Next Article in Journal
Optimization Design for Support Points of the Body-Mounted Solar Panel
Previous Article in Journal
Resource-Exploration-Oriented Lunar Rocks Monocular Detection and 3D Pose Estimation
Previous Article in Special Issue
Study on the Influence of Different Slot Sizes on the Flow Field of Transonic Compressor Rotors
 
 
Font Type:
Arial Georgia Verdana
Font Size:
Aa Aa Aa
Line Spacing:
Column Width:
Background:
Article

Improvement of a Free-Wake Model for the Aerodynamic and Aeroacoustic Analysis of a Small-Scale Two-Bladed Propeller in Hover

by
Manuel Iannotta
1,
Antonio Visingardi
2,
Domenico Quagliarella
2,
Fabrizio De Gregorio
2,
Mattia Barbarino
2 and
Alex Zanotti
1,*
1
Dipartimento di Scienze e Tecnologie Aerospaziali, Politecnico di Milano, Via La Masa 34, 20156 Milan, Italy
2
Centro Italiano Ricerche Aerospaziali, Via Maiorise, 81043 Capua, Italy
*
Author to whom correspondence should be addressed.
Aerospace 2025, 12(1), 5; https://doi.org/10.3390/aerospace12010005
Submission received: 18 November 2024 / Revised: 16 December 2024 / Accepted: 24 December 2024 / Published: 25 December 2024

Abstract

The aim of the present work is the improvement of a free-wake model for the analysis of a small-scale two-bladed propeller in hover. The simulations are carried out using a BEM approach implemented in the medium-fidelity solver RAMSYS. An acoustic validation is also performed using the developed tool ACO-FWH. The work proves that even mild discrepancies in the propeller geometry must be accounted for as their influence is not negligible, especially on the aeroacoustics of the propeller. In particular, the proper modeling of the blades enables the correct identification of the sub-harmonics of the SPL spectra. An optimization procedure based on the application of the evolutionary Genetic Algorithm is followed to identify the values of the parameters describing the dissipative and diffusive properties in the Bhagwat–Leishman vortex core model, an upgraded version of the classical Lamb–Oseen one. On average, this approach enabled the further improvement of the accuracy of the numerical model in terms of acoustic signature evaluation with respect to the one obtained by only modeling blade dissimilarities. The results obtained demonstrate the promising capabilities of a fine-tuned free-wake medium-fidelity approach to simulate the aerodynamic and acoustic details of a small-scale propeller in hover, provided the accurate geometrical modeling of the propeller and the selection of suitable parameters to be used in the wake modeling.

1. Introduction

Urban Air Mobility is, according to the EASA definition, an air-transportation system for passengers and cargo in and around urban environments. The main reason for the introduction of this innovative means of transportation lies in the fact that, according to recent projections of the United Nations, a global population of 10 billion people is estimated by 2050, 70% of which will be living in big, highly congested cities. Cities and metropolitan areas are already today powerhouses of economic growth, contributing about 60% of global gross domestic product (GDP), but they also account for about 70% of global carbon emissions and over 60% of resource use, thus representing a threat to a sustainable way of life. Therefore, UAM aims to overcome these problems by making use of the largely untapped low-altitude air space above urban landscapes and using multirotor aircraft equipped with electric propulsion (eVTOLs) that are safer, cleaner, and quieter than conventional engines.
In particular, according to EASA [1], the sustainability and social acceptance of UAM are strongly influenced by the noise generated by eVTOLs in and around the urban areas. Due to the regulations, the noise produced by flights over cities is requested to be below safety values. Therefore, its reduction becomes the most relevant constraint for the progress of this novel technology. This is the reason why, in recent years, several works, both experimental, numerical, and analytical, have been developed aimed at understanding noise pollution mechanisms related to multi-propeller systems. Full size tests are not always possible and could require a very high effort. Moreover, the investigation of scaled models in anechoic chambers or wind tunnels under monitored and controlled conditions was considered a valuable tool also for the validation of numerical simulation software.
Among the many European initiatives aimed at investigating aerodynamics and aeroacoustics of eVTOL configurations, the Group for Aeronautical Research and Technology in Europe (GARTEUR) Rotorcraft (RC) Group of Responsable, has promoted in the recent past studies related to the interactional aerodynamics and aeroacoustics of multirotor configurations. Partners from European industries, research centers, SMEs, and universities have setup consortia to put together their resources and facilities to carry out numerical and experimental research activities. In particular, the activities conducted in the GARTEUR Action Group RC/AG-26 “Noise Radiation and Propagation for Multirotor System Configurations” were devoted to the study of noise footprint related to multirotor configurations aimed at providing a comprehensive experimental database over different configurations of multi-propellers contributed by the partners. In this framework, an experimental campaign was conducted by DLR and CIRA [2] on small-scale two-bladed propellers in hover, both in isolated conditions and in tandem and co-axial configurations. The resulting database, used by the consortium to validate partners’ computational tools with different levels of fidelity, is used in the present work to provide evidence of the improvements brought to the applied free-wake model.
The aim of present work is to setup and propose a methodological approach to improve the numerical simulation of the aerodynamic behavior of the isolated benchmark propeller using a medium-fidelity method. Two aspects are investigated in particular:
  • Propeller geometry: The propeller posed some difficulties in the medium-fidelity simulations carried out in the AG-26. A closer exam of the geometry, related these problems to some geometrical differences between the two blades resulting from inaccuracies in the manufacturing process. Indeed, although all the numerical aerodynamic investigations conducted by the partners were able to correlate properly with the experimental results, discrepancies appeared instead with the aeroacoustic analysis. In particular, the simulations conducted using CFD methods provided reliable aeroacoustic results, but medium-fidelity methods did not [3]. The reason for this outcome was found in the procedure that is usually adopted to mesh the propeller geometry. The volume grids used in CFD calculations are generated directly starting from the CAD file of the geometry. In this specific case, the propeller CAD file was composed of a single body. Instead, medium-fidelity solvers need to mesh just the surface of the blades and usually do not model the hub. For this reason, the blades are seen as separate entities. Since, usually, the blades of a generic rotor should be the same, it is common practice to generate the mesh on one blade only and then replicate it for as many blades as those composing the rotor. Once the dissimilarity between the two blades, they were modeled in the simulations performed in the present work as two separate bodies, each with its own real geometry, to understand if the differences found in the partners’ numerical results during the AG-26 activities were produced by the geometrical inequality of the blades or by a limit in the simulation methodologies applied.
  • Vortex core model: A free-wake methodology was used in this work. The wake and vortex characteristics were modeled and tuned by means of a set of parameters. Their values and ranges have been investigated in the literature, mainly for cases related to helicopters. The present work aims at identifying, in an automatic way, the correct values of these parameters when the investigations are related to small-scale propellers.
Over recent years, advancements in High-Performance Computing (HPC) and computational methodologies have made the use of automated approaches possible for the improvement of numerical simulations. More specifically, an optimization procedure was built in the present work to evaluate the parameters used in the free-wake vortex core model applied in the medium-fidelity aerodynamic solver RAMSYS [4] in order to improve the simulation of the aerodynamic behavior of small-scale propellers. Finally, as a final validation step, the effects of the aerodynamic improvements to aeroacoustics are evaluated.

