A Combinatorial Model for Determining Information Loss in Organizational and Technical Systems
Abstract
:1. Introduction
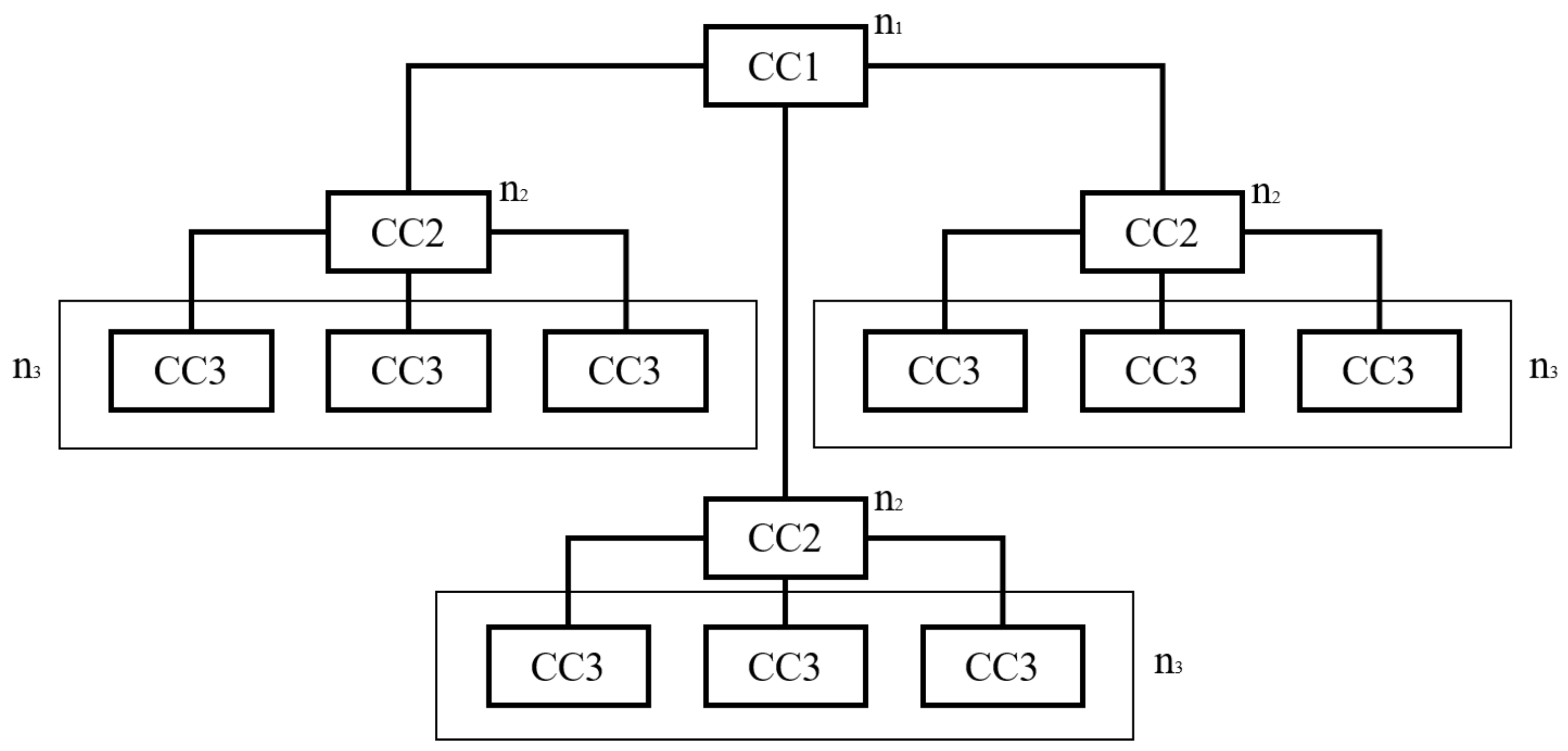
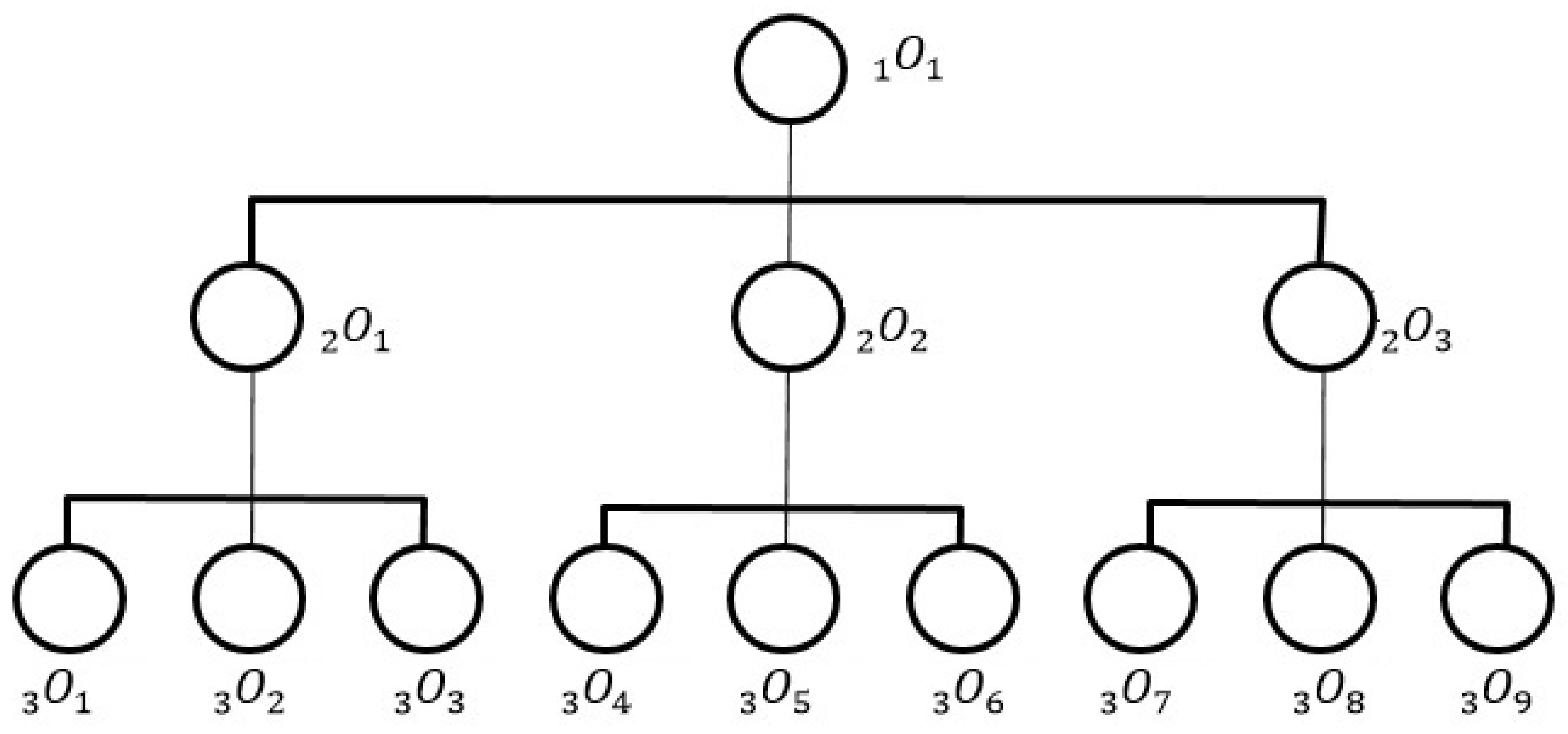
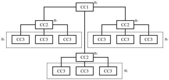
- The level of the system as a whole;
- The level of subsystems functionally included in the system;
- The level of control units and executive bodies;
- The level of individual elements of nodes, for example, information converters (people, machines, and algorithms).
- An information moving mainly from control objects to the corresponding control units;
- A manager for information moving in the opposite direction;
- 1.
- Determination of the set of initial parameters for solving a specific problem in determining the amount of information loss in the control system (for a given quantitative effect on the nodes of the system);
- 2.
- Classification of adverse effects with the nodes of the object control system;
- 3.
- Determination of the area of admissible values of the parameters of information loss in the event of an unfavorable situation;
- 4.
- Formation of rules for determining the amount of information loss in the clusters of the control system;
- 5.
