Next Article in Journal
On the Boundary Value Problem of Nonlinear Fractional Integro-Differential Equations
Next Article in Special Issue
A Refined Closed-Form Solution for the Large Deflections of Alekseev-Type Annular Membranes Subjected to Uniformly Distributed Transverse Loads: Simultaneous Improvement of Out-of-Plane Equilibrium Equation and Geometric Equation
Previous Article in Journal
Supervisory Event-Triggered Control of Uncertain Process Networks: Balancing Stability and Performance
Previous Article in Special Issue
Analysis of Industrial Engineering Students’ Perception after a Multiple Integrals-Based Activity with a Fourth-Year Student
 
 
Font Type:
Arial Georgia Verdana
Font Size:
Aa Aa Aa
Line Spacing:
Column Width:
Background:
Article

Team Control Problem in Virtual Ellipsoid and Its Numerical Simulations

School of Mathematics and Statistics, Qingdao University, Qingdao 266071, China
*
Authors to whom correspondence should be addressed.
Mathematics 2022, 10(12), 1970; https://doi.org/10.3390/math10121970
Submission received: 5 May 2022 / Revised: 27 May 2022 / Accepted: 4 June 2022 / Published: 7 June 2022
(This article belongs to the Special Issue Mathematics and Its Applications in Science and Engineering)

Abstract

:
There is tremendous interest in designing feedback strategy control for clusters in modern control theory. We propose a novel numerical solution to target team control problems by using the Hamilton formalism methods. In order to ensure the smooth wireless information exchange, all members of the team are located in a virtual ellipsoidal container during the whole movement process. An ellipsoidal container tube is constructed as the external state constraint of the team. The corresponding value function is then formulated based on collision avoidance conditions and energy constraints in the process of the team motion. Time-dependent partial differential equations are formulated based on Hamilton formalism, which have been solved numerically by using the traditional finite difference method (FDM). The objective of the presented method is to obtain optimal control and motion trajectory of the cluster at each moment. Lastly, we conduct a simulation study of unmanned aerial vehicles (UAVs) to demonstrate the performance of the proposed method.

1. Introduction

The control problem has always been an important research object in the field of mathematics. Many new theoretical results have been made such as Virtual Reference Feedback Tuning (VRFT) [1] and indirect adaptive iterative learning control (iAILC) scheme [2]. In particular, the feedback strategy design of the control system is one of the most important parts in modern mathematical control theory. It is widely used in synthesizing controls, for example, team motion in biological systems such as flocks of geese or schools of fish [3]. In this study, we focus on the method of guiding the team with members (named as “cluster”) to move towards the given target set [4] by avoiding the collision among the cluster member, which is the key to realize the optimal control of the bionics cluster. This paper proposes a decentralized cluster control scheme with strong scalability, which can be widely used in aerospace engineering problems, such as the formation of unmanned aerial vehicles (UAVs), multiple spacecrafts cooperation in a specific orbit, multiple small satellites cooperation in the cavity of a large satellite, and so on.
The intelligent objects investigated in the team control problem include but are not limited to UAVs, ships, satellites, robots [5,6,7], and their applications in the fields of military, aerospace, and industry [8,9,10]. This kind of problem studies the control of a multi-agent system according to the requirements of distributed tasks during the process of moving to a specific target or direction given the constraints of maintaining a predetermined geometric form and other environmental limitations at the same time. The research scope of formation control mainly includes the following five aspects: formation generation, formation keeping, formation switching, formation obstacle avoidance, and formation adaptive problems. In the present literature, formation control methods mainly include leader–follower strategy [11,12,13,14,15,16,17], behavior-based method [18,19], virtual structure method [20,21,22,23], and artificial potential field method [24,25,26].
On the basis of Hamilton formalism, Kurzhanski et al. [27] described this kind of cluster motion by the terms of the corresponding Hamilton–Jacobi–Bellman (HJB) equation. Based on the duality theory of convex analysis [28], the solvable conditions for the trajectory of virtual ellipsoid were given in [29], where the optimal control model and the corresponding numerical simulation procedures were also provided. Although the mathematical model and solvable conditions of the cluster motion were available in [4,30], obtaining accurate and efficient numerical solutions is still a challenging problem that should develop new numerical techniques, which is pointed out by Kurzhanski in [30,31].
This work applies the Hamilton formalism methods to the numerical solutions of target team control problems described above. In this problem, the formation of clusters is decentralized and all members of the cluster should be located within the preset virtual ellipsoid container [4] during the entire movement process to ensure the smooth wireless information exchange among the members. Given the collision avoidance conditions and energy constraints, we present a mathematical model to formulate how the cluster members achieve the given target set. By solving the corresponding value function, we obtain the optimal controls of the members. Besides this, a numerical simulation based on the classical finite difference method (FDM) is provided. We then simulate algorithm by applying it to the formation of UAVs. This algorithm can be used to realize the formation of UAVs and control the entire UAV group to move to a preset target position simultaneously while maintaining the formation. The algorithm guarantees the optimal control of UAVs under the current constraints, which further proves the successful application of this algorithm to aerospace engineering problems.
Our study provides an alternative approach to solve decentralized cluster control problem and demonstrate the scalability and practical feasibility of the model. This model can be widely used in aerospace engineering problems. The method ensures the flexible and dynamic adjustment of the members’ relative position, given the whole formation shape of the cluster remains stable. Finally, several extended applications of the model are provided to demonstrate the variability of the model.
Our method has significant advantages in dealing with such problems. It overcomes the inflexibility in the traditional rigid structure motion model in which the relative positions of the cluster members are fixed, thus, limiting the movement of the cluster when the obstacle avoidance or the formation strategy change is required, despite that the formation can be maintained to a certain extent. Compared with the traditional artificial potential field method [24,25,26], we solve the problem that the target is unreachable when the obstacle is too close to the target set while maintaining good formation. Besides this, the cluster control method proposed in this paper is a decentralized method, which has the advantages of high anti-interference and fault tolerance compared with the leader–follower strategy [11,12,13,14,15,16,17]. In addition, the traditional virtual structure method [20,21,22,23] cannot solve the obstacle avoidance problem well, but the cluster formation algorithm proposed in this paper can be solved by adding constraints in the value function.
The paper is organized as follows: The basic model is described in Section 2. The detailed problem statement is provided in Section 3, and the control problem of cluster members in the ellipsoid is solved in Section 4. We verify accuracy of the proposed method through comprehensive numerical examples in Section 5. In Section 6, we conduct a simulation study to demonstrate effectiveness of the proposed method. Lastly, concluding remarks are offered in the Section 7.