2. Materials and Methods

2.1. Propeller Geometry

The commercial Xoar-13x7 PJN wooden two-bladed propeller [5] was used for the investigations described in the present work. The related CAD geometry was produced by DLR via a 3D scan of the original propeller (see Figure 1).
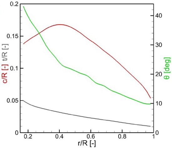
Figure 2 illustrates the blade chord, twist, and thickness distribution along the span for the reference blade, indicated in the following as Blade A. The propeller has a radius of 0.165 m and an average chord length c equal to 0.0187 m. The solidity σ is equal to 0.072 .
A detailed analysis of the propeller CAD file highlighted manufacturing inaccuracies consisting of geometrical differences between the reference Blade (Blade A) and the secondary blade (Blade B), as shown in Figure 3.
The two blades differed particularly in the tip shape. More specifically, Figure 4 highlights both an in-plane more advanced position and an out-of-plane lower position of the Blade B leading edge with respect to that of Blade A.
The investigated propeller was the object of a comprehensive experimental campaign performed in collaboration between DLR and CIRA with a combined experimental setup focused on aerodynamic interactional effects of co-axial propellers. The details are reported in the works by Yin et al. [6], De Gregorio et al. [2], and Rossignol et al. [7]. Results of the tests performed in this framework for a single propeller were considered to be a reference for the validation of the numerical methodology developed in the present work. Test results included both aerodynamic performance data acquired in terms of thrust and torque by a six-component load cell and flow field data obtained by PIV measurements. Moreover, acoustic data were obtained by a single pressure field microphone mounted on a 3-axis traversing system. Readers are referred to [2,3,8] for details on the experimental setup and early results.

2.2. Numerical Methodology

The numerical investigation was performed using CIRA’s in-house RAMSYS code [4], which is an unsteady, inviscid, and incompressible free-wake vortex lattice Boundary Element Method (BEM) solver for multirotor, multi-body configurations developed at CIRA. It is based on Morino’s boundary integral formulation for the solution of the Laplace equation for the velocity potential φ [9]. The novel formulation proposed by Gennaretti et al. [10] was applied in RAMSYS to avoid the instabilities arising in the numerical formulation when wake panels are too close to or impinge the body. Readers are referred to [4] for details on the mathematical formulation of the code.
In rotary-wing aerodynamics, tip vortices play a major role in the quantification of the blade loads. Tip vortex models used in rotor wake simulations are typically specified in terms of a 2D tangential (swirl) velocity profile. The other velocity components (the axial and radial) are small and are usually neglected in most applications. This, however, may not be a justifiable assumption at young wake ages. The challenge is to properly reproduce the vortex behavior, but little is known about its core structure and dissipative/diffusive mechanisms [11]. Vatistas introduced an analytical model for the swirl velocity V θ , as follows:
V θ = Γ V 2 π r ( r c 2 n + r 2 n ) 1 / n .
It is expressed as a function of radial distance from the vortex center and shows a direct proportionality with respect to vortex filament circulation Γ V and vortex core radius r c . A family of curves can be generated by tuning the exponent n. When n approaches + , Vatistas approximates Rankine’s swirl velocity. In this case, the vortex core is modeled as a rotating solid body, and the outer region r > r c follows the potential law [12]. It is important to observe the discontinuity produced at the vortex core radius. The exponent n = 1 represents the Kaufmann vortex [13], also known as the Scully model [14]. It exploits an algebraic formulation to solve the discontinuity observed in Rankine’s formulation. Another possibility is to have n = 2. In this case, the Vatistas model is the approximation of the Lamb–Oseen model [15,16].
To account for the vortex core growth with time, the model formulated by Bhagwat–Leishman was implemented in RAMSYS [17], in which the diffusive growth of a viscous vortex is an extension of the classic Lamb–Oseen [16] core growth model with an average apparent or eddy viscosity correction δ for the effects of self-generated turbulence. The apparent viscosity parameter, as given by Squire’s hypothesis [18], is estimated based on several sets of experimental results documenting the characteristics of trailing tip vortices [19]. In this model, the core radius growth r c is equal to:
r c ( t ) = 4 α δ ν z + z 0 V = r 0 2 + 4 α δ ν Ψ Ω .
The axial direction coordinate z 0 generally has a finite core radius size at the initial time instant t 0 and finite induced velocity. The velocity V is the velocity in the axial direction under the rotor, and it represents the convection velocity in the same direction. The formulation exploits the Oseen [15] parameter and the eddy viscosity coefficient δ . The latter one is proportional to the tip vortex circulation Γ V as follows:
δ = 1 + a 1 Γ V ν .
The term Γ V / ν is equal to the tip vortex Reynolds number R e V , while a 1 is the Squire’s empirical parameter specified to vary between 0.2 and 0.0002, as indicated in [17]. Finally, a time decay of the tip vortex circulation was considered. The exponential law suggested by Donaldson and Bilanin [20], proposed for fixed wing applications, define Γ V as:
Γ V ( t ) = Γ 0 e x p ( b q S t ) ,
where b is a decay coefficient, q represents the ambient turbulence and S is a geometrical coefficient representing wing semi-span. For practical reasons, the term b q / S is expressed in this work as a single term b 1 called decay exponent.
A characteristic of the Bhagwat–Leishman model is represented by its flexibility. Indeed, being dependent on a set of user-defined parameters, it can be finely tuned to provide, in principle, an optimal match with the experimental data, regardless of the size of the rotor or propeller investigated and its operative tip Reynolds number. As previously highlighted, the goal of this work is the introduction of a procedure for the tuning of vortex and wake models to improve the prediction capabilities of mid-fidelity methods for the investigation of propellers. Therefore, the whole procedure depends on four parameters i.e., the n exponent in the Vatistas vortex core model; the initial core size r 0 ; the Squire coefficient a 1 ; and the decay exponent b 1 , which are evaluated through an optimization procedure that will be described in Section 2.2.2.

