Next Article in Journal
A Literature Review on Numerical Simulation of Thermal Anti-Icing
Previous Article in Journal
Ablation Mechanism and Process of Low-Density Needled Quartz Felt/Phenolic Resin Thermal Protection Materials Under Long-Term Low–Medium Heat Flow
 
 
Font Type:
Arial Georgia Verdana
Font Size:
Aa Aa Aa
Line Spacing:
Column Width:
Background:
Article

Dual-Loop Charge Management for Space-Based Gravitational Wave Detection

1
Changchun Institute of Optics, Fine Mechanics and Physics, Chinese Academy of Sciences, Changchun 130033, China
2
University of Chinese Academy of Sciences, Beijing 100049, China
*
Author to whom correspondence should be addressed.
Aerospace 2025, 12(2), 82; https://doi.org/10.3390/aerospace12020082
Submission received: 28 November 2024 / Revised: 22 January 2025 / Accepted: 23 January 2025 / Published: 24 January 2025
(This article belongs to the Section Astronautics & Space Science)

Abstract

In space-based gravitational wave detection missions, inertial sensors act as the inertial reference, requiring the test mass (TM) to maintain exceptionally low residual acceleration noise. High-energy particles, cosmic rays, and ion pumps during ground tests can quickly lead to charge accumulation on the TM surface, necessitating a charge management system to regulate surface charges. To manage the TM surface potential, this paper develops a mathematical model of the charge management system using established ultraviolet (UV) discharge simulation methods. The model describes how photoelectron emission or absorption on the TM surface varies with UV light-emitting diodes (LEDs) power and bias voltage. For the first time, a dual-loop control method is implemented for charge control, highlighting its practical significance. The controller precisely regulates the TM surface potential and residual charges to specified values, achieving a control accuracy of 1.1 × 10 6 e, meeting the stringent requirements of space-based gravitational wave detection missions. This approach offers a closed-loop charge management solution and provides valuable insights for designing future charge management systems.

1. Introduction

The fundamental principle of space-based gravitational wave detection relies on inertial sensors functioning as end mirrors in high-precision inter-satellite interferometers. These interferometers track relative positional changes in the TM on two widely separated satellites to detect gravitational wave signals. The space-based gravitational wave detection mission LISA consists of a triangular formation of three satellites, with a distance of 2.5 × 10 6 km between each satellite. By measuring the phase changes in the laser interferometer formed between the satellites, gravitational waves can be detected, as shown in Figure 1.
Space-based gravitational wave detection has the potential to offer humanity a revolutionary method for observing the universe [1,2,3]. Inertial sensors, critical for constructing ultra-stable inertial reference platforms in space, provide inertial references and real-time tracking of relative displacement between spacecraft and the TM [4,5,6]. Detecting gravitational waves in the 0.1 mHz to 1 Hz range—emitted by compact binary systems or merging supermassive black holes [7,8]—requires strict control of non-conservative forces acting on the TM.
Our research team referenced the inertial sensors used in the LISA mission and is currently developing a ground-based single-test-mass inertial sensor based on a torsion balance. During ground testing, we aim to ensure that the residual acceleration on the TM surface is less than 3 × 10 15 m / s 2 / Hz [9].
High-energy solar particles and galactic cosmic rays, pervasive in the space environment, bombard spacecraft [10,11], causing charge accumulation on the TM surface [12,13,14]. Moreover, ion pumps employed to maintain high-vacuum conditions in the torsion pendulum system can cause rapid charge accumulation on the TM surface [15,16,17]. In the LISA Pathfinder mission, the upper limit of the acceleration noise amplitude spectral density caused by TM charging within the target frequency band is as follows [18]:
S a charge 1 / 2 ( ω ) 0.8 × 10 15 m / s 2 / Hz
According to the LISA Pathfinder mission requirements, the residual charge on the TM surface must remain below 10 7 e [19]. Charge accumulation induces additional electrostatic and electromagnetic forces between the TM and its surrounding structural frame, compromising the accuracy of space-based gravitational wave detection. A charge management system is necessary to maintain stable residual charges on the TM surface. The system eliminates Coulomb forces from charge accumulation and Lorentz forces from magnetic field coupling, ensuring the TM’s acceleration noise meets the mission’s high-precision requirements.
Most charge management systems drive UV LEDs in either low-current, low-power modes for continuous charge control or high-current, high-power modes for rapid charge adjustment [20,21]. Project requirements call for a charge management system with closed-loop control to regulate the relative potential between the TM and the electrode housing (EH) to specified values, supporting inertial sensor research.

2. Outer Loop Nonlinear Model Predictive Control Controller

To meet mission requirements and ensure that the acceleration noise from charge accumulation on the TM surface remains below the threshold, it is crucial to enhance the precision and stability of the TM surface potential, which is essential for the closed-loop control of the charge management system. Additionally, our project includes testing and evaluating the noise generated by the inertial sensors. Consequently, manual control of charge accumulation on the TM surface is necessary. At a macroscopic level, this necessitates the use of UV-based charge accumulation methods by the charge management system to regulate the relative potential between the TM and EH.
First, a nonlinear model for the TM’s charge and discharge was developed based on previously designed UV-based charge management techniques for inertial sensors. A dual-loop charge management control method was developed, consisting of an outer loop with nonlinear model predictive control (NMPC) and an inner loop with fuzzy PID control. The outer loop uses an NMPC-based charge control module that monitors and provides feedback on the charge to predict and optimize charge management behavior. Precise regulation of the UV light source system allows for quantitative control of the TM surface potential. Given the fast response and dynamic performance of UV LEDs, the inner loop employs a switchable fuzzy PID control method to precisely regulate their output optical power. This ensures stable UV LED output as a core actuator in the charge management system and reliable UV light transmission.
The dual-loop control method enables closed-loop charge management, enhancing the system’s dynamic response and long-term control accuracy. It successfully controls residual charges on the TM surface and achieves the desired relative potential between the TM and the EH. This method establishes a theoretical foundation and serves as a technical reference for developing a charge management system prototype using torsion balance techniques. The control block diagram is shown in Figure 2.

2.1. Design of the Outer Loop NMPC Controller

The optical path propagation within the inertial sensor is highly complex, which poses challenges for directly modeling the discharge processes in the charge management system using theoretical methods. To enable NMPC in the outer loop of the dual-loop system, a nonlinear mathematical model was fitted based on a previously developed UV charge management simulation method for the inertial sensor [22]. An optimized controller was then designed to calculate the required UV LED power, ensuring the control of the TM’s residual potential within the constraints of the charge management system. The corresponding technical workflow is shown in Figure 3.

