Abstract
Aiming at the problem that the existing rumor dissemination models only focus on the characteristics of rumor dissemination and ignore anti-rumor dissemination, an evolution game model, SDIR, based on heat influence is proposed in this paper. Firstly, in order to solve the problem that rumor and anti-rumor information of emergency events disseminate simultaneously in social networks, the model extracts the factors that affect information dissemination: user behavior characteristics, user closeness and heat influence of participating topics. Secondly, anti-rumor information and an evolutionary game mechanism are introduced into the traditional SIR model, binary information is introduced to analyze the anti-rumor dissemination model SDIR, and the four state transitions and dissemination processes of SDIR are discussed. Finally, the SDIR model is experimentally validated in different datasets and dissemination models. The experimental results show that the SDIR model is in line with the actual dissemination law, and it can be proved that high self-identification ability plays a certain role in suppressing rumors; the anti-rumor information effectively inhibits the spread of rumor information to a certain extent. Compared with other models, the SDIR model is closer to the real diffusion range in the dataset.
    MSC:
                68U35
            1. Introduction
Social network platforms produce huge amounts of hot topics every day, which, through various channels, spread quickly in the crowd. Rumor information is spread without restraint in social networks, resulting in serious negative influences on social stability and economic development. Rumor information spreads much farther, faster, deeper, and wider than anti-rumor information []. In addition, there are various kinds of information in social networks, among which a large amount of false information makes it difficult for the public to identify. Therefore, the timely refuting of rumors is particularly important for maintaining a good Internet environment. China’s Internet Joint Rumor Refuting platform classifies all kinds of rumors, dispels them in a targeted way, and opens an online submission platform for rumor clues. Due to the intensified disseminate of rumors on the Internet, the standard of a rumor is uneven, and the rigor of information is greatly missing. As a result, rapidly spreading rumor information causes great harm to the society. It is particularly important to study the law of rumor dissemination and establish an appropriate mechanism to suppress rumor dissemination.
At present, the related research on rumor suppression has attracted the attention of the majority of scholars, who have carried out different types of research [,,,]. However, the existing information dissemination model cannot accurately describe the information dissemination process in social networks. In the research on the rumor dissemination model based on SIR, most studies only analyze the characteristics of rumor dissemination, ignoring the anti-rumor dissemination problem that exists in real life. Since there is a competitive relationship between rumor and anti-rumor dissemination, it is of great significance for users’ decision making in social networks to simulate the information dissemination rule in social networks by establishing the dual information dissemination model of rumors and anti-rumors. Therefore, this paper studies how to accurately describe the environment of rumor dissemination and analyzes the competitive dissemination process of rumors and anti-rumors. On the basis of the SIR model, the evolution game dynamics model is introduced to maximize the user’s own benefits as the starting point to provide users with a decision scheme to calculate the maximum benefit, so as to meet the real situation of the social network. Since different users have different identification capabilities and external influence environments, when facing the same rumor, different rumor identification abilities will affect the decision-making process of benefit maximization. Therefore, this paper aims to establish a dynamic rumor and anti-rumor dissemination model based on the evolution game process, research the internal and external factors that affect rumor dissemination, and put forward a solution to suppress rumor dissemination.
The contribution of this paper is as follows:
- (1)
 - Taking into account internal and external factors such as users’ self-identification ability, self-influence, and the influence of event heat, the user information dissemination benefit function is constructed based on evolutionary game theory.
 - (2)
 - Based on the SIR model, anti-rumor information is introduced, and the SDIR model based on heat influence and the evolutionary game is proposed by combining evolutionary game and network topology, which takes into account the competitive influence of rumor and anti-rumor information. The purpose of more accurately describing the dual information dissemination process in a competitive environment is thus achieved.
 