2.2.1. Propeller Numerical Model

The geometry used in the numerical simulations does not consider the hub and models the blade from a root cut-out station set at r = 0.04 m. In order to replicate the experimental setup in the numerical investigations, the fairing of the rotor support (pylon) was also modeled (see Figure 5) as an aerodynamic surface made by Joukowsky’s airfoil sections, ensuring no flow separation at the Reynolds numbers of the investigations [6]. The chord length of the pylon is constant and equal to c p y l o n = 0.2 m along the first 51.26% of the height, then it is tapered up to a chord length equal to c p y l o n = 0.151 m at the top. The propeller axis of rotation was located 0.04 m downstream of the fairing leading edge.
The main issue regarding the propeller geometry was the difference between the two blades due to manufacturing inaccuracies. In order to build a consistent numerical setup, a suitable number of panels was applied along spanwise and chordwise directions to model accurately the different curvatures, especially approaching the tip region (see Figure 6). The surface mesh was not uniform. Indeed, a finer discretization was applied chordwise toward the leading edge and spanwise toward the blade tip.
The test condition selected for the numerical simulations is hover with a propeller angular velocity Ω equal to 10,120 rpm, which corresponds to a tip speed of V t i p = 174.86 m s . The vortex core model implemented in RAMSYS requires as input data: the Squire coefficient a 1 , the Vatistas exponent n, the decay exponent b 1 , and the initial vortex core radius non-dimensionalized with respect to chord length r 0 / c . A baseline condition of the propeller was defined by selecting as initial values for the parameters the set reported in Table 1 usually applied by CIRA for small-scale helicopter rotors simulations. These parameters were used for the sensitivity studies described in the following.
A grid sensitivity analysis was performed on the full propeller to remove any dependence on the grid. Panel methods are particularly sensitive to the aspect ratio of each panel. This was kept roughly constant and equal to 2.1 in all the discretization generated for the sensitivity analysis, from the coarse to the fine one. The resulting number of panels for the three grids is summarized in Table 2. The average propeller thrust coefficient C T computed on the last revolution for the three grids was compared to the experimental value C T e x p to evaluate the accuracy of the numerical model. In particular, the non-dimensional coefficient Δ C T calculated as Δ C T = C T C T e x p C T e x p × 100 was reported in Table 2 showing that the fine grid produced a quite accurate agreement with the experimental value. Therefore, the fine mesh was used in all the following simulations and for the optimization process.
Another important parameter affecting the results was the number of revolutions of the propeller, which was also set equal to the number of wake spirals. A sensitivity analysis was performed by considering up to 11 propeller revolutions. The average propeller thrust coefficient C T was computed for each of the last three revolutions as well as the error computed as e r r = C T i C T i 1 C T i 1 × 100 , with i being the index of the revolution number. Results of this study reported in Table 3 show that ten revolutions can be chosen as a trade-off solution between the e r r value, sufficiently small, and the computational time effort.
The time histories of the propeller thrust coefficient computed using the three grids defined in Table 2 for 10 propeller revolutions are shown in Figure 7. This representation confirmed the convergence of the solutions obtained with all the grids.
The blade azimuth angle step selected for the evolution of the free-wake Δ Ψ w was equal to 2 in all the following simulations. This term was related to the numerical scheme, and its value had to be a trade-off between truncation error and an increase in the computational time. Indeed, using a finite-difference explicit scheme to describe the evolution of the wake, an error proportional to ( Δ Ψ w ) 2 is introduced. Smaller steps were not considered due to the excessive computational time that would have been required.

2.2.2. Optimization Methodology

The goal of the optimization was to identify the most suitable combination of the wake model parameters, i.e., a 1 , b 1 , n and r 0 / c defined earlier, providing a numerical solution resembling as close as possible experimental results. In particular, two different initial core radii for Blade A ( r 0 / c ) 1 and Blade B ( r 0 / c ) 2 were considered as they are characterized by some differences in the geometry. A fitness function was defined to quantify the error between the numerical and experimental solutions. In this specific case, the fitness function was built considering the induced velocities evaluated in a vertical plane of the average flow field below the propeller disk. In particular, five crossflow profiles, i.e., at z / R = 0.1 ,   0.2 ,   0.3 ,   0.4 , and 0.5 , were selected to take into account the behavior of the wake downwash moving away from the propeller disk (see Figure 8(left)). Further downstream of z / R = 0.5 , it becomes more difficult to properly account for the vortex characteristics at higher wake ages due to a tendency of the real flow to become non-periodic [21]. For each i-th plane, the differences between the numerical and experimental vertical component of the induced velocity w were first evaluated in N points along the radial direction 0.3 x / R 0.9 (see Figure 8(right)). Therefore, the fitness function for the i-th plane was defined as:
f w i = j ( w n u m ( x / R ) w e x p ( x / R ) ) 2 N .
Finally, the global fitness function f w was then computed as:
f w = i f w i .
The properties of the identified fitness function required the use of approaches exhibiting a lower sensitivity to numerical instabilities that could occur, especially in hovering conditions, when modeling a large number of free-wake revolutions. For this reason the gradient-free methods, as the genetic algorithms, were preferred to gradient-based approaches.
The software used to solve the design optimization problem is the ADGLIB library (ADaptive Genetic algorithm LIBrary) [22]. It is an evolutionary optimization software library developed at CIRA based on the hybridization concept. ADGLIB allows the easy definition of evolutionary optimization algorithms that combine, for example, classical bit-string-based genetic algorithms (24-bit for each parameter) with hill-climbing specialized operators. The choice is motivated by the need to improve the efficiency of genetic algorithms while keeping their flexibility in searching large design spaces, thus enhancing their exploration capabilities. ADGLIB allows the definition of scalar and vectorial input/output variables and constants and is capable of performing both single and multi-objective optimization. The initial population distribution is obtained by the quasi-random low discrepancy Sobol’s sequence [23].

2.3. Acoustic Simulations

Acoustic simulations were performed for a final evaluation of the improvements obtained in the aerodynamic calculations of the propeller, taking into account the differences between the geometries of the two blades and the selection of suitable vortex core parameters by the optimization procedure. The evaluation of the aeroacoustic free-field was performed by the ACO-FWH solver based on FW-H formulation [24,25] using as input the aerodynamic solution evaluated by RAMSYS and consisting of the rotor blade pressure distributions. The advanced-time formulation of Farassat 1A [26] was employed, and the linear terms (the so-called thickness and loading noise contributions) are computed through integrals both on the moving blades surface (impermeable/rigid surface formulation) and on the fixed surfaces. The quadrupole contribution due to the nonlinear terms distributed in the perturbed field around the blade is neglected. Considering that the propeller wake strongly interacts with the pylon, it contributes to noise generation.
In the numerical analysis of the acoustic field, 16 microphones were placed in the vicinity of the test rig and reproducing the experimental setup [3]. In particular, the microphones were installed in two linear arrays, Figure 9 left, and on a circular arc of radius 0.3 m with a spacing between the microphones of 15 deg , Figure 9 right.
The acoustic results were represented in terms of spectra of the Sound Pressure Level (SPL). In order to compute them, an advanced-time formulation of the FW-H analogy was first used for computing the acoustic pressure in the time domain. The frequency-domain counterpart of the acoustic pressure was then achieved by applying the Fast Fourier Transform (FFT). According to this, the SPL is finally computed to represent the acoustic spectrum for each microphone, according to:
S P L ( f ) = 20 l o g 10 ( P r m s ( f ) P r e f )
where the reference pressure P r e f is defined as P r e f = 20 μ Pa and P r m s ( f ) is defined as:
P r m s ( f ) = | p ^ ( f ) | / ( 2 )
with | p ^ | is the module of the acoustic pressure in the frequency domain achieved with the FFT.