2. Basic Model

Define a non-degenerate ellipsoid [32] in R n :
ε ( q , Q ) = { p R n : p q , Q 1 ( p q ) 1 } , q R n , Q R n × n , Q = Q > 0 ,
with center q and configuration matrix Q [33]. On a given finite time interval [ t 0 , θ ] , suppose functions q ( t ) , Q ( t ) are piece-wise continuous differentiable and satisfy the following dynamic system of equations [29]:
q ˙ ( t ) = A ( t ) q ( t ) + C ( t ) v ( t ) , q ( t 0 ) = q 0 ,
Q ˙ ( t ) = T ( t ) Q ( t ) + Q ( t ) T ( t ) + B ( t ) V ( t ) B ( t ) ,
T ( t ) = T ( t ) , V ( t ) = V ( t ) , Q ( t 0 ) = Q 0 ,
where the coefficient matrices A ( t ) , B ( t ) , C ( t ) and T ( t ) are assumed to be continuously differentiable, E c [ t ] = ε ( q ( t ) , Q ( t ) ) represents the motion of the virtual ellipsoid whose continuity is given in Appendix A, and v ( t ) R n , V ( t ) R n × n control the trajectory of the center q ( t ) of the ellipsoid and the configuration matrix Q ( t ) of the ellipsoid, respectively. Systems (2)–(4) are considered under the constraints [29]:
v ( t ) , v ( t ) μ 2 ( t ) , [ V ( t ) , V ( t ) ] υ 2 ( t ) ,
[ Q ( t ) , Q ( t ) ] λ + 2 , λ + > 0 ,
[ Q ( t ) , Q ( t ) ] λ 2 , λ + > λ > 0 ,
where and elsewhere, angle brackets represent the inner product of vectors, and square brackets stand for the inner product of matrices. The inner product of matrices A and B is defined as [ A , B ] = t r ( A B ) , where t r ( A B ) denotes the trace of matrix A B [34], suppose that functions μ 2 ( t ) and υ 2 ( t ) are piece-wise continuous functions with only finite first kind discontinuities. In summary, the inequality condition (5) is a constraint on energy consumption; conditions (6) and (7) are constraints of ellipsoid volume, where λ + and λ are given constants.
Consider the following equations of joint motions for a family of control systems:
x ˙ ( t ) = u ( t ) , x R n × m , u R n × m ,
x ( t 0 ) = x 0 ,
x = { x 1 , x 2 , , x m } , u = { u 1 , u 2 , , u m } ,
x i = x i 1 x i 2 x i n , u i = u i 1 u i 2 u i n , i = 1 , , m ,
and Equations (8)–(11) describe a joint motion of m systems with phase vectors x i , x ˙ i R n , and controls u i R n ( i = 1 , , m ) subject to hard geometrical constraints
u i P i , i = 1 , , m ,
in which P i R n stands for a symmetric convex compact set.
Definition 1
([4]). A solution x ( t ) of systems (8)–(11) described by m trajectories x i ( t ) is called a team motion on the interval t [ t 0 , θ ] if the following constraints are fulfilled:
γ 2 d 2 ( x j ( t ) , x k ( t ) ) , 1 j < k m ,
x i ( t ) E c [ t ] = ε ( q ( t ) , Q ( t ) ) R n , i = 1 , , m ,
where d ( x j ( t ) , x k ( t ) ) is the Euclidean distance between points x j ( t ) and x k ( t ) , and γ is a given constant. The team members satisfying the constraints (13) and (14) are named as a ‘cluster’. Constraint (13) provides collision avoidance condition for each of the members located inside the cluster, while condition (14) ensures that every member is close to each other to maintain the overall formation shape. These two conditions must be consistent. The ellipsoid E c [ t ] = ε ( q ( t ) , Q ( t ) ) , as shown in Equation (14), can represent a virtual structure which contains all cluster members and also satisfies the above-mentioned collision avoidance condition of the cluster members.

3. Problem Statement

Given a finite time interval [ t 0 , θ ] , a positive number σ > 0 , an initial ellipsoid E c [ t 0 ] = ε ( q ( t 0 ) , Q ( t 0 ) ) , and the initial state x ( t 0 ) of cluster members, our goal is to find optimal controls u i ( t ) ( i = 1 , , m ) over the above systems x i ( t ) ( i = 1 , , m ) so that the cluster motion reaches a given target set under constraints (13) and (14), which is
M σ = { q , Q : q m f , q m f + [ Q M , Q M ] σ 2 , M = M > 0 } .
Here the target set M σ is given in the form of the neighborhood of an ellipsoid E M = ε ( m f , M ) .
This problem mentioned above can be divided into two sub-problems. The first is to find the control of the ellipsoid so as to obtain the motion of the virtual ellipsoid in the time interval [ t 0 , θ ] and satisfy E c ( θ ) M σ , that is, the system (2)–(4) with the constraints (5)–(7) reaches the preset set of targets. Solving this problem is equivalent to minimizing the following function:
Ψ ( t , q , Q | α 1 , α 2 , β 1 , β 2 , v ( · ) , V ( · ) ) = t θ ( α 1 v ( τ ) , v ( τ ) + α 2 [ V ( τ ) , V ( τ ) ] + β 1 ( λ + 2 [ Q ( τ ) , Q ( τ ) ] ) + β 2 ( [ Q ( τ ) , Q ( τ ) ] λ 2 ) ) d τ + ( q ( θ ) m f , D ( q ( θ ) m f ) + [ Q ( θ ) M , D ( Q ( θ ) M ) ] ) ,
where the constant coefficients α 1 , α 2 , β 1 , β 2 0 , the configuration parameters D = D > 0 , and D = D > 0 . The solution to this problem has been given in [29]. The second is to obtain the numerical solutions of target team control problems under the constraints (13) and (14), which is another important part of the present paper.