2.1.1. TM Charge and Discharge Model Based on Simulation Data

The ultraviolet-based charge management system operates by irradiating the TM surface with ultraviolet light at a wavelength of 255 nm. This induces the photoelectric effect, which excites photoelectrons and transfers the residual charge from the TM surface to the EH, or alternatively, irradiates the EH surface to charge the TM, as shown in Figure 4. The performance of the charge management system is primarily influenced by the magnitude and direction of the bias voltage between the TM and EH, as well as the optical power of the UV LED. In the following section, we will use a mathematical model to describe the relationship between the number of photoelectrons escaping from the TM or EH surface, the optical power of the UV LED, and the bias voltage between the TM and EH.
Test results from Daniel Hollington at the Imperial College London indicate that the maximum initial kinetic energy of photoelectrons emitted from the TM surface is 0.98 eV [19]. Let u T M and u E H denote the potentials of the TM and EH surfaces, respectively, with the potential difference U defined by the following formula:
U = u T M u E H .
Specifically, when U < 0.98 V , the TM undergoes only a discharge process, whereas when U > 0.98 V , the TM undergoes only a charging process. For the discharging process, bias voltages of 0.2 V , 0 V , 0.2 V , 0.6 V , 1 V , and 1.4 V were set between the EH and TM surfaces, while for the charging process, bias voltages U of 0.2 V , 0 V , 0.2 V , 0.6 V , 1 V , and 1.4 V were applied between the EH and TM surfaces.
The direct description of the number of photoelectrons emitted by the UV LED using physical formulas is a very complex task [23]. Therefore, using our previously developed UV charge management simulation method for inertial sensor charge and discharge [22], simulations were conducted under these bias voltages. The number of photoelectrons emitted from the TM surface under different UV power levels irradiating the TM and EH was recorded. The corresponding results are illustrated in Figure 5.
When the photoelectron emission is not affected by the bias voltage between the TM and EH, a linear relationship n = b P is used to fit the relationship between the number of emitted photoelectrons and the UV LED power. b is defined as the constant obtained from the fitting. Define n T M and n E H as the number of photoelectrons emitted during UV irradiation of the TM and EH, respectively, and P T M and P E H as the corresponding UV LED powers. It should be noted that in the simulation fitting conducted in this paper, the units used for P T M and P E H are nW (nanowatts) rather than W (watts). The relationship between the UV power P T M irradiating the TM and the number of photoelectrons n T M emitted per second is
n T M = 1.493 × 10 5 × P T M .
The relationship between the UV power P E H irradiating the EH and the number of photoelectrons n E H emitted per second is
n E H = 2.667 × 10 4 × P E H .
To assess the fitting performance, the coefficient of determination ( R 2 ) and the relative root mean square error ( R e l a t i v e R M S E ) were employed. Their calculation formulas are given as follows:
R 2 = 1 i = 1 j ( n i n ^ i ) 2 i = 1 j ( n i n ¯ ) 2 R M S E = i = 1 j ( n i n ^ i ) 2 j 1 R e l a t i v e R M S E = R M S E n ¯ ,
In these equations, n i represents the number of emitted photoelectrons for the i-th data point obtained from the simulation, n ^ i is the predicted number of emitted photoelectrons calculated using the fitting formula (Equations (3) or (4)), and n ¯ is the average number of emitted photoelectrons across all data points. The total number of data points is denoted by j, and n corresponds to either n T M or n E H , representing the number of photoelectrons emitted from the TM or EH, respectively.
The calculated results are shown in Table 1:
The R 2 coefficients for n T M and n E H are both close to 1, indicating excellent fitting performance.
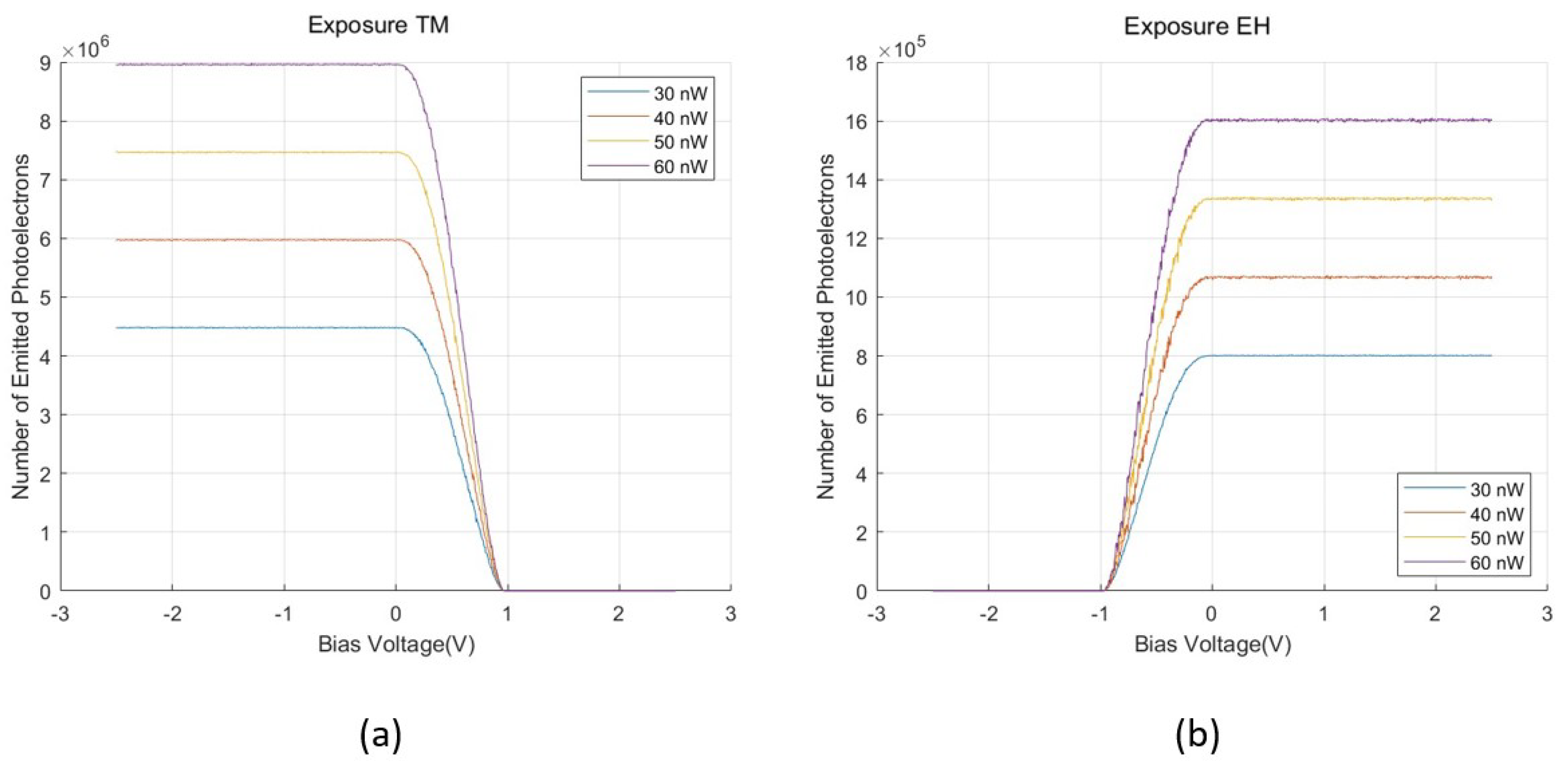
Besides the optical power magnitude, the bias voltage between the TM and EH also affects the number of photoelectrons emitted per second from the TM. During direct current (DC) discharge operations of the charge management system, the bias voltage applied to the TM and EH surfaces typically ranges from ± 2.5 V to ± 3 V [24,25]. Thus, in the simulation, U was varied from 2.5 V to 2.5 V to model the potential bias voltages on the TM surface under DC operating conditions. By setting the UV LED output power to 30 nW, 40 nW, 50 nW, and 60 nW, the number of photoelectrons emitted per second from the TM was simulated as U gradually increased. The results are presented in Figure 6.
The standard Sigmoid function is σ ( x ) = 1 1 + e x . To better describe the influence of bias voltage and UV LED power on photoelectron emission, the Sigmoid function is modified as follows: The first modification introduces the photoelectron quantity n by multiplying the standard Sigmoid function, so that the output represents the actual number of emitted photoelectrons. This results in n 1 + e x .
Next, the shape of the Sigmoid function is adjusted by introducing fitting parameters k, x 0 , and k 1 , which control the function’s response speed, inflection point, and baseline value. Specifically, x 0 controls the inflection point of the bias voltage, k adjusts the steepness of the curve, and k 1 × n acts as a scaling factor.
The modified Sigmoid function is therefore expressed as follows:
f ( U , P ) = n 1 + e k ( U x 0 ) k 1 × n ,
where U represents the bias voltage, and P is the UV LED power. To simplify the fitting process, the simulation’s horizontal axis values, originally ranging from −2.5 V to 2.5 V, were mapped to a range of 0 to 1000. The mapping formula is given as follows:
U = U + 2.5 5 × 1000 .
The fitted result for the transformed Sigmoid function when irradiating the TM is as follows:
f T M ( U , P T M ) = n T M 1 + e 0.038 ( U + 616 ) 0.00552 × n T M .
The fitted result for the transformed Sigmoid function when irradiating the EH is as follows:
f E H ( U , P E H ) = n E H 1 + e 0.038 ( U 384 ) 0.00599 × n E H .
It should be noted that Equation (6) represents the general form of the modified Sigmoid function, while the fitted Equations (8) and (9) exhibit differences in the signs to better align with the simulation results. The resulting function fitting graphs are shown in Figure 7:
The coefficient of R 2 and R e l a t i v e R M S E were also used to evaluate the fitting performance, with the results shown in Table 2.
A nonlinear mathematical model relating P and U to the photoelectron emission from the TM and EH surfaces was obtained by fitting the simulation model data. The evaluation metrics demonstrate that the fitting performance is satisfactory.
During the fitting of the nonlinear model, the maximum charge and discharge rates of the reference simulation model closely matched the experimental values [26], as shown in Table 3, indicating a high level of reliability in the fitting results.
Define the number of photoelectrons emitted per unit time from the TM surface due to UV LED irradiation as A t , which gives
A t = f T M f E H ,
and in the equation, f T M and f E H correspond to Equation (8) and Equation (9), respectively. Due to the UV light irradiating the EH, the photoelectrons emitted from the EH surface contribute to the accumulation of charge on the TM. Therefore, it is f E H rather than + f E H in this case.
Considering the charge accumulation rate due to high-energy cosmic rays, solar activity and ion pumps, this can be defined as Y e x t . Define E t as the charge emission rate from the TM surface considering external charge accumulation, and the model can be rewritten as
E t = A t Y e x t .
Define the number of residual charges on the TM surface as N, with the initial residual charge at time t = 0 being N 0 . After time t, the magnitude of N t is
N t = N 0 + t × E t .
Finally, the magnitude of the TM surface potential at time t = k , denoted as U k , is given by
U k = N k × q C ,
and in the equation, q is the elementary charge, and C is the capacitance between the TM and the EH.
Equation (13) is the mathematical model that describes the dynamic characteristics of the charge management system.