- Iteration of calculations until the combinations of random numbers corresponding to the number of actions and elements of the control system are exhausted.
2. Statement of the Research Problem and Development of a Combinatorial Model
- —the number of affected objects of the control system;
- —number of absorbed nodes of the third level of the control system;
- = 1, 2, 3—the number of affected nodes of the second level;
- —number of nodes of the third level.
- —the number of affected objects of the control system;
- —number of absorbed nodes of the third level of the control system;
- = 1, 2, 3—the number of affected nodes of the second level;
- —number of nodes of the third level.
3. Simulation Results
4. Conclusions
Author Contributions
Funding
Data Availability Statement
Conflicts of Interest
References
- Dogančić, B.; Jokić, M.; Alujević, N.; Wolf, H. Structure Preserving Uncertainty Modelling and Robustness Analysis for Spatially Distributed Dissipative Dynamical Systems. Mathematics 2022, 10, 2125. [Google Scholar] [CrossRef]
- Feng, Y.; Wang, H.; Chang, C.; Lu, H. Intrinsic Correlation with Betweenness Centrality and Distribution of Shortest Paths. Mathematics 2022, 10, 2521. [Google Scholar] [CrossRef]
- Castaneda, J.; Martin, X.A.; Ammouriova, M.; Panadero, J.; Juan, A.A. A Fuzzy Simheuristic for the Permutation Flow Shop Problem under Stochastic and Fuzzy Uncertainty. Mathematics 2022, 10, 1769. [Google Scholar] [CrossRef]
- Fleishman, B.S. Elements of the Theory of Potential Efficiency of Complex Systems, 1st ed.; Soviet Radio: Moscow, Russia, 1971. [Google Scholar]
- Mazalov, A.N.; Yakovlev, A.V.; Alekseev, V.V.; Gaidashov, I.S. Mathematical model for optimizing distributed information systems. J. Phys. Conf. Ser. 2020, 1679, 022100. [Google Scholar] [CrossRef]
- Chen, T.; Li, S.; Yang, C.-M.; Deng, W. Developing an Enterprise Diagnostic Index System Based on Interval-Valued Hesitant Fuzzy Clustering. Mathematics 2022, 10, 2440. [Google Scholar] [CrossRef]
- Houankpo, H.G.K.; Kozyrev, D. Mathematical and Simulation Model for Reliability Analysis of a Heterogeneous Redundant Data Transmission System. Mathematics 2021, 9, 2884. [Google Scholar] [CrossRef]
- Pechenkin, A.V.; Rykov, V.V. On the Decomposition of Closed Networks with Dependent Maintenance. Autom. Telemech. 1999, 11, 58–69. (In Russian) [Google Scholar]
- Xie, L.; Wu, N.; Wang, Z. Information loss in failure probability calculation and system-level modeling approach. Control. Eng. Appl. Inform. 2007, 10, 277–283. [Google Scholar]
- Barbarani, V. Combinatorial Models of the Distribution of Prime Numbers. Mathematics 2021, 9, 1224. [Google Scholar] [CrossRef]
- Alekseev, V.V.; Yakovlev, A.V.; Aminova, F.E.; Sergeev, M.J. The study of the complex information systems structure on the coefficient of structural uncertainty basis. J. Phys. Conf. Ser. 2019, 1399, 033121. [Google Scholar] [CrossRef]
- Chen, K.; Zhao, X.; Qiu, Q. Optimal Task Abort and Maintenance Policies Considering Time Redundancy. Mathematics 2022, 10, 1360. [Google Scholar] [CrossRef]
- Tsai, T.-R.; Lio, Y.; Xin, H.; Pham, H. Parameter Estimation for Composite Dynamical Systems Based on Sequential Order Statistics from Burr Type XII Mixture Distribution. Mathematics 2021, 9, 810. [Google Scholar] [CrossRef]
- Liu, B.; Zhao, Y.Q. Tail Asymptotics for a Retrial Queue with Bernoulli Schedule. Mathematics 2022, 10, 2799. [Google Scholar] [CrossRef]
