Predictors of Word and Text Reading Fluency of Deaf Children in Bilingual Deaf Education Programmes
Abstract
1. Introduction
2. Vocabulary
3. Phonological Awareness
4. Fingerspelling
5. Short-Term Memory (STM)
6. Present Study
7. Methods
7.1. Participants
7.2. Design and Procedure
7.3. Materials
7.3.1. Predictors
7.3.2. Dependent Measures
8. Results
8.1. Influence of CI
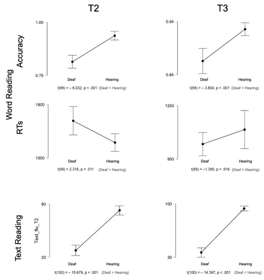
8.2. Deaf Children’s Performance in Comparison to Age-Matched Hearing Children
8.3. Influence of Age
8.4. Predictors of Deaf Children’s Reading Performance
8.5. Prediction of Word Reading Fluency at T2
8.6. Prediction of Word Reading Fluency at T3
8.7. Prediction of Text Reading Fluency at T2
8.8. Prediction of Text Reading Fluency at TIME 3
9. General Discussion
9.1. Speech-Based Vocabulary, Fingerspelling, and Speech-Based Phonological Awareness Predict Reading Accuracy
9.2. Different Predictors for Reading Latencies vs. Accuracy
9.3. Word and Text Reading in Deaf Children with and without CI
9.4. Relation with Bimodal Bilingual Educational Practices
Author Contributions
Funding
Institutional Review Board Statement
Informed Consent Statement
Data Availability Statement
Acknowledgments
Conflicts of Interest
Appendix A
| V | incorrect vowel |
| C | incorrect consonant |
| D | entirely different |
| CA | correct answer |
| Items | Schae. | Staph. | Answer options | ||||||||
| 20. | nu | 92 | 586 | V | na | CA | nu | C | mu | D | al |
| 1. | zee | 96 | 91 | C | mee | V | ze | CA | zee | D | wie |
| 2. | bal | 93 | 30 | C | dal | CA | bal | V | bel | D | rat |
| 3. | een | 97 | 5607 | D | tas | CA | een | V | aan | C | nee |
| 7. | dag | 98 | 207 | V | deeg | D | voet | C | dak | CA | dag |
| 11. | pen | 99 | 11 | C | gen | D | lat | V | peen | CA | pen |
| 15. | man | 98 | 124 | CA | man | V | maan | D | kies | C | nam |
| 9. | dun | 95 | 15 | V | deen | D | kas | V | gun | CA | dun |
| 2. | mis | 97 | 11 | V | mie | C | nis | CA | mis | D | erg |
| 9. | teen | 99 | 1 | D | roos | C | neet | V | ton | CA | teen |
| 18. | weer | 92 | 477 | D | hand | V | waar | C | veer | CA | weer |
| 19. | deur | 90 | 48 | C | deun | D | iets | V | dier | CA | deur |
| 17. | gauw | 99 | 72 | V | gouw | C | pauw | CA | gauw | D | blad |
| 3. | niet | 92 | 1974 | V | noot | D | prop | C | tien | CA | niet |
| 1. | mooi | 98 | 89 | D | vork | CA | mooi | V | maai | C | hooi |
| 12. | zuur | 98 | 3 | CA | zuur | V | zeer | D | dier | C | guur |
| 15. | zusje | 87 | 21 | C | lusje | V | zesje | CA | zusje | D | groet |
| 23. | stuur | 93 | 93 | D | droom | CA | stuur | C | schuur | V | staar |
| 1. | stout | 98 | 4 | CA | stout | V | staat | D | friet | C | fout |
| 9. | pauze | 93 | 7 | V | poze | D | stoep | CA | pauze | C | gauw |
| 4. | nuttig | 18 | 5 | CA | nuttig | V | nattig | C | nukkig | D | papier |
| 37. | muziek | 95 | 36 | V | mozaïek | CA | muziek | D | radijs | C | publiek |
| 11. | zouden | 81 | C | houden | D | roepen | CA | zouden | V | zeiden | |
| 15. | kiezen | 91 | 19 | D | buiten | V | kazen | C | kieren | CA | kiezen |
| 28. | bushalte | 91 | 2 | C | rusthalte | D | voetbalt | CA | bushalte | V | busholte |
| 30. | luchtbed | 71 | 2 | V | lichtbed | CA | luchtbed | C | luchtbel | D | computer |
| Items | English translations | ||||||||
| 20. | [now] | V | [after] | CA | [now] | C | [mu] | D | [already] |
| 1. | [sea] | C | [along] | V | [she] | CA | [sea] | D | [who] |
| 2. | [ball] | C | [valley] | CA | [ball] | V | [bell] | D | [rat] |
| 3. | [one] | D | [bag] | CA | [one] | V | [on] | C | [no] |
| 7. | [day] | V | [dough] | D | [foot] | C | [roof] | CA | [day] |
| 11. | [pen] | C | [gene] | D | [slat] | V | [carrot] | CA | [pen] |
| 15. | [man] | CA | [man] | V | [moon] | D | [molar] | C | [took] |
| 9. | [skinny] | V | [dane] | D | [greenhouse] | V | [award] | CA | [skinny] |
| 2. | [wrong] | V | [noodle] | C | [niche] | CA | [wrong] | D | [bad] |
| 9. | [toe] | D | [rose] | C | [nit] | V | [barrel] | CA | [toe] |
| 18. | [weather] | D | [hand] | V | [true] | C | [feather] | CA | [weather] |
| 19. | [door] | C | [tune] | D | [anything] | V | [animal] | CA | [door] |
| 17. | [soon] | V | [shire] | C | [peacock] | CA | [soon] | D | [leaf] |
| 3. | [not] | V | [nut] | D | [plug] | C | [ten] | CA | [not] |
| 1. | [beautiful] | D | [fork] | CA | [beautiful] | V | [mow] | C | [hay] |
| 12. | [sour] | CA | [sour] | V | [pain] | D | [animal] | C | [lurid] |
| 15. | [sister] | C | [knot] | V | [six] | CA | [sister] | D | [greeting] |
| 23. | [wheel] | D | [dream] | CA | [wheel] | C | [shed] | V | [stare] |
| 1. | [naughty] | CA | [naughty] | V | [state] | D | [fries] | C | [mistake] |
| 9. | [break] | V | [posture] | D | [sidewalk] | CA | [break] | C | [soon] |
| 4. | [useful] | CA | [useful] | V | [wet] | C | [fitful] | D | [paper] |
| 37. | [music] | V | [mosaic] | CA | [music] | D | [radish] | C | [audience] |
| 11. | [would] | C | [hold] | D | [call] | CA | [would] | V | [said] |
| 15. | [choosing] | D | [outside] | V | [cheeses] | C | [cracks] | CA | [choosing] |
| 28. | [bus stop] | C | [rest stop] | D | [football] | CA | [bus stop] | V | [bus cave] |
| 30. | [air bed] | V | [light bed] | CA | [air bed] | C | [bubble] | D | [computer] |
| Item | Target picture (1) | Picture 2 | Picture 3 | Picture 4 |
| 1 | haan [rooster] | maan [moon] at position 3 | boek [book] | geit [goat] |
| 2 | klok [clock] | sok [sock] at position 1 | post [post] | poes [cat] |
| 3 | tas [bag] | jas [coat] at position 3 | jurk [dress] | zeep [soap] |
| 4 | bad [bath] | gat [hole] at position 2 | zit [sit] | kar [wheelbarrow] |
| 5 | kring [circle] | ring [ring] at position 1 | wolk [cloud] | ruit [window] |
| 6 | boek [book] | broek [trousers] at position 2 | jurk [dress] | kaal [bold] |
| 7 | paard [horse] | taart [pie] at position 3 | zit [sit] | straf [punishment] |
| 8 | mug [mosquito] | rug [back] at position 1 | hoog [high] | kus [kiss] |
| 9 | mes [knife] | fles [bottle] at position 3 | jas [jacket] | bal [ball] |
| 10 | kip [chicken] | wip [teeter] at position 3 | pet [cap] | kin [chin] |
| 11 | koe [cow] | moe [tired] at position 1 | poes [cat] | jeuk [itchy] |
| 12 | huis [house] | muis [mouse] at position 3 | reis [trip] | druif [grape] |
| 13 | roos [rose] | boos [angry] at position 2 | boom [tree] | zoet [sweet] |
| 14 | duur [expensive] | vuur [fire] at position 1 | raam [window] | boer [famer] |
| 15 | fout [mistake] | koud [cold] at position 1 | boot [boat] | leeg [empty] |
| 16 | bos [forest] | mos [moss] at position 3 | vol [full] | baas [boss] |
| 17 | man [man] | pan [pot] at position 1 | raam [window] | lamp [lamp] |
| 18 | taart [pie] | zwaard [sword] at position 2 | worst [sausage] | vaas [vase] |
| 19 | baas [boss] | kaas [cheese] at position 3 | reis [trip] | muur [wall] |
| 20 | nek [neck] | hek [fence] at position 1 | nacht [night] | post [post] |
| 21 | bus [bus] | zus [sister] at position 1 | bank [bench | raak [hit] |
| 22 | boot [boat] | brood [bread] at position 1 | kam [comb] | fout [mistake] |