4. Control of Cluster Members in the Ellipsoid

The solution of the first problem generates function E c ( t ) , which is the virtual ellipsoid tube containing the cluster x ( t ) and finally moving to the target set M σ . The main idea of the method to solve the second problem is using the pre-constructed motion E c ( t ) as the reference motion. Therefore, the problem can be divided into two situations: One is when the initial state of the cluster satisfies x ( t 0 ) E c ( t 0 ) , the cluster members gather towards the virtual ellipsoid. The other is when the initial state of the cluster satisfies x ( t 0 ) E c ( t 0 ) , the cluster members follow the virtual ellipsoid tube to reach the given target set.
Consider the dynamic equations of the systems (8)–(11) with the constraints (13) and (14). Different to the methods available in existing literatures, which are to maximize the distance between m members, this paper considers minimizing the following function:
φ ( t , x , u ) = t θ ( ω i = 1 m u i ( τ ) , u i ( τ ) + i = 1 m β i x i ( τ ) q ( τ ) , Q 1 ( τ ) ( x i ( τ ) q ( τ ) ) 1 2 ( 1 i < j m κ i j x i ( τ ) x j ( τ ) , x i ( τ ) x j ( τ ) + 1 i < j m κ j i x j ( τ ) x i ( τ ) , x j ( τ ) x i ( τ ) ) ) d τ + i = 1 m x i ( θ ) m i , x i ( θ ) m i ,
where ω , β i , κ i j , κ j i 0 ( i , j = 1 , , m ) are constant coefficients, m i M σ ( i , j = 1 , , m ) are the terminal targets of each cluster member, u i ( τ ) , u i ( τ ) depicts the energy consumed during the movement of the cluster members, x i ( τ ) q ( τ ) , Q 1 ( τ ) ( x i ( τ ) q ( τ ) ) describes the distance between the cluster members and the virtual ellipsoid, x i ( τ ) x j ( τ ) , x i ( τ ) x j ( τ ) represents the distance between cluster members, and the last one x i ( θ ) m i , x i ( θ ) m i figures the gap between the terminal state of the cluster members and the terminal target.
According to the above analysis, the corresponding value function (objective function) can be established as follows:
V E ( t , x ) = min u i ( · ) { t θ ( ω i = 1 m u i ( τ ) , u i ( τ ) + i = 1 m β i x i ( τ ) q ( τ ) , Q 1 ( τ ) ( x i ( τ ) q ( τ ) ) 1 2 ( 1 i < j m κ i j x i ( τ ) x j ( τ ) , x i ( τ ) x j ( τ ) + 1 i < j m κ j i x j ( τ ) x i ( τ ) , x j ( τ ) x i ( τ ) ) ) d τ + i = 1 m x i ( θ ) m i , x i ( θ ) m i } ,
with the terminal condition V E ( θ , x ) = i = 1 m x i ( θ ) m i , x i ( θ ) m i . It is interesting to note that the value function (18) is the solution of the following HJB equation:
V E t + min u i ( · ) { i = 1 m V E x i , x i ˙ + ω i = 1 m u i ( t ) , u i ( t ) + i = 1 m β i x i q , Q 1 ( x i q ) 1 2 1 i < j m κ i j x i x j , x i x j + 1 i < j m κ j i x j x i , x j x i | x i = x i ( t ) , q = q ( t ) , Q = Q ( t ) } = 0 .
For briefly, assume
F = i = 1 m V E x i , x ˙ i + ω i = 1 m u i ( t ) , u i ( t ) + i = 1 m β i x i q , Q 1 ( x i q ) 1 2 1 i < j m κ i j x i x j , x i x j + 1 i < j m κ j i x j x i , x j x i ,
and from
F u i ( t ) = 0 , i = 1 , , m ,
we can obtain
u i ( t ) = 1 2 ω V E x i , i = 1 , , m .
According to the quadratic form of x i in Equation (18), we construct the value function V E ( t , x ) as
V E ( t , x ) = i = 1 m x i , s i i ( t ) x i + i = 1 m x i , k i ( t ) + 1 2 ( 1 i < j m x i , s i j ( t ) x j + 1 i < j m x j , s j i ( t ) x i ) + r ( t ) ,
where the parameters s i i ( t ) = s i i ( t ) > 0 , k i ( t ) , r ( t ) and s i j ( t ) = s i j ( t ) > 0 are continuously differentiable and satisfy s i j ( t ) = s j i ( t ) , κ i j = κ j i . Taking the partial derivative of the above equation for t and x i ( i = 1 , , m ) respectively, we obtain:
V E t = i = 1 m x i , s ˙ i i ( t ) x i + i = 1 m x i , k ˙ i ( t ) + 1 2 ( 1 i < j m x i , s ˙ i j ( t ) x j + 1 i < j m x j , s ˙ j i ( t ) x i ) + r ˙ ( t ) ,
V E x i = 2 s i i ( t ) x i + k i ( t ) + 1 2 ( j B i s i j ( t ) x j + j B i s j i ( t ) x j ) , i = 1 , , m ,
where set B i as B i = { j { 1 , , m } | j i } . Substituting Equations (22) into (26) provides
V E t + { i = 1 m V E x i , 1 2 ω V E x i + ω i = 1 m 1 2 ω V E x i , 1 2 ω V E x i + i = 1 m β i x i q , Q 1 ( x i q ) 1 2 1 i < j m κ i j x i x j , x i x j + 1 i < j m κ j i x j x i , x j x i | x i = x i ( t ) , q = q ( t ) , Q = Q ( t ) } = 0 .
Then, substituting Equations (24) and (25) into (26), yields
i = 1 m x i , s ˙ i i ( t ) x i + i = 1 m x i , k ˙ i ( t ) + 1 2 ( 1 i < j m x i , s ˙ i j ( t ) x j + 1 i < j m x j , s ˙ j i ( t ) x i ) + r ˙ ( t ) 1 4 ω i = 1 m ( 2 s i i ( t ) x i + k i ( t ) + 1 2 ( j B i s i j ( t ) x j + j B i s j i ( t ) x j ) ) , 2 s i i ( t ) x i + k i ( t ) + 1 2 ( j B i s i j ( t ) x j + j B i s j i ( t ) x j ) + i = 1 m β i x i q , Q 1 ( x i q ) 1 2 ( 1 i < j m κ i j x i x j , x i x j + 1 i < j m κ j i x j x i , x j x i ) = 0 .
For the above equation, matching the coefficients of like powers of x i ( t ) ( i = 1 , , m ) , the following differential equations can be obtained:
s ˙ i i ( t ) 1 4 ω ( 4 s i i ( t ) s i i ( t ) + j B i s i j ( t ) s j i ( t ) ) + β i Q 1 1 2 j B i ( κ i j + κ j i ) I = 0 , s i i ( θ ) = I ,
k ˙ i ( t ) 1 4 ω ( 4 s i i ( t ) k i ( t ) + j B i ( s i j ( t ) + s j i ( t ) ) k j ( t ) ) 2 β i Q 1 q = 0 , k i ( θ ) = 2 β i m i ,
s ˙ i j ( t ) 1 4 ω ( 4 s i i ( t ) ( s i j ( t ) + s j i ( t ) ) + 2 l i , j s i l ( t ) s j l ( t ) ) + ( κ i j + κ j i ) I = 0 , s i j ( θ ) = 0 ,
r ˙ ( t ) 1 4 ω ( i = 1 m k i ( t ) k i ( t ) ) + i = 1 m β i q Q 1 q = 0 , r ( θ ) = i = 1 m m i m i ,
where 1 i < j m . The differential Equations (28)–(31) can be solved here numerically using the traditional finite difference method (FDM) by Explicit Euler’s method:
s ˙ i i ( t k + 1 ) = ( s i i ( t k ) s i i ( t k + 1 ) ) / ( Δ t ) , k ˙ i ( t k + 1 ) = ( k i ( t k ) k i ( t k + 1 ) ) / ( Δ t ) , s ˙ i j ( t k + 1 ) = ( s i j ( t k ) s i j ( t k + 1 ) ) / ( Δ t ) , r ˙ ( t k + 1 ) = ( r ( t k ) r ( t k + 1 ) / ( Δ t ) ,
the specific solution process is provided in Appendix B.
Theorem 1.
The value function (23) in which the parameters are determined by system (28)–(31) specifies a solution of the optimization problem (18). In this case, the optimal controls u i ( t ) ( i = 1 , , m ) are given by (22), namely,
u i ( t ) = 1 2 ω ( 2 s i i ( t ) x i + k i ( t ) + 1 2 ( j B i s i j ( t ) x j + j B i s j i ( t ) x j ) ) , i = 1 , , m ,
where the parameters s i i ( t ) , k i ( t ) , r ( t ) , s i j ( t ) and s j i ( t ) are solved by differential Equations (28)–(31).
Thus, for given ω , β i , κ i j , κ j i 0 ( i , j = 1 , , m ) , we can obtain the trajectory of system members. In this way, for a given m, the numerical solution of team control can be obtained. The optimality proof for controls u i ( t ) ( i = 1 , , m ) is given in Appendix C.