3. Results and Discussion

3.1. Aerodynamic Results Analysis

In this section, aerodynamic simulation results obtained by the optimization procedure are reported and compared to the ones obtained with baseline parameters as well as with experiments. The design variables for the initial vortex core size of the two blades, i.e., ( r 0 / c ) 1 for Blade A and ( r 0 / c ) 2 for Blade B, started from the same value but different values were explored since the first generation. The optimized core sizes were then obtained equal to 0.146 for ( r 0 / c ) 1 and 0.199 for ( r 0 / c ) 2 . These results were found to be in good agreement with the equivalent experimental value obtained for Blade A, i.e., around r 0 / c = 0.15. The decay coefficient b 1 trend toward optimal values showed only a mild change from baseline value, as it was found to be equal to 2.653, with an increase of 6.12 % . On the other hand, the trend observed for Vatistas coefficient n led to an optimal value of 2.28, quite higher than the baseline value equal to 1. The numerical optimization pushed a 1 Squire’s coefficient towards higher values, reaching 0.01265. This is two orders of magnitude higher than the baseline value, i.e., equal to 3 ×   10 4 . These results demonstrate that the diffusion for the original model was not sufficient, and an additional level of turbulent diffusion was then required to improve accuracy. Finally, the behavior of the fitness function (6) was reported in Figure 10. The optimization procedure provided a value of the fitness function f = 7.66 with respect to the baseline value f = 10.14.
The optimized set of parameters (Best) is reported in Table 4 and compared with baseline one.
This new set of parameters was used to perform aerodynamic simulations to assess the improvements obtained by the application of the optimization procedure. Table 5 shows the comparison of the propeller thrust coefficients obtained from simulations performed with the baseline and best vortex and wake model parameters, as well as the differences with respect to the mean experimental value.
The thrust coefficient C T obtained with best parameters differs with respect to baseline simulation value of about 0.6%, while discrepancy with the experimental is found to be Δ C T = 0.72 % . These small variations in the thrust coefficient are expected since the optimization procedure was conceived to improve the induced velocity behavior only.
Therefore, the tip vortex displacements are analyzed, both comparing geometrical characteristics of the wake vortical tube boundaries, highlighted by the tip vortex filament [27] and comparing vorticity properties using the Γ 2 method, a vortex detection criterion formulated by Graftieux et al. [28,29], to identify the vortices tracks. Figure 11 shows the comparison of the streamtubes obtained for two blades with the baseline and optimized simulations. Similarities of the two solutions up to 2–3 revolutions are apparent. In particular, the characteristics of the evolution of the baseline wake led the tip vortex filaments to diffuse rapidly, making not possible to preserve their structure. On the other hand, for the optimized simulation, the tip vortex filaments are preserved up to 10 revolutions, providing, at the same time, a clear view of the contraction and development of the streamtube.
The vortex tracks collected at several blade azimuthal phase angles Ψ b and identified using the Γ 2 method are compared in Figure 12.
The numerical trend properly approximates the experimental one for both the baseline and optimized simulations, and only slight differences can be observed. In particular, for z / R 0.5 , the baseline model does not show a good correlation with experimental results as the path of the external vortices is not visible. Furthermore, the internal path is better re-traced by the optimized set of parameters, particularly for z / R between 0.5 and 1 , whereas, for z / R 0.5 , it is not possible to identify the external path. Thus, in order to provide a clearer comparison, Figure 13 shows the comparison of the tip vortices paths obtained at two separate blade azimuthal phase angles, i.e., Ψ b = 0 and Ψ b = 30 .
For Ψ b = 0 , a couple of vortices were detected in the region included in 0.8 x / R 1 and 1 z / R 0.5 showing different characteristics both for the baseline and experimental analysis (see Figure 13a). This was not present in the numerical optimized investigation. Moreover, the same observation can be verified at different blade azimuth angles as Ψ b = 30 (see Figure 13b). In order to explain this behavior, the tip vortex filaments superimposed to the numerical flow field represented by means of vorticity magnitude contours are shown in Figure 14 for the optimized solution obtained at Ψ b = 0 and Ψ b = 30 .
In the above-mentioned region, the filaments reproduce the couple described, but the equivalent vorticity is not able to reproduce the phenomenon properly. Indeed, increasing the value of Squire’s coefficient, the turbulent diffusion increased, and the vorticity of the two vortices merged, thus not allowing the identification of two separate vortices by Graftieux’s method.
To better understand the advantages introduced by the optimization procedure, the axial velocity profiles obtained from the average flow field downstream of the propeller disk were compared at different values of z / R in Figure 15.
The axial velocity comparisons show a general global improvement obtained by optimized simulation with respect to experiments. In particular, at z / R = 0.1 , a slight improvement can be observed on the minimum value before approaching the shear layer (see Figure 15a). Neither the baseline nor the numerical optimization are able to exactly reproduce the experimental slope within the shear layer region since the former overestimates it, while the latter underestimates it. On the other hand, at z / R = 0.2 , the baseline numerical investigation can better reproduce the behavior of the curve in the shear layer region between 0.8 x / R 0.9 (see Figure 15b). The numerical optimization is not equally accurate, although, in the second half of the shear layer region, it shows a good correlation with the experimental results. In addition, for lower values of x / R , the optimized case improves the baseline solution, approximating with higher accuracy the experimental behavior from x / R = 0.4 .
For z / R = 0.4 and z / R = 0.5 , no major differences for x / R 0.7 can be appreciated as both simulations were able to reproduce with enough fidelity the experimental curve (see Figure 15c,d). Nevertheless, the baseline one shows a non-monotonic behavior in the shear layer region. In this region, the curve presents two different slopes, both far from the experimental one. On the other hand, the optimized case curves keep a smooth trend within the whole region, improving the numerical slope at the same time.
The advantages brought by the optimization procedure are more evident by comparing axial velocity profiles at z / R = 1 and x / R = 1.5 (see Figure 15e,f), as adjusting the diffusive and dissipative characteristics led to a shear layer with improved correlation to the experimental case. To better show this behavior, the first derivative of the axial velocity calculated with respect to the radial direction is compared in Figure 16 over four profiles at different z / R .
Outside the shear layer region, the numerical simulation approaches the experimental behavior with good accuracy. For slices z / R = 0.1 and z / R = 0.2 , the trend in the shear layer is reproduced correctly by both simulations (see Figure 16a,b). Nevertheless, the baseline one produces a secondary peak at x / R = 0.9 , which is not present in the experimental results. In addition, the peak is overestimated for the baseline case and underestimated for the optimized case, but generally, the optimized simulation produces more accurate results.
For slices at z / R = 1 and z / R = 1.5 (see Figure 16c,d), these advantages are more evident as the baseline is not able to follow the experimental behavior. On the other hand, the optimized numerical simulation provided a satisfying correlation to experimental results but with a translation of the shear layer toward the inner region. Nevertheless, the peak value, the shear layer width, and the axial velocity slope in this region are correctly reproduced.
Up to this stage, only the global characteristics of the flow field were considered to be the optimization procedure set to improve the averaged flow field. Considerations on the local properties of the tip vortices were then provided by comparing the tangential velocity V θ and circulation Γ v of single tip vortices. Graftieux’s Γ 2 method computes the vortex properties in the radial direction and evaluates at r = 0 the center of the identified viscous core. More specifically, the swirl velocity, the circulation, the radial velocity, and the vorticity were computed, and the first two were used to compare the numerical simulations to experimental results as they were directly influenced by the optimization parameters.
The experimental results at Ψ b = 30 were considered to be a benchmark for this quantitative comparison of vortex characteristics. Only the first two vortices below the propeller disk were considered, i.e., Vortex 1 and Vortex 2. Figure 17 shows the comparison of the V θ velocity calculated for the two vortices under investigation at Ψ b = 30 . It is clear that for both vortices, the baseline results overestimate the maximum value of the swirl velocity and underestimate the vortex core radius. On the other hand, the optimized simulation provides a better correlation with the experimental result for Vortex 1. For Vortex 2, the numerical optimized results overestimate the core radius and underestimate the swirl velocity V θ .
The tip vortex circulation Γ V comparison is reported in Figure 18. It is possible to observe that for Vortex 1, the numerical simulation shows a good agreement with experiments in terms of circulation (see Figure 18a). On the other hand, for Vortex 2, higher discrepancies with respect to experiments are also found for the optimized simulation (see Figure 18b).
This effect is mainly proven by the fact that Vortex 2 was captured with the wake age Ψ = 210 where the diffusive and dissipative properties of the wake model grew in an order of magnitudes. In particular, the vortex core radius is influenced by r 0 / c and δ parameters. The latter one is described in Equation (3) and is itself influenced by a 1 and Γ v , and then by the decay coefficient b 1 . On the one hand, b 1 was not able to change the order of magnitude for δ as the differences in the circulation were not so strong, especially at Ψ b = 30 . In addition, the optimization increased a 1 to values two orders of magnitudes higher than the baseline value. Therefore, in order to further improve the model capabilities, a second optimization procedure was performed, in which ( r 0 / c ) 1 , ( r 0 / c ) 2 , and n were kept equal to those obtained in the first optimization and limiting a 1 exponent to 3 , thus keeping this latter parameter similar to the range defined by Leishman [30]. The results of this second optimization procedure produced no change in the value of the decay coefficient with respect to the first optimization. Thus, a second set of parameters was defined as Best 2, where only the value of a 1 was changed to 2.947 ×   10 3 with respect to the Best 1 parameters values reported in Table 1. The comparison of the results obtained in terms of swirl velocity and circulation distributions between Best 1 and Best 2 solutions are reported in Figure 19 and Figure 20.
The simulation based on the Best 2 parameters shows a considerable improvement in the accuracy for both the circulation and swirl velocity distributions. In particular, the circulation for Vortex 2 was quite similar to experimental behavior, even increasing the wake age (see Figure 20b).
Table 6 and Table 7 summarize the comparison between the two vortices’ characteristics, particularly highlighting the variations D e l t a with respect to experimental values obtained by simulations in terms of vortex core radius r c and absolute peak of tangential velocity | V θ | m a x .
Results comparison shows how the Best 2 solution can improve the evaluation of both vortices’ characteristics, leading to consistently reducing the discrepancies with respect to experiments in terms of radius and swirl component peak. In Table 8, the thrust coefficient C T for the BEST 2 simulation was reported and compared with the previous analysis. Negligible differences in aerodynamic performance are obtained.
Moreover, in Figure 21, the values of δ for the Baseline, Best 1 and Best 2 are reported and compared to the experimental value and literature references [19]. The Reynolds number for the tip vortex was equal to R e V = 2.39 × 10 4 then, recalling Equation (3), it was possible to compute the effective turbulent diffusion. The Baseline simulation produced a δ = 8.17 , Best 1 was two orders of magnitudes higher ( δ = 303.26 ). The experimental and Best 2 showed no significant discrepancies. Indeed, δ was equal to 66 for the former investigation and 71.4 for the latter one. Neither the baseline nor the first optimization were able to reproduce the experimental equivalent effective turbulent diffusion. Once again, focusing on the instantaneous properties of the vortex and limiting the growth for Squire’s coefficient a 1 led to an improvement in the numerical-experimental correlation.