2. Related Work
At present, the research of some scholars mainly improves the classical information dissemination model, verifying that rumor and anti-rumor coexist and confirming that the network topology has a significant influence on the dissemination path and evolutionary process of public opinion information [,]. Therefore, many researchers have proposed improving the traditional information dissemination model from several aspects. Huang et al. estimated the expected benefits of rumor mongers and the expected total losses of victims from the perspective that rumor mongers are strategic, used differential game theory to solve the problem, and obtained a cost-effective rumor refutation strategy model []. Yao et al. developed a rumor clarification cascade method that dynamically changes the credibility of negative rumors, considering that the credibility of information changes as it spreads, and consequently proposed a cost-randomized greedy algorithm []. Ye et al. constructed a multi-level dissemination model based on entropy and analyzed the dissemination path of a rumor path tree, which effectively prevented the dissemination of rumors []. Jin et al. constructed a rumor dissemination model based on content trust by considering three characteristics of rumors according to information content: the universality of the subject, the severity of influence and the ambiguity of events []. Zhang et al. proposed a model based on biomathematics theory to study the interaction between rumors and rumor refutation and used the model to illustrate three dynamic situations about rumors: rumor extinction, rumor refutation extinction, rumor refutation and rumor coexistence []. Yin et al. established a two-stage rumor dissemination model, in which rumor spreaders were divided into super infected and normal infected and vigilantes and rumor refuters were introduced to reflect the diversity of public opinion []. Wang et al. designed a two-stage information transmission model from the perspectives of users’ own knowledge level and the influence of external environment on rumor dissemination to simulate and analyze the information dissemination process of rumor reversal []. Yu et al. divided users into four categories, put forward the corresponding differential dynamics formula, and built the IDSR (ignorance–discussant–spreader–remover) model []. Dang et al. divided the personnel involved in rumors into internal personnel and external personnel and proposed a dual-organization rumor dissemination model []. Hosni et al. proposed a multiple rumor dissemination model in which individual opinions on rumors are jointly affected by individual knowledge, forgetting ability and a hesitation mechanism, and dynamic blocking is used to minimize the dissemination of rumor information []. Chen et al. improved the traditional SIR model on the heterogeneous graph, introduced scientific knowledge and social reinforcement factors, and constructed a new information dissemination model []. Chen et al. designed a SEIR (susceptible-exposed-infected-recovered) model with delay and saturation incidence on heterogeneous networks from the perspective of the existence of delay in information dissemination []. Yu et al. designed a novel multilingual dissemination model and used event-triggered pulses to reduce the cost of rumor dissemination [].
In addition, more and more researchers are trying to study the suppression scheme of rumor dissemination from new application directions.
I-ching used Facebook, open government data and machine learning methods to build a food safety information platform to help users assess the authenticity of unknown information and verify the feasibility of the architecture []. Zrnec et al. used an online questionnaire to investigate online users and confirmed that personal intelligence quotient has a positive impact on the judgment of rumors. They also confirmed that personal knowledge field and education level also improve the ability of rumor detection []. Obadimu et al. focused on the effect of toxic comments in videos on other users and found that comment groups working together could form echo chambers to amplify toxic beliefs and produce robot-like features []. Silva et al. endowed different attention to nodes and cascades in the dissemination, designed an algorithm to reconstruct the complete dissemination network using early dissemination nodes, and achieved the purpose of the early detection of fake news [].
3. Extraction of User Feature Factors
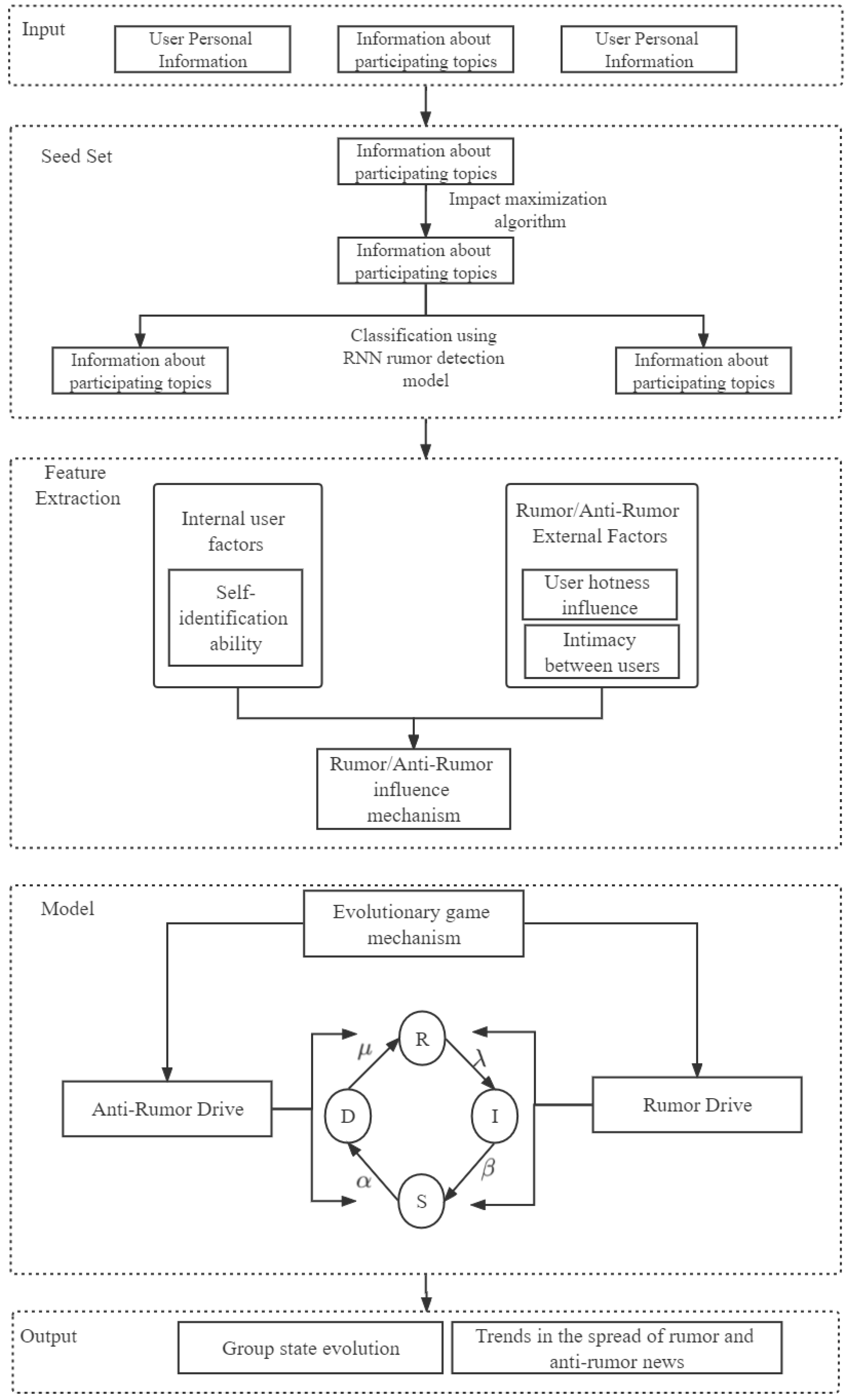
In order to analyze the dynamic factors of user behavior driving force and study the internal and external factors of user nodes, the SDIR model framework based on anti-rumor and rumor dual information dissemination is established, as shown in Figure 1.
      