2.1.2. Design of the NMPC Controller

The nonlinear mathematical model presented in Section 2.1.1 approximates the nonlinear characteristics and dynamic behavior of the charge management system by fitting a Sigmoid-like function, providing a simplified representation of its dynamics.
To select an appropriate controller, the following characteristics of the TM charge and discharge process need to be considered.
  • The system model is a nonlinear mathematical model based on simulation data.
  • The charge and discharge process imposes power limitations on the UV LEDs, requiring that the UV LEDs irradiating both the TM and the EH cannot operate simultaneously.
  • The rate of charge accumulation can vary due to factors such as the solar activity cycle, leading to changes in charge management system parameters.
Given the characteristics of the charge management system, the NMPC can effectively manage the model’s nonlinear properties and fully account for the constraints that must be satisfied during the control process. Therefore, using the NMPC method for TM charge and discharge control is the optimal choice.
The system control block diagram is presented in Figure 8.
In the charge management system’s NMPC optimization, the problem is defined at each control step k as minimizing the difference between the reference potential and the actual potential over the prediction horizon N P , while satisfying the system’s dynamic equations and input constraints.
The typical objective function J of a model predictive controller can be written as
J = i = 0 N p 1 y k + i | k r k + i Q 2 + i = 0 N p 1 u k + i | k R 2 ,
and in the equation, y k + i | k represents the predicted system output at time k + i , r k + i denotes the reference trajectory, u k + i | k indicates the predicted control input, Q is the weighting matrix for the output error, and R is the weighting matrix for the control input. For the matrix X and Q, X Q 2 = X Q X .
For the charge management system utilizing a ground torsion balance, the value of matrix Q is determined by the dimensionality of the system output. In the current design of the charge management system based on model predictive control, the system output contains only one variable: the surface potential of the TM. Consequently, matrix Q is reduced to a scalar value of 1. The system exhibits insensitivity to the weighting of the control input. Therefore, explicit constraints are imposed on the control input, eliminating the need for matrix R.
The first term in the objective function represents the output error, which quantifies the deviation between the system’s output and the target value. The second term represents the control input, aimed at minimizing the control cost. Since the UV LED in the charge management system outputs light power at the nanowatt level, the system is relatively insensitive to the control system’s energy consumption. Therefore, the second term is excluded. Consequently, the objective function k for the charge management system is written as:
min U k J = i = 0 N P 1 U k + i | k ^ U r e f , k + i 2 ,
the objective function J represents the sum of the squared errors between the reference potential U r e f , k + i and the current potential U k + i | k ^ at each time step. Minimizing this function will give the optimal control input, where U k + i | k ^ represents the predicted potential at time k + i , based on the information available at time k. U r e f , k + i represents the reference potential of the system at time k + i .
s . t . P T M m i n P T M , k + i | k ^ P T M m a x , i = 0 , 1 , , N P 1 P E H m i n P E H , k + i | k ^ P E H m a x , i = 0 , 1 , , N P 1 ,
and these constraints limit the minimum and maximum values of the power P T M and P E H , ensuring that the power of the TM and EH stay within the specified range.
Additionally, during the charge management process, due to the irradiation position, the discharge rate of the TM under the same optical power is greater than its charging rate under the same optical power. That is, when U = 0 , if P T M = P E H , then f T M 0 , P T M > f E H 0 , P E H . To prevent the simultaneous charging and discharging of the TM, the following constraints must be imposed.
Based on the potential difference Δ U = U k U r e f ,
s . t . if Δ U > ϵ P E H = 0 if Δ U < ϵ P T M = 0 ,
and in the equation, ϵ is the allowable potential difference error, with a value of 1 μ V.
This ensures that the TM does not undergo simultaneous charging and discharging.
Finally, the surface charge and potential of the TM are predicted and updated using the predictive model:
N k + i + 1 ^ = N k + i ^ + T s A ( t ) , i = 0 , 1 , , N P 1 ,
and in the equation, N k + i + 1 ^ represents the predicted number of residual photoelectrons on the TM at time k + i + 1 . Its value is the number of residual photoelectrons on the TM at time k + i , denoted as N k + i ^ , plus the product of the sampling time and the number of emitted photoelectrons, along with the accumulated photoelectrons Y e x t .
U k + i + 1 ^ = N k + i + 1 ^ × q C , i = 0 , 1 , , N P 1 ,
U k + i + 1 ^ denotes the residual potential on the TM surface at time k + i + 1 , N k + i + 1 ^ is the residual charge, q is the elementary charge, and C is the capacitance between the TM and the EH. Equation (19) is the predictive model of the system.
The prediction horizon N P , control horizon N C , and sampling time T s parameters used in this paper are shown in Table 4.
In the table, N P represents the future time horizon considered by the model predictive controller during optimization, indicating how many future time steps the controller accounts for. N C refers to the time horizon over which the model predictive controller selects control inputs during the optimization process. N C is typically shorter than N P , and its selection affects the controller’s responsiveness to changes. T s refers to the time interval at which the system collects measurement data and updates the control input, affecting the controller’s real-time performance and responsiveness.