3.2. Acoustic Results Analysis

To also evaluate the effects of the optimization activity on the acoustic properties of the propeller, an aeroacoustic analysis was carried out using the aerodynamic solutions, namely the surface pressure distributions, obtained from the numerical simulations performed with:
  • Baseline vortex model parameters with propeller equipped with two equal Blades A (BEB);
  • Baseline vortex model parameters with propeller equipped with Blade A and Blade B (BDB);
  • Best 1 vortex model parameters with propeller equipped with Blade A and Blade B (BST1);
  • Best 2 vortex model parameters with propeller equipped with Blade A and Blade B (BST2).
Figure 22 shows the comparison with experiments [3] of the aeroacoustic spectra in terms of the SPL referring to microphones 02, 04, 07, 08, 13, and 14 as defined in Figure 9. In particular, the experimental results, published in [3], highlighted the presence of harmonics at every ( 2 k 1 ) BPF/2, now on defined as sub-harmonics, where k is an integer in the range [ 1 , + ] and BPF is the Blade Passage Frequency, i.e., equal to 337.33 Hz, defined as N B Ω R P M / 60 , where N B is the number of blades. Their presence was attributed to a noise component given by the electric motor but mainly by the dissimilarities of the two blades.
Indeed, the BEB solution produced a significant underestimation of the sub-harmonics observed for all the investigated microphones, i.e., about 20 dB lower than the experiment in the first two BPF. This result was found to be common to all the medium-fidelity solvers solutions reported in [3], whereas an accurate estimation was only obtained by high-fidelity Navier–Stokes CFD simulations. This outcome can be explained by the geometrical differences between the two blades, particularly in the tip region, thus producing tip vortices with different intensities and trailing from slightly different positions. These differences influence the flow field around the propeller, altering the interactional effects between the vortices inside the wake system and producing a non-negligible effect on the aeroacoustic signature of the propeller. In addition, it must be further stressed that in the medium-fidelity solver, the dissipative and diffusive properties of the flow are accounted for through a vortex core model, depending on a set of parameters, whose fine tuning can produce changes in the vortical properties of the wake, which, again, affects the aeroacoustics. Therefore, the disregard of the blade differences and the use of non-appropriate vortex core parameters can lead to inaccurate results. The use of a propeller with different blades, as in the BDB simulation, led to a huge improvement in the results, which are now in good agreement with the experiment. This confirms that the inaccuracy obtained by the BEB simulation was not a limit of the medium-fidelity methodology but is related to the incorrect blade geometrical modeling.
Further improvements to the accuracy of the sub-harmonics evaluation were obtained by the applications of the two optimization procedures, BST1 and BST2, as it can be clearly observed from the comparisons over all the investigated microphones. Indeed, the BDB solution generally overestimates the SPL of the first sub-harmonic by 8 dB for mic 07 (see Figure 22c) and more than 5 dB for mic 04 and 13 (see Figure 22b,e). Instead, only negligible differences with respect to experiments can be observed for both BST1 and BST2 acoustic solutions. Finally, these improvements did not influence the prediction of the SPL at the BPF, as they are more influenced by the overall propeller loading. On the other hand, even if the effects on sub-harmonics could be considered less important with respect to BPFs for the evaluation of the global SPL, the obtained improvement of the methodology must be considered valuable due to the different implications of sub-harmonics on psychoacoustic knowledge and harmonic theory [31,32].

