Google Scholar]
- Miller, K.; Ross, B.A. Introduction to the Fractional Calculus and Fractional Differential Equations; Wiley: New York, NY, USA, 1993. [Google Scholar]
- Ortigueira, M.D.; Tenreiro Machado, J.A. What is a fractional derivative? J. Comput. Phys. 2015, 293, 4–13. [Google Scholar] [CrossRef]
- Ortigueira, M.D.; Tenreiro Machado, J.A. Which Derivative? Fractal Fract. 2017, 1, 3. [Google Scholar] [CrossRef]
- Yang, X.; Peng, D.; Lv, X.; Li, X. Recent progress in impulsive control systems. Math. Comput. Simul. 2017, 155, 244–268. [Google Scholar] [CrossRef]














Publisher’s Note: MDPI stays neutral with regard to jurisdictional claims in published maps and institutional affiliations. |
© 2022 by the authors. Licensee MDPI, Basel, Switzerland. This article is an open access article distributed under the terms and conditions of the Creative Commons Attribution (CC BY) license (https://creativecommons.org/licenses/by/4.0/).
Share and Cite
Paz, H.; Valério, D. Generalization of Reset Controllers to Fractional Orders. Mathematics 2022, 10, 4630. https://doi.org/10.3390/math10244630
Paz H, Valério D. Generalization of Reset Controllers to Fractional Orders. Mathematics. 2022; 10(24):4630. https://doi.org/10.3390/math10244630
Chicago/Turabian StylePaz, Henrique, and Duarte Valério. 2022. "Generalization of Reset Controllers to Fractional Orders" Mathematics 10, no. 24: 4630. https://doi.org/10.3390/math10244630
APA StylePaz, H., & Valério, D. (2022). Generalization of Reset Controllers to Fractional Orders. Mathematics, 10(24), 4630. https://doi.org/10.3390/math10244630