2.2. Inner Loop UV LED Power Controller Design Based on Hybrid Gain Fuzzy PID

Early space-based gravitational wave detection missions primarily used mercury lamps as UV light sources for charge management [27,28]. However, mercury lamps have several notable drawbacks, such as slow response times, limited lifespans, and high sensitivity to temperature variations. With advancements in device technology, UV LEDs—offering superior response time, lifespan, controllability, and stability—have been adopted in charge management systems for space-based gravitational wave detection missions [29].
When using UV LEDs to irradiate the TM, maintaining high precision in the discharge function requires improving the stability of the UV light source output [30]. A control loop for UV LEDs must be integrated into the charge management system. By utilizing the established low-power photoelectric–thermal model of UV LEDs, an integrated fuzzy PID controller can directly regulate the UV LED. This integrated approach not only effectively reduces UV LED output errors caused by low-current driving but also improves the overall precision and robustness of the control system. It ensures the stability and reliability of charge management and TM control under various operating conditions, thereby enhancing overall system performance.

2.2.1. Low-Power Photoelectric–Thermal UV LED Model

In previous work, the research team developed a switchable fuzzy PID-based controller for UV LED power and modeled the low-power photoelectric–thermal behavior of AlGaN-based UV LEDs. The power output, denoted as P v , depends on both the electrical power input and thermal effects of the UV LED. This equation, derived from theoretical analysis and fitted to experimental data, represents the relationship between electrical input and thermal response in the LED. The fitting parameters are obtained from both theoretical derivation and experimental data fitting, considering the nonlinear characteristics of the system’s performance. This equation is essential for accurately predicting UV LED power under varying operating conditions, allowing for improved control and optimization of the system’s performance [31]:
P v = k e T c + c a i + b + d ,
and in the equation, c is a correction constant, and d is an introduced constant correction term used to address the discrepancy between the calibration operating point and the actual operating point. a = k n T q 3 2 + l n I s i , where k is the Boltzmann constant, n is a constant, q is the elementary charge, I s is the reverse saturation current, and T is the thermodynamic temperature. k e is the thermal characteristic coefficient, representing the linear decrease in UV LED luminous efficiency with increasing temperature over time, and T c represents the measured temperature of the UV LED.

2.2.2. Hybrid Gain Fuzzy PID Control

The fuzzy PID controller adaptively adjusts the control strategy using fuzzy logic, effectively addressing nonlinear variations in UV LED operation. Unlike traditional PID, which requires manual tuning, the fuzzy PID improves flexibility and adaptability by processing imprecise inputs (such as error and error rate). To balance performance and computational efficiency, we use traditional PID for broad-range adjustments and introduce a fuzzy gain PID loop for precise tuning, ensuring dynamic stability while reducing computational load.
The basic calculation formula for the control output u of the fuzzy PID is as follows:
u ( k ) = P × e ( k ) + I e k d t + D d e ( k ) d t ,
and in the formula, e ( k ) represents the current error, defined as the difference between the target value and the actual value. e k d t is the integral of the error, representing cumulative error, and d e ( k ) d t is the derivative of the error, indicating the rate of change of the error. P, I, and D are the gains of the proportional, integral, and derivative terms, respectively.
Let the P, I, and D gain outputs of the fuzzy PID be P f u z z y , I f u z z y , D f u z z y . The fuzzy logic controller adjusts Δ P , Δ I , and Δ D based on the error magnitude e 0 and the rate of error change d e ( t ) d t , with the adjustment formula as follows:
P fuzzy = P 0 + e p Δ P I fuzzy = I 0 + e I Δ I D fuzzy = D 0 + e D Δ D .
In the dual closed-loop charge control, the inner loop requires excellent dynamic performance to quickly track the power output of the NMPC and maintain high tracking accuracy after reaching the final state. To meet these requirements, this paper introduces a hybrid gain factor method to enhance the fuzzy PID controller [32]. The gain of the hybrid fuzzy PID controller is determined by the following formula:
P = γ P fuzzy + ( 1 γ ) P 0 I = γ I fuzzy + ( 1 γ ) I 0 D = γ D fuzzy + ( 1 γ ) D 0 .
The hybrid gain fuzzy PID gain used in this paper is conditioned on the error magnitude. Assuming the gain factor is γ , its value is determined by the following formula:
γ = max 0 , min 1 , e 0 | e ( t ) | e 0 ,
and in the formula, e ( t ) represents the difference between the current and target UV LED power, and e 0 is a preset threshold.
Based on previous experiments, e 0 was set to 0.1 [31]. The variation of γ with e ( t ) is shown in Figure 9. When the error is less than 0.1, the UV lamp power does not require large adjustments, and the fuzzy PID control law is applied to adjust the UV lamp power. When the UV lamp power exceeds the threshold range, the initial PID parameters are used for large-scale adjustments to enhance dynamic performance.
The controller can be described as follows:
Δ u ( k ) = P [ e ( k ) e ( k 1 ) + I e ( k ) + D [ e ( k ) 2 e ( k 1 ) + e ( k 2 ) .
Figure 10 shows the control block diagram of the designed hybrid gain fuzzy PID controller.
The parameters used are listed in Table 5.
In the simulation, we assumed that the temperature of the UV LED remains constant at 25 °C. The current was output by a current source approximated as a first-order inertial element, with specific parameters calibrated through experiments. The resulting control performance is shown in Figure 11.
Simulation results show that, at a given optical power of 60 nW, the hybrid gain fuzzy PID controller enabled the UV LED to achieve an optical power output of 59.95 nW within 0.2 s. The controller could quickly respond within 0.2 s and accurately track the target optical power set by the optimization controller, meeting the usage requirements.