5. Numerical Results and Discussion

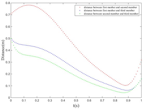
Numerical results for the problem are given below using the Matlab R2014b software. We consider a two-dimensional (2D) problem defined on the time interval t [ 0 , 1 ] with m = 3 . We first calculate the trajectory of the virtual ellipsoid according to the calculation method given in [29], and then use the computed result as the reference motion of the cluster in this paper. The initial states of the cluster members are taken to be x 1 ( 0 ) = [ 0 , 0.5 ] , x 2 ( 0 ) = [ 0.5 , 0 ] , x 3 ( 0 ) = [ 0 , 0 ] . For terminal targets, we here set m 1 = [ 0.75 , 0.75 ] , m 2 = [ 1.25 , 1.25 ] , m 3 = [ 1 , 1 ] . The parameters here are chosen as ω = 0.1 , β 1 = 5.87 , β 2 = 5.88 , β 3 = 5.85 , κ 12 = 1.13 , κ 13 = 1.15 , κ 23 = 1.10 . Taking the state information of the virtual ellipsoid and the above numerical values as known conditions, and substituting them into the algorithm given in this paper for derivation, the problem can be transformed into a differential equation system of the form (28)–(31). Solving them by Explicit Euler’s method, the numerical results for the team motion of all cluster members can be seen in Figure 1. If the initial state of the cluster members changes to x 1 ( 0 ) = [ 0 , 1.5 ] , x 2 ( 0 ) = [ 2 , 0 ] , x 3 ( 0 ) = [ 0 , 0 ] , the team motion shown in Figure 2 can be obtained. If the parameters κ 12 , κ 13 , κ 23 are taken to be κ 12 = 1.03 , κ 13 = 1.05 , κ 23 = 1.00 , the resulting team motion can be found in Figure 3, where we can observe from Figure 4 that there is still no collision between each of the cluster members.
In Figure 1, Figure 2 and Figure 3, the vertical axis stands for the time direction. The X axis represents the first component of the state vector of the cluster members, while the Y axis represents the second in three Figure 1a, Figure 2a and Figure 3a, and they represent the two components of the control vector of the cluster members, respectively, in Figure 1b, Figure 2b and Figure 3b. The vertical elliptical tube depicts the initial ellipse, and the curved elliptical tube depicts the elliptical orbit under optimal control, which can be obtained according to [29]. The three curves represent the trajectories of the three members in the cluster respectively. In Figure 4, the horizontal axis denotes the time direction, and the vertical axis is the distance between each of the member during the movement. In summary, based on the value function constructed in this article, the optimal control obtained by the convex analysis technique and the Hamilton method can achieve the preconceived goals.
In summary, based on the value function constructed in this paper, the optimal control obtained by the convex analysis technique and the Hamilton method can achieve the preconceived goals: The first is to control the system members whose initial state are inside the initial ellipsoid to follow the movement of the virtual ellipsoid to reach a predetermined target set. The second is that, for cluster members whose initial state are not in the initial ellipsoid, they can enter the ellipsoid trajectory and follow the movement of the virtual ellipsoid to reach a predetermined target set through the applied control. In the above-mentioned movement process, the cluster members satisfy all the constraints.

6. Aerospace Applications

The swarm formation algorithm provided in this article can be widely used in aerospace engineering problems, such as the formation of UAVs, the problem of multiple spacecrafts working together in a specific orbit, and the formation of multiple small satellites wrapped in the cavity of a large satellite. Taking the UAV formation problem as an example, the cluster described in this paper represents the UAV swarm, and the virtual ellipsoid where the cluster is located can represent the safe area where the UAV can move. We verify the application of the algorithm in this article to the formation of UAV swarms through the AirSim&Unreal Engine simulation platform. Taking three UAVs as an example, we choose to simulate numerical examples shown in Figure 1 and Figure 2. The unit of distance is ten meters and the entire simulation process takes ten seconds. We use the geodetic coordinate system and assume that the drone remains at an altitude of fifty meters throughout the simulation. Here, the state vs. time of the three UAVs are shown in Figure 1a and Figure 2a, the control vs. time of the three UAVs are shown in Figure 1b and Figure 2b. Lastly, the norm of control vs. time of the three UAVs are shown in Figure 1c and Figure 2c. The results are shown in Figure 5 and Figure 6, which demonstrate the feasibility of this algorithm in a real environment.
Figure 5 shows the trajectory when the initial state of the UAV swarm is in the initial ellipse, and Figure 6 shows the trajectory when the initial state of the UAV swarm is not in the initial ellipse. The upper left corner of both figures is a partial enlarged view of the figure. In these figures, the four ellipses correspond to the security area of the UAV cluster at four instants ( t = 0.00 , t = 0.40 , t = 0.85 and t = 1.00 ). We can observe that for the UAV swarm whose initial state is in the initial ellipse, the given set of targets can be reached by the control we exert on it and the entire movement process remains within the virtual ellipse. On the contrary, for the UAV swarm whose initial state is not in the initial ellipse, the control we exert on it will make it gradually enter the virtual ellipse first, and then move to the given target set. It is worth mentioning here that the control strategy of the UAV swarm given in this article is decentralized and the control strategy of each UAV is optimized in real-time.
In addition to the problems described in this article, considering the complex real environment, we list the following situations for different practical needs. For each situation, corresponding problem-solving ideas are given.
Case 1: Considering that the movement of the UAV swarm will be affected by the wind field, we can rewrite the system dynamic Equation (8) as:
x ˙ ( t ) = u ( t ) + w ( x , t ) , x R n × m , u R n × m , w R n × m ,
where w ( x , t ) is the expression for the wind field which the cluster is subjected. It depends not only on time, but also on the state of the cluster. Assuming the remaining conditions keep unchanged, according to the optimization algorithm given in this paper, the optimal trajectory of the UAV swarm under the influence of the wind field can be obtained.
Case 2: If the UAV swarm needs to avoid obstacles (such as enemy fighters or radar areas) during the movement, we can add an obstacle term to the integral term of Equation (16) to achieve the effect of avoiding obstacles for the entire UAV swarm. Take the example of avoiding an obstacle χ , we could add the term ς D ( E c [ t ] , O ) to the integrand in Equation (16). Here, ς is a constant coefficient, O denotes the minimal convex compact set containing the external obstacle χ , and D ( E c [ t ] , O ) is defined as:
D ( E c [ t ] , O ) = i n f { z * z * * , z * E c [ t ] , z * * O } .
Following the calculation process given in this work, the ellipsoidal trajectory that satisfies the collision avoidance of the external obstacle can be calculated in advance forms a reference motion, and then the cluster motion on the premise of avoiding the collision between cluster and the external obstacle can be obtained.
Case 3: Considering the fact that the dimension of the control input is different from the dimension of the UAV state, we can replace Equation (8) with
x ˙ ( t ) = A ( t ) x ( t ) + B ( t ) u ( t ) , x R n × m , u R p × m ,
where the coefficient matrices A ( t ) R n × n and B ( t ) R n × p are assumed to be continuously differentiable.
Case 4: The term β 1 ( λ + 2 [ Q ( τ ) , Q ( τ ) ] ) + β 2 ( [ Q ( τ ) , Q ( τ ) ] λ 2 ) in Equation (16) in this paper is the constraint on the volume of the virtual ellipsoid, and we can also constrain the sum of squares of semiaxes of the ellipsoid by replacing it with β 1 ( λ + 2 t r Q ( τ ) ) + β 2 ( t r Q ( τ ) λ 2 ) .
In short, we can achieve different practical needs by transforming the system dynamic equation or value function, and the algorithm framework provided in this work is still applicable. On the other hand, it also shows that our proposed model has strong variability and is more suitable for environments with high scalability requirements.