    
    Figure 1.
      The framework of SDIR model.
  
The detailed descriptions of the notations could be found in Table 1.
       
    
    Table 1.
    Notations used in this paper.
  
As can be seen from Figure 1, given an initial evolution of an emergency situation as , the influence maximization algorithm and rumor detection model are used to classify the set of anti-rumor nodes  and the set of rumor nodes , and the most influential nodes among them are taken as seed nodes.
Considering that different categories of information will interact and influence each other during dissemination, we combine user u’s internal factors and external factors to build benefit function . The identification ability is the user’s internal factors. The closeness and heat influence among users are external factors using the evolutionary game theory to quantify the user behavior drive .  was combined with the constructed anti-rumor and rumor information interaction model SDIR to provide a theoretical basis for the infection and immunization ratio involved in the model. The user behavior drive calculates the anti-rumor infection ratio  and rumor information infection ratio , as well as the corresponding immunization rate  and  ( and ). The dynamic formula is established on the SDIR model, and the user’s , ,  and  in different time periods are calculated to simulate the anti-rumor and rumor information dissemination.
The external factor is that user nodes are affected by their neighbors, which are divided into user nodes spreading rumors and user nodes spreading anti-rumors. Nodes that do not spread information are not considered in this paper because these nodes cannot provide useful information to users. The influence of neighbor nodes includes the heat influence  between nodes and the closeness  between nodes.
Definition 1. 
User’s self-identification ability— that is, internal factor . Using the influence algorithm, the user’s influence  is calculated. On the basis of , we consider the user’s clustering characteristics as the ratio coefficient to accurately position the user’s position in the social network and amplify their influence. Thus the user node’s self-identification ability is shown in Formula (1).
      
        
      
      
      
      
    
In this paper, we take the emergency events in social networks as the research object. Since emergency events are highly time-sensitive, the heat of an event decreases over time and tends to decrease more and more rapidly until it approaches zero.
As the timeliness of user node participation in the topic increases with time, the topic heat influence gradually decreases until it disappears. In this paper, referring to Newton’s law of cooling, the time decay coefficient is similar to an exponential function, where  is the news release time,  is the current time, and b is the scale factor, as shown in the Formula (2).
      
      
        
      
      
      
      
    
The method of calculating the difference between the user’s current time and the time of the event in which the user participated in the topic does not accurately guarantee the heat influence of the current topic in which the user participated. Therefore, it is modified for the current situation, as shown in Formula (3),
      
      
        
      
      
      
      
    
      where  denotes the current time of user participation in the topic,  denotes the last time of user participation in the topic, i has a value greater than or equal to 1, and  denotes the time of emergency release. b denotes the cooling factor, where we let , and  denotes the timeliness of the user node’s participation in the topic at  time.
Definition 2. 
User’s heat influence . By combining the timeliness  of user participation in a topic with its own influence , the heat influence  of user node u at the current moment t can be obtained, as shown in Formula (4).
      
        
      
      
      
      
    
Definition 3. 
The closeness between nodes. The more common friends nodes u and v have, the more likely they are to engage in common topics and express consistent opinions, as shown in Formula (5).
      
        
      
      
      
      
    where  represents the closeness between node u and node v,  and  represent the set of neighbor nodes of node u and node v, respectively.
In social networks, the willingness of user nodes to forward messages may be influenced by their neighbor nodes in addition to their own spontaneity. Among them, the types of nodes’ neighbor nodes are divided into two major categories, rumor and anti-rumor, and they are correspondingly influenced by an external factor influence  and an external anti-rumor influence . Here, the external factors affecting user nodes are constructed in terms of the heat influence  of neighbor nodes and  between nodes. The influence exerted by neighbor node v on node u is refined as follows: if node v is in the anti-rumor state, it will have a positive influence, ; if neighbor node v is in the rumor dissemination state, it will have a negative influence, .
Definition 4. 
 for the user external factors. External influence received by user nodes can be divided into external rumor influence and external anti-rumor influence, whose influence is considered from  and , as shown in Formulas (6) and (7).
      