3. Performance Simulation of the Dual-Loop Charge Management Technology

To verify the performance of the designed dual-loop charge control technology, two different operating conditions for the charge management system were established. The specific conditions are shown in Table 6.
The entire simulation process included phases of potential increase and decrease, testing the charging and discharging performance of the dual-loop charge control system. According to the LISA Pathfinder mission requirements, the residual charge on the TM surface must remain below 10 7 e [19]. Given that the capacitance between the TM and the EH was 34.2 pF [34], the resulting potential difference caused by charge accumulation was 0.468 V. Therefore, the reference potential u D in the simulation was set to 0 V, ±0.04 V, and ±0.08 V, with each charge or discharge cycle lasting 100 s. A reference potential of 0 V represented the state where the accumulated charge on the TM surface had been completely removed. A reference potential of ±0.04 V corresponded to the potential when the residual charge between the TM and the EH was just below 10 7 e. A reference potential of ±0.08 V tested the charge control system’s ability to achieve the designated potentials. During each cycle, from 100 s to 400 s, the potential increased by 0.04 V, while from 500 s to 900 s, the potential decreased by 0.04 V. Additionally, based on the literature, the real model incorporates a charge measurement noise of 10 15 C/ Hz and electrode-applied voltage fluctuation of 30 μ V/ Hz [35].

3.1. Charge Control Performance Simulation Under Stable Conditions

First, the charge management system was simulated under standard operating conditions. In this condition, the charge accumulation rate of the system was assumed to remain constant.
In planned gravitational wave detection missions, such as Taiji, TianQin, and LISA, the TM is expected to accumulate charge at a rate of approximately from 10 e/s to 60 e/s under standard operating conditions [19,36,37]. In the simulation, we chose a charge accumulation rate of 20 e/s as the simulation parameter.
The simulation was conducted based on the parameters described earlier. Figure 12 shows the dynamic performance of the dual-loop charge management system under a standard charge accumulation rate. The simulation was conducted based on the parameters described earlier. Figure 12 illustrates the dynamic performance of the dual-loop charge management system under standard charge accumulation conditions.

3.2. Charge Control Performance Simulation Under Rapid Charge Accumulation Conditions

In ground-based torsion balance charge management systems, activating the ion pump causes rapid residual charge accumulation on the TM. In space missions, unexpected galactic cosmic rays events can also lead to rapid residual charge accumulation on the TM surface. To evaluate the anti-interference performance of the dual-loop charge management system under these conditions, a charge accumulation rate of +60,000 e/s was assumed. The corresponding charge accumulation rate was applied only to the actual model, reflecting the dynamics described in Equation (13), while the predictive model followed the formulation in Equation (19). The remaining parameter settings were the same as those used for the charge management system under standard conditions. The simulation results are presented in Figure 13.

3.3. Performance Evaluation of Charge Control Performance Simulation

Performance indicators were used to quantitatively assess the effectiveness of the NMPC. The mean square error ( M S E ) calculates the average of the squared differences between the reference potential and the actual potential, reflecting the overall magnitude of the error. The formula is as follows:
M S E = 1 j k = 1 j ( U r e f U k ) 2 ,
and in the formula, U r e f represents the reference potential, and U k represents the actual potential output by the controller.
The root mean square error ( R M S E ) is the square root of the M S E and provides an error measure in the same units as the original data. It represents the average deviation between the predicted and actual values. The formula is as follows:
R M S E = M S E = 1 j k = 1 j ( U r e f U k ) 2 .
The correlation coefficient measures the linear relationship between the reference potential and the actual potential, reflecting their time-varying trends’ consistency and how well the system follows the reference signal trend. The formula is as follows:
R = C o v U r e f U k σ U r e f σ U k ,
and in the formula, C o v represents covariance and σ denotes the standard deviation, which quantifies the dispersion of the reference potential U r e f and control input U k , normalizing the covariance in the correlation coefficient. Meanwhile, the R M S E , as defined in Equation (27), measures the predictive error between predicted and actual values. While both have similar units, standard deviation reflects data variability, whereas R M S E assesses the model’s prediction accuracy.
During the first 100 s of simulation, the system is in the adjustment phase, which involves significant errors, making error statistics during this phase meaningless. After removing the first 100 s of data, the performance metrics were calculated. The performance metrics, calculated after excluding the first 100 s of data, are shown in Table 7:
It can be observed that, compared to a charge accumulation rate of +20 e/s, the R M S E of the controller increased by 3.5 × 10 4 V at a charge accumulation rate of +60,000 e/s. Given that the R M S E is 0.005157 V, substituting this value into the basic charge formula yields:
Q = C × U ,
N = Q q ,
and in the formula, Q is the charge amount, Q = 1.763 × 10 13 C ; C is the capacitance, C = 34.2 pF ; U is consistent with the definition U in Equation (2), U = 0.005157   V ; q is the elementary charge; and N is the number of electrons. The controller’s performance calculated in terms of charge amount is approximately 1.1 × 10 6 e.
The designed dual-loop charge controller effectively tracks the reference potential and demonstrates high output stability, both under normal operating conditions and during rapid charge accumulation. In the two simulations, it was observed that the controller’s tracking performance during TM discharge (potential increase phase) was better than during TM charging (potential decrease phase). Specifically, during TM discharge, the TM’s actual potential reached the reference potential within approximately 5 s after a change in the reference potential. In contrast, during TM charging, the actual potential reached the reference potential only after approximately 20 s. This discrepancy is likely due to the higher photon flux when the UV LED irradiates the TM rather than the EH. This discrepancy is likely due to the higher photon flux when the UV LED irradiates the TM rather than the EH. Consequently, during discharge, the controller can adjust the TM surface potential to match the reference potential more quickly.