7. Conclusions

This work proposes a solving model of the decentralized cluster control problem and demonstrates the scalability and practical feasibility of the model. It is mainly to construct a new matrix valued function based on the comprehensive consideration of cluster member collision avoidance and energy constraints. Applying the Hamilton formalism methods, the model and the optimization algorithm of the cluster objective control problem are given, and the numerical method of the optimal control of the cluster members satisfying the constraints is established. Furthermore, the algorithm provided in this article can meet the different needs of practical problems. In addition to the aforementioned, we can also flexibly adjust the distance between cluster members by adjusting parameters in value function. As a consequence, the proposed method provides a new framework for general team control problems and also provides an efficient alternative for cluster problems in bionics. Simultaneously, this paper offers research ideas for the study of military combat formations or ecological groups.
Several problems remain to be addressed in future work. Firstly, we may improve computational efficiency by applying the proposed method in parallel computing system. Secondly, our algorithm focuses on single-cluster coordinated movement under static reorganization. It is of interest to study potentials of the presented method in multi-cluster and dynamic reorganization setting. Lastly, we want to combine this control problem with game theory to study the obstacle avoidance problem in the movement of virtual ellipsoid, including fixed obstacles and moving obstacles.

Author Contributions

Conceptualization, Z.D. (Zhiqing Dang); Methodology, Z.D. (Zhiqing Dang), Z.D. (Zhaopeng Dai) and Y.Y.; Software, A.S. and Z.Y.; Formal analysis, L.Z.; Validation, Z.D. (Zhiqing Dang) and H.G.; Writing—original draft preparation, Z.D. (Zhiqing Dang); Writing—review and editing, Z.D. (Zhiqing Dang), Z.D. (Zhaopeng Dai) and Y.Y.; Supervision, H.G. All authors have read and agreed to the published version of the manuscript.

Funding

This research was supported by National Natural Science Foundation of China (Nos. 72171126, 11872220).

Institutional Review Board Statement

Not applicable.

Informed Consent Statement

Not applicable.

Data Availability Statement

Not applicable.

Conflicts of Interest

The authors declare no conflict of interest.

Appendix A

In this appendix, the proof of the continuity of the virtual ellipsoid is given.
It is known that the center and the configuration matrix of the ellipsoid satisfy the dynamic equations:
q ˙ ( t ) = A ( t ) q ( t ) + C ( t ) v ( t ) , q ( t 0 ) = q 0 ,
Q ˙ ( t ) = T ( t ) Q ( t ) + Q ( t ) T ( t ) + B ( t ) V ( t ) B ( t ) ,
T ( t ) = T ( t ) , V ( t ) = V ( t ) , Q ( t 0 ) = Q 0 ,
where the given coefficient matrices A ( t ) , B ( t ) , C ( t ) , T ( t ) , μ ( t ) , and ν ( t ) are bounded. For the convenience of description, we assume that the time interval t [ t 0 , θ ] was divided into n sections, the step length is recorded as Δ t .
Let A ( t ) A , B ( t ) B , C ( t ) C , T ( t ) T , v ( t ) , v ( t ) | μ ( t ) | μ 0 . For the center of the virtual ellipsoid q ( t ) , t [ t 0 , θ ] , Δ t = θ t 0 n t where n t denotes the number of time steps, the following inequality holds:
q ( t 0 + Δ t ) q ( t 0 ) + Δ t q ˙ ( t 0 ) q ( t 0 ) + Δ t ( A ( t 0 ) q ( t 0 ) + C ( t 0 ) v ( t 0 ) ) q ( t 0 ) + Δ t ( A q ( t 0 ) + C μ 0 ) ( 1 + A Δ t ) q ( t 0 ) + C μ 0 Δ t ,
q ( t 0 + Δ t + Δ t ) ( 1 + A Δ t ) q ( t 0 + Δ t ) + C μ 0 Δ t ( 1 + A Δ t ) [ ( 1 + A Δ t ) q ( t 0 ) + C μ 0 Δ t ] + C μ 0 Δ t ( 1 + A Δ t ) [ ( 1 + A Δ t ) q ( t 0 ) + C μ 0 Δ t ] + C μ 0 Δ t ( 1 + A Δ t ) 2 q ( t 0 ) + ( 1 + A Δ t ) C μ 0 Δ t + C μ 0 Δ t ,
q ( t 0 + n t Δ t ) ( 1 + A Δ t ) n t q ( t 0 ) + ( 1 + A Δ t ) n t 1 C μ 0 Δ t + ( 1 + A Δ t ) n t 2 C μ 0 Δ t + + C μ 0 Δ t = ( 1 + A Δ t ) n t q ( t 0 ) + C μ 0 Δ t 1 ( 1 + A Δ t ) n t 1 ( 1 + A Δ t ) = ( q ( t 0 ) + C μ 0 A ) ( 1 + A Δ t ) n t C μ 0 A ,
It is obvious that ( 1 + A Δ t ) n t = ( 1 + A θ t 0 n t ) n t is monotone increasing with n t , and
lim n t ( 1 + A Δ t ) n t = lim n t ( 1 + A θ t 0 n t ) n t = e A ( θ t 0 ) .
Thus,
q ( t 0 + n t Δ t ) ( q ( t 0 ) + C μ 0 A ) e A ( θ t 0 ) C μ 0 A
is bounded. The same boundedness holds for any q ( t 0 + i Δ t ) , i = 0 , 1 , n t . Let n t this gives proof that q ( t ) is bounded over [ t 0 , θ ] .
Therefore,
q ( t + Δ t ) q ( t ) Δ t q ˙ ( t ) Δ t ( A ( t ) q ( t ) + C ( t ) v ( t ) ) Δ t ( A q ( t ) + C μ 0 )
gives proof that the function q ( t ) satisfies the Lipschitz continuity condition, and the function q ( t ) is continuously proved.
The continuity of Q ( t ) can be proved in a similar way. Thus, the continuity of the virtual ellipsoid E c ( t ) = ε ( q ( t ) , Q ( t ) ) is proved.