        
      
      
      
      
    
      
        
      
      
      
      
    where  and  represent the external rumor influence and external anti-rumor influence of node u at the current moment t, respectively,  represents the neighbor node set of node u,  represents the rumor node set, and  represents the anti-rumor node set.
4. The Model of SDIR
4.1. Evolutionary Game Strategy
When users participate in emergency topics in social networks, they will receive rumor and anti-rumor information at the same time, and judge whether to forward the rumor or anti-rumor information. Therefore, the user will be faced with two strategies: “believe rumor and forward rumor” and “do not believe rumor and forward anti-rumor”. The benefit functions of the corresponding strategies are shown in Formulas (8)–(10):
      
        
      
      
      
      
    
      
        
      
      
      
      
    
      
        
      
      
      
      
    
        where  and  represent the probability of node u forwarding the rumor and anti-rumor information in the social network, respectively.  and  represent the total number of rumor neighbor nodes and anti-rumor neighbor nodes of node u at the current moment t.  and  represent the probability of believing the rumor and not believing the rumor, respectively, and the value range is .  and  represent the benefit function of forwarding the rumor and forwarding the anti-rumor information, respectively.
4.2. Model Dissemination Mechanism
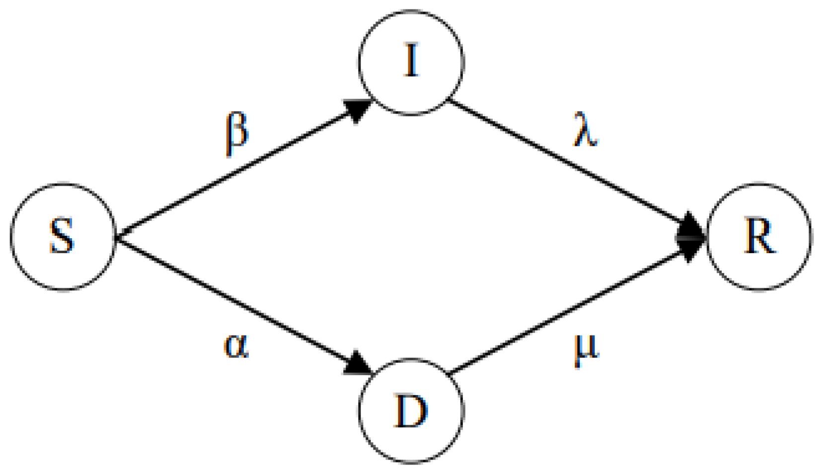
In the SDIR model, the user node has four states: susceptible infection state S, anti-rumor state D, rumor dissemination state I and immune state R. Status S indicates that the user node does not receive the rumor or anti-rumor. State D means that the user node receives and disseminates the anti-rumor information, and the anti-rumor node will transmit the rumor-refuting information to its neighbors, which has a certain positive influence on the social network. State I indicates that the user node receives and disseminates rumor information, which has a certain negative impact on the social network. Status R means that the user is affected by anti-rumor or rumor dissemination but does not forward or comment information and finally reaches a stable state. At each moment, the nodes in the network may be in one of these states, as shown in Figure 2.
      
    
    Figure 2.
      Node state transition of SDIR model.
  
, ,  and  represent the proportion of individuals in the state S, state D, state I and state R in the social network at time t. The dynamics formula of the SDIR model is shown in Formula (13).
        
      
        
      
      
      
      
    
In Formula (13), parameter  is ,  is ,  is , and  is .
Based on the above definition and combined with the actual dissemination process of information, there exists a certain number of node sets in the state D and state I at the initial moment of the occurrence of an emergency. Therefore, the rules of information dissemination are as follows:
- (1)
 - At moment t, each node u in the state D or state I may send information to the neighbor node v (state S) that is currently inactive and have a corresponding positive influence or negative influence .
 - (2)
 - Whether node v accepts anti-rumor or rumor information depends on the receiving tendency of and for the two categories of information. When and reaches the activation threshold, node v is more inclined to accept and disseminate the anti-rumor, and the corresponding node changes from state S to state D with probability . On the contrary, when and reaches the activation threshold, node v is more inclined to accept the rumor and may disseminate the rumor, and the corresponding node changes from state S to state I with probability . We record the current or , and the corresponding immunization rate is or .
 - (3)
 - After time t, when node v loses interest and its immunity rate reaches the threshold, it changes from state D to state R with probability or from the state I to the state R with probability . When in state R, user node v does not reach the ultimate state.
 - (4)
 - Repeat the above dissemination process until the information dissemination reaches a stable state, that is, no new state D, state I and state R occur in the network.
 
