Twist Angle Error Statistical Analysis and Uncertain Influence on Aerodynamic Performance of Three-Dimensional Compressor Rotor
Abstract
1. Introduction
2. Twist Angle Error Definition and Statistical Modeling
2.1. Definition of Twist Angle Error
2.2. Statistical Modeling of Radial Twist Angle Error Samples
3. Uncertainty Quantification Method
3.1. Non-Intrusive Polynomial Chaos Quantification Method
3.2. Geometric Model Establishment
- (1)
- Divide the Rotor37 blade into 13 equidistant sections along the blade height (refer to the measured sections in Part 2.2) and find the stacking center of each radial section;
- (2)
- According to Equation (9), construct the integral nodes of the twist angle error and twist each radial section around the stacking center according to the corresponding integral node;
- (3)
- Restack the twisted sections to establish the Rotor37 blade geometric model with twist angle errors.
3.3. Numerical Simulation Method
4. Uncertainty Influence of Radial Twist Angle Error
4.1. Total Aerodynamic Performance Parameters
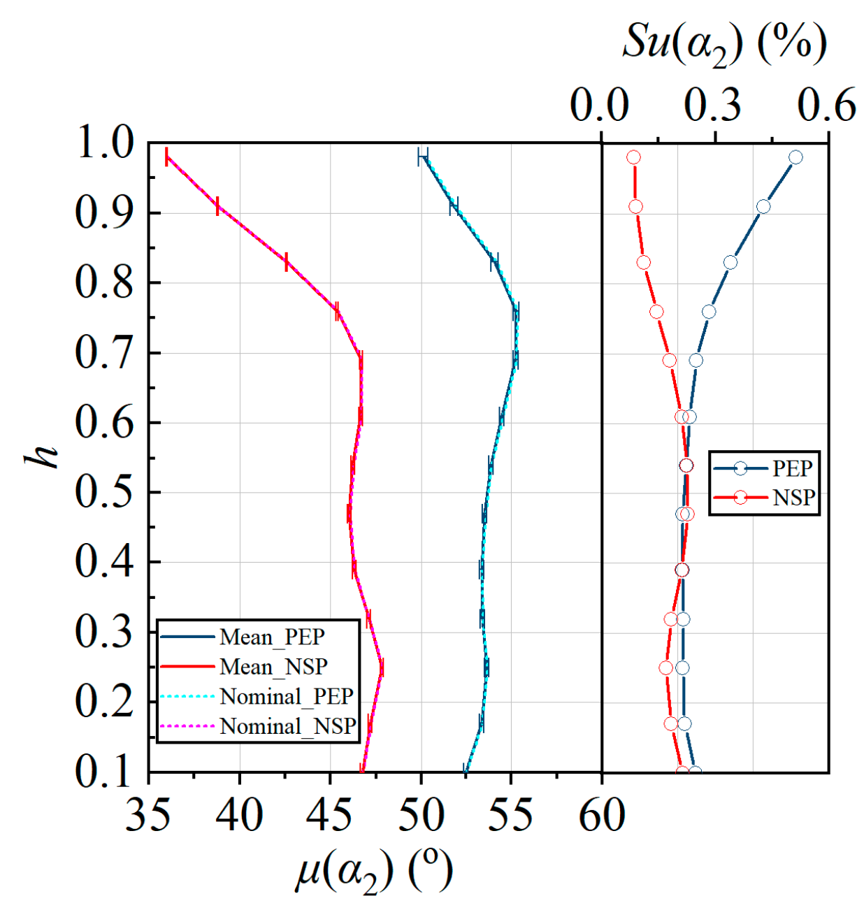
4.2. Distribution of Aerodynamic Performance Along the Radial Direction
4.3. Flow Field Distribution of Different Blade Height Sections
5. Conclusions
Author Contributions
Funding
Data Availability Statement
Conflicts of Interest
Glossary
| Nomenclature | |
| a | coefficients of NIPC |
| C | chord length/(mm) |
| h | relative blade height |
| H | blade height/mm |
| i | the number