Appendix B

Algorithm 1 Algorithmic Steps for Numerical Computing
Require: 
The total time interval [ t 0 , θ ] , the number of time step n t , the center q ( t ) and configuration matrix Q ( t ) for the ellipsoid ε ( q , Q ) , the number of cluster members m, the destination m i for every member, and the coefficients ω , β i , κ i j for i = 1 , 2 , , m , j = 1 , 2 , , m .
Ensure: 
The optimal control u i * ( t ) for the cluster member with index i = 1 , 2 , , m at the following time node: t 0 , t 0 + Δ t , t 0 + 2 Δ t , , t 0 + n Δ t = θ .
  • Δ t = θ t 0 n t ;
  • s = 0;
  • for ( i = 1 ; i < = m ; i + + )
  •        s + = m i m i ;
  • r ( θ ) = s ;
  • k i ( θ ) = 2 β i m i ;
  • for ( t = θ ; t > t 0 ; t = Δ t ) {
  •       for ( i = 1 ; i < = m ; i + + ) {
  •              s i i ( θ ) = I m ;
  •              M 1 = M 2 = z e r o s ( m , m ) , z 1 = z 2 = z 3 = 0 , v 1 = v 2 = z e r o s ( m , 1 ) ;
  •             //zeros(m,n) stands for 0 m × n
  •             for ( j = 1 ; j < = m ; j + + ) {
  •                    s i j ( θ ) = 0 ;
  •                    z 1 = k i ( t ) k i ( t ) ;
  •                    z 2 = β i q ( t ) Q 1 ( t ) q ( t ) ;}
  •                   for l = 1 ; l < = m ; l + + ;
  •                          z 3 + = s i l ( t ) s j l ( t ) ;
  •                   if(i!=j){
  •                          M 1 + = s i j ( t ) s j i ( t ) ;
  •                          M 2 + = ( κ i j + κ j i ) I m ;
  •                          v 1 + = [ s i j ( t ) + s j i ( t ) ] k j ( t ) ;
  •              s i i ( t Δ t ) = s i i ( t ) + { 1 4 ω [ 4 s i i ( t ) s i i ( t ) ] M 1 β i Q 1 ( t ) + 1 2 M 2 } Δ t ;
  •              r ( t ) ( t Δ t ) = r ( t ) + ( 1 4 ω z 1 z 2 ) Δ t ;
  •              k i ( t Δ t ) = k i ( t ) + { 1 4 ω [ 4 s i i ( t ) k i ( t ) v 1 ] + 2 β i Q 1 ( t ) q ( t ) ] } Δ t ;
  •              s i j ( t Δ t ) = s i j ( t ) + { 1 4 ω 4 s i i ( t ) [ s i j ( t ) + s j i ( t ) ] + 2 z 3 + ( κ i j + κ j i ) I m } Δ t ;
  •             for ( j = 1 ; j < = m ; j + + )
  •                   if ( j ! = i )
  •                          v 2 + = ( s i j ( t Δ t ) + s j i ( t Δ t ) ) x j ;
  •              u i ( t ) ( t Δ t ) = 1 2 ω [ 2 s i i ( t Δ t ) x i + k i ( t Δ t ) + 1 2 v 2 ] ;}}

Appendix C

In this Appendix, we give the conditions and proofs for the optimality of the control. For simplicity in the proof process, we define the following notation:
F ( x ( t ) , u ( t ) , t ) = ω i = 1 m u i ( t ) , u i ( t ) + i = 1 m β i x i ( t ) q ( t ) , Q 1 ( t ) ( x i ( t ) q ( t ) ) 1 2 ( 1 i < j m κ i j x i ( t ) x j ( t ) , x i ( t ) x j ( t ) + 1 i < j m κ j i x j ( t ) x i ( t ) , x j ( t ) x i ( t )
and
f ( x ( t ) , u ( t ) , t ) = x ˙ = u ( t ) .
Set
H [ x ( t ) , u ( t ) , t ] = i = 1 m V E x i , x i ˙ + ω i = 1 m u i ( t ) , u i ( t ) + i = 1 m β i x i q , Q 1 ( x i q ) 1 2 1 i < j m κ i j x i x j , x i x j + 1 i < j m κ j i x j x i , x j x i ,
we can obtain the relation
H [ x ( t ) , u ( t ) , t ] = F ( x ( t ) , u ( t ) , t ) + λ ( t ) f ( x ( t ) , u ( t ) , t ) ,
where λ ( t ) = V E x | x = x * with x * ( t ) being the optimal trajectory. Assuming u * is the control obtained in the text, then we have
H [ x ( t ) , u * ( t ) , t ] = 1 4 ω i = 1 m ( 2 s i i ( t ) x i + k i ( t ) + 1 2 ( j B i s i j ( t ) x j + j B i s j i ( t ) x j ) ) , 2 s i i ( t ) x i + k i ( t ) + 1 2 ( j B i s i j ( t ) x j + j B i s j i ( t ) x j ) + i = 1 m β i x i q , Q 1 ( x i q ) 1 2 ( 1 i < j m κ i j x i x j , x i x j + 1 i < j m κ j i x j x i , x j x i ) .
At the same time, we mark
S ( x , θ ) = i = 1 m x i ( θ ) m i , x i ( θ ) m i ,
then, the following theorem holds.
Theorem A1.
u * is an optimal control if H [ x ( t ) , u * ( t ) , t ] is convex in x for each t and S ( x , θ ) is convex in x.
Proof. 
From the above definition we know
H [ x ( t ) , u ( t ) , t ] H [ x ( t ) , u * ( t ) , t ] .
Since H [ x ( t ) , u * ( t ) , t ] is differential and convex in x and we assume that x * ( t ) is the optimal trajectory, we can use the definition of convex function to obtain
H [ x ( t ) , u ( t ) , t ] H [ x * ( t ) , u ( t ) , t ] + H x [ x * ( t ) , u ( t ) , t ] [ x ( t ) x * ( t ) ] ,
hence we have
H [ x ( t ) , u ( t ) , t ] H [ x * ( t ) , u * ( t ) , t ] + H x [ x * ( t ) , u * ( t ) , t ] [ x ( t ) x * ( t ) ] .
By definition of H in (A13), yields
F ( x ( t ) , u ( t ) , t ) + λ ( t ) f ( x ( t ) , u ( t ) , t ) F ( x * ( t ) , u * ( t ) , t ) + λ ( t ) f ( x * ( t ) , u * ( t ) , t ) λ ˙ ( t ) [ x ( t ) x * ( t ) ] .
Using Equation (A11), transposing, and regrouping,
F ( x * ( t ) , u * ( t ) , t ) F ( x ( t ) , u ( t ) , t ) λ ˙ ( t ) [ x ( t ) x * ( t ) ] + λ ( t ) [ x ˙ ( t ) x ˙ * ( t ) ] .
Furthermore, since S ( x , θ ) is a differential and convex function, we have
S ( x ( θ ) , θ ) S ( x * ( θ ) , θ ) + S x ( x * ( θ ) , θ ) [ x ( θ ) x * ( θ ) ]
or,
S ( x * ( θ ) , θ ) S ( x ( θ ) , θ ) S x ( x * ( θ ) , θ ) [ x ( θ ) x * ( θ ) ] .
Integrating both sides of (A20) from t 0 to θ and adding (A21), we have
t 0 θ [ F ( x * ( t ) , u * ( t ) , t ) d t + S ( x * ( θ ) , θ ) ] t 0 θ [ F ( x ( t ) , u ( t ) , t ) d t + S ( x ( θ ) , θ ) ] [ λ ( θ ) S x ( x * ( θ ) , θ ) ] [ [ x ( θ ) x * ( θ ) ] ] λ ( t 0 ) [ x ( t 0 x ( t 0 ) ]
or,
V E ( u * ) V E ( u ) [ λ ( θ ) S x ( x * ( θ ) , θ ) ] [ [ x ( θ ) x * ( θ ) ] ] λ ( t 0 ) [ x ( t 0 x ( t 0 ) ] ,
where V E ( u ) is the value of the value function (objective function) associated with a control u. Since x ( t 0 ) = x * ( t 0 ) = x 0 , the initial condition, and since λ ( θ ) = S x ( x * ( θ ) , θ ) , we have
V E ( u * ) V E ( u ) .
Thus, u * is an optimal control. This completes the proof. □
In the numerical example of this paper, we know
H [ x ( t ) , u * ( t ) , t ] = 1 4 ω i = 1 3 ( 2 s i i ( t ) x i + k i ( t ) + 1 2 ( j B i s i j ( t ) x j + j B i s j i ( t ) x j ) ) , 2 s i i ( t ) x i + k i ( t ) + 1 2 ( j B i s i j ( t ) x j + j B i s j i ( t ) x j ) + i = 1 3 β i x i q , Q 1 ( x i q ) 1 2 ( 1 i < j 3 κ i j x i x j , x i x j + 1 i < j 3 κ j i x j x i , x j x i ) ,
and
S ( x , θ ) = i = 1 3 x i ( θ ) m i , x i ( θ ) m i .
After numerical verification, the algorithm in this paper satisfies the above theorem conditions. The optimality of control u provided in this paper is proved.