Information is disseminated in the SDIR model, as shown in Figure 3. The nodes , , and  are analyzed as an example. At time t, node  and node  are in state S, and node  is simultaneously affected by node  in state I and node  in state D. The above formula is used to calculate its own identification ability and the influence of external neighbor nodes to execute the evolutionary game and select the decision with the greatest benefit to itself. Therefore, at , node  changes to state I, that is, the rumor dissemination node, which can continue to disseminate rumor information to neighbor nodes. Similarly, after the game decision, node  changes to state D, that is, the anti-rumor node, and disseminates anti-rumor information to neighbor nodes. From t to , node  loses interest in rumor information or realizes the truth, and its state changes from state I to state R; thus, it no longer disseminates any information.
      
    
    Figure 3.
      The dissemination process of SDIR model from t to .
  
4.3. The Algorithm Description of SDIR
Given that  represents a social network,  is the rumor seed set, and  is the anti-rumor seed set. , ,  and  are the user node states at different times, G is divided into dynamic graphs with different time slices, and . The process of the SDIR model algorithm is described in Algorithm 1.
        
| Algorithm 1: SDIR Model | 
| Input: The social network: ; Rumor node seed: ; Denies node seed: ; | 
| Output: | 
  | 
5. Comparison and Analysis of the Experiment
Different rumors in social networks spread information with different propagation groups, influence range and real time. Here, the PHEME dataset [] was chosen to construct a scale-free network graph by selecting four tweets posted during emergency events and their dissemination paths. By analyzing the characteristics of the four different datasets, the users who participated in the topics were divided into time periods in a certain proportion. Among them, the  of the Charlie Hebdo event and the Ottawa shooting are the first 20% of the time period, and the  of the Germanwings crash and the Sydney siege are the first 40% of the time period. The time slices for the Charlie Hebdo event and Germanwings crash are based on the percentage of users participating in the topic every 4 h after , and the time slices for the Ottawa shooting and the Sydney siege are based on the percentage of users participating in the topic every 2 h after . The time slices of the emergency dataset and the division of the proportion of rumors and anti-rumors are shown in Table 2.
       
    
    Table 2.
    Time segment division of the datasets.
  
In the experiment, the Charlie Hebdo event and Sydney siege were selected as the datasets of emergencies, and the influential seed node sets were found by the UCIM algorithm [] at the initial stage of evolution. Then, the node sets were classified based on the RNN rumor detection model. Anti-rumor seed nodes and rumor seed nodes after filtrating were obtained according to the proportion of anti-rumors and rumors during the emergency, so that the simulation effect is more consistent with reality.
5.1. The Analysis of the SDIR
Considering the competing dissemination process of anti-rumor and rumor information in the social network, this experiment was conducted on the basis of the WICM model and the built SDIR model. For each user to add their own property “state” representing the current moment of the node status, specifically, the nodes in state S, state D, state I or state R, the corresponding status label values were 0, 1, 2, and 3. The probability of believing a rumor and the probability of believing an anti-rumor were  and , respectively. In the whole rumor dissemination process, the susceptible node will be influenced by the rumor dissemination node and the anti-rumor node and then change into the rumor dissemination node or anti-rumor node after the optimal decision is selected through the game. As time goes on, the proportion of susceptible nodes gradually decreased and finally tended to a stable state. The proportion of rumor dissemination nodes, anti-rumor nodes and immune nodes occurred in an upward trend. When rumor dissemination nodes and anti-rumor nodes reach their peak value, they begin to occur a downward trend until approaching 0. The proportion of immune nodes reaches a certain value and finally tends to be stable.
As shown in Figure 4, the SDIR model simulates the information dissemination trend in the Charlie Hebdo dataset and the Sydney siege dataset, showing the evolution of D, I and R states. In order to facilitate the analysis of the SDIR dissemination trend, the intercepts are displayed from the beginning to the steady state. The ordinate nodes indicate the total number of nodes in each state at the current time. When , the anti-rumor seed node and the rumor seed node act as the information dissemination source and carry out information dissemination in the SDIR model. The anti-rumor node disseminates anti-rumor information and exerts a positive influence, while the rumor node disseminates the opposite rumor information and exerts a negative influence. When , anti-rumor and rumor dissemination occur competitively, reaching a peak at the initial stage of emergencies, and anti-rumor dissemination occurs more widely than rumor. As time goes by, people’s interest in it diminishes, eventually reaching a steady state. Therefore, the SDIR model could effectively simulate the process of rumor and anti-rumor dissemination simultaneously in social networks.
      
    
    Figure 4.
      Competing dissemination trends of SDIR model.
  