4. Conclusions

The present work was focused on the improvement of a free-wake model for the aerodynamic and aeroacoustic analysis of a small-scale two-bladed propeller in hover. The first goal of the work was to investigate the effects on aerodynamic and acoustic computations provided by geometrical discrepancies found between the two blades of the propeller caused by manufacturing inaccuracies. In particular, the proper geometrical modeling of the blades enabled the correct identification of the sub-harmonics of the SPL spectra, demonstrating that the initial inability found in the frame of the GARTEUR AG26 project was not produced by limits in the simulation capability of the medium-fidelity solver.
A second goal consisted of improving the Bhagwat–Leishman vortex core model used in RAMSYS to accurately predict rotor wake development. The approach followed in the work was based on two consecutive sets of an optimization procedure. The first one was aimed at identifying the most sui combination of the whole parameters able to reproduce as accurately as possible the global behavior of the experimental time-average induced velocity distribution below the propeller disk. In addition, the initial core radius was found to be different for the two blades as the solution is sensitive to the geometrical differences and subsequent vortex production characteristics. The second one was performed to understand the effects of Squire’s turbulent diffusion coefficient a 1 and the decay coefficient b 1 on local characteristics of the tip vortex as the swirl velocity and related circulation. The optimization procedure exploited the evolutionary Genetic Algorithm for the selection of these parameters in their physical ranges by adjusting their value to match the diffusive and dissipative properties of the experimental data. The combined effect of the two sets of optimizations further enhanced the improvements obtained in the evaluation of the experimental sub-harmonics in the SPL spectra obtained by modeling the blade dissimilarities. The results demonstrated the promising capabilities of a fine-tuned medium-fidelity approach to simulate the aerodynamic and acoustic details of a small-scale propeller in hover in the investigated setup, provided that the accurate geometrical modeling of the propeller and the selection of suitable parameters are carried out correctly. Based on the promising results obtained by this study, a more generalized procedure is planned to be validated against test cases characterized by different rotational speeds of a single propeller in hover and particularly for multi-propeller configurations.

Author Contributions

Conceptualization, A.V., D.Q. and F.D.G.; methodology, A.V., D.Q., F.D.G. and M.B.; software, A.V., D.Q., F.D.G. and M.B.; validation, M.I., A.V. and M.B.; formal analysis, A.V., D.Q., F.D.G. and M.B.; investigation, M.I., A.Z., A.V., F.D.G. and M.B.; resources, A.V., D.Q., F.D.G. and M.B.; data curation, A.V., F.D.G. and M.B.; writing—original draft preparation, M.I. and A.Z.; writing—review and editing, A.Z., A.V., D.Q., F.D.G. and M.B.; visualization, M.I., A.V., D.Q., F.D.G. and M.B.; supervision, A.Z., A.V. and D.Q. All authors have read and agreed to the published version of the manuscript.

Funding

This research received no external funding.

Data Availability Statement

Data could be available on request to authors.

Acknowledgments

The research leading to the presented results has been addressed within the framework of the RC/AG-26 “Noise Radiation and Propagation for Multirotor System Configurations”, supported by GARTEUR.

Conflicts of Interest

The authors declare no conflicts of interest.

Abbreviations

The following abbreviations are used in this manuscript:
Rpropeller radiusm
cblade chordm
σ propeller soliditym
C T thrust coefficient-
C Q torque coefficient-
Ω Propeller speedrad/s
Ω R P M Propeller speedRPM
Γ V tip vortex circulation m 2 / s
Γ 0 initial vortex circulation m 2 / s
ν kinematic viscosity m 2 / s
R e V tip vortex Reynolds number-
r c vortex core radiusm
r 0 initial vortex core radiusm
α Lamb–Oseen coefficient-
nVatistas coefficient-
b 1 decay exponent-
a 1 Squire’s coefficient-
δ effective diffusion constantPa
ttimes
ϕ velocity potential m 2 / s
V free-stream velocitym/s
V t i p blade tip velocitym/s
V θ swirl velocitym/s
waxial velocitym/s
f w i i-th plane fitness function-
f w global fitness function-
Ψ wake agerad
Ψ b blade wake agerad
Δ Ψ w blade azimuthal revolutionrad
P r e f reference pressurePa
P pressure fluctuationsPa
P r m s root mean square of the pressure fluctuationsPa

