An End-to-End Real-Time Lightweight Network for the Joint Segmentation of Optic Disc and Optic Cup on Fundus Images
Abstract
1. Introduction
- 1
- An end-to-end lightweight and efficient network model for OD and OC segmentation, GlauNet, is proposed, which significantly reduces the number of model parameters and computational complexity, and achieves competitive OD and OC segmentation results without the need for pretrained weights.
- 2
- A multiscale boundary fusion (MBF) module is designed according to the characteristics of fundus images, including a multiscale feature fusion (MFF) branch and a boundary feature auxiliary (BFA) branch. This module fuses the multiscale feature map obtained by the MFF branch and the boundary feature map obtained by the BFA branch, which improves the segmentation accuracy of the optic disc and the optic cup and the robustness of the segmentation algorithm.
- 3
- GlauNet is committed to the deployment and application of mobile devices. The model parameters are only 0.8M, and it only takes 13 ms to assess an 800 × 800 fundus image on a GTX 3070 GPU.
2. Methods
2.1. Overall Architecture
2.1.1. Spatial-Detail Information-Extraction Module
2.1.2. Context-Information-Extraction Module
2.1.3. Decoder Header Module
2.2. Multiscale Boundary-Fusion Module
2.3. Loss Function
3. Experiments and Results
3.1. Datasets
3.2. Implementation Details
3.3. Evaluation Criteria
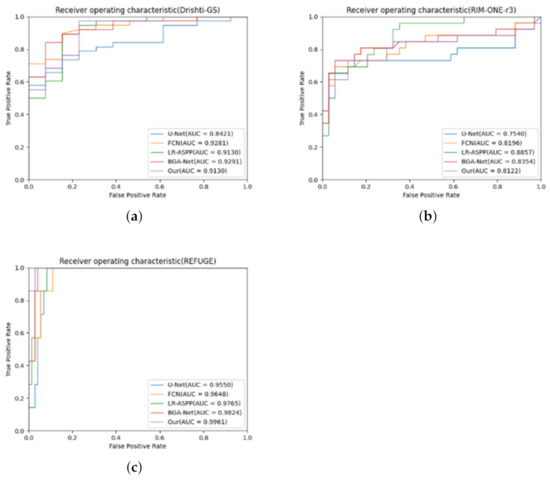
3.4. Experimental Results
3.5. Model Performance
4. Ablation Experiments
5. Discussion
6. Conclusions
Author Contributions
Funding
Institutional Review Board Statement
Informed Consent Statement
Data Availability Statement
Conflicts of Interest
References
- Akram, M.U.; Tariq, A.; Khalid, S.; Javed, M.Y.; Abbas, S.; Yasin, U.U. Glaucoma detection using novel optic disc localization, hybrid feature set and classification techniques. Australas. Phys. Eng. Sci. Med. 2015, 38, 643–655. [Google Scholar] [CrossRef] [PubMed]
- Zhao, X.; Wang, S.; Zhao, J.; Wei, H.; Xiao, M.; Ta, N. Application of an attention u-net incorporating transfer learning for optic disc and cup segmentation. Signal Image Video Process. 2021, 15, 913–921. [Google Scholar] [CrossRef]
- Luo, L.; Xue, D.; Pan, F.; Feng, X. Joint optic disc and optic cup segmentation based on boundary prior and adversarial learning. Int. J. Comput. Assist. Radiol. Surg. 2021, 16, 905–914. [Google Scholar] [CrossRef]
- Wang, S.; Yu, L.; Li, K.; Yang, X.; Fu, C.W.; Heng, P.A. Boundary and entropy-driven adversarial learning for fundus image segmentation. In Proceedings of the International Conference on Medical Image Computing and Computer-Assisted Intervention, Shenzhen, China, 13–17 October 2019; pp. 102–110. [Google Scholar]
- Liu, B.; Pan, D.; Song, H. Joint optic disc and cup segmentation based on densely connected depthwise separable convolution deep network. BMC Med. Imaging 2021, 21, 1–12. [Google Scholar] [CrossRef] [PubMed]
- Lei, H.; Liu, W.; Xie, H.; Zhao, B.; Yue, G.; Lei, B. Unsupervised domain adaptation based image synthesis and feature alignment for joint optic disc and cup segmentation. IEEE J. Biomed. Health Inform. 2021, 26, 90–102. [Google Scholar] [CrossRef] [PubMed]