References

  1. Roman, R.-C.; Precup, R.-E.; Petriu, E.M. Hybrid Data-Driven Fuzzy Active Disturbance Rejection Control for Tower Crane Systems. Eur. J. Control 2021, 58, 373–387. [Google Scholar] [CrossRef]
  2. Chi, R.; Li, H.; Shen, D.; Hou, Z.; Huang, B. Enhanced P-type Control: Indirect Adaptive Learning from Set-point Updates. IEEE Trans. Automat. Control 2022. [Google Scholar] [CrossRef]
  3. Olfati-Saber, R. Flocking for multi-agent dynamic systems: Algorithms and theory. IEEE Trans. Automat. Control 2006, 51, 401–420. [Google Scholar] [CrossRef] [Green Version]
  4. Kurzhanski, A.B. On a team control problem under obstacles. Proc. Steklov Inst. Math. 2015, 51, 128–142. [Google Scholar] [CrossRef]
  5. Adhikari, M.P.; de Ruiter, A.H. Online feasible trajectory generation for collision avoidance in fixed-wing unmanned aerial vehicles. J. Guid. Control Dyn. 2020, 43, 1201–1209. [Google Scholar] [CrossRef]
  6. Ahn, C.; Kim, Y. Point targeting of multisatellites via a virtual structure formation flight scheme. J. Guid. Control Dyn. 2009, 32, 1330–1344. [Google Scholar] [CrossRef]
  7. Zhang, F.; Huang, P.; Meng, Z.; Zhang, Y.; Liu, Z. Dynamics analysis and controller design for maneuverable tethered space net robot. J. Guid. Control Dyn. 2017, 40, 2828–2843. [Google Scholar] [CrossRef]
  8. Kluever, C.; Horneman, K. Terminal trajectory planning and optimization for an unpowered reusable launch vehicle. In Proceedings of the AIAA Guidance, Navigation, and Control Conference and Exhibit, San Francisco, CA, USA, 15–18 August 2005; p. 6058. [Google Scholar]
  9. Vian, J.L.; Moore, J.R. Trajectory optimization with risk minimization for military aircraft. J. Guid. Control Dyn. 1989, 12, 311–317. [Google Scholar] [CrossRef]
  10. Levy, M.; Shima, T.; Gutman, S. Linear quadratic integrated versus separated autopilot-guidance design. J. Guid. Control Dyn. 2013, 36, 1722–1730. [Google Scholar] [CrossRef] [Green Version]
  11. Gustavi, T.; Hu, X. Observer-based leader-follower formation control using onboard sensor information. IEEE Trans. Robot. 2008, 24, 1457–1462. [Google Scholar] [CrossRef]
  12. Mariottini, G.L.; Morbidi, F.; Prattichizzo, D.; Valk, N.V.; Michael, N.; Pappas, G.; Daniilidis, K. Vision-based localization for leader-follower formation control. IEEE Trans. Robot. 2009, 25, 1431–1438. [Google Scholar] [CrossRef]
  13. Chen, X.; Yan, P.; Serrani, A. On input-to-state stability-based design for leader/follower formation control with measurement delays. Int. J. Robust Nonlinear Control 2013, 23, 1433–1455. [Google Scholar] [CrossRef]
  14. Lee, D.; Sanyal, A.K.; Butcher, E.A. Asymptotic tracking control for spacecraft formation flying with decentralized collision avoidance. J. Guid. Control Dyn. 2015, 38, 587–600. [Google Scholar] [CrossRef] [Green Version]
  15. Panagou, D.; Kumar, V. Cooperative visibility maintenance for leader-follower formations in obstacle environments. IEEE Trans. Robot. 2014, 30, 831–844. [Google Scholar] [CrossRef]
  16. Wang, X.; Zhang, J.; Zhang, D.; Shen, L. UAV formation: From numerical simulation to actual flight. In Proceedings of the 2015 IEEE International Conference on Information and Automation, Lijiang, China, 8–10 August 2015; pp. 475–480. [Google Scholar]
  17. Du, H.; Chen, M.Z.; Wen, G. Leader–following attitude consensus for spacecraft formation with rigid and flexible spacecraft. J. Guid. Control Dyn. 2016, 39, 944–951. [Google Scholar] [CrossRef]
  18. Giulietti, F.; Innocenti, M.; Pollini, L. Formation flight control-a behavioral approach. In Proceedings of the AIAA Guidance, Navigation, and Control Conference and Exhibit, Montreal, QC, Canada, 6–9 August 2001; p. 4239. [Google Scholar]
  19. Lawton, J.R.; Beard, R.W.; Young, B.J. A decentralized approach to formation maneuvers. IEEE Trans. Robot. Autom. 2003, 19, 933–941. [Google Scholar] [CrossRef] [Green Version]
  20. Ren, W.; Beard, R.W. Decentralized scheme for spacecraft formation flying via the virtual structure approach. J. Guid. Control Dyn. 2004, 27, 73–82. [Google Scholar] [CrossRef]
  21. Sadowska, A.; den Broek, T.V.; Huijberts, H.; van de Wouw, N.; Kostić, D.; Nijmeijer, H. A virtual structure approach to formation control of unicycle mobile robots using mutual coupling. Int. J. Control 2011, 84, 1886–1902. [Google Scholar] [CrossRef]
  22. Watanabe, Y.; Amiez, A.; Chavent, P. Fully-autonomous coordinated flight of multiple UAVs using decentralized virtual leader approach. In Proceedings of the 2013 IEEE/RSJ International Conference on Intelligent Robots and Systems, Tokyo, Japan, 3–7 November 2013; pp. 5736–5741. [Google Scholar]
  23. Ren, W.; Beard, R. Virtual structure based spacecraft formation control with formation feedback. In Proceedings of the AIAA Guidance, Navigation, and Control Conference and Exhibit, Monterey, CA, USA, 5–8 August 2002; p. 4963. [Google Scholar]
  24. Olfati-Saber, R.; Murray, R.M. Distributed cooperative control of multiple vehicle formations using structural potential functions. IFAC Proc. Vol. 2002, 35, 495–500. [Google Scholar] [CrossRef] [Green Version]
  25. Gazi, V. Swarm aggregations using artificial potentials and sliding-mode control. IEEE Trans. Robot. 2005, 21, 1208–1214. [Google Scholar] [CrossRef]
  26. Mabrouk, M.; McInnes, C. Solving the potential field local minimum problem using internal agent states. Robot. Auton. Syst. 2008, 56, 1050–1060. [Google Scholar] [CrossRef] [Green Version]
  27. Kurzhanski, A.B.; Mesyats, A.I. Ellipsoidal motions for applied control: From theory to computation. In Proceedings of the 52nd IEEE Conference on Decision and Control, Firenze, Italy, 10–13 December 2013; pp. 5816–5821. [Google Scholar]
  28. Rockafellar, R.T.; Wets, R.J.-B. Variational Analysis; Springer Science & Business Media: Berlin/Heidelberg, Germany, 2009. [Google Scholar]
  29. Kurzhanski, A.B.; Mesyats, A.I. Optimal control of ellipsoidal motions. Diff. Equat. 2012, 48, 1502–1509. [Google Scholar] [CrossRef]
  30. Kurzhanski, A.B.; Mesyats, A.I. The hamiltonian formalism for problems of group control under obstacles. IFAC-PapersOnLine 2016, 49, 570–575. [Google Scholar] [CrossRef]
  31. Kurzhanski, A.B. On the problem of optimization in group control. In Control Techniques in Complex Engineering Systems: Theory and Applications; Springer: Berlin/Heidelberg, Germany, 2019; pp. 51–61. [Google Scholar]
  32. Poznyak, A.; Ordaz, P. ‘KL’-gain adaptation for attractive ellipsoid method. IMA J. Math. Control Inf. 2015, 32, 447–469. [Google Scholar]
  33. Kurzhanski, A.B.; Vályi, I. Ellipsoidal Calculus for Estimation and Control; Springer: Berlin/Heidelberg, Germany, 1997. [Google Scholar]
  34. Bellman, R. Introduction to Matrix Analysis; SIAM: Philadelphia, PA, USA, 1997. [Google Scholar]
Figure 1. Team motion with initial states x 1 ( 0 ) = [ 0 , 0.5 ] , x 2 ( 0 ) = [ 0.5 , 0 ] , x 3 ( 0 ) = [ 0 , 0 ] and parameters ω = 0.1 , β 1 = 5.87 , β 2 = 5.88 , β 3 = 5.85 , κ 12 = 1.13 , κ 13 = 1.15 , κ 23 = 1.10 . (a) The state-time relationship diagram of the cluster. (b) The control-time relationship diagram of the cluster. (c) The norm of the control-time relationship diagram of the cluster.
Figure 1. Team motion with initial states x 1 ( 0 ) = [ 0 , 0.5 ] , x 2 ( 0 ) = [ 0.5 , 0 ] , x 3 ( 0 ) = [ 0 , 0 ] and parameters ω = 0.1 , β 1 = 5.87 , β 2 = 5.88 , β 3 = 5.85 , κ 12 = 1.13 , κ 13 = 1.15 , κ 23 = 1.10 . (a) The state-time relationship diagram of the cluster. (b) The control-time relationship diagram of the cluster. (c) The norm of the control-time relationship diagram of the cluster.
Mathematics 10 01970 g001
Figure 2. Team motion with initial states x 1 ( 0 ) = [ 0 , 1.5 ] , x 2 ( 0 ) = [ 2 , 0 ] , x 3 ( 0 ) = [ 0 , 0 ] and parameters ω = 0.1 , β 1 = 5.87 , β 2 = 5.88 , β 3 = 5.85 , κ 12 = 1.13 , κ 13 = 1.15 , κ 23 = 1.10 . (a) The state-time relationship diagram of the cluster. (b) The control-time relationship diagram of the cluster. (c) The norm of the control-time relationship diagram of the cluster.
Figure 2. Team motion with initial states x 1 ( 0 ) = [ 0 , 1.5 ] , x 2 ( 0 ) = [ 2 , 0 ] , x 3 ( 0 ) = [ 0 , 0 ] and parameters ω = 0.1 , β 1 = 5.87 , β 2 = 5.88 , β 3 = 5.85 , κ 12 = 1.13 , κ 13 = 1.15 , κ 23 = 1.10 . (a) The state-time relationship diagram of the cluster. (b) The control-time relationship diagram of the cluster. (c) The norm of the control-time relationship diagram of the cluster.
Mathematics 10 01970 g002
Figure 3. Team motion with initial states x 1 ( 0 ) = [ 0 , 0.5 ] , x 2 ( 0 ) = [ 0.5 , 0 ] , x 3 ( 0 ) = [ 0 , 0 ] and parameters ω = 0.1 , β 1 = 5.87 , β 2 = 5.88 , β 3 = 5.85 , κ 12 = 1.03 , κ 13 = 1.05 , κ 23 = 1.00 . (a) The state-time relationship diagram of the cluster. (b) The control-time relationship diagram of the cluster. (c) The norm of the control-time relationship diagram of the cluster.
Figure 3. Team motion with initial states x 1 ( 0 ) = [ 0 , 0.5 ] , x 2 ( 0 ) = [ 0.5 , 0 ] , x 3 ( 0 ) = [ 0 , 0 ] and parameters ω = 0.1 , β 1 = 5.87 , β 2 = 5.88 , β 3 = 5.85 , κ 12 = 1.03 , κ 13 = 1.05 , κ 23 = 1.00 . (a) The state-time relationship diagram of the cluster. (b) The control-time relationship diagram of the cluster. (c) The norm of the control-time relationship diagram of the cluster.
Mathematics 10 01970 g003
Figure 4. Distance between cluster members with parameters ω = 0.1 , β 1 = 5.87 , β 2 = 5.88 , β 3 = 5.85 , κ 12 = 1.03 , κ 13 = 1.05 , κ 23 = 1.00 .
Figure 4. Distance between cluster members with parameters ω = 0.1 , β 1 = 5.87 , β 2 = 5.88 , β 3 = 5.85 , κ 12 = 1.03 , κ 13 = 1.05 , κ 23 = 1.00 .
Mathematics 10 01970 g004
Figure 5. The movement of the UAV swarm corresponding to Figure 1.
Figure 5. The movement of the UAV swarm corresponding to Figure 1.
Mathematics 10 01970 g005
Figure 6. The movement of the UAV swarm corresponding to Figure 2.
Figure 6. The movement of the UAV swarm corresponding to Figure 2.
Mathematics 10 01970 g006
Publisher’s Note: MDPI stays neutral with regard to jurisdictional claims in published maps and institutional affiliations.