| 23 | vis [fish] | mis [incorrect] at position 3 | zit [sit] | bril [glasses] |
| 24 | blad [leaf] | gat [hole] at position 3 | berg [mountain] | das [tie] |
| 25 | sterk [strong] | kerk [church] at position 2 | been [leg] | dik [fat] |
| 26 | kin [chin] | spin [spider] at position 3 | kip [chicken] | zuur [sour] |
| 27 | soep [soup] | stoep [pavement] at position 1 | post [post] | buik [belly] |
| 28 | krant [newspaper] | hand [hand] at position 3 | verf [paint] | melk [milk] |
| 29 | zon [sun] | ton [barrel] at position 3 | kam [comb] | boer [farmer] |
| 30 | dik [fat] | blik [tin] at position 1 | traan [tear] | lip [lip] |
| 31 | pijn [pain] | trein [train] at position 2 | riem [belt] | lijm [glue] |
| 32 | tang [pliers] | wang [cheek] at position 2 | gans [goose] | kan [jar] |
| 33 | brand [fire] | krant [newspaper] at position 3 | helft [half] | woord [word] |
| 34 | kraan [faucet] | zwaan [swan] at position 1 | koorts [fever] | raam [window] |
| 35 | gras [grass] | das [tie] at position 1 | baas [boss] | tong [tongue] |
| 36 | wijn [wine] | trein [train] at position 2 | duif [pidgeon | klok [clock] |
| 37 | worst [sausage] | dorst [thursty] at position 1 | storm [storm | huis [house] |
| 38 | neus [nose] | reus [giant] at position 2 | tuin [garden | kok [chef] |
| 39 | zout [salt] | koud [cold] at position 3 | gang [hall] | post [post] |
| 40 | blad [leaf] | gat [hole] at position 1 | pan [pot] | kin [chin] |
Appendix B

| T2 | T3 | ||||||||||||||||
|---|---|---|---|---|---|---|---|---|---|---|---|---|---|---|---|---|---|
| Deaf | Hearing | One Sample t-Test | Deaf | Hearing | One Sample t-Test | ||||||||||||
| Mean | SD | Mean | SD | Difference | t | df | p | Mean | SD | Mean | SD | Difference | t | Df | p | ||
| All | Word reading accuracy | 82 | 12 | 94 | 6 | −12 | −6.032 | 98 | <.001 | 87 | 9 | 93 | 4 | −6 | −3.804 | 99 | <.001 |
| Word reading RTs | 1557 | 823 | 1231 | 415 | 326 | 2.316 | 98 | .011 | 1034 | 258 | 1115 | 329 | −82 | −1.39 | 99 | .916 | |
| Text reading | 28 | 23 | 73 | 16 | −45 | −1.679 | 100 | <.001 | 36 | 24 | 94 | 10 | −58 | −14.397 | 100 | <.001 | |
| Yr. 3 | Word reading accuracy | 75 | 12 | 92 | 9 | −17 | −5.477 | 48 | <.001 | 82 | 9 | 92 | 4 | −9 | −4.248 | 48 | <.001 |
| Word reading RTs | 1696 | 754 | 1499 | 414 | 197 | 1.065 | 48 | .146 | 1108 | 298 | 1304 | 300 | −196 | −2.274 | 48 | .986 | |
| Text reading | 17 | 18 | 66 | 18 | −49 | −9.402 | 48 | <.001 | 25 | 18 | 91 | 13 | −66 | −14.321 | 48 | <.001 | |
| Yr. 5 | Word reading accuracy | 88 | 8 | 95 | 2 | −8 | −4.145 | 48 | <.001 | 91 | 7 | 94 | 3 | −3 | −1.623 | 49 | .056 |
| Word reading RTs | 1419 | 878 | 963 | 176 | 456 | 2.282 | 48 | .013 | 965 | 193 | 917 | 230 | 48 | 0.791 | 49 | .216 | |
| Text reading | 38 | 23 | 80 | 12 | −42 | −7.443 | 50 | <.001 | 47 | 24 | 97 | 3 | −50 | −9.113 | 50 | <.001 | |
Appendix C
| Change Statistics | |||||||||
|---|---|---|---|---|---|---|---|---|---|
| Model | R | R2 | R2 adj | Std. Error | R2 Change | F Change | df1 | df2 | Sig. F Change |
| 1 | 0.492 a | 0.242 | 0.229 | 0.103 | 0.242 | 18.508 | 1 | 58 | <.001 |
| 2 | 0.647 b | 0.418 | 0.398 | 0.091 | 0.176 | 17.297 | 1 | 57 | <.001 |
| 3 | 0.737 c | 0.543 | 0.518 | 0.082 | 0.125 | 15.254 | 1 | 56 | <.001 |
| 4 | 0.763 d | 0.582 | 0.552 | 0.079 | 0.039 | 5.159 | 1 | 55 | .027 |
| Change Statistics | |||||||||
|---|---|---|---|---|---|---|---|---|---|
| Model | R | R2 | R2 adj | Std. Error | R2 Change | F Change | df1 | df2 | Sig. F Change |
| 1 | 0.348 a | 0.121 | 0.106 | 778.545 | 0.121 | 7.973 | 1 | 58 | .006 |
| 2 | 0.432 b | 0.186 | 0.158 | 755.591 | 0.065 | 4.577 | 1 | 57 | .037 |
| Change Statistics | |||||||||
|---|---|---|---|---|---|---|---|---|---|
| Model | R | R2 | R2 adj | Std. Error | R2 Change | F Change | df1 | df2 | Sig. F Change |
| 1 | 0.471 a | 0.222 | 0.209 | 0.085 | 0.222 | 16.580 | 1 | 58 | <.001 |
| 2 | 0.840 b | 0.71 | 0.696 | 0.0525 | 0.484 | 93.88 | 1 | 57 | <.001 |
| 3 | 0.872 c | 0.760 | 0.747 | 0.048 | 0.053 | 12.460 | 1 | 56 | .001 |
| 4 | 0.882 d | 0.778 | 0.762 | 0.046 | 0.019 | 4.660 | 1 | 55 | .035 |
| Change Statistics | |||||||||
|---|---|---|---|---|---|---|---|---|---|
| Model | R | R2 | R2 adj | Std. Error | R2 Change | F Change | df1 | df2 | Sig. F Change |
| 1 | 0.305 a | 0.093 | 0.077 | 250.800 | 0.093 | 5.951 | 1 | 58 | .018 |
| 2 | 0.402 b | 0.162 | 0.132 | 243.240 | 0.069 | 4.661 | 1 | 57 | .035 |
| Change Statistics | |||||||||
|---|---|---|---|---|---|---|---|---|---|
| Model | R | R2 | R2 adj | Std. Error | R2 Change | F Change | df1 | df2 | Sig. F Change |
| 1 | 0.437 a | 0.191 | 0.178 | 21.060 | 0.191 | 14.190 | 1 | 60 | <.001 |
| 2 | 0.685 b | 0.470 | 0.452 | 17.197 | 0.278 | 30.981 | 1 | 59 | <.001 |
| 3 | 0.749 c | 0.561 | 0.539 | 15.774 | 0.092 | 12.129 | 1 | 58 | .001 |
| Change Statistics | |||||||||
|---|---|---|---|---|---|---|---|---|---|
| Model | R | R2 | R2 adj | Std. Error | R2 Change | F Change | df1 | df2 | Sig. F Change |
| 1 | 0.486 a | 0.236 | 0.223 | 21.484 | 0.236 | 17.948 | 1 | 58 | <.001 |
| 2 | 0.720 b | 0.518 | 0.501 | 17.220 | 0.281 | 33.276 | 1 | 57 | <.001 |
| 3 | 0.808 c | 0.653 | 0.634 | 14.745 | 0.135 | 21.749 | 1 | 56 | <.001 |
| 4 | 0.827 d | 0.684 | 0.661 | 14.184 | 0.032 | 5.509 | 1 | 55 | .023 |
References
- Aarnoutse, Cor, and Jan van Leeuwe. 1998. Relation between reading comprehension, vocabulary, reading pleasure, and reading fluency. Educational Research and Evaluation 4: 143–66. [Google Scholar] [CrossRef]
- Allen, Thomas E. 2015. ASL Skills, Fingerspelling ability, home communication context and early alphabetic knowledge of preschool-aged deaf children. Sign Language Studies 15: 233–65. [Google Scholar] [CrossRef]
- Alloway, Tracy Packiam, Susan Elizabeth Gathercole, Anne-Marie Adams, Catherine Willis, Rachel Eaglen, and Emily Lamont. 2005. Working memory and phonological awareness as predictors of progress towards early learning goals at school entry. British Journal of Developmental Psychology 23: 417–26. [Google Scholar] [CrossRef]
- Anthony, Jason L., Claire Davis, Jeffrey M. Williams, and Teresa I. Anthony. 2014. Preschoolers’ oral language abilities: A multilevel examination of dimensionality. Learning and Individual Differences 35: 56–61. [Google Scholar] [CrossRef]
- Antia, Shirin D., Amy R. Lederberg, Susan Easterbrooks, Brenda Schick, Lee Branum-Martin, Carol M. Connor, and Mi-Young Webb. 2020. Language and reading progress of young deaf and hard-of-hearing children. The Journal of Deaf Studies and Deaf Education 25: 334–50. [Google Scholar] [CrossRef]
- Archbold, Sue, Margaret Harris, Gerard O’Donoghue, Thomas Nikolopoulos, Alison White, and Hazel Lloyd Richmond. 2008. Reading abilities after cochlear implantation: The effect of age at implantation on outcomes at 5 and 7 years after implantation. International Journal of Pediatric Otorhinolaryngology 72: 1471–78. [Google Scholar] [CrossRef]
- Baayen, Harald, Richard Piepenbrock, and Hedderik van Rijn. 1993. The CELEX Lexical Database. Technical Report, Linguistic Data Consortium. Philadelphia: University of Pennsylvania. [Google Scholar]
