State Prediction Method for A-Class Insulation Board Production Line Based on Transfer Learning
Abstract
1. Introduction
2. Related Works
2.1. State Prediction Methods
2.2. State Prediction Methods Based on LSTM
2.3. Prediction Methods Based on Transfer Learning Theory
2.4. Discussion
3. The Proposed State Prediction Method for an A-Class Insulation Panel Production Line
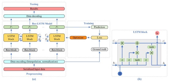
3.1. The Proposed Network Architecture Based on LSTM
3.2. Transfer Learning
3.3. Loss Function
4. Experiments
4.1. Dataset Preparation
4.2. Model Training
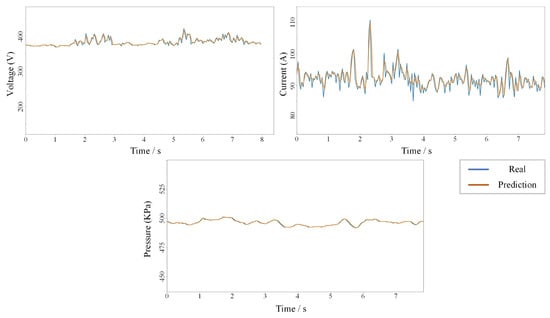
4.3. Comparison of Experimental Results
4.4. Ablation Study
5. Application
6. Conclusions
Author Contributions
Funding
Conflicts of Interest
References
- Cintura, E.; Nunes, L.; Esteves, B.; Faria, P. Agro-industrial wastes as building insulation materials: A review and challenges for Euro-Mediterranean countries. Ind. Crops Prod. 2021, 171, 113833. [Google Scholar] [CrossRef]
- Giannotas, G.; Kamperidou, V.; Barboutis, I. Tree bark utilization in insulating bio-aggregates: A review. Biofuels Bioprod. Biorefin.-Biofpr 2021, 15, 1989–1999. [Google Scholar] [CrossRef]
- Pan, S.C.; Rickard, T.C. Transfer of Test-Enhanced Learning: Meta-Analytic Review and Synthesis. Psychol. Bull. 2018, 144, 710–756. [Google Scholar] [CrossRef]
- Simoes, R.S.; Maltarollo, V.G.; Oliveira, P.R.; Honorio, K.M. Transfer and Multi-task Learning in QSAR Modeling: Advances and Challenges. Front. Pharmacol. 2018, 9, 74. [Google Scholar] [CrossRef] [PubMed]
- Webb, P.; Whitlow, J.W., Jr.; Venter, D. From Exploratory Talk to Abstract Reasoning: A Case for Far Transfer? Educ. Psychol. Rev. 2017, 29, 565–581. [Google Scholar] [CrossRef]
- Bierly, P.E., III; Daly, P.S. Sources of external organisational learning in small manufacturing firms. Int. J. Technol. Manag. 2007, 38, 45–68. [Google Scholar]
- Song, X.; Gao, S.; Liu, X.; Chen, C. An outdoor fire recognition algorithm for small unbalanced samples. Alex. Eng. J. 2021, 60, 2801–2809. [Google Scholar] [CrossRef]
- Xue, J.; Chan, P.P.K.; Hu, X. Experimental study on stacked autoencoder on insufficient training samples. In Proceedings of the IEEE International Conference on Wavelet Analysis and Pattern Recognition (ICWAPR), Ningbo, China, 9–12 July 2017; pp. 223–229. [Google Scholar]
- Zhao, W. Research on the Deep Learning of the Small Sample Data based on Transfer Learning. In Proceedings of the International Conference on Green Energy and Sustainable Development (GESD), Chongqing, China, 27–28 May 2017. [Google Scholar]
- Sun, S.-L.; Zhang, L.-Y.; Zhu, J.; Zhu, D.-X. Design of the Control System for the Biomass Briquette Fuel Production Line. In Proceedings of the International Conference of Green Buildings and Environmental Management (GBEM), Qingdao, China, 23–25 August 2018. [Google Scholar]
- Izonin, I.; Tkachenko, R.; Kryvinska, N.; Tkachenko, P.; Greguš ml, M. Multiple Linear Regression Based on Coefficients Identification Using Non-iterative SGTM Neural-like Structure. In Proceedings of the Advances in Computational Intelligence, Gran Canaria, Spain, 12–14 June 2019; pp. 467–479. [Google Scholar]
- Cui, J.; Zhang, X.; Zhu, J. Design and Realization of Remote Monitoring System for Automatic Forced Fitting Production Line. In Proceedings of the 2nd International Conference on Manufacturing Science and Engineering, Guilin, China, 9–11 April 2011; pp. 2354–2359. [Google Scholar]
- Sun, L.; Han, W.; Yan, W.; Sun, L.; Yan, L. Research on Centralized Monitoring System of LiMnO2 Button Cells Automatic Assembly Line. In Proceedings of the International Industrial Informatics and Computer Engineering Conference (IIICEC), Xi’an, China, 10–11 January 2015; pp. 224–227. [Google Scholar]
- Chen, W. Intelligent manufacturing production line data monitoring system for industrial internet of things. Comput. Commun. 2020, 151, 31–41. [Google Scholar] [CrossRef]