References

  1. EASA. Study on the Societal Acceptance of Urban Air Mobility in Europe; Technical Report; EASA: Cologne, Germany, 2020. [Google Scholar]
  2. De Gregorio, F.; Rossignol, K.S.; Ceglia, G.; Yin, J. Multi-rotor Wake Interaction Characterization. In Proceedings of the 49th European Rotorcraft Forum, Bückeburg, Germany, 5–7 September 2023. [Google Scholar]
  3. Yin, J.; De Gregorio, F.; Rossignol, K.S.; Rottmann, L.; Ceglia, G.; Reboul, G.; Barakos, G.; Qiao, G.; Muth, M.; Kessler, M.; et al. Acoustic and Aerodynamic Evaluation of DLR Small-Scale Rotor Configurations within GARTEUR AG26. In Proceedings of the 49th European Rotorcraft Forum, Bückeburg, Germany, 5–7 September 2023. [Google Scholar]
  4. Visingardi, A.; D’Alascio, A.; Pagano, A.; Renzoni, P. Validation of CIRA’s Rotorcraft Aerodynamic Modelling System with DNW Experimental Data. In Proceedings of the 22nd European Rotorcraft Forum, Brighton, UK, 16–19 September 1996. [Google Scholar]
  5. Xoar. PN Wooden Propeller. Available online: https://www.xoarintl.com/rc-propellers/electric-props/PJN-Electric-Beechwood-Propeller/ (accessed on 1 November 2024).
  6. Yin, J.; Rossignol, K.S.; Rottmann, L.; Schwarz, T. Numerical studies on small rotor configurations with validation using acoustic wind tunnel data. CEAS Aeronaut. J. 2024, 15, 671–702. [Google Scholar] [CrossRef]
  7. Rossignol, K.S.; Yin, J.; De Gregorio, F.; Visingardi, A.; Ceglia, G.; Barbarino, M.; Petrosino, F. Aeroacoustics of Small Contra-Rotating Co-Axial Rotors in Hover and Forward Flight. In Proceedings of the 2024 30th AIAA/CEAS Aeroacoustics Conference, Rome, Italy, 4–7 June 2024. [Google Scholar]
  8. Rossignol, K.S.; Yin, J.; Rottmann, L. Investigation of Small-Scale Rotor Aeroacoustic in DLR’s Acoustic Wind Tunnel Braunschweig. In Proceedings of the 28th AIAA/CEAS Aeroacoustics 2022 Conference, Southampton, UK, 14–17 June 2022. [Google Scholar] [CrossRef]
  9. Morino, L. A General Theory of Unsteady Compressible Potential Aerodynamics; NASA Contractor Report; National Aeronautics and Space Administration: Washington, DC, USA, 1974. [Google Scholar]
  10. Gennaretti, M.; Bernardini, G. Novel Boundary Integral Formulation for Blade-Vortex Interaction Aerodynamics of Helicopter Rotors. AIAA J. 2007, 45, 1169–1176. [Google Scholar] [CrossRef]
  11. Widnall, S.E. The Structure and Dynamics of Vortex Filaments. Annu. Rev. Fluid Mech. 1975, 7, 141–165. [Google Scholar] [CrossRef]
  12. Rankine, W.J.M. Manual of Applied Mechanics; C. Griffen Co.: London, UK, 1858. [Google Scholar]
  13. Kaufmann, W. Über die Ausbreitung kreiszylindrischer Wirbel in zähen (viskosen) Flüssigkeiten. Ingenieur-Archiv 1962, 31, 1–9. [Google Scholar] [CrossRef]
  14. Lambert, P. Helicopter Rotor Wake Geometry and Airloads and Helicopter Rotor Wakes; Technical Report; Massachusetts Institute of Technology Cambridge Aerophysics Laboratory: Cambridge, MA, USA, 1972. [Google Scholar]
  15. Oseen, C. Über Wirbelbewegung in Einer Reibenden Flüssigkeit; Arkiv för Matematik, Astronomi och Fysik; Almqvist & Wiksell: Stockholm, Sweden, 1912; Volume 4, pp. 14–21. [Google Scholar]
  16. Lamb, H. Hydrodynamics, 6th ed.; Cambridge University Press: Cambridge, UK, 1932. [Google Scholar]
  17. Bhagwat, M.; Leishman, J.G. Generalized viscous vortex model for application to free-vortex wake and aeroacoustic calculations. In Proceedings of the 58th Annual Forum and Technology Display of the American Helicopter Society International, Montreal, QC, Canada, 11–13 June 2002. [Google Scholar]
  18. Squire, H.B. The Growth of a Vortex in Turbulent Flow. Aeronaut. Q. 1965, 16, 302–306. [Google Scholar] [CrossRef]
  19. Ramasamy, M.; Leishman, J.G. The Interdependence of Straining and Viscous Diffusion Effects on Vorticity in Rotor Flow Fields. In Proceedings of the 59th Annual Forum and Technology Display of the American Helicopter Society International, Phoenix, AZ, USA, 6–8 May 2003. [Google Scholar]
  20. Donaldson, C.; Bilanin, A.J. Vortex Wakes of Conventional Aircraft; AGARD: Neuilly sur Seine, France, 1975. [Google Scholar]
  21. Landgrebe, A.J. The Wake Geometry of a Hovering Helicopter Rotor and Its Influence on Rotor Performance. J. Am. Helicopter Soc. 1972, 17, 3–15. [Google Scholar] [CrossRef]
  22. Quagliarella, D. Aerodynamic Shape Design Using Evolutionary Computation: A Tutorial with Examples and Case Studies; American Institute of Aeronautics and Astronautics (AIAA): Reston, VA, USA, 2014; pp. 529–581. [Google Scholar]
  23. Sobol, I.M. Distribution of points in a cube and approximate evaluation of integrals. Zh. Vych. Mat. Mat. Fiz. 1967, 7, 784–802. (In Russian); USSR Comput. Maths. Math. Phys. 1967, 7, 86–112. (In English) [Google Scholar] [CrossRef]
  24. Casalino, D. An advanced time approach for acoustic analogy predictions. J. Sound Vib. 2003, 261, 583–612. [Google Scholar] [CrossRef]
  25. Casalino, D.; Barbarino, M.; Visingardi, A. Simulation of Helicopter Community Noise in Complex Urban Geometry. AIAA J. 2011, 49, 1614–1624. [Google Scholar] [CrossRef]
  26. Farassat, F. Linear Acoustic Formulas for Calculation of Rotating Blade Noise. AIAA J. 1981, 19, 1122–1130. [Google Scholar] [CrossRef]
  27. De Gregorio, F.; Rossignol, K.S.; Ceglia, G.; Yin, J. Aerodynamic and acoustic investigations of rotor-rotor wake interaction. In Proceedings of the 21st International Symposium on the Application of Laser and Imaging Techniques to Fluid Mechanics, Lisbon, Portugal, 8–11 July 2024; Volume 21, pp. 1–27. [Google Scholar] [CrossRef]
  28. Graftieaux, L.; Michard, M.; Grosjean, N. Combining PIV, POD and vortex identification algorithms for the study of unsteady turbulent swirling flows. Meas. Sci. Technol. 2001, 12, 1422. [Google Scholar] [CrossRef]
  29. De Gregorio, F.; Visingardi, A.; Iuso, G. An Experimental-Numerical Investigation of the Wake Structure of a Hovering Rotor by PIV Combined with a Γ2 Vortex Detection Criterion. Energies 2021, 14, 2613. [Google Scholar] [CrossRef]
  30. Leishman, J.G. Principles of Helicopter Aerodynamics; Cambridge University Press: New York, NY, USA, 2000; Chapter 10. [Google Scholar]
  31. Omori, K.; Kojima, H.; Kakani, R.; Slavit, D.H.; Blaugrund, S.M. Acoustic characteristics of rough voice: Subharmonics. J. Voice 1997, 11, 40–47. [Google Scholar] [CrossRef]
  32. Gwak, D.Y.; Yoon, K.; Seong, Y.; Lee, S. Application of subharmonics for active sound design of electric vehicles. J. Acoust. Soc. Am. 2014, 136, EL391–EL397. [Google Scholar] [CrossRef]
Figure 1. Original and 3D CAD scan of the Xoar-13x7 PJN propeller.
Figure 1. Original and 3D CAD scan of the Xoar-13x7 PJN propeller.
Aerospace 12 00005 g001
Figure 2. Chord, Twist and Thickness Spanwise Distribution for reference Blade A.
Figure 2. Chord, Twist and Thickness Spanwise Distribution for reference Blade A.
Aerospace 12 00005 g002
Figure 3. Geometry of Blade A (red) and Blade B (blue) overlapped.
Figure 3. Geometry of Blade A (red) and Blade B (blue) overlapped.
Aerospace 12 00005 g003
Figure 4. Comparison of Blade A and Blade B airfoil sections.
Figure 4. Comparison of Blade A and Blade B airfoil sections.
Aerospace 12 00005 g004
Figure 5. Mesh of the Pylon Geometry.
Figure 5. Mesh of the Pylon Geometry.
Aerospace 12 00005 g005
Figure 6. Mesh for Blade A (red) and Blade B (blue).
Figure 6. Mesh for Blade A (red) and Blade B (blue).
Aerospace 12 00005 g006
Figure 7. Time histories of the computed propeller thrust coefficient with different grid refinements.
Figure 7. Time histories of the computed propeller thrust coefficient with different grid refinements.
Aerospace 12 00005 g007
Figure 8. PIV flow field (left) and induced velocity profiles (right) considered to build the fitness function.
Figure 8. PIV flow field (left) and induced velocity profiles (right) considered to build the fitness function.
Aerospace 12 00005 g008
Figure 9. Microphones Setup for acoustic validation [3].
Figure 9. Microphones Setup for acoustic validation [3].
Aerospace 12 00005 g009
Figure 10. Fitness Function in the Optimization Development.
Figure 10. Fitness Function in the Optimization Development.
Aerospace 12 00005 g010
Figure 11. Tip Vortex Filament comparison for Optimized investigation.
Figure 11. Tip Vortex Filament comparison for Optimized investigation.
Aerospace 12 00005 g011
Figure 12. Vortex Track comparison for Optimized Investigation obtained by superimposing several phase-locked results.
Figure 12. Vortex Track comparison for Optimized Investigation obtained by superimposing several phase-locked results.
Aerospace 12 00005 g012
Figure 13. Vortex Track comparison obtained for two separate blade azimuthal angles.
Figure 13. Vortex Track comparison obtained for two separate blade azimuthal angles.
Aerospace 12 00005 g013
Figure 14. Tip Vortex Filament superimposed to the vorticity magnitude field for Optimized Investigation obtained for two separate blade azimuthal angles.
Figure 14. Tip Vortex Filament superimposed to the vorticity magnitude field for Optimized Investigation obtained for two separate blade azimuthal angles.
Aerospace 12 00005 g014
Figure 15. Induced Axial Velocity comparison on several horizontal profiles downstream propeller disk.
Figure 15. Induced Axial Velocity comparison on several horizontal profiles downstream propeller disk.
Aerospace 12 00005 g015
Figure 16. Induced Axial Velocity Derivative comparison on several horizontal profiles downstream propeller disk.
Figure 16. Induced Axial Velocity Derivative comparison on several horizontal profiles downstream propeller disk.
Aerospace 12 00005 g016
Figure 17. Tip Vortex Swirl Velocity comparison at Ψ b = 30 .
Figure 17. Tip Vortex Swirl Velocity comparison at Ψ b = 30 .
Aerospace 12 00005 g017
Figure 18. Tip Vortex Circulation comparison at Ψ b = 30 .
Figure 18. Tip Vortex Circulation comparison at Ψ b = 30 .
Aerospace 12 00005 g018
Figure 19. Tip Vortex Swirl Velocity comparison for Best 1 and Best 2 solutions at Ψ b = 30 .
Figure 19. Tip Vortex Swirl Velocity comparison for Best 1 and Best 2 solutions at Ψ b = 30 .
Aerospace 12 00005 g019
Figure 20. Tip Vortex Circulation comparison for Best 1 and Best 2 solutions at Ψ b = 30 .
Figure 20. Tip Vortex Circulation comparison for Best 1 and Best 2 solutions at Ψ b = 30 .
Aerospace 12 00005 g020
Figure 21. Effective Diffusion Constant δ comparison.
Figure 21. Effective Diffusion Constant δ comparison.
Aerospace 12 00005 g021
Figure 22. Comparison of SPL spectrum for different microphones.
Figure 22. Comparison of SPL spectrum for different microphones.
Aerospace 12 00005 g022
Table 1. Baseline Vortex and Wake Model Parameters used for RAMSYS simulations.
Table 1. Baseline Vortex and Wake Model Parameters used for RAMSYS simulations.
a 1 b 1 n r 0 / c
Baseline3 × 10 4 2.510.05
Table 2. Parameters of grid sensitivity analysis.
Table 2. Parameters of grid sensitivity analysis.
Chordwise PanelsSpanwise Panels Δ C T [%]
Coarse4217−7.11
Medium5021−3.07
Fine6026−0.15
Table 3. Parameters of propeller revolutions analysis.
Table 3. Parameters of propeller revolutions analysis.
C T err [%]
Rev. #90.09922-
Rev. #100.099300.08
Rev. #110.099320.02
Table 4. Baseline and optimized Vortex and Wake Model Parameters.
Table 4. Baseline and optimized Vortex and Wake Model Parameters.
a 1 b 1 n(r0/c)1(r0/c)2f
Baseline3.000 × 10 4 2.5001.000.0500.05010.14
Best1.265 × 10 2 2.6532.280.1460.1997.66
Table 5. Thrust Coefficient comparison for Optimized investigation.
Table 5. Thrust Coefficient comparison for Optimized investigation.
C T [ ] Δ C T [ % ]
Exp 0.09945 ± 0.000992 -
Base0.09930−0.15
Best0.09874−0.72
Table 6. Comparison of Vortex 1 radius r c and absolute peak of tangential velocity | V θ | m a x .
Table 6. Comparison of Vortex 1 radius r c and absolute peak of tangential velocity | V θ | m a x .
rc/c [−]Δrc/c [%] | V θ | max [ m / s ] Δ | V θ | max [ % ]
Exp0.231-25.75-
Base0.129−44.1633.84+31.42
Best0.265+14.7221.72−15.65
Best 20.203−12.1225.3−1.75
Table 7. Comparison of Vortex 2 radius r c and absolute peak of tangential velocity | V θ | m a x .
Table 7. Comparison of Vortex 2 radius r c and absolute peak of tangential velocity | V θ | m a x .
rc/c [−] Δrc/c [%] | V θ | max [ m / s ] Δ | V θ | max [ % ]
Exp0.305-21.39-
Base0.135−55.7430.07+40.58
Best0.486+59.3414.4−32.68
Best 20.327+2.2920.55−3.93
Table 8. Thrust coefficient comparison.
Table 8. Thrust coefficient comparison.
CT[−]ΔCT[%]
Exp 0.09945 ± 0.000992 -
Base0.09930−0.15
Best 10.09874−0.72
Best 20.09919−0.26
Disclaimer/Publisher’s Note: The statements, opinions and data contained in all publications are solely those of the individual author(s) and contributor(s) and not of MDPI and/or the editor(s). MDPI and/or the editor(s) disclaim responsibility for any injury to people or property resulting from any ideas, methods, instructions or products referred to in the content.