- Baker, Doris Luft, Deni Lee Basaraba, and Paul Polanco. 2016. Connecting the present to the past: Furthering the research on bilingual education and bilingualism. Review of Research in Education 40: 821–83. [Google Scholar] [CrossRef]
- Bélanger, Nathalie N., and Keith Rayner. 2015. What Eye Movements Reveal about Deaf Readers. Current Directions in Psychological Science 24: 220–26. [Google Scholar] [CrossRef]
- Bélanger, Nathalie N., Shari R. Baum, and Rachel I. Mayberry. 2012. Reading difficulties in adult deaf readers of French. Phonological codes, not guilty! Scientific Studies of Reading 16: 263–85. [Google Scholar] [CrossRef]
- Bharadwaj, Sneha V., Denise Maricle, Laura Green, and Tamby Allman. 2015. Working memory, short-term memory and reading proficiency in school-age children with cochlear implants. International Journal of Pediatric Otorhinolaryngology 79: 1647–53. [Google Scholar] [CrossRef]
- Bialystok, Ellen. 2018. Bilingual education for young children: Review of the effects and consequences. International Journal of Bilingual Education and Bilingualism 21: 666–79. [Google Scholar] [CrossRef] [PubMed]
- Bornstein, Marc H., Chun-Shin Hahn, Diane L. Putnick, and Joan T. D. Suwalsky. 2014. Stability of core language skill from early childhood to adolescence: A latent variable approach. Child Development 85: 1346–56. [Google Scholar] [CrossRef] [PubMed]
- Bouton, Sophie, Pascale Colé, Willy Serniclaes, Lynne G. Duncan, and Anne-Lise Giraud. 2015. Atypical phonological processing impairs written word recognition in children with cochlear implants. Language, Cognition and Neuroscience 30: 684–99. [Google Scholar] [CrossRef]
- Buchanan-Worster, Elizabeth, Mairéad MacSweeney, Hannah Pimperton, Fiona Kyle, Margaret Harris, Indie Beedie, and Charles Hulme. 2020. Speechreading ability is related to phonological awareness and single-word reading in both deaf and hearing children. Journal of Speech, Language, and Hearing Research 63: 3775–85. [Google Scholar] [CrossRef]
- Castles, Anne, and Max Coltheart. 2004. Is there a causal link from phonological awareness to success in learning to read? Cognition 91: 77–111. [Google Scholar] [CrossRef]
- Castles, Anne, Kathleen Rastle, and Kate Nation. 2018. Ending the reading wars: Reading acquisition from novice to expert. Psychological Science in the Public Interest 19: 5–51. [Google Scholar] [CrossRef] [PubMed]
- Cates, Deborah M., Matthew J. Traxler, and David P. Corina. 2021. Predictors of reading comprehension in deaf and hearing bilinguals. Applied Psycholinguistics 41: 1–43. [Google Scholar] [CrossRef]
- Chamberlain, Charlene, and Rachel I. Mayberry. 2000. Theorizing about the relation between American Sign Language and reading. In Language Acquisition by Eye. Edited by Charlene Chamberlain, Jill P. Morford and Rachel I. Mayberry. Hillsdale: Lawrence Erlbaum Associates. [Google Scholar]
- Connor, Carol M, and Teresa A. Zwolan. 2004. Examining multiple sources of influence on the reading comprehension skills of children who use cochlear implants. Journal of Speech, Language and Hearing Research 47: 509–26. [Google Scholar] [CrossRef]
- Conrad, Reuben. 1970. Short-term memory processes in the deaf. British Journal of Psychology 61: 179–95. [Google Scholar] [CrossRef]
- Corina, David P., Sarah Hafer, and Kearnan Welch. 2014. Phonological awareness for American Sign Language. Journal of Deaf Studies and Deaf Education 19: 530–45. [Google Scholar] [CrossRef]
- Costello, Brendan, Sendy Caffarra, Noemi Fariña, Jon Andoni Duñabeitia, and Manuel Carreiras. 2021. Reading without phonology: ERP evidence from skilled deaf readers of Spanish. Scientific Reports 11: 5202. [Google Scholar] [CrossRef]
- Crume, Peter K., Amy Lederberg, and Brenda Schick. 2021. Language and Reading Comprehension Abilities of Elementary School-Aged Deaf Children. Journal of Deaf Studies and Deaf Education 26: 159–69. [Google Scholar] [CrossRef]
- Daneman, Meredyth, S. Nemeth, Murray Stainton, and K. Huelsmann. 1995. Working memory as a predictor of reading achievement in orally educated hearing-impaired children. The Volta Review 97: 225–41. [Google Scholar]
- de Klerk, Annet, de Connie Fortgens, and Annelies van der Eijk. 2015. Curriculum design in Dutch deaf education. In Educating Deaf Learners: Creating a Global Evidence Base. Edited by Harry Knoors and Marc Marschark. New York: Oxford University Press, pp. 573–93. [Google Scholar]
- DeLana, Melissa, Anne Mary Gentry, and Jean Andrews. 2007. The efficacy of ASL/English bilingual education: Considering public schools. American Annals of the Deaf 152: 73–87. [Google Scholar] [CrossRef] [PubMed]
- De Raeve, Leo. 2010. A longitudinal study on auditory perception and speech intelligibility in deaf children implanted younger than 18 months in comparison to those implanted at later ages. Otology & Neurotology 31: 1261–67. [Google Scholar]
- Dickinson, David K., Allyssa McGabe, Louisa Anastapoulos, Ellen S. Peisner-Feinberg, and Michele D. Poe. 2003. The comprehensive language approach to early literacy: The interrelationships among vocabulary, phonological sensitivity, and print knowledge among preschool-aged children. Journal of Educational Psychology 95: 465–81. [Google Scholar] [CrossRef]
- Di Luca, Samuel, and Mauro Pesenti. 2011. Finger numeral representations: More than just another symbolic code. Frontiers in Psychology 2: 272. [Google Scholar] [CrossRef] [PubMed]
- Dillon, Caitlin M., Kenneth de Jong, and David B. Pisoni. 2012. Phonological awareness, reading skills, and vocabulary knowledge in children who use cochlear implants. Journal of Deaf studies and Deaf Education 17: 205–26. [Google Scholar] [CrossRef] [PubMed]
- Durand, Marianne, Charles Hulme, Rebecca Larkin, and Margaret Snowling. 2005. The cognitive foundations of reading and arithmetic skills in 7- to 10-year olds. Journal of Experimental Child Psychology 91: 113–36. [Google Scholar] [CrossRef]
- Dyer, Annabella, Mairéad MacSweeney, Marçin Szczerbinski, Louise Green, and Ruth Campbell. 2003. Predictors of reading delay in deaf adolescents: The relative contributions of rapid automatised naming speed and phonological awareness and decoding. Journal of Deaf Studies and Deaf Education 8: 215–29. [Google Scholar] [CrossRef]
- Easterbrooks, Susan R., and Sandra G. Huston. 2008. The signed reading fluency of students who are deaf/hard of hearing. Journal of Deaf Studies and Deaf Education 13: 37–54. [Google Scholar] [CrossRef] [PubMed]
- Edwards, Lindsey, Lynne Aitkenhead, and Dawn Langdon. 2016. The contribution of short-term memory capacity to reading ability in adolescents with cochlear implants. International Journal of Pediatric Otorhinolaryngology 90: 37–42. [Google Scholar] [CrossRef]
- Emmorey, Karen. 2020. The neurobiology of reading differs for deaf and hearing adults. In The Oxford Handbook of Deaf Studies in Learning and Cognition. Oxford: Oxford University Press, p. 347. [Google Scholar]