- Tkachenko, R.; Izonin, I. Model and Principles for the Implementation of Neural-Like Structures Based on Geometric Data Transformations. In Advances in Computer Science for Engineering and Education, Proceedings of the International Conference on Computer Science, Engineering and Education Applications, Hohhot, China, 22–24 October 2018; Springer: Cham, Switzerland, 2018; pp. 578–587. [Google Scholar] [CrossRef]
- Tkachenko, R. An Integral Software Solution of the SGTM Neural-Like Structures Implementation for Solving Different Data Mining Tasks. In Lecture Notes in Computational Intelligence and Decision Making; Springer: Cham, Switzerland, 2022; pp. 696–713. [Google Scholar]
- Vijayaraghavan, A.; Dornfeld, D. Automated energy monitoring of machine tools. CIRP Ann.-Manuf. Technol. 2010, 59, 21–24. [Google Scholar] [CrossRef]
- Duro, J.A.; Padget, J.A.; Bowen, C.R.; Kim, H.A.; Nassehi, A. Multi-sensor data fusion framework for CNC machining monitoring. Mech. Syst. Signal Process. 2016, 66–67, 505–520. [Google Scholar] [CrossRef]
- Zhao, R.; Yan, R.Q.; Chen, Z.H.; Mao, K.Z.; Wang, P.; Gao, R.X. Deep learning and its applications to machine health monitoring. Mech. Syst. Signal Process. 2019, 115, 213–237. [Google Scholar] [CrossRef]
- Greff, K.; Srivastava, R.K.; Koutnik, J.; Steunebrink, B.R.; Schmidhuber, J. LSTM: A Search Space Odyssey. IEEE Trans. Neural Netw. Learn. Syst. 2017, 28, 2222–2232. [Google Scholar] [CrossRef]
- Siami-Namini, S.; Tavakoli, N.; Namin, A.S. The Performance of LSTM and BiLSTM in Forecasting Time Series. In Proceedings of the IEEE International Conference on Big Data (Big Data), Los Angeles, CA, USA, 9–12 December 2019; pp. 3285–3292. [Google Scholar]
- Shahid, F.; Zameer, A.; Muneeb, M. Predictions for COVID-19 with deep learning models of LSTM, GRU and Bi-LSTM. Chaos Solitons Fractals 2020, 140, 110212. [Google Scholar] [CrossRef] [PubMed]
- Ordonez, F.J.; Roggen, D. Deep Convolutional and LSTM Recurrent Neural Networks for Multimodal Wearable Activity Recognition. Sensors 2016, 16, 115. [Google Scholar] [CrossRef] [PubMed]
- Kong, W.C.; Dong, Z.Y.; Jia, Y.W.; Hill, D.J.; Xu, Y.; Zhang, Y. Short-Term Residential Load Forecasting Based on LSTM Recurrent Neural Network. IEEE Trans. Smart Grid 2019, 10, 841–851. [Google Scholar] [CrossRef]
- Sun, J.L.; Shi, W.J.; Yang, Z.T.; Yang, J.; Gui, G. Behavioral Modeling and Linearization of Wideband RF Power Amplifiers Using BiLSTM Networks for 5G Wireless Systems. IEEE Trans. Veh. Technol. 2019, 68, 10348–10356. [Google Scholar] [CrossRef]
- Hua, Y.S.; Mou, L.C.; Zhu, X.X. Recurrently exploring class-wise attention in a hybrid convolutional and bidirectional LSTM network for multi-label aerial image classification. ISPRS J. Photogramm. Remote Sens. 2019, 149, 188–199. [Google Scholar] [CrossRef]
- Che, Z.P.; Purushotham, S.; Cho, K.; Sontag, D.; Liu, Y. Recurrent Neural Networks for Multivariate Time Series with Missing Values. Sci. Rep. 2018, 8, 6085. [Google Scholar] [CrossRef] [PubMed]
- Chen, J.L.; Jing, H.J.; Chang, Y.H.; Liu, Q. Gated recurrent unit based recurrent neural network for remaining useful life prediction of nonlinear deterioration process. Reliab. Eng. Syst. Saf. 2019, 185, 372–382. [Google Scholar] [CrossRef]
- Kowald, A.; Barrantes, I.; Möller, S.; Palmer, D.; Murua Escobar, H.; Schwerk, A.; Fuellen, G. Transfer learning of clinical outcomes from preclinical molecular data, principles and perspectives. Brief. Bioinform. 2022, 23, 330–346. [Google Scholar] [CrossRef]
- Wong, L.J.; Michaels, A.J. Transfer Learning for Radio Frequency Machine Learning: A Taxonomy and Survey. Sensors 2022, 22, 1416. [Google Scholar] [CrossRef] [PubMed]
- Lee, C.; Sohn, K.-T. The Relationship Between Learning Flow, Subjective Learning Performance, Self-efficacy to Transfer, and Transfer Intention Perceived by Participants of Synchronous E-learning Program. Korean Assoc. Learn. -Cent. Curric. Instr. 2022, 22, 133–145. [Google Scholar] [CrossRef]