5.2. Experimental Comparison of Self-Identification Ability
User behaviors in social networks are affected by their own psychological factors, so evolutionary game theory is used to conduct in-depth research on self-identification ability. The Sydney siege dataset was selected for experiment and analysis. Different values were set for , and the value list was . Meanwhile, other relevant parameters remained unchanged to verify the influence of user self-identification ability on rumor suppression.
Figure 5 shows the influence range of anti-rumor dissemination and rumor dissemination on the Sydney siege dataset. The higher a user’s self-identification ability is, the smaller the dissemination of rumor information is, or the larger the dissemination of anti-rumor information is, which indicates that the user has an inhibitory effect on rumors. In Figure 5,  represents the total number of rumor nodes infected and finally turned to immune state R.  indicates the total number of nodes affected by anti-rumors that finally become immune. When , anti-rumor and rumor information dissemination reaches a stable state. When , the value of , comparing , , and , is greater than 0.138%, 0.5952% and 0.692%, respectively. When , the value of , comparing , , and , is less than 0.741%, 1.360% and 1.824%, respectively. Therefore, as users’ self-identification abilities to distinguish rumors or the credibility of anti-rumor informations improve, the scope of rumor information dissemination is reduced, and the scope of influence of anti-rumor information is expanded. The higher the user self-identification ability of the user node is or the higher the credibility of an anti-rumor, the more the rumor can be suppressed; otherwise, the lower the self-identification ability of the user node is, the more the rumor can be disseminated. Therefore, high user self-identification ability plays a certain role in rumor suppression.
      
    
    Figure 5.
      The analysis of the self-identification ability.
  
5.3. The Comparison of SDIR Model
In order to verify the effectiveness of the SDIR model, the SDIR model, a classical SIR model [], the SPNR model [] and the DLTRS model [] were simulated on two datasets.
The SIR model is a classical transmission model of infectious disease based on transmission dynamics, which only considers rumor dissemination and does not involve anti-rumor dissemination.
The SPNR model is a competitive public opinion information dissemination model that takes into account the content of public opinion information, user closeness, and social reinforcement effects.
The DLTRS model is a dynamic linear threshold rumor dissemination model that takes into account the overall popularity of the message and individual dissemination tendencies.
The same seed node set and anti-rumor seed node set are selected, and the dissemination trend of the rumor influence range and anti-rumor influence range in the corresponding model are shown in Figure 6 and Figure 7.
      
    
    Figure 6.
      The comparison of rumor influence range.
  
      
    
    Figure 7.
      The comparison of anti-rumor influence range.
  