- Emmorey, Karen, and Brittany Lee. 2021. The neurocognitive basis of skilled reading in prelingually and profoundly deaf adults. Language and Linguistics Compass 15: e12407. [Google Scholar] [CrossRef] [PubMed]
- Emmorey, Karen, Katherine J. Midgley, Casey B. Kohen, Zed Sevcikova Sehyr, and Phil J. Holcomb. 2017. The N170 ERP component differs in laterality, distribution, and association with continuous reading measures for deaf and hearing readers. Neuropsychologia 106: 298–309. [Google Scholar] [CrossRef] [PubMed]
- Emmorey, Karen, Phil J. Holcomb, and Katherine J. Midgley. 2021. Masked ERP repetition priming in deaf and hearing readers. Brain and Language 214: 104903. [Google Scholar] [CrossRef]
- Fariña, Noemi, Jan Andoni Duñabeitia, and Manuel Carreiras. 2017. Phonological and orthographic coding in deaf skilled readers. Cognition 168: 27–33. [Google Scholar] [CrossRef]
- Fischer, Martin H. 2012. A hierarchical view of grounded, embodied, and situated numerical cognition. Cognitive Processing 13: 161–64. [Google Scholar] [CrossRef]
- García, Ricardo J., and Kate Cain. 2014. Decoding and reading comprehension: A meta-analysis to identify which reader and assessment characteristics influence the strength of the relationship in English. Review of Educational Research 84: 75–111. [Google Scholar] [CrossRef]
- Geers, Ann, and Jean Moog. 1989. Factors predictive of the development of literacy in profoundly hearing-impaired adolescents. The Volta Review 91: 69–86. [Google Scholar]
- Giezen, Marcel R., Anne E. Baker, and Paola Escudero. 2014. Relationships between spoken word and sign processing in children with cochlear implants. Journal of Deaf Studies and Deaf Education 19: 107–25. [Google Scholar] [CrossRef]
- Gough, Philip B., and William E. Tunmer. 1986. Decoding, reading, and reading disability. Remedial and Special Education 7: 6–10. [Google Scholar] [CrossRef]
- Gutierrez-Sigut, Eva, Marta Vergara-Martínez, Ana Marcet, and Manuel Perea. 2018. Automatic use of phonological codes during word recognition in deaf signers of Spanish Sign Language. FEAST Formal and Experimental Advances in Sign Language Theory 1: 1–15. [Google Scholar]
- Gutierrez-Sigut, Eva, Marta Vergara-Martinez, and Manuel Perea. 2017. Early use of phonological codes in deaf readers: An ERP study. Neuropsychologia 106: 261–79. [Google Scholar] [CrossRef] [PubMed]
- Gutierrez-Sigut, Eva, Marta Vergara-Martinez, and Manuel Perea. 2019. Deaf readers benefit from lexical feedback during orthographic processing. Scientific Reports 9: 12321. [Google Scholar] [CrossRef] [PubMed]
- Gutierrez-Sigut, Eva, Marta Vergara-Martinez, and Manuel Perea. 2022. The impact of visual cues during visual word recognition in deaf readers: An ERP study. Cognition 218: 104938. [Google Scholar] [CrossRef] [PubMed]
- Hanson, Vicki L., and Carol A. Fowler. 1987. Phonological coding in word reading: Evidence from hearing and deaf readers. Memory & Cognition 15: 199–207. [Google Scholar]
- Haptonstall-Nykaza, Tamara S., and Brenda Schick. 2007. The transition from fingerspelling to English print: Facilitating English decoding. Journal of Deaf Studies and Deaf Education 12: 172–83. [Google Scholar] [CrossRef]
- Harris, Margaret, and Constanza Moreno. 2004. Deaf children’s use of phonological coding: Evidence from reading, spelling and working memory. Journal of Deaf Studies and Deaf Education 3: 205–16. [Google Scholar] [CrossRef]
- Harris, Margaret, and John R. Beech. 1998. Implicit phonological awareness and early reading development in prelingually deaf children. Journal of Deaf Studies and Deaf Education 3: 205–16. [Google Scholar] [CrossRef]
- Harris, Margaret, Emmanouela Terlektsi, and Fiona Kyle. 2017. Concurrent and longitudinal predictors of reading for deaf and hearing children in primary school. Journal of Deaf Studies and Deaf Education 22: 233–42. [Google Scholar] [CrossRef]
- Herman, Rosalind, Fiona E. Kyle, and Penny Roy. 2019. Literacy and phonological skills in oral deaf children and hearing children with a history of dyslexia. Reading Research Quarterly 54: 553–75. [Google Scholar] [CrossRef]
- Hermans, Daan, Ellen Ormel, and Harry Knoors. 2010. On the relation between the signing and reading skills of deaf bilinguals. International Journal of Bilingual Education and Bilingualism 13: 187–99. [Google Scholar] [CrossRef]
- Hermans, Daan, Harry Knoors, and Ludo Verhoeven. 2007. Testbatterij voor de Nederlandse Gebarentaal [Assessment tool for Sign Language of the Netherlands]. Sint-Michielsgestel: Kentalis. [Google Scholar]
- Hermans, Daan, Harry Knoors, Ellen Ormel, and Ludo Verhoeven. 2008a. Modeling reading vocabulary learning in deaf children in bilingual education programs. Journal of Deaf Studies and Deaf Education 13: 155–74. [Google Scholar] [CrossRef] [PubMed]
- Hermans, Daan, Harry Knoors, Ellen Ormel, and Ludo Verhoeven. 2008b. The relationship between the reading and signing skills of deaf children in bilingual education programs. Journal of Deaf Studies and Deaf Education 13: 518–30. [Google Scholar] [CrossRef]
- Hermans, Daan, Lian van Berkel-van Hoof, and Harry Knoors. 2021. Vocabulary learning in children with cochlear implants in signed and spoken modalities. In The Oxford Handbook of Deaf Studies in Literacy. Edited by Susan R. Easterbrooks and Hannah S. Dostal. New York: Oxford University Press, pp. 111–26. [Google Scholar]
- Hirshorn, Elizabeth A., Matthew W. G. Dye, Peter Hauser, Ted R. Supalla, and Daphne Bavelier. 2015. The contribution of phonological knowledge, memory, and language background to reading comprehension in deaf populations. Frontiers in Psychology 6: 1153. [Google Scholar] [CrossRef]
- Hoffmeister, Robert. 2000. A piece of the puzzle: ASL and reading comprehension in deaf children. In Language Acquisition by Eye. Edited by Charlene Chamberlain, Jill P. Morford and Rachel I. Mayberry. Hillsdale: Lawrence Erlbaum Associates, pp. 143–63. [Google Scholar]
- Holmer, Emil, Mikael Heimann, and Mary Rudner. 2016. Evidence of an association between sign language phonological awareness and word reading in deaf and hard-of-hearing children. Research in Developmental Disabilities 48: 145–59. [Google Scholar] [CrossRef] [PubMed]
- Holmer, Emil, Mikael Heimann, and Mary Rudner. 2017. Computerized sign language-based literacy training for deaf and hard-of-hearing children. The Journal of Deaf Studies and Deaf Education 22: 404–21. [Google Scholar] [CrossRef]
- Humphries, Tom, and Francine MacDougall. 1999. “Chaining” and other links: Making connections between American Sign Language and English in Two Types of School Settings. Visual Anthropology Review 15: 84–94. [Google Scholar] [CrossRef]
- Irausquin, R., and C. Mommers. 2001. Leesladder. Een Programma voor Kinderen met Leesmoeilijkheden. [Reading Ladder. A Program for Children with Reading Difficulties]. Tilburg: Zwijsen. [Google Scholar]
- Izzo, Andrea. 2002. Phonemic awareness and reading ability: An investigation with young readers who are deaf. American Annals of the Deaf 147: 18–28. [Google Scholar] [CrossRef]