- Peng, C.; Ma, J.; Li, Q.; Gao, S. Noise-to-State Stability in Probability for Random Complex Dynamical Systems on Networks. Mathematics 2022, 10, 2096. [Google Scholar] [CrossRef]
- Tian, M.-W.; Yan, S.-R.; Liu, J.; Alattas, K.A.; Mohammadzadeh, A.; Vu, M.T. A New Type-3 Fuzzy Logic Approach for Chaotic Systems: Robust Learning Algorithm. Mathematics 2022, 10, 2594. [Google Scholar] [CrossRef]
- Anisimov, V.G.; Anisimov, E.G.; Saurenko, T.N.; Zotova, E.A. Models of forecasting destructive influence risks for information processes in management. Inf. Control. Syst. 2019, 5, 18–23. [Google Scholar] [CrossRef]
- Alekseev, V.V.; Tsvetkov, S.O.; Khudyakov, A.P.; Emelyanov, E.V. Analysis of Approaches to Improving The Efficiency of The Use of Technical Systems Under The Influence of Negative Factors. Control of Large Systems. In Materials of the XVI All-Russian School-Conference of Young Scientists; Publishing Center of FGBOU VO “TSTU”: Tambov, Russia, 2019; pp. 397–402. (In Russian) [Google Scholar]
- Alekseev, V.V.; Korystin, S.I.; Malyshev, V.A.; Sysoev, V.V. Modeling of the Information Impact on The Ergatic Element in Ergotechnical Systems; Stensvil: Moscow, Russia, 2003. [Google Scholar]
- Semenov, M.E.; Borzunov, S.V.; Meleshenko, P.A. Stochastic Preisach Operator: Definition within the Design Approach. Nonlinear Dyn. 2020, 101, 2599–2614. [Google Scholar] [CrossRef]
- Semenov, M.E.; Solovyov, O.O.; Meleshenko, P.A.; Reshetova, O.O. Efficiency of Hysteretic Damper in Oscillating Systems. Math. Model. Nat. Phenom. 2020, 15, 58–69. [Google Scholar] [CrossRef]
- Semenov, M.E.; Reshetova, O.O.; Borzunov, S.V.; Meleshenko, P.A. Self-Oscillations in a System with Hysteresis: The Small Parameter Approach. Eur. Phys. J. Spec. Top. 2021, 230, 3565–3571. [Google Scholar] [CrossRef]
- Structure of EU ATM Centers. Available online: https://gkovd.ru/joint-atm-system/atc-centres-structure/ (accessed on 28 March 2022). (In Russian).







![]() | ![]() |
![]() | ![]() |
![]() | ![]() |
![]() | ![]() |
![]() | ![]() |
![]() |
![]() | ![]() |
![]() | ![]() |
![]() | ![]() |
![]() | ![]() |
![]() | ![]() |
Publisher’s Note: MDPI stays neutral with regard to jurisdictional claims in published maps and institutional affiliations. |
© 2022 by the authors. Licensee MDPI, Basel, Switzerland. This article is an open access article distributed under the terms and conditions of the Creative Commons Attribution (CC BY) license (https://creativecommons.org/licenses/by/4.0/).
Share and Cite
Yakovlev, A.V.; Alekseev, V.V.; Volchikhina, M.V.; Petrenko, S.V. A Combinatorial Model for Determining Information Loss in Organizational and Technical Systems. Mathematics 2022, 10, 3448. https://doi.org/10.3390/math10193448
Yakovlev AV, Alekseev VV, Volchikhina MV, Petrenko SV. A Combinatorial Model for Determining Information Loss in Organizational and Technical Systems. Mathematics. 2022; 10(19):3448. https://doi.org/10.3390/math10193448
Chicago/Turabian StyleYakovlev, Alexey V., Vladimir V. Alekseev, Maria V. Volchikhina, and Sergey V. Petrenko. 2022. "A Combinatorial Model for Determining Information Loss in Organizational and Technical Systems" Mathematics 10, no. 19: 3448. https://doi.org/10.3390/math10193448
APA StyleYakovlev, A. V., Alekseev, V. V., Volchikhina, M. V., & Petrenko, S. V. (2022). A Combinatorial Model for Determining Information Loss in Organizational and Technical Systems. Mathematics, 10(19), 3448. https://doi.org/10.3390/math10193448





