Share and Cite

MDPI and ACS Style

Dang, Z.; Dai, Z.; Yu, Y.; Zhang, L.; Su, A.; You, Z.; Gao, H. Team Control Problem in Virtual Ellipsoid and Its Numerical Simulations. Mathematics 2022, 10, 1970. https://doi.org/10.3390/math10121970

AMA Style

Dang Z, Dai Z, Yu Y, Zhang L, Su A, You Z, Gao H. Team Control Problem in Virtual Ellipsoid and Its Numerical Simulations. Mathematics. 2022; 10(12):1970. https://doi.org/10.3390/math10121970

Chicago/Turabian Style

Dang, Zhiqing, Zhaopeng Dai, Yang Yu, Long Zhang, Ang Su, Zhihang You, and Hongwei Gao. 2022. "Team Control Problem in Virtual Ellipsoid and Its Numerical Simulations" Mathematics 10, no. 12: 1970. https://doi.org/10.3390/math10121970

APA Style

Dang, Z., Dai, Z., Yu, Y., Zhang, L., Su, A., You, Z., & Gao, H. (2022). Team Control Problem in Virtual Ellipsoid and Its Numerical Simulations. Mathematics, 10(12), 1970. https://doi.org/10.3390/math10121970

Note that from the first issue of 2016, this journal uses article numbers instead of page numbers. See further details here.

Article Metrics

Back to TopTop