- Simonyan, K.; Zisserman, A. Very deep convolutional networks for large-scale image recognition. arXiv 2014, arXiv:1409.1556. [Google Scholar]
- He, K.; Zhang, X.; Ren, S.; Sun, J. Deep residual learning for image recognition. In Proceedings of the IEEE Conference on Computer Vision and Pattern Recognition, Las Vegas, NV, USA, 27–30 June 2016; pp. 770–778. [Google Scholar]
- Chen, L.C.; Papandreou, G.; Kokkinos, I.; Murphy, K.; Yuille, A.L. Semantic image segmentation with deep convolutional nets and fully connected crfs. arXiv 2014, arXiv:1412.7062. [Google Scholar]
- Chen, L.C.; Papandreou, G.; Kokkinos, I.; Murphy, K.; Yuille, A.L. Deeplab: Semantic image segmentation with deep convolutional nets, atrous convolution, and fully connected crfs. IEEE Trans. Pattern Anal. Mach. Intell. 2017, 40, 834–848. [Google Scholar] [CrossRef]
- Chen, L.C.; Papandreou, G.; Schroff, F.; Adam, H. Rethinking atrous convolution for semantic image segmentation. arXiv 2017, arXiv:1706.05587. [Google Scholar]
- Chen, L.C.; Zhu, Y.; Papandreou, G.; Schroff, F.; Adam, H. Encoder-decoder with atrous separable convolution for semantic image segmentation. In Proceedings of the European conference on computer vision (ECCV), Munich, Germany, 8–14 September 2018; pp. 801–818. [Google Scholar]
- Poudel, R.P.; Liwicki, S.; Cipolla, R. Fast-scnn: Fast semantic segmentation network. arXiv 2019, arXiv:1902.04502. [Google Scholar]
- Wu, H.; Zhang, J.; Huang, K.; Liang, K.; Yu, Y. Fastfcn: Rethinking dilated convolution in the backbone for semantic segmentation. arXiv 2019, arXiv:1903.11816. [Google Scholar]
- Paszke, A.; Chaurasia, A.; Kim, S.; Culurciello, E. Enet: A deep neural network architecture for real-time semantic segmentation. arXiv 2016, arXiv:1606.02147. [Google Scholar]
- Yu, C.; Wang, J.; Peng, C.; Gao, C.; Yu, G.; Sang, N. Bisenet: Bilateral segmentation network for real-time semantic segmentation. In Proceedings of the European Conference on Computer Vision (ECCV), Munich, Germany, 8–14 September 2018; pp. 325–341. [Google Scholar]
- Szegedy, C.; Vanhoucke, V.; Ioffe, S.; Shlens, J.; Wojna, Z. Rethinking the inception architecture for computer vision. In Proceedings of the IEEE Conference on Computer Vision and Pattern Recognition, Las Vegas, NV, USA, 27–30 June 2016; pp. 2818–2826. [Google Scholar]
- Zhao, H.; Shi, J.; Qi, X.; Wang, X.; Jia, J. Pyramid scene parsing network. In Proceedings of the IEEE Conference on Computer Vision and Pattern Recognition, Honolulu, HI, USA, 21–26 July 2017; pp. 2881–2890. [Google Scholar]
- Jiang, T.; Jin, Y.; Liang, T.; Wang, X.; Li, Y. Boundary Corrected Multi-scale Fusion Network for Real-time Semantic Segmentation. arXiv 2022, arXiv:2203.00436. [Google Scholar]
- Ioffe, S.; Szegedy, C. Batch normalization: Accelerating deep network training by reducing internal covariate shift. In Proceedings of the International Conference on Machine Learning, PMLR, Lille, France, 7–9 July 2015; pp. 448–456. [Google Scholar]