Figure 6 shows the range of rumor node infection in four models on two emergency datasets. The smaller the number of infected rumor nodes is, the weaker the rumor information dissemination ability in the corresponding model is, which indicates that the rumor dissemination suppression effect is better. t indicates the number of time slices, and  indicates the total number of nodes infected by rumors. On two different datasets, the overall trend of  of the four models starts from 0 and continues to grow until it reaches a certain steady state.
In the Charlie’s Weekly dataset, the SIR model has the largest  dissemination range, followed by the DLTRS model and the SPNR model. The SDIR model has the smallest  dissemination range. When t = 70, the total number of nodes affected by rumor information dissemination in the SDIR model is 36.127%, 6.742% and 2.817% less than that in SIR model, DLTRS model and SPNR model, respectively. In the Sydney siege dataset, the SIR model has the largest  dissemination range, followed by the DLTRS model, the SPNR model, and the SDIR model, which has the smallest  dissemination range. When t = 35, the total number of nodes of rumor information dissemination in the SDIR model is 13.050%, 10.762% and 8.182% less than that in the SIR model, the DLTRS model and the SPNR model.
It can be seen from Figure 6 that the SDIR model, DLTRS model and SPNR model were analyzed on both datasets, and the scope of influence of rumor dissemination was reduced compared to the SIR model with the introduction of anti-rumor information, which indicates that anti-rumor information has a certain inhibitory effect on the dissemination of rumors. When the proportion of anti-rumor nodes is low, the number of nodes affected by rumor information in the SDIR model and the SPNR model is close. However, as the proportion of anti-rumor nodes in the dataset increases, the rumor dissemination range of the SDIR model is closer to the real dissemination range of the real dataset in the two datasets. Therefore, the rumor dissemination range of the SDIR model is closer to the real dissemination range of the real dataset as reflected in the two datasets.
Figure 7 shows the dissemination of anti-rumor node influence in the three models in two emergency datasets. Since the SIR model only considers rumor dissemination of a single rumor, the model does not participate in the analysis of anti-rumor information dissemination. The larger the number of anti-rumor nodes is, the larger the dissemination range of the anti-rumor in the corresponding model is, which indicates that the rumor-refuting effect is better. t represents the number of time slices, and  represents the total number of nodes affected by the anti-rumor.
In two different datasets, the overall trend of  of the three models increases continuously from 0 at first until reaching a certain steady state. According to the Charlie Hebdo dataset, the  dissemination range of the SDIR model is the largest, followed by the DLTRS model and the SPNR model. When t = 70, the total number of nodes affected by anti-rumor information dissemination in SDIR model is 14.016% and 27.549% more than that in the DLTRS model and the SPNR model. According to the Sydney Siege dataset, the  dissemination range of the SDIR model is the largest, followed by the DLTRS model and followed again by the SPNR model. When t = 35, the total number of nodes of anti-rumor information dissemination in the SDIR model is 7.807% and 9.834% more than in the DLTRS model and the SPNR model.
Combining Figure 6 and Figure 7, we can learn that the SDIR model has a wider dissemination of anti-rumor information, and the scope is closer to the real-world information dissemination process.
Therefore, in terms of the dissemination range of rumor information and anti-rumor information, the SDIR model has advantages over other models in suppressing rumor spreading. The reason for that is because the SIR model only considers a single rumor node for information dissemination, ignoring the influence of anti-rumors in reality. The SDIR model, SPNR model, and DLTRS model all consider competing information dissemination between counter rumors and rumors, so the rumor suppression effect is better than the SIR model. Meanwhile, compared with the DLTRS model and the SPNR model, the proportion of the influence range of rumor and anti-rumor information in the SDIR model is closer to the proportion of the real dataset. This is because the SDIR model takes into account the heat influence of message dissemination among users and the influence of user self-identification ability and selects the decision for the maximization of their own benefits in the evolutionary game. Therefore, the SDIR model well simulates the transmission process in the dual information competition environment in the real world.
6. Conclusions
In order to effectively describe the dissemination environment of emergency rumors, the information dissemination model, SDIR, of rumor and anti-rumor confrontation is constructed based on the SIR model. Since rumors and anti-rumors have a natural antagonistic and symbiotic relationship, the maximization benefit function of user dissemination information is designed by using the relevant theories of evolutionary games, user behavior characteristics, user closeness, self-identification ability, and event heat influence, and the dynamic formula of the SDIR model is determined. Through experimental comparison and analysis of real datasets of different emergency events, it is verified that the SDIR model is closer to the rumor-spreading range of real events and can better describe the spreading process of two different messages in the network. At the same time, it is found that self-identification ability plays an important role in rumor suppression. Considering mining preference information based on network structure characteristics, time characteristics, and other content and analyzing rumor suppression strategies in different network structures will be our future work.
Author Contributions
Funding acquisition, J.C.; Project administration, N.W.; Supervision, J.C., M.L. (Mingxin Liu) and M.L. (Miaomiao Liu); Validation, Z.Y.; Visualization, Z.Y.; Writing, original draft, N.W.; Writing, review and editing, J.C. and C.X. All authors have read and agreed to the published version of the manuscript.
Funding
This project was supported by the National Natural Science Foundation of China (Grant Nos. 62172352, 61871465 and 42002138), the Natural Science Foundation of Hebei Province (Grant Nos. 2022203028), and the Central Government Guides Local Science and Technology Development Fund Projects (Grant No. 226Z0305G).