- Karchmer, Michael A., and Ross E. Mitchell. 2003. Demographic and achievement characteristics of deaf and hard-of-hearing students. In The Oxford Handbook of Deaf Studies, Language and Education. Edited by Marc Marschark and Patricia Spencer. New York: Oxford University Press, pp. 21–37. [Google Scholar]
- Katz, Leonard, and Ram Frost. 1992. The reading process is different for different orthographies: The orthographic depth hypothesis. In Advances in Psychology. Amsterdam: NorthHolland Publishing Company, vol. 94, pp. 67–84. [Google Scholar]
- Keck, Tamara, and Keith Wolgemuth. 2020. American sign language phonological awareness and english reading abilities: Continuing to explore new relationships. Sign Language Studies 20: 334–54. [Google Scholar] [CrossRef]
- Kelly, Leonard P. 2003. The importance of processing automaticity and temporary storage capacity to the differences in comprehension between skilled and less skilled college-age Deaf readers. Journal of Deaf Studies and Deaf Education 8: 230–49. [Google Scholar] [CrossRef]
- Knoors, Harry, Maria Brons, and Marc Marschark. 2019. Deaf education beyond the western world: An introduction. In Deaf Education Beyond the Western World. Edited by Harry Knoors, Maria Brons and Marc Marschark. New York: Oxford University Press, pp. 1–18. [Google Scholar]
- Krom, Rob S. H. 2001. Leestechniek & Leestempo. Arnhem: Citogroep. [Google Scholar]
- Krakow, Rena Arens, and Vicki L. Hanson. 1985. Deaf signers and serial recall in the visual modality: Memory for signs, fingerspelling, and print. Memory & Cognition 13: 265–72. [Google Scholar]
- Kyle, Fiona E., and Margaret Harris. 2006. Concurrent correlates and predictors of reading and spelling achievement in deaf and hearing school children. Journal of Deaf Studies and Deaf Education 11: 273–88. [Google Scholar] [CrossRef] [PubMed]
- Kyle, Fiona E., and Margaret Harris. 2010. Predictors of reading development in deaf children: A 3-year longitudinal study. Journal of Experimental Child Psychology 107: 229–43. [Google Scholar] [CrossRef] [PubMed]
- Kyle, Fiona E., and Margaret Harris. 2011. Longitudinal patterns of emerging literacy in beginning deaf and hearing readers. Journal of Deaf Studies and Deaf Education 16: 289–304. [Google Scholar] [CrossRef] [PubMed]
- Kyle, Fiona E., Ruth Campbell, and Mairéad MacSweeney. 2016. The relative contributions of speechreading and vocabulary to deaf and hearing children’s reading ability. Research in Developmental Disabilities 48: 13–24. [Google Scholar] [CrossRef]
- Langereis, M., and Anneke Vermeulen. 2011. Long Term outcomes of CI. Paper presented at the 10th European Symposium on Paediatric Cochlear Implantation, Athens, Greece, May 12–15. [Google Scholar]
- Lederberg, Amy R., Lee Branum-Martin, Mi-Young Webb, Brenda Schick, Shirin Antia, Susan R. Easterbrooks, and Carol McDonald Connor. 2019. Modality and interrelations among language, reading, spoken phonological awareness, and fingerspelling. The Journal of Deaf Studies and Deaf Education 24: 408–23. [Google Scholar] [CrossRef] [PubMed]
- Luetke-Stahlman, Barbara, and Diane Corcoran Nielsen. 2003. The contribution of phonological awareness and receptive and expressive English to the reading ability of deaf students with varying degrees of exposure to accurate English. Journal of Deaf Studies and Deaf Education 8: 464–84. [Google Scholar] [CrossRef]
- MacSweeney, Mairéad, Usha Goswami, and Helen Neville. 2013. The neurobiology of rhyme judgment by deaf and hearing adults: An ERP study. Journal of Cognitive Neuroscience 25: 1037–48. [Google Scholar] [CrossRef][Green Version]
- Marschark, Marc, and Thomas S. Mayer. 1998. Mental representation and memory in deaf adults and children. Psychological Perspectives on Deafness 2: 53–77. [Google Scholar]
- Marschark, Marc, Cathy Rhoten, and Megan Fabich. 2007. Effects of cochlear implants on children’s reading and academic achievement. The Journal of Deaf Studies and Deaf Education 12: 269–82. [Google Scholar] [CrossRef]
- Marschark, Marc, Harry G. Lang, and John A. Albertini. 2002. Educating Deaf Students. From Research to Practice. New York: Oxford University Press. [Google Scholar]
- Mayberry, Rachel. I., Alex A. del Giudice, and Amy M. Lieberman. 2011. Reading achievement in relation to phonological coding and awareness in deaf readers: A meta-analysis. Journal of Deaf Studies and Deaf Education 16: 164–88. [Google Scholar] [CrossRef] [PubMed]
- Mayer, Connie, and Beverly J. Trezek. 2020. English literacy outcomes in sign bilingual programs: The current state of knowledge. American Annals of the Deaf 164: 560–76. [Google Scholar] [CrossRef] [PubMed]
- Mayer, Connie, and Gordon Wells. 1996. Can the linguistic interdependence theory support a bilingual-bicultural model of literacy education for deaf students? Journal of Deaf Studies and Deaf Education 1: 93–107. [Google Scholar] [CrossRef] [PubMed][Green Version]
- Mayer, Connie L., Linda Watson, Sue Archbold, Zheng Yen Ng, and Imran Mulla. 2016. Reading and writing skills of deaf pupils with cochlear implants. Deafness & Education International 18: 71–86. [Google Scholar]
- McQuarrie, Lynn, and Marilyn Abbott. 2013. Bilingual deaf students’ phonological awareness in ASL and reading skills in English. Sign Language Studies 14: 80–100. [Google Scholar] [CrossRef]
- McQuarrie, Lynn, and Rauno Parrila. 2009. Phonological representations in deaf children: Rethinking the “functional equivalence” hypothesis. Journal of Deaf Studies and Deaf Education 14: 137–54. [Google Scholar] [CrossRef]
- McQuarrie, Lynn, and Rauno Parrila. 2014. Literacy and linguistic development in bilingual deaf children: Implications of the “and” for phonological processing. American Annals of the Deaf 159: 372–84. [Google Scholar] [CrossRef]
- Merrills, Jill D., Geoffrey Underwood, and David J. Wood. 1994. The word recognition skills of profoundly, prelingually deaf children. British Journal of Developmental Psychology 12: 365–84. [Google Scholar] [CrossRef]
- Miller, Paul. 1997. The effect of communication mode on the development of phonemic awareness in prelingually deaf students. Journal of Speech, Language, and Hearing Research 40: 1151–63. [Google Scholar] [CrossRef]
- Miller, Paul. 2010. Phonological, orthographic, and syntactic awareness and their relation to reading comprehension in prelingually deaf individuals: What can we learn from skilled readers? Journal of Developmental and Physical Disabilities 22: 549–80. [Google Scholar] [CrossRef]
- Miller, Paul, Efrat Banado-Aviran, and Orit E. Hetzroni. 2021. Developing reading skills in prelingually deaf preschool children: Fingerspelling as a strategy to promote orthographic learning. Journal of Deaf Studies and Deaf Education 26: 363–80. [Google Scholar] [CrossRef]
- Miller, Paul, Tevhide Kargin, and Birkan Guldenoglu. 2015. Deaf native signers are better readers than nonnative signers: Myth or truth? Journal of Deaf Studies and Deaf Education 20: 147–62. [Google Scholar] [PubMed]
- Moores, Donald F., and Catherine Sweet. 1990. Relationships of English grammar and communicative fluency to reading in deaf adolescents. Exceptionality: A Special Education Journal 1: 97–106. [Google Scholar] [CrossRef]
- Moreno-Pérez, Francisco J., David Saldaña, and Isabel R. Rodríguez-Ortiz. 2015. Reading efficiency of deaf and hearing people in Spanish. Journal of Deaf Studies and Deaf Education 20: 374–84. [Google Scholar] [CrossRef] [PubMed]
- Morford, Jill P., Corinne Occhino-Kehoe, Pilar Piñar, Erin Wilkinson, and Judy F. Kroll. 2017. The time course of cross language activation in deaf ASL English bilinguals. Bilingualism: Language and Cognition 20: 337–50. [Google Scholar] [CrossRef] [PubMed]
- Morford, Jill P., Erin Wilkinson, Agnes Villwock, Pilar Piñar, and Judy F. Kroll. 2011. When deaf signers read English: Do written words activate their sign translations? Cognition 118: 286–92. [Google Scholar] [CrossRef] [PubMed]
- Musselman, Carol. 2000. How do children who can’t hear learn to read an alphabetic script: A review of the literature of reading and deafness. Journal of Deaf Studies and Deaf Education 5: 9–31. [Google Scholar] [CrossRef]
- Ormel, Ellen, Daan Hermans, Harry Knoors, and Ludo Verhoeven. 2010. Phonological activation during visual word recognition in deaf and hearing children. Journal of Speech, Language, and Hearing Research 53: 1–19. [Google Scholar] [CrossRef]
- Ormel, Ellen, Daan Hermans, Harry Knoors, and Ludo Verhoeven. 2012. Cross-language effects in visual word recognition: The case of bilingual deaf children. Bilingualism: Language and Cognition 15: 288–303. [Google Scholar] [CrossRef]
- Padden, Carol. 2006. Learning to fingerspell twice: Young signing children’s acquisition of fingerspelling. In Advances in the Sign Language Development of Deaf Children. Edited by Brenda Schhick, Marc Marschark and Patricia Elizabeth Spencer. Oxford: Oxford University Press, pp. 189–201. [Google Scholar]
- Padden, Carol, and Claire Ramsey. 2000. American Sign Language and reading ability in deaf children. In Language Acquisition by Eye. Edited by Charlene Chamberlain, Jill P. Morford and Rachel I. Mayberry. Hillsdale: Lawrence Erlbaum Associates, pp. 165–89. [Google Scholar]
- Perfetti, Charles A., and Rebecca Sandak. 2000. Reading optimally builds on spoken language: Implications for Deaf readers. Journal of Deaf Studies and Deaf Education 5: 32–50. [Google Scholar] [CrossRef]
- Petitto, Laura-Ann, Clifton Langdon, Adam Stone, Diana Andriola, Geo Kartheiser, and Casey Cochran. 2016. Visual sign phonology: Insights into human reading and language from a natural soundless phonology. Wiley Interdisciplinary Reviews: Cognitive Science 7: 366–81. [Google Scholar] [CrossRef] [PubMed]
- Pisoni, David, William Kronenberger, Adrienne Roman, and Ann Geers. 2011. Article 7: Measures of digit span and verbal rehearsal speed in deaf children following more than 10 years of cochlear implantation. Ear and Hearing 32: 60s–74s. [Google Scholar] [CrossRef] [PubMed]
- Pisoni, David B., Miranda Cleary, Ann E. Geers, and Emily A. Tobey. 1999. Individual differences in effectiveness of cochlear implants in children who are prelingually deaf: New process measures of performance. The Volta Review 101: 111–64. [Google Scholar] [PubMed]
- Qi, Sen, and Ross E. Mitchell. 2012. Large-scale academic achievement testing of deaf and hard-of-hearing students: Past, present, and future. Journal of Deaf Studies and Deaf Education 17: 1–18. [Google Scholar] [CrossRef]
- Schaerlaekens, Anne-Marie, Geldolph Adriaan Kohnstamm, and Maryline Lejaegere. 1999. Streeflijst Woordenschat voor Zesjarigen: Derde Herziene Versie Gebaseerd op Nieuw Onderzoek in Nederland en België [Target List Vocabulary for 6-Year-Old Children]. Lisse: Swets & Zeitlinger. [Google Scholar]
- Scott, Jessica A., and Robert J. Hoffmeister. 2016. American Sign Language and academic English: Factors influencing the reading of bilingual secondary school deaf and hard of hearing students. The Journal of Deaf Studies and Deaf Education 22: 59–71. [Google Scholar] [CrossRef]
- Sehyr, Zed Sevcikova, Jennifer Petrich, and Karen Emmorey. 2016. Fingerspelled and Printed Words Are Recoded into a Speech-based Code in Short-term Memory. Journal of Deaf Studies and Deaf Education 22: 72–87. [Google Scholar] [CrossRef]
- Schauwers, Karen, Steven Gillis, Kristin Daemers, Carina De Beukelaer, and Paul J. Govaerts. 2004. Cochlear implantation between 5 and 20 months of age: The onset of babbling and the audiologic outcome. Otology & Neurotology 25: 263–70. [Google Scholar]
- Spencer, Linda J., and Jacob J. Oleson. 2008. Early listening and speaking skills predict later reading proficiency in pediatric cochlear implant users. Ear and Hearing 29: 270–80. [Google Scholar] [CrossRef]
- Staphorsius, G. K., R. S. H. Krom, and K. de Geus. 1988. Frequenties van Woordvormen en Letterposities in Jeugdlectuur [Frequenties of Word Forms and Letter Positions in Books for the Youth]. Arnhem: Instituut voor Toetsontwikkeling (CITO). [Google Scholar]
- Stone, Adam, Geo Kartheiser, Peter C. Hauser, Laura-Ann Petitto, and Thomas E. Allen. 2015. Fingerspelling as a novel gateway into reading fluency in deaf bilinguals. PLoS ONE 10: e0139610. [Google Scholar] [CrossRef]
- Strong, Michael, and Philip M. Prinz. 2000. Is American Sign Language related to English Literacy? In Language Acquisition by Eye. Edited by Charlene Chamberlain, Jill P. Morford and Rachel I. Mayberry. Hillsdale: Lawrence Erlbaum Associates, pp. 131–41. [Google Scholar]
- Tang, Gladys, Scholastica Lam, and Kunman Chris Yiu. 2014. Language Development of Deaf Children in a Sign Bilingual and Co-enrollment Environment. In Bilingualism and Bilingual Deaf Education. Edition: Perspectives on Deafness. Edited by Marc Marschark, Gladys Tang and Harry Knoors. New York: Oxford University Press. [Google Scholar]
- Transler, Catherine, and Pieter Reitsma. 2005. Phonological coding in reading of deaf children: Pseudohomophone effects in lexical decision. British Journal of Developmental Psychology 23: 525–42. [Google Scholar] [CrossRef]
- Treiman, Rebecca, and Kathryn Hirsh-Pasek. 1983. Silent reading: Insights from second-generation Deaf readers. Cognitive Psychology 15: 39–65. [Google Scholar] [CrossRef]
- van Berkel-van Hoof, Lian, Daan Hermans, Harry Knoors, and Ludo Verhoeven. 2016. Benefits of augmentative signs in word learning: Evidence from children who are deaf/hard of hearing and children with specific language impairment. Research in Developmental Disabilities 59: 338–50. [Google Scholar] [CrossRef]
- Verhoeven, Ludo, and Anne Vermeer. 2001. Taaltoets Alle Kinderen [Language Test All Children]. Arnhem: CITO. [Google Scholar]
- Verhoeven, Ludo, Pieter Reitsma, and Linda S. Siegel. 2011. Cognitive and linguistic factors in reading acquisition. Reading and Writing 24: 387–94. [Google Scholar] [CrossRef] [PubMed]
- Vermeulen, Anneke M., Wim Van Bon, Rob Schreuder, Harry Knoors, and Ad Snik. 2007. Reading comprehension of deaf children with cochlear implants. Journal of Deaf Studies and Deaf Education 12: 283–302. [Google Scholar] [CrossRef] [PubMed]
- Villwock, Agnes, Erein Wilkinson, Pilar Piñar, and Jill P. Morford. 2021. Language development in deaf bilinguals: Deaf middle school students co-activate written English and American Sign Language during lexical processing. Cognition 211: 104642. [Google Scholar] [PubMed]
- Waters, Gloria S., and Donald G. Doehring. 1990. Reading acquisition in Congenitally Deaf Children Who Communicate Orally: Insights from an Analysis of Component Reading, Language, and Memory Skills. In Reading and its development. Edited by Thomas H. Carr and Betty Ann Levy. San Diego: Academic Press, pp. 323–73. [Google Scholar]
- Wauters, Loes N., and Annet de Klerk. 2014. Improving reading instruction to deaf and hard-of-hearing students. In Bilingualism and Bilingual Deaf Education. Edited by Marc Marschark, Gladys Tang and Harry Knoors. New York: Oxford University Press, pp. 242–71. [Google Scholar]
- Wauters, Loes N., Hille van Gelder, and Corrie Tijsseling. 2021. Simple View of Reading in Deaf and Hard-of-Hearing Adults. The Journal of Deaf Studies and Deaf Education 26: 535–45. [Google Scholar] [CrossRef]
- Wauters, Loes N., Wim van Bon, and Agnes Tellings. 2006. Reading comprehension of Dutch deaf children. Reading and Writing 19: 49–76. [Google Scholar] [CrossRef]
- Yiu, Chris Kun-man, Gladys Tang, and Chloe Chi-man Ho. 2019. Essential Ingredients for Sign Bilingualism and Co-Enrollment Education in the Hong Kong Context. In Co-Enrollment in Deaf Education. Edited by Marc Marschark, Shirin Antia and Harry Knoors. New York: Oxford University Press, pp. 83–106. [Google Scholar]



| Predictor | Source | Dependent Variable | Method | Response Type | Task Description |
|---|---|---|---|---|---|
| Vocabulary-speech (VocSP) | Receptive vocabulary test from: Taaltest Alle Kinderen (TAK: Language Test for All Children; Verhoeven and Vermeer 2001) | Number of correct responses | In-person with test administrator | Multiple choice: printed words | The test administrator says aloud each of the 96 target words while the child, sitting opposite, looks at them. It is crucial that the mouth of the administrator is clearly visible. The child is asked to select one of four alternatives after being exposed to each item. Children responses are based on speechreading in addition to any residual hearing. The task is designed to simulate day-to-day speech-recognition. |
| Vocabulary-sign (VocSL) | Test-Nederlandse Gebarentaal (TNGT; Hermans et al. 2007) | Number of correct responses | Computerised | Multiple choice: pictures | After seeing each of the 60 NGT single sign video clips on a computer screen, the child selects one of 4 alternatives shown on the screen. |
| Phonological awareness-speech (PhoSP) | Custom designed | Number of correct responses | Computerised | Multiple choice: pictures | The child saw 1 picture at the top of the screen and 3 other pictures at the bottom. The child selected the picture from the bottom row that rhymed with the top one. There were 5 practice and 40 test items. |
| Sign-based phonological awareness (PhoSL) | Part of sign language assessment battery for elementary school-aged children (Hermans et al. 2007) | Number of correct responses | Computerised | YES or NO. Both spoken and signed responses were accepted | Two signs were presented simultaneously on a computer screen. The two signs are either identical or overlap phonologically but have a different hand shape, location, orientation, movement, or lip pattern. The children indicated whether the two signs were the same or not. The test contains 36 pairs of items, half of which were identical and half non-identical. |
| Fingerspelling recognition (FSP) | Custom designed | Number of correct responses | Computerised and pen and paper | Multiple choice: printed words | After seeing each of the 26 test fingerspelling videos, the child selected one of four possible printed words on a piece of paper. The presentation order was fixed, and difficulty increased as the test progressed. |
| Short-term memory (STM) | Part of IQ assessment battery for elementary school-aged children, the RAKIT | Number of correct sequences recalled | In-person with test administrator | Arrangement of the objects on the table | After seeing a sequence of line-drawings depicting objects for 5 seconds, the child arranged the objects on the table in the same order. Difficulty increased from 2-item sequences to 7-item sequences. |
| Word reading fluency | Custom designed | Accuracy and RTs | Computerised | Word or Pseudoword decision in computer | Lexical decision over 72 letter strings (36 words) 3–6 letter long and familiar to children. |
| Text reading fluency | CITO (Krom 2001) | Number of items answered correctly relative to the total number of items responded to and corrected for guessing | Pen and paper | Multiple choice: printed words | Presents a story (approximately 1000 words long). Around every 10 words the child selects the correct word in that location out of 3 orthographically similar options. |
| 1 | 2 | 3 | 4 | 5 | 6 | |||||||
|---|---|---|---|---|---|---|---|---|---|---|---|---|
| 1 | Vocabulary-Speech (VocSP) | — | ||||||||||
| 2 | Vocabulary-Sign (VocSL) | 0.404 | ** | — | ||||||||
| 3 | Phonological awareness Speech (PhoSP) | 0.585 | *** | 0.415 | *** | — | ||||||
| 4 | Phonological awareness Sign (PhoSL) | 0.185 | 0.287 | * | 0.413 | *** | — | |||||
| 5 | Fingerspelling (FSP) | 0.219 | 0.383 | ** | 0.499 | *** | 0.265 | * | — | |||
| 6 | Short-term memory (STM) | 0.241 | 0.216 | 0.351 | ** | 0.142 | 0.459 | *** | — |
| Y3 | Y5 | Difference | t | df | p | ||||
|---|---|---|---|---|---|---|---|---|---|
| Mean | SD | Mean | SD | ||||||
| T1 | Vocabulary-Speech (VocSP) | 21 | 16 | 44 | 25 | −23 | −4.214 | 60 | <.001 |
| Vocabulary-Sign (VocSL) | 22 | 13 | 36 | 14 | −14 | −4.122 | 60 | <.001 | |
| Phonological awareness Speech (PhoSP) | 22 | 7 | 31 | 6 | −9 | −5.294 | 60 | <.001 | |
| Phonological awareness Sign (PhoSL) | 29 | 5 | 31 | 3 | −3 | −2.504 | 60 | .008 | |
| Fingerspelling (FSP) | 18 | 5 | 23 | 3 | −5 | −4.581 | 60 | <.001 | |
| Short term memory (STM) | 7 | 2 | 8 | 2 | −1 | −2.483 | 60 | .008 | |
| T2 | Word reading accuracy | 75 | 12 | 88 | 8 | −12 | −4.647 | 58 | <.001 |
| Word reading RTs | 1696 | 754 | 1419 | 878 | 277 | 1.311 | 58 | .903 | |
| Text reading | 17 | 18 | 38 | 23 | −20 | −3.819 | 60 | <.001 | |
| T3 | Word reading accuracy | 82 | 9 | 91 | 7 | −9 | −4.055 | 60 | <.001 |
| Word reading RTs | 1108 | 298 | 965 | 193 | 143 | 2.256 | 60 | .986 | |
| Text reading | 25 | 18 | 47 | 24 | −22 | −4.134 | 60 | <.001 | |
| 95.0% CI | ||||||||||
|---|---|---|---|---|---|---|---|---|---|---|
| B | Std. Error | Beta | t | p | LB | UB | Tolerance | VIF | ||
| 1 | (Constant) | 0.335 | 0.112 | 2.981 | .004 | 0.110 | 0.560 | |||
| Age | 0.004 | 0.001 | 0.492 | 4.302 | <.001 | 0.002 | 0.007 | 1.000 | 1.000 | |
| 2 | (Constant) | 0.489 | 0.106 | 4.617 | <.001 | 0.277 | 0.701 | |||
| Age | 0.002 | 0.001 | 0.254 | 2.190 | .033 | 0.000 | 0.004 | 0.758 | 1.320 | |
| Vocabulary-Speech (VocSP) | 0.002 | 0.001 | 0.483 | 4.159 | <.001 | 0.001 | 0.003 | 0.758 | 1.320 | |