- Sandler, M.; Howard, A.; Zhu, M.; Zhmoginov, A.; Chen, L.C. Mobilenetv2: Inverted residuals and linear bottlenecks. In Proceedings of the IEEE Conference on Computer Vision and Pattern Recognition, Salt Lake City, UT, USA, 18–23 June 2018; pp. 4510–4520. [Google Scholar]
- Sivaswamy, J.; Krishnadas, S.; Joshi, G.D.; Jain, M.; Tabish, A.U.S. Drishti-gs: Retinal image dataset for optic nerve head (onh) segmentation. In Proceedings of the 2014 IEEE 11th International Symposium on Biomedical Imaging (ISBI), Beijing, China, 29 April–2 May 2014; pp. 53–56. [Google Scholar]
- Fumero, F.; Alayón, S.; Sanchez, J.L.; Sigut, J.; Gonzalez-Hernandez, M. RIM-ONE: An open retinal image database for optic nerve evaluation. In Proceedings of the 2011 24th International Symposium on Computer-Based Medical Systems (CBMS), Bristol, UK, 27–30 June 2011; pp. 1–6. [Google Scholar]
- Orlando, J.I.; Fu, H.; Breda, J.B.; Van Keer, K.; Bathula, D.R.; Diaz-Pinto, A.; Fang, R.; Heng, P.A.; Kim, J.; Lee, J.; et al. Refuge challenge: A unified framework for evaluating automated methods for glaucoma assessment from fundus photographs. Med. Image Anal. 2020, 59, 101570. [Google Scholar] [CrossRef] [PubMed]
- Fu, H.; Cheng, J.; Xu, Y.; Wong, D.W.K.; Liu, J.; Cao, X. Joint optic disc and cup segmentation based on multi-label deep network and polar transformation. IEEE Trans. Med. Imaging 2018, 37, 1597–1605. [Google Scholar] [CrossRef] [PubMed]
- Ronneberger, O.; Fischer, P.; Brox, T. U-net: Convolutional networks for biomedical image segmentation. In Proceedings of the International Conference on Medical Image Computing and Computer-Assisted Intervention, Munich, Germany, 5–9 October 2015; pp. 234–241. [Google Scholar]
- Long, J.; Shelhamer, E.; Darrell, T. Fully convolutional networks for semantic segmentation. In Proceedings of the IEEE Conference on Computer Vision and Pattern Recognition, Boston, MA, USA, 7–12 June 2015; pp. 3431–3440. [Google Scholar]
- Howard, A.; Sandler, M.; Chu, G.; Chen, L.C.; Chen, B.; Tan, M.; Wang, W.; Zhu, Y.; Pang, R.; Vasudevan, V.; et al. Searching for mobilenetv3. In Proceedings of the IEEE/CVF International Conference on Computer Vision, Seoul, Korea, 27 October–2 November 2019; pp. 1314–1324. [Google Scholar]
- Tabassum, M.; Khan, T.M.; Arsalan, M.; Naqvi, S.S.; Ahmed, M.; Madni, H.A.; Mirza, J. CDED-Net: Joint segmentation of optic disc and optic cup for glaucoma screening. IEEE Access 2020, 8, 102733–102747. [Google Scholar] [CrossRef]
- Zilly, J.; Buhmann, J.M.; Mahapatra, D. Glaucoma detection using entropy sampling and ensemble learning for automatic optic cup and disc segmentation. Comput. Med. Imaging Graph. 2017, 55, 28–41. [Google Scholar] [CrossRef]
- Al-Bander, B.; Williams, B.M.; Al-Nuaimy, W.; Al-Taee, M.A.; Pratt, H.; Zheng, Y. Dense fully convolutional segmentation of the optic disc and cup in colour fundus for glaucoma diagnosis. Symmetry 2018, 10, 87. [Google Scholar] [CrossRef]
- Gu, Z.; Cheng, J.; Fu, H.; Zhou, K.; Hao, H.; Zhao, Y.; Zhang, T.; Gao, S.; Liu, J. Ce-net: Context encoder network for 2d medical image segmentation. IEEE Trans. Med. Imaging 2019, 38, 2281–2292. [Google Scholar] [CrossRef]