4. Conclusions

This paper presents a dual-loop charge control method for the closed-loop regulation of the relative potential on the TM surface, ensuring it reaches a desired value. Using the previously developed UV discharge-based TM charge and discharge simulation method, the nonlinear effects of photoelectron transfer induced by the relative potential between the TM and EH were considered. A set of nonlinear charge management mathematical models was developed and integrated into the outer loop of the dual-loop charge management system. An NMPC controller was designed to regulate the TM surface potential by adjusting the UV light source system to output precise power levels.
In the inner loop, a hybrid gain fuzzy PID controller was designed based on our previously developed low-power photoelectric–thermal model of UV LEDs to meet the requirements of the charge control system. Simulations were conducted to evaluate the dual-loop charge management method under charge accumulation rates of 20 e/s and 60,000 e/s. The simulation results show that the designed controller effectively manages different charge accumulation rates, precisely controlling the TM surface potential and residual charge to specified values, with a control accuracy of approximately 1.1 × 10 6 e.
This study successfully develops a control method for the closed-loop regulation of the TM surface potential, demonstrating its practical value and potential for future experimental validation in charge management systems. In the future, we plan to refine the modeling of the dual-loop charge management system by accounting for additional coupled noise and developing data models for more complex operational scenarios. At the same time, we will also consider discussing the impact of relativistic effects on space-based gravitational wave detection to achieve higher precision in inertial sensor design.

Author Contributions

Conceptualization, T.Y. and Z.Z.; methodology, T.Y.; software, Z.Z., Y.C. and H.L.; validation, T.Y. and Z.Z.; formal analysis, T.Y. and Z.Z.; investigation, T.Y. and Z.Z.; resources, T.Y. and Z.W.; data curation, T.Y.; writing—original draft preparation, T.Y.; writing—review and editing, T.Y. and Z.Z.; visualization, Z.Z.; supervision, T.Y. and Z.W.; project administration, T.Y. and Z.W.; funding acquisition, T.Y. and Z.W. All authors have read and agreed to the published version of the manuscript.

Funding

This research was funded by the National Key R&D Program of China, grant number 2020YFC2200602, and the National Key R&D Program of China, grant number 2020YFC2200604, and the National Key R&D Program of China, grant number 2020YFC2200600.

Data Availability Statement

Data are contained within the article.

Conflicts of Interest

The authors declare no conflicts of interest.

Abbreviations

The following abbreviations are used in this manuscript:
TMTest mass
EHElectrode housing
UVUltraviolet
LEDLight-emitting diode
NMPCNonlinear model predictive control
Relative RMSErelative root mean square error
RMSERoot mean square error
DCDirect current