Share and Cite

MDPI and ACS Style

Iannotta, M.; Visingardi, A.; Quagliarella, D.; De Gregorio, F.; Barbarino, M.; Zanotti, A. Improvement of a Free-Wake Model for the Aerodynamic and Aeroacoustic Analysis of a Small-Scale Two-Bladed Propeller in Hover. Aerospace 2025, 12, 5. https://doi.org/10.3390/aerospace12010005

AMA Style

Iannotta M, Visingardi A, Quagliarella D, De Gregorio F, Barbarino M, Zanotti A. Improvement of a Free-Wake Model for the Aerodynamic and Aeroacoustic Analysis of a Small-Scale Two-Bladed Propeller in Hover. Aerospace. 2025; 12(1):5. https://doi.org/10.3390/aerospace12010005

Chicago/Turabian Style

Iannotta, Manuel, Antonio Visingardi, Domenico Quagliarella, Fabrizio De Gregorio, Mattia Barbarino, and Alex Zanotti. 2025. "Improvement of a Free-Wake Model for the Aerodynamic and Aeroacoustic Analysis of a Small-Scale Two-Bladed Propeller in Hover" Aerospace 12, no. 1: 5. https://doi.org/10.3390/aerospace12010005

APA Style

Iannotta, M., Visingardi, A., Quagliarella, D., De Gregorio, F., Barbarino, M., & Zanotti, A. (2025). Improvement of a Free-Wake Model for the Aerodynamic and Aeroacoustic Analysis of a Small-Scale Two-Bladed Propeller in Hover. Aerospace, 12(1), 5. https://doi.org/10.3390/aerospace12010005

Note that from the first issue of 2016, this journal uses article numbers instead of page numbers. See further details here.

Article Metrics

Back to TopTop