- Xu, Y.L.; Lu, S.; Li, H.X.; Li, R.R. Mixed maximum loss design for optic disc and optic cup segmentation with deep learning from imbalanced samples. Sensors 2019, 19, 4401. [Google Scholar] [CrossRef]
- Yu, S.; Xiao, D.; Frost, S.; Kanagasingam, Y. Robust optic disc and cup segmentation with deep learning for glaucoma detection. Comput. Med. Imaging Graph. 2019, 74, 61–71. [Google Scholar] [CrossRef] [PubMed]
- Fawcett, T. An introduction to ROC analysis. Pattern Recognit. Lett. 2006, 27, 861–874. [Google Scholar] [CrossRef]
- Zheng, Y.; Zhang, X.; Xu, X.; Tian, Z.; Du, S. Deep level set method for optic disc and cup segmentation on fundus images. Biomed. Opt. Express 2021, 12, 6969–6983. [Google Scholar] [CrossRef]
- Wang, L.; Li, R.; Zhang, C.; Fang, S.; Duan, C.; Meng, X.; Atkinson, P.M. UNetFormer: A UNet-like transformer for efficient semantic segmentation of remote sensing urban scene imagery. ISPRS J. Photogramm. Remote. Sens. 2022, 190, 196–214. [Google Scholar] [CrossRef]
- Lou, A.; Guan, S.; Loew, M. DC-UNet: Rethinking the U-Net architecture with dual channel efficient CNN for medical image segmentation. In Medical Imaging 2021: Image Processing; SPIE: Bellingham, WA, USA, 2021; pp. 758–768. [Google Scholar]













| Methods | OD | OC | |||||
|---|---|---|---|---|---|---|---|
| DI | Jaccard | SEN | DI | Jaccard | SEN | ||
| U-Net [26] | 0.9487 | 0.9049 | 0.9198 | 0.8290 | 0.7254 | 0.8239 | 0.081 |
| FCN-8s [27] | 0.9559 | 0.9177 | 0.9367 | 0.8635 | 0.7730 | 0.8669 | 0.060 |
| LR-ASPP [28] | 0.9675 | 0.9378 | 0.9710 | 0.8645 | 0.7777 | 0.8864 | 0.064 |
| Tabassum [29] | 0.9597 | 0.9183 | 0.9754 | 0.924 | 0.8632 | 0.9567 | - |
| Zilly [30] | 0.973 | 0.914 | - | 0.871 | 0.85 | - | - |
| AlBander [31] | 0.949 | 0.9042 | 0.9268 | 0.8282 | 0.7113 | 0.7413 | - |
| Xiao [2] | 0.9638 | 0.9301 | 0.9488 | 0.8793 | 0.7846 | 0.8765 | - |
| M-Net [25] | 0.9678 | 0.9386 | 0.9711 | 0.8618 | 0.7730 | 0.8822 | 0.092 |
| CE-Net [32] | 0.9642 | 0.9323 | 0.9759 | 0.8818 | 0.8006 | 0.8819 | 0.076 |
| MSMKU [33] | 0.9780 | 0.9496 | 0.9792 | 0.8921 | 0.8232 | 0.9157 | 0.054 |
| Proposed | 0.9701 | 0.9422 | 0.9878 | 0.8959 | 0.8223 | 0.9343 | 0.043 |
| Methods | OD | OC | |||||
|---|---|---|---|---|---|---|---|
| DI | Jaccard | SEN | DI | Jaccard | SEN | ||
| U-Net [26] | 0.9273 | 0.8778 | 0.9055 | 0.7434 | 0.6350 | 0.6812 | 0.104 |
| FCN-8s [27] | 0.9543 | 0.9144 | 0.9318 | 0.8016 | 0.6898 | 0.7417 | 0.078 |
| LR-ASPP [28] | 0.9582 | 0.9219 | 0.9571 | 0.8330 | 0.7334 | 0.8414 | 0.077 |
| Yu [34] | 0.9610 | 0.9256 | - | 0.8445 | 0.7429 | - | - |
| Tabassum [29] | 0.9582 | 0.9101 | 0.9734 | 0.8622 | 0.7532 | 0.9517 | - |
| AlBander [31] | 0.9036 | 0.8289 | 0.8737 | 0.6903 | 0.5567 | 0.9052 | - |
| Xiao [2] | 0.9401 | 0.8870 | 0.9236 | 0.8397 | 0.7237 | 0.8133 | - |
| CE-Net [32] | 0.9527 | 0.9115 | 0.9502 | 0.8435 | 0.7424 | 0.8352 | 0.059 |
| M-Net [25] | 0.9526 | 0.9114 | 0.9481 | 0.8348 | 0.7300 | 0.8146 | 0.059 |