- Long, M.; Cao, Y.; Wang, J.; Jordan, M.I. Learning Transferable Features with Deep Adaptation Networks. In Proceedings of the 32nd International Conference on Machine Learning, Lille, France, 6–11 July 2015; pp. 97–105. [Google Scholar]
- Tzeng, E.; Hoffman, J.; Zhang, N.; Saenko, K.; Darrell, T. Deep Domain Confusion: Maximizing for Domain Invariance. arXiv 2014, arXiv:1412.3474. [Google Scholar]
- Ganin, Y.; Lempitsky, V. Unsupervised Domain Adaptation by Backpropagation. arXiv 2014, arXiv:1409.7495. [Google Scholar]
- Saito, K.; Ushiku, Y.; Harada, T. Asymmetric Tri-training for Unsupervised Domain Adaptation. In Proceedings of the International Conference on Machine Learning 2017, Sydney, Australia, 6–11 August 2017. [Google Scholar]
- Manders, J.; Laarhoven, T.V.; Marchiori, E. Simple Domain Adaptation with Class Prediction Uncertainty Alignment. arXiv 2018, arXiv:1804.04448. [Google Scholar]
- Pei, Z.; Cao, Z.; Long, M.; Wang, J. Multi-Adversarial Domain Adaptation. In Proceedings of the 32nd AAAI Conference on Artificial Intelligence, New Orleans, LA, USA, 2–7 February 2018. [Google Scholar]









| Model | Dell Precision T7820 |
|---|---|
| CPU | Intel Core X-Series |
| GPU | NVIDIA RTX A4000 (16 G) |
| RAM | 64G ECC |
| SSD | 512 G |
| HDD | 2 T |
| Power consumption | 950 W |
| Algorithm | Advantages | Disadvantages |
|---|---|---|
| ARIMA | Flexible in application, not bound by data types and has strong applicability. | Poor prediction ability for unstable data after difference |
| Holt–Winters | Different weights to the model for each period, and reasonable prediction | Not suitable for data with enormous changes |
| SSA | Signal extraction and filtering capabilities | Slow speed for large time series data |
| MLR | Simple implementation, excellent performance for linear prediction | Interaction and nonlinear effects are ignored. Not suitable for nonlinear prediction |
| SVR | Processing nonlinear data by Kernel trick. L2 regularization and soft interval lead to strong generalization ability | High computation complexity, slow prediction speed for big data analytics |
| Proposed | Excellent performance for time series data, fast prediction speed by GPU, high prediction accuracy | Complex model, costs time to train model |
| Model | Parameters | Training Set (MSE) | Testing Set (MSE) | ||
|---|---|---|---|---|---|
| 5 s | 15 s | 60 s | |||
| Proposed | 0.893 | 0.625 | 0.752 | 1.013 | |
| Holt–Winters | 2.971 | 1.594 | 2.839 | 3.153 | |
| SSA | 0.815 | 1.041 | 0.938 | 1.173 | |
| MLR | 2.374 | 1.946 | 2.216 | 2.413 | |
| SVR | 1.748 | 1.371 | 1.709 | 1.814 | |
| No. | Device Name | Type |
|---|---|---|
| 1 | CPU | I7-8550U |
| 2 | RAM | 16G DDR4 |
| 3 | Hard drive | 512G SSD |
| 4 | GPU | RTX 2070 |
Publisher’s Note: MDPI stays neutral with regard to jurisdictional claims in published maps and institutional affiliations. |
© 2022 by the authors. Licensee MDPI, Basel, Switzerland. This article is an open access article distributed under the terms and conditions of the Creative Commons Attribution (CC BY) license (https://creativecommons.org/licenses/by/4.0/).
Share and Cite
Wang, Y.; Wang, H.; Guo, X.; Liu, X.; Liu, X. State Prediction Method for A-Class Insulation Board Production Line Based on Transfer Learning. Mathematics 2022, 10, 3906. https://doi.org/10.3390/math10203906
Wang Y, Wang H, Guo X, Liu X, Liu X. State Prediction Method for A-Class Insulation Board Production Line Based on Transfer Learning. Mathematics. 2022; 10(20):3906. https://doi.org/10.3390/math10203906
Chicago/Turabian StyleWang, Yong, Hui Wang, Xiaoqiang Guo, Xinhua Liu, and Xiaowen Liu. 2022. "State Prediction Method for A-Class Insulation Board Production Line Based on Transfer Learning" Mathematics 10, no. 20: 3906. https://doi.org/10.3390/math10203906
APA StyleWang, Y., Wang, H., Guo, X., Liu, X., & Liu, X. (2022). State Prediction Method for A-Class Insulation Board Production Line Based on Transfer Learning. Mathematics, 10(20), 3906. https://doi.org/10.3390/math10203906