Data Availability Statement
Arkaitz Zubiaga and Geraldine Wong Sak Hoi and Maria Liakata and Rob Procter. (2016). PHEME dataset of rumours and non-rumours. [Data set]. https://doi.org/10.6084/m9.figshare.4010619.v1 (accessed on 19 September 2022).
Conflicts of Interest
The authors declare no conflict of interest.
References
- Vosoughi, S.; Roy, D.; Aral, S. The spread of true and false news online. Science 2018, 359, 1146–1151. [Google Scholar] [CrossRef] [PubMed]
 - Ren, J.; Wang, Y.; Chai, Y.; Li, S. A Rumor Spreading Model Considering Group propagation andRational Interaction in Social Networks. Comput. Technol. Dev. 2021, 31, 105–112. [Google Scholar]
 - Zhang, J.; Guo, H.; Jing, W.; Jin, Z. Dynamic analysis of rumor propagation model based on true information spreader. Acta Phys. Sin. 2019, 15. [Google Scholar] [CrossRef]
 - Hosni, A.I.E.; Li, K.; Ahmad, S. Minimizing rumor influence in multiplex online social networks based on human individual and social behaviors. Inf. Sci. 2020, 512, 1458–1480. [Google Scholar] [CrossRef]
 - Ding, X.; Li, L. The spreading dynamics of rumors in social media under the anti-silence spiral effect. Syst. Eng.-Theory Pract. 2020, 40, 3149–3163. [Google Scholar]
 - Zhang, Y.; Xu, J. A dynamic competition and predation model for rumor and rumor-refutation. IEEE Access 2020, 9, 9117–9129. [Google Scholar] [CrossRef]
 - Pierri, F.; Piccardi, C.; Ceri, S. Topology comparison of Twitter diffusion networks effectively reveals misleading information. Sci. Rep. 2020, 10, 1372. [Google Scholar] [CrossRef]
 - Huang, D.W.; Yang, L.X.; Li, P.; Yang, X.; Tang, Y.Y. Developing cost-effective rumor-refuting strategy through game-theoretic approach. IEEE Syst. J. 2020, 15, 5034–5045. [Google Scholar] [CrossRef]
 - Yao, X.; Liang, G.; Huang, H.; Gu, C. An Efficient Algorithm for Clarification of Rumors with Limited Costs in Social Networks. In Proceedings of the 2020 IEEE 22nd International Conference on High Performance Computing and Communications; IEEE 18th International Conference on Smart City; IEEE 6th International Conference on Data Science and Systems (HPCC/SmartCity/DSS), Cuvu, Fiji, 14–16 December 2020; pp. 393–400. [Google Scholar]
 - Ye, S.; Wang, J.; Fan, H. Minimize social network rumors based on rumor path tree. IEEE Access 2020, 8, 167620–167630. [Google Scholar] [CrossRef]
 - Jin, M.; Liu, F. A rumor propagation model based on content trust. In Proceedings of the 2019 IEEE 3rd Information Technology, Networking, Electronic and Automation Control Conference (ITNEC), Chengdu, China, 15–17 March 2019; pp. 2256–2260. [Google Scholar]
 - Yin, F.; Jiang, X.; Qian, X.; Xia, X.; Pan, Y.; Wu, J. Modeling and quantifying the influence of rumor and counter-rumor on information propagation dynamics. Chaos Solitons Fractals 2022, 162, 112392. [Google Scholar] [CrossRef]
 - Wang, X.; Li, Y.; Li, J.; Liu, Y.; Qiu, C. A rumor reversal model of online health information during the COVID-19 epidemic. Inf. Process. Manag. 2021, 58, 102731. [Google Scholar] [CrossRef] [PubMed]
 - Yu, Z.; Lu, S.; Wang, D.; Li, Z. Modeling and analysis of rumor propagation in social networks. Inf. Sci. 2021, 580, 857–873. [Google Scholar] [CrossRef]
 - Dang, Z.; Li, L.; Ni, W.; Liu, R.; Peng, H.; Yang, Y. How does rumor spreading affect people inside and outside an institution. Inf. Sci. 2021, 574, 377–393. [Google Scholar] [CrossRef]
 - Hosni, A.I.E.; Li, K. Minimizing the influence of rumors during emergencies events in online social networks. Knowl.-Based Syst. 2020, 193, 105242. [Google Scholar] [CrossRef]
 - Huo, L.; Chen, S. Rumor propagation model with consideration of scientific knowledge level and social reinforcement in heterogeneous network. Phys. A Stat. Mech. Its Appl. 2020, 559, 125063. [Google Scholar] [CrossRef]
 - Chen, S.; Jiang, H.; Li, L.; Li, J. Dynamical behaviors and optimal control of rumor propagation model with saturation incidence on heterogeneous networks. Chaos Solitons Fractals 2020, 140, 110206. [Google Scholar] [CrossRef]
 - Yu, S.; Yu, Z.; Jiang, H.; Li, J. Dynamical study and event-triggered impulsive control of rumor propagation model on heterogeneous social network incorporating delay. Chaos Solitons Fractals 2021, 145, 110806. [Google Scholar] [CrossRef]
 - Hsu, I.; Chang, C.C. Integrating machine learning and open data into social Chatbot for filtering information rumor. J. Ambient Intell. Humaniz. Comput. 2021, 12, 1023–1037. [Google Scholar] [CrossRef]
 - Zrnec, A.; Poženel, M.; Lavbič, D. Users’ ability to perceive misinformation: An information quality assessment approach. Inf. Process. Manag. 2022, 59, 102739. [Google Scholar] [CrossRef]
 - Obadimu, A.; Khaund, T.; Mead, E.; Marcoux, T.; Agarwal, N. Developing a socio-computational approach to examine toxicity propagation and regulation in COVID-19 discourse on YouTube. Inf. Process. Manag. 2021, 58, 102660. [Google Scholar] [CrossRef]
 - Silva, A.; Han, Y.; Luo, L.; Karunasekera, S.; Leckie, C. Propagation2Vec: Embedding partial Propagation networks for explainable fake news early detection. Inf. Process. Manag. 2021, 58, 102618. [Google Scholar] [CrossRef]
 - Zubiaga, A.; Liakata, M.; Procter, R. Learning Reporting Dynamics during Breaking News for Rumour Detection in Social Media. arXiv 2016, arXiv:1610.07363. [Google Scholar]
 - Chen, J.; Wei, N.; Yang, H. Immune Algorithm to Suppress Rumor Propagation Based on Influence Maximization. Secur. Commun. Netw. 2022, 2022. [Google Scholar] [CrossRef]
 - Kermack, W.O.; McKendrick, A.G. A contribution to the mathematical theory of epidemics. Proc. R. Soc. Lond. Ser. A Contain. Pap. A Math. Phys. Character 1927, 115, 700–721. [Google Scholar]
 - Hou, Y.; Meng, F.; Wang, J.; Guan, M. Research on competitive public opinion information propagation model in online social networks considering group structure. Appl. Res. Comput. 2021, 4, 1054–1059. (In Chinese) [Google Scholar]
 - Ding, X.; Jiang, M.; Tian, Y.; Li, M.; Ming, S. Rumor clarifying strategies considering restrain costs in online social networks. Syst. Eng.-Theory Pract. 2021, 41, 1119–1137. (In Chinese) [Google Scholar]
 
Publisher’s Note: MDPI stays neutral with regard to jurisdictional claims in published maps and institutional affiliations.  | 
© 2022 by the authors. Licensee MDPI, Basel, Switzerland. This article is an open access article distributed under the terms and conditions of the Creative Commons Attribution (CC BY) license (https://creativecommons.org/licenses/by/4.0/).