| MSMKU [33] | 0.9561 | 0.9172 | 0.9521 | 0.8564 | 0.7586 | 0.8515 | 0.051 |
| Proposed | 0.9650 | 0.9328 | 0.9809 | 0.8623 | 0.7666 | 0.8823 | 0.058 |
| Methods | OD | OC | |||||
|---|---|---|---|---|---|---|---|
| DI | Jaccard | SEN | DI | Jaccard | SEN | ||
| U-Net [26] | 0.9457 | 0.8980 | 0.9137 | 0.8608 | 0.7621 | 0.8173 | 0.068 |
| FCN-8s [27] | 0.9530 | 0.9108 | 0.9325 | 0.8645 | 0.7674 | 0.8534 | 0.063 |
| LR-ASPP [28] | 0.9603 | 0.9252 | 0.9619 | 0.8779 | 0.7915 | 0.9029 | 0.059 |
| BGA-Net [3] | 0.9627 | 0.9286 | 0.9699 | 0.8779 | 0.7884 | 0.9001 | 0.056 |
| Proposed | 0.9594 | 0.9228 | 0.9741 | 0.8795 | 0.7927 | 0.9186 | 0.055 |
| Methods | Parameters | Memory | MAdd | FLOPs | Inference Time |
|---|---|---|---|---|---|
| YAO [36] | 109.3 M | - | - | 78.0 G | - |
| DDSC-Net [5] | 46.3 M | 23,012.8 M | 924 G | 458.6 G | - |
| FCN-8s [27] | 13.1 M | 1182 M | 217 G | 95.8 G | 25 ms |
| UNetFormer [37] | 11.7 M | 652 M | 62.6 G | 32.8 G | 16 ms |
| DCUnet [38] | 10.2 M | 4692 M | 381.7 G | 173.6 G | 33 ms |
| BGA-Net [3] | 5.8 M | 1576 M | 129 G | 64.6 G | 22 ms |
| ISFA [6] | 7.0 M | 8022 M | 200.6 G | 98 G | - |
| U-Net [26] | 4.3 M | 1857 M | 196.4 G | 98.3 G | 27 ms |
| LR-ASPP [28] | 3.2 M | 773 M | 9.8G | 4.9 G | 12 ms |
| Fast-SCNN [13] | 1.1 M | 377 M | 4.2 G | 2.1 G | 11 ms |
| Proposed | 0.8 M | 327 M | 4.9 G | 2.5 G | 13 ms |
| Methods | OD | OC | |||||
|---|---|---|---|---|---|---|---|
| DI | Jaccard | SEN | DI | Jaccard | SEN | ||
| Baseline | 0.9640 | 0.9312 | 0.9645 | 0.8325 | 0.7315 | 0.7931 | 0.071 |
| Baseline+MFF | 0.9609 | 0.9254 | 0.9842 | 0.8515 | 0.7524 | 0.8922 | 0.060 |
| Baseline+MFF+BFA | 0.9650 | 0.9328 | 0.9809 | 0.8621 | 0.7666 | 0.8823 | 0.058 |
Publisher’s Note: MDPI stays neutral with regard to jurisdictional claims in published maps and institutional affiliations. |
© 2022 by the authors. Licensee MDPI, Basel, Switzerland. This article is an open access article distributed under the terms and conditions of the Creative Commons Attribution (CC BY) license (https://creativecommons.org/licenses/by/4.0/).
Share and Cite
Liu, Z.; Chen, Y.; Xiang, X.; Li, Z.; Liao, B.; Li, J. An End-to-End Real-Time Lightweight Network for the Joint Segmentation of Optic Disc and Optic Cup on Fundus Images. Mathematics 2022, 10, 4288. https://doi.org/10.3390/math10224288
Liu Z, Chen Y, Xiang X, Li Z, Liao B, Li J. An End-to-End Real-Time Lightweight Network for the Joint Segmentation of Optic Disc and Optic Cup on Fundus Images. Mathematics. 2022; 10(22):4288. https://doi.org/10.3390/math10224288
Chicago/Turabian StyleLiu, Zhijie, Yuanqiong Chen, Xiaohua Xiang, Zhan Li, Bolin Liao, and Jianfeng Li. 2022. "An End-to-End Real-Time Lightweight Network for the Joint Segmentation of Optic Disc and Optic Cup on Fundus Images" Mathematics 10, no. 22: 4288. https://doi.org/10.3390/math10224288
APA StyleLiu, Z., Chen, Y., Xiang, X., Li, Z., Liao, B., & Li, J. (2022). An End-to-End Real-Time Lightweight Network for the Joint Segmentation of Optic Disc and Optic Cup on Fundus Images. Mathematics, 10(22), 4288. https://doi.org/10.3390/math10224288