References

  1. Armano, M.; Audley, H.; Baird, J.; Binetruy, P.; Born, M.; Bortoluzzi, D.; Castelli, E.; Cavalleri, A.; Cesarini, A.; Chiavegato, V.; et al. In-depth analysis of LISA Pathfinder performance results: Time evolution, noise projection, physical models, and implications for LISA. Phys. Rev. D 2024, 110, 042004. [Google Scholar] [CrossRef]
  2. Luo, J.; Bai, Y.Z.; Cai, L.; Cao, B.; Chen, W.M.; Chen, Y.; Cheng, D.C.; Ding, Y.W.; Duan, H.Z.; Gou, X.; et al. The first round result from the TianQin-1 satellite. Class. Quantum Gravity 2020, 37, 185013. [Google Scholar] [CrossRef]
  3. Wu, Y.-L.; Luo, Z.-R.; Wang, J.Y.; Bai, M.; Bian, W.; Cai, R.G.; Cai, Z.M.; Cao, J.; Chen, D.J.; Chen, L.; et al. China’s first step towards probing the expanding universe and the nature of gravity using a space borne gravitational wave antenna. Commun. Phys. 2021, 4, 34. [Google Scholar]
  4. Everitt, C.; Muhlfelder, B.; DeBra, D.; Parkinson, B.; Turneaure, J.; Silbergleit, A.; Acworth, E.; Adams, M.; Adler, R.; Bencze, W.; et al. The Gravity Probe B test of general relativity. Class. Quantum Gravity 2015, 32, 224001. [Google Scholar] [CrossRef]
  5. Touboul, P.; Métris, G.; Rodrigues, M.; André, Y.; Baghi, Q.; Berge, J.; Boulanger, D.; Bremer, S.; Chhun, R.; Christophe, B.; et al. Space test of the equivalence principle: First results of the MICROSCOPE mission. Class. Quantum Gravity 2019, 36, 225006. [Google Scholar] [CrossRef]
  6. Antonucci, F.; Armano, M.; Audley, H.; Auger, G.; Benedetti, M.; Binetruy, P.; Bogenstahl, J.; Bortoluzzi, D.; Bosetti, P.; Brandt, N.; et al. The LISA pathfinder mission. Class. Quantum Gravity 2012, 29, 124014. [Google Scholar] [CrossRef]
  7. Yafei, Y. Development Trend and Hotspot Analysis of Gravitational Wave Detection Researches. World Sci-Tech R D 2022, 44, 81–95. [Google Scholar] [CrossRef]
  8. Wang, Z.; Sha, W.; Chen, Z.; Kang, Y.; Luo, Z.; Li, M.; Li, Y. Preliminary design and analysis of telescope for space gravitational wave detection. Chin. Opt. 2018, 11, 131–151. [Google Scholar] [CrossRef]
  9. Torres-Orjuela, A.; Huang, S.-J.; Liang, Z.-C.; Liu, S.; Wang, H.-T.; Ye, C.-Q.; Hu, Y.-M.; Mei, J. Detection of astrophysical gravitational wave sources by TianQin and LISA. Sci. China Phys. Mech. Astron. 2024, 67, 259511. [Google Scholar] [CrossRef]
  10. Vocca, H.; Grimani, C.; Amico, P.; Gammaitoni, L.; Marchesoni, F.; Bagni, G.; Marconi, L.; Stanga, R.; Vetrano, F.; Vicere, A. Simulation of the charging process of the LISA test masses due to solar particles. Class. Quantum Gravity 2005, 22, S319. [Google Scholar] [CrossRef]
  11. Han, R.; Cai, M.; Yang, T.; Xu, L.; Xia, Q.; Jia, X.; Gao, D.; Han, J. Effect of solar proton events on test mass for gravitational wave detection in the 24th solar cycle. Sci. Rep. 2023, 13, 9932. [Google Scholar] [CrossRef] [PubMed]
  12. Everitt, C.; Parmley, R.; Taber, M.; Bencze, W.; Burns, K.; Frank, D.; Kolodziejczak, J.; Mester, J.; Muhlfelder, B.; Murray, D.; et al. Gravity Probe B cryogenic payload. Class. Quantum Gravity 2015, 32, 224009. [Google Scholar] [CrossRef]
  13. Grimani, C.; Villani, M.; Fabi, M.; Cesarini, A.; Sabbatini, F. Bridging the gap between Monte Carlo simulations and measurements of the LISA Pathfinder test-mass charging for LISA. Astron. Astrophys. 2022, 666, A38. [Google Scholar] [CrossRef]
  14. Grimani, C.; Villani, M.; Fabi, M.; Sabbatini, F. LISA and LISA-like mission test-mass charging for gamma-ray burst detection. J. High Energy Astrophys. 2024, 42, 38–51. [Google Scholar] [CrossRef]
  15. Chen, H. The Charge Management Research in the Torsion Pendulum. Master’s Thesis, Huazhong University of Science & Technology, Wuhan, China, 2013. [Google Scholar]
  16. Rowan, S.; Twyford, S.; Hutchins, R.; Hough, J. Investigations into the effects of electrostatic charge on the Q factor of a prototype fused silica suspension for use in gravitational wave detectors. Class. Quantum Gravity 1997, 14, 1537. [Google Scholar] [CrossRef]
  17. Mitrofanov, V.; Prokhorov, L.; Tokmakov, K.; Willems, P. Investigation of effects associated with variation of electric charge on a fused silica test mass. Class. Quantum Gravity 2004, 21, S1083. [Google Scholar] [CrossRef]
  18. Sala, L. Residual Test Mass Acceleration in LISA Pathfinder: In-Depth Statistical Analysis and Physical Sources. Ph.D. Thesis, Università degli Studi di Trento, Trento, Italy, 2023. [Google Scholar]
  19. Hollington, D. The Charge Management System for LISA and LISA Pathfinder. Ph.D. Thesis, Department of Physics, Imperial College London, London, UK, 2011. [Google Scholar]
  20. Letson, B.; Parry, S.; Clark, M.; Olatunde, T.; Barke, S.; Schindler, J.; Diaz Ortiz, M.; Mueller, G.; Sumner, T.; Wass, P.; et al. Development of the UV LED-Based Charge Management System for the LISA Gravitational Reference Sensor. Bull. Am. Phys. Soc. 2020, 65. [Google Scholar]
  21. Armano, M.; Audley, H.; Baird, J.; Binetruy, P.; Born, M.; Bortoluzzi, D.; Castelli, E.; Cavalleri, A.; Cesarini, A.; Cruise, A.; et al. Precision charge control for isolated free-falling test masses: LISA pathfinder results. Phys. Rev. D 2018, 98, 062001. [Google Scholar] [CrossRef]
  22. Zhao, Z.; Yu, T.; Wang, S.; Li, H.; Wang, Z. Charging and Discharging Modeling of Inertial Sensors Based on Ultraviolet Charge Management. Symmetry 2024, 16, 1209. [Google Scholar] [CrossRef]
  23. Dal Bosco, D. Torsion Pendulum Testing of the LISA Charge Management System. Ph.D. Thesis, Università di Trento, Trento, Italy, 2023. [Google Scholar]
  24. Saraf, S.; Buchman, S.; Balakrishnan, K.; Lui, C.Y.; Soulage, M.; Faied, D.; Hanson, J.; Ling, K.; Jaroux, B.; Al Suwaidan, B.; et al. Ground testing and flight demonstration of charge management of insulated test masses using UV-LED electron photoemission. Class. Quantum Gravity 2016, 33, 245004. [Google Scholar] [CrossRef]
  25. Buchman, S.; Bencze, W.; Brumley, R.; Clarke, B.; Keiser, G. The design and testing of the Gravity Probe B suspension and charge control systems. AIP Conf. Proc. 1998, 456, 178–187. [Google Scholar] [CrossRef]
  26. Yang, Q. Research on the Fiber Coupling of Ultraviolet Light Source in Charge Management. Master’s Thesis, Huazhong University of Science & Technology, Wuhan, China, 2020. [Google Scholar]
  27. Letson, B.C.; Conklin, J.W.; Wass, P.; Barke, S.; Mueller, G.; Rasel, M.A.J.; Haque, A.; Pearton, S.J.; Ren, F. Reliability and Degradation Mechanisms of Deep UV AlGaN LEDs. ECS J. Solid State Sci. Technol. 2023, 12, 066002. [Google Scholar] [CrossRef]
  28. Buchman, S.; Quinn, T.; Keiser, G.; Gill, D.; Sumner, T. Charge measurement and control for the Gravity Probe B gyroscopes. Rev. Sci. Instrum. 1995, 66, 120–129. [Google Scholar] [CrossRef]
  29. Clark, M.; Letson, B.; Parry-Kenyon, S.; Olatunde, T.; Barke, S.; Mueller, G.; Sumner, T.; Wass, P.; Storm, M.; Conklin, J.; et al. A UV LED-Based Charge Management System for the LISA Gravitational Reference Sensor. In Proceedings of the APS April Meeting Abstracts, Virtual, 17–20 April 2021; Volume 2021, p. K16–002. [Google Scholar]
  30. Kenyon, S.P.; Letson, B.; Clark, M.; Olatunde, T.; Ritten, L.; Schindler, J.; Wass, P.J.; Conklin, J.W.; Barke, S.; Mueller, G.; et al. A charge management system for gravitational reference sensors–design and instrument testing. In Proceedings of the 2021 IEEE Aerospace Conference (50100), Big Sky, MT, USA, 6–13 March 2021; pp. 1–9. [Google Scholar]