| 3 | (Constant) | 0.458 | 0.095 | 4.817 | <.001 | 0.268 | 0.648 | |||
| Age | 0.001 | 0.001 | 0.089 | 0.798 | .428 | −0.001 | 0.003 | 0.650 | 1.538 | |
| Vocabulary-Speech (VocSP) | 0.002 | 0.001 | 0.395 | 3.723 | <.001 | 0.001 | 0.003 | 0.724 | 1.381 | |
| Fingerspelling (FSP) | 0.010 | 0.003 | 0.416 | 3.906 | <.001 | 0.005 | 0.015 | 0.718 | 1.393 | |
| 4 | (Constant) | 0.455 | 0.092 | 4.965 | <.001 | 0.272 | 0.639 | |||
| Age | 0.000 | 0.001 | 0.054 | 0.498 | .620 | −0.001 | 0.002 | 0.637 | 1.569 | |
| Vocabulary-Speech (VocSP) | 0.001 | 0.001 | 0.236 | 1.900 | .063 | 0.000 | 0.002 | 0.493 | 2.029 | |
| Fingerspelling (FSP) | 0.007 | 0.003 | 0.294 | 2.526 | .014 | 0.001 | 0.012 | 0.562 | 1.778 | |
| Phonological awareness Speech (PhoSP) | 0.005 | 0.002 | 0.326 | 2.271 | .027 | 0.001 | 0.009 | 0.368 | 2.718 | |
| 95% CI | ||||||||||
|---|---|---|---|---|---|---|---|---|---|---|
| B | Std. Error | Beta | t | p | LB | UB | Tolerance | VIF | ||
| 1 | (Constant) | 2758.122 | 436.987 | 6.312 | <.001 | 1883.398 | 3632.846 | |||
| Fingerspelling (FSP) | −57.182 | 2.251 | −0.348 | −2.824 | .006 | −97.719 | −16.645 | 1.000 | 1.000 | |
| 2 | (Constant) | 2551.981 | 434.910 | 5.868 | <.001 | 1681.089 | 3422.873 | |||
| Fingerspelling (FSP) | −86.077 | 23.847 | −0.523 | −3.610 | .001 | −133.829 | −38.324 | 0.679 | 1.472 | |
| STM | 11.353 | 51.579 | 0.310 | 2.140 | .037 | 7.068 | 213.637 | 0.679 | 1.472 | |
| 95.0% CI | ||||||||||
|---|---|---|---|---|---|---|---|---|---|---|
| B | Std. Error | Beta | t | p | LB | UB | Tolerance | VIF | ||
| 1 | (Constant) | 0.495 | 0.092 | 5.387 | <.001 | 0.311 | 0.679 | |||
| Age | 0.003 | 0.001 | 0.471 | 4.072 | <.001 | 0.002 | 0.005 | 1.000 | 1.000 | |
| 2 | (Constant) | 0.279 | 0.061 | 4.558 | <.001 | 0.156 | 0.401 | |||
| Age | 0.001 | 0.001 | 0.079 | 0.953 | .345 | −0.001 | 0.002 | 0.758 | 1.319 | |
| Word accuracy T2 | 0.645 | 0.067 | 0.799 | 9.689 | <.001 | 0.512 | 0.779 | 0.758 | 1.319 | |
| 3 | (Constant) | 0.373 | 0.062 | 6.027 | <.001 | 0.249 | 0.496 | |||
| Age | 0.000 | 0.001 | −0.007 | −0.087 | .931 | −0.001 | 0.001 | 0.687 | 1.456 | |
| Word accuracy T2 | 0.485 | 0.076 | 0.601 | 6.396 | <.001 | 0.333 | 0.637 | 0.487 | 2.055 | |
| Phonological awareness Speech (PhoSP) | 0.004 | 0.001 | 0.342 | 3.530 | .001 | 0.002 | 0.006 | 0.458 | 2.184 | |
| 4 | (Constant) | 0.381 | 0.060 | 6.344 | <.001 | 0.260 | 0.501 | |||
| Age | 0.000 | 0.001 | −0.041 | −0.519 | .606 | −0.001 | 0.001 | 0.660 | 1.516 | |
| Word accuracy T2 | 0.437 | 0.077 | 0.541 | 5.686 | <.001 | 0.283 | 0.591 | 0.445 | 2.245 | |
| Phonological awareness Speech (PhoSP) | 0.003 | 0.001 | 0.283 | 2.894 | .005 | 0.001 | 0.006 | 0.422 | 2.369 | |
| Fingerspelling (FSP) | 0.004 | 0.002 | 0.190 | 2.159 | .035 | 0.000 | 0.007 | 0.521 | 1.920 | |
| 95.0% CI | ||||||||||
|---|---|---|---|---|---|---|---|---|---|---|
| B | Std. Error | Beta | t | p | LB | UB | Tolerance | VIF | ||
| 1 | (Constant) | 1696.88 | 272.300 | 6.232 | <.001 | 1151.81 | 2241.95 | |||
| Age | −6.140 | 2.517 | −0.305 | −2.439 | .018 | −11.178 | −1.102 | 1.000 | 1.000 | |
| 2 | (Constant) | 2025.96 | 304.924 | 6.644 | <.001 | 1415.37 | 2636.57 | |||
| Age | −4.449 | 2.564 | −0.221 | −1.736 | .088 | −9.583 | 0.684 | 0.907 | 1.103 | |
| Phonological awareness Sign (PhoSL) | −17.004 | 7.876 | −0.275 | −2.159 | .035 | −32.776 | −1.233 | 0.907 | 1.103 | |
| 95.0% CI | ||||||||||
|---|---|---|---|---|---|---|---|---|---|---|
| B | Std. Error | Beta | t | p | LB | UB | Tolerance | VIF | ||
| 1 | (Constant) | −56.420 | 22.536 | −2.504 | .015 | −101.500 | −11.341 | |||
| Age | 0.782 | 0.207 | 0.437 | 3.767 | <.001 | 0.367 | 1.197 | 1.000 | 1.000 | |
| 2 | (Constant) | −21.561 | 19.439 | −1.109 | .272 | −60.458 | 17.337 | |||
| Age | 0.282 | 0.192 | 0.158 | 1.472 | .146 | −0.101 | 0.666 | 0.781 | 1.280 | |
| Vocabulary-Speech (VocSP) | 0.579 | 0.104 | 0.597 | 5.566 | <.001 | 0.371 | 0.787 | 0.781 | 1.280 | |
| 3 | (Constant) | −27.370 | 17.908 | −1.528 | .132 | −63.217 | 8.477 | |||
| Age | 0.032 | 0.190 | 0.018 | 0.169 | .866 | −0.348 | 0.412 | 0.669 | 1.494 | |
| Vocabulary-Speech (VocSP) | 0.505 | 0.098 | 0.520 | 5.159 | <.001 | 0.309 | 0.700 | 0.744 | 1.345 | |
| Fingerspelling (FSP) | 1.674 | 0.481 | 0.357 | 3.483 | .001 | 0.712 | 2.636 | 0.721 | 1.388 | |
| 95.0% CI | ||||||||||
|---|---|---|---|---|---|---|---|---|---|---|
| B | Std. Error | Beta | T | p | LB | UB | Tolerance | VIF | ||
| 1 | (Constant) | −61.631 | 23.326 | −2.642 | .011 | −108.323 | −14.940 | |||
| Age | 0.913 | 0.216 | 0.486 | 4.237 | <.001 | 0.482 | 1.345 | 1.000 | 1.000 | |
| 2 | (Constant) | −103.854 | 20.078 | −5.172 | <.001 | −144.060 | −63.648 | |||
| Age | 0.350 | 0.198 | 0.186 | 1.765 | .083 | −0.047 | 0.748 | 0.758 | 1.319 | |
| Word accuracy T2 | 126.107 | 21.861 | 0.609 | 5.769 | <.001 | 82.331 | 169.884 | 0.758 | 1.319 | |
| 3 | (Constant) | −55.885 | 20.034 | −2.790 | .007 | −96.018 | −15.753 | |||
| Age | 0.119 | 0.177 | 0.064 | 0.674 | .503 | −0.235 | 0.474 | 0.699 | 1.431 | |
| Word accuracy T2 | 78.020 | 21.370 | 0.377 | 3.651 | .001 | 35.210 | 12.830 | 0.582 | 1.719 | |
| Vocabulary-Speech (VocSP) | 0.484 | 0.104 | 0.482 | 4.664 | <.001 | 0.276 | 0.691 | 0.581 | 1.721 | |
| 4 | (Constant) | −47.228 | 19.622 | −2.407 | .019 | −86.553 | −7.904 | |||
| Age | 0.001 | 0.178 | 0.001 | 0.008 | .993 | −0.354 | 0.357 | 0.643 | 1.555 | |
| Word accuracy T2 | 52.835 | 23.190 | 0.255 | 2.278 | .027 | 6.361 | 99.309 | 0.457 | 2.188 | |
| Vocabulary-Speech (VocSP) | 0.493 | 0.100 | 0.491 | 4.935 | <.001 | 0.293 | 0.693 | 0.580 | 1.723 | |
| Fingerspelling (FSP) | 1.153 | 0.491 | 0.237 | 2.347 | .023 | 0.169 | 2.137 | 0.564 | 1.773 | |
Publisher’s Note: MDPI stays neutral with regard to jurisdictional claims in published maps and institutional affiliations. |
© 2022 by the authors. Licensee MDPI, Basel, Switzerland. This article is an open access article distributed under the terms and conditions of the Creative Commons Attribution (CC BY) license (https://creativecommons.org/licenses/by/4.0/).
Share and Cite
Ormel, E.; Giezen, M.R.; Knoors, H.; Verhoeven, L.; Gutierrez-Sigut, E. Predictors of Word and Text Reading Fluency of Deaf Children in Bilingual Deaf Education Programmes. Languages 2022, 7, 51. https://doi.org/10.3390/languages7010051
Ormel E, Giezen MR, Knoors H, Verhoeven L, Gutierrez-Sigut E. Predictors of Word and Text Reading Fluency of Deaf Children in Bilingual Deaf Education Programmes. Languages. 2022; 7(1):51. https://doi.org/10.3390/languages7010051
Chicago/Turabian StyleOrmel, Ellen, Marcel R. Giezen, Harry Knoors, Ludo Verhoeven, and Eva Gutierrez-Sigut. 2022. "Predictors of Word and Text Reading Fluency of Deaf Children in Bilingual Deaf Education Programmes" Languages 7, no. 1: 51. https://doi.org/10.3390/languages7010051
APA StyleOrmel, E., Giezen, M. R., Knoors, H., Verhoeven, L., & Gutierrez-Sigut, E. (2022). Predictors of Word and Text Reading Fluency of Deaf Children in Bilingual Deaf Education Programmes. Languages, 7(1), 51. https://doi.org/10.3390/languages7010051