  31. Wang, Y.; Yu, T.; Wang, Z.; Liu, Y. Photo-Electro-Thermal Model and Fuzzy Adaptive PID Control for UV LEDs in Charge Management. Sensors 2023, 23, 5946. [Google Scholar] [CrossRef]
  32. Bulut, C.; Eksin, Đ.; Güzelkaya, M.; Kumbasar, T.; Yeşil, E. Fuzzy blending hybrid structure with fuzzy and conventional PID controllers. In Proceedings of the International Conference on Modeling and Applied Simulation, MAS 2009, Puerto de la Cruz, Spain, 23–25 September 2009. [Google Scholar]
  33. Araújo, H.M.; Wass, P.; Shaul, D.; Rochester, G.; Sumner, T. Detailed calculation of test-mass charging in the LISA mission. Astropart. Phys. 2005, 22, 451–469. [Google Scholar] [CrossRef]
  34. Brandt, N.; Fichter, W. Revised electrostatic model of the LISA Pathfinder inertial sensor. J. Phys. Conf. Ser. 2009, 154, 012008. [Google Scholar] [CrossRef]
  35. Armano, M.; Audley, H.; Auger, G.; Baird, J.; Binetruy, P.; Born, M.; Bortoluzzi, D.; Brandt, N.; Bursi, A.; Caleno, M.; et al. Charge-induced force noise on free-falling test masses: Results from LISA Pathfinder. Phys. Rev. Lett. 2017, 118, 171101. [Google Scholar] [CrossRef]
  36. Yang, F. Investigation of Charge Management and Control for Space Inertial Sensors. Ph.D. Thesis, Huazhong University of Science & Technology, Wuhan, China, 2020. [Google Scholar]
  37. Han, R.; Cai, M.; Yang, T.; Xu, L.; Xia, Q.; Jia, X.; Gao, D.; Li, M.; Zhang, L.; Li, H.; et al. Study on Test-Mass Charging for Taiji Gravitational Wave Observatory. Space Weather 2024, 22, e2023SW003724. [Google Scholar] [CrossRef]
Figure 1. The LISA constellation.
Figure 1. The LISA constellation.
Aerospace 12 00082 g001
Figure 2. The control block diagram of the dual-loop charge management method.
Figure 2. The control block diagram of the dual-loop charge management method.
Aerospace 12 00082 g002
Figure 3. Design approach of the NMPC controller.
Figure 3. Design approach of the NMPC controller.
Aerospace 12 00082 g003
Figure 4. Basic principle of ultraviolet discharge.
Figure 4. Basic principle of ultraviolet discharge.
Aerospace 12 00082 g004
Figure 5. Results of different bias voltages irradiating the TM and EH with optical power ranging from 1 nW to 60 nW. (a) Exposure to the TM represents the discharging process. (b) Exposure to the EH represents the charging process.
Figure 5. Results of different bias voltages irradiating the TM and EH with optical power ranging from 1 nW to 60 nW. (a) Exposure to the TM represents the discharging process. (b) Exposure to the EH represents the charging process.
Aerospace 12 00082 g005
Figure 6. The number of photoelectrons emitted from the TM and EH under varying bias voltages from −2.5 V to 2.5 V for different optical powers. (a) Exposure TM. (b) Exposure EH.
Figure 6. The number of photoelectrons emitted from the TM and EH under varying bias voltages from −2.5 V to 2.5 V for different optical powers. (a) Exposure TM. (b) Exposure EH.
Aerospace 12 00082 g006
Figure 7. Fitting results for irradiating the TM and EH. (a) Exposure TM. (b) Exposure EH.
Figure 7. Fitting results for irradiating the TM and EH. (a) Exposure TM. (b) Exposure EH.
Aerospace 12 00082 g007
Figure 8. Outer loop NMPC system control block diagram.
Figure 8. Outer loop NMPC system control block diagram.
Aerospace 12 00082 g008
Figure 9. The value of γ changes with the variation of the error e ( t ) .
Figure 9. The value of γ changes with the variation of the error e ( t ) .
Aerospace 12 00082 g009
Figure 10. Hybrid gain fuzzy PID control block diagram.
Figure 10. Hybrid gain fuzzy PID control block diagram.
Aerospace 12 00082 g010
Figure 11. Controller output.
Figure 11. Controller output.
Aerospace 12 00082 g011
Figure 12. Actual potential variation on the TM surface at +20 e/s charge accumulation rate.
Figure 12. Actual potential variation on the TM surface at +20 e/s charge accumulation rate.
Aerospace 12 00082 g012
Figure 13. Actual potential variation on the TM surface at +60,000 e/s charge accumulation rate.
Figure 13. Actual potential variation on the TM surface at +60,000 e/s charge accumulation rate.
Aerospace 12 00082 g013
Table 1. Evaluation metrics for the fitting performance of the relationship between optical power and photoelectron emission.
Table 1. Evaluation metrics for the fitting performance of the relationship between optical power and photoelectron emission.
Fitted Term R 2 RelativeRMSE
n T M 0.9999960.11%
n E H 0.9999920.16%
Table 2. Fitting performance metrics for the relationship between bias voltage u D and photoelectron emission quantity.
Table 2. Fitting performance metrics for the relationship between bias voltage u D and photoelectron emission quantity.
Fitted Term R 2 RelativeRMSE
f T M ( U , P T M ) 0.99931.9%
f E H ( U , P E H ) 0.99912.2%
Table 3. Simulation model results.
Table 3. Simulation model results.
ParameterSimulated ValueExperimental Value
Maximum Charging Rate2.3 mV/s2.61 ± 0.03 mV/s
Maximum Discharging Rate0.88 mV/s0.88 ± 0.02 mV/s
Table 4. NMPC parameter settings.
Table 4. NMPC parameter settings.
ParameterValue
Prediction Horizon Length N P 10
Control Horizon Length N C 2
Sampling Time T s 0.1
Table 5. Controller parameters.
Table 5. Controller parameters.
ParameterValue
P 0 , I 0 , D 0 10, 0.035, 0.007
e P , e I , e D 1, 0.01, 10
e 0 0.1
Table 6. Parameter settings for different operating conditions.
Table 6. Parameter settings for different operating conditions.
Operating ConditionCharge Accumulation Rate [33]Initial Charge
Normal Charge
Accumulation
+20 e/s 10 7 e
Rapid Charge Accumulation+60,000 e/s 10 7 e
Table 7. Controller performance under different charge accumulation rates.
Table 7. Controller performance under different charge accumulation rates.
Indicator Name+20 e/s+60,000 e/s
M S E 0.000027 V20.000030 V2
R M S E 0.005157 V0.005507 V
R0.99540.9947
Disclaimer/Publisher’s Note: The statements, opinions and data contained in all publications are solely those of the individual author(s) and contributor(s) and not of MDPI and/or the editor(s). MDPI and/or the editor(s) disclaim responsibility for any injury to people or property resulting from any ideas, methods, instructions or products referred to in the content.

Share and Cite

MDPI and ACS Style

Yu, T.; Zhao, Z.; Chen, Y.; Li, H.; Wang, Z. Dual-Loop Charge Management for Space-Based Gravitational Wave Detection. Aerospace 2025, 12, 82. https://doi.org/10.3390/aerospace12020082

AMA Style

Yu T, Zhao Z, Chen Y, Li H, Wang Z. Dual-Loop Charge Management for Space-Based Gravitational Wave Detection. Aerospace. 2025; 12(2):82. https://doi.org/10.3390/aerospace12020082

Chicago/Turabian Style

Yu, Tao, Zihan Zhao, Yongkun Chen, Huadong Li, and Zhi Wang. 2025. "Dual-Loop Charge Management for Space-Based Gravitational Wave Detection" Aerospace 12, no. 2: 82. https://doi.org/10.3390/aerospace12020082

APA Style

Yu, T., Zhao, Z., Chen, Y., Li, H., & Wang, Z. (2025). Dual-Loop Charge Management for Space-Based Gravitational Wave Detection. Aerospace, 12(2), 82. https://doi.org/10.3390/aerospace12020082

Note that from the first issue of 2016, this journal uses article numbers instead of page numbers. See further details here.

Article Metrics

Back to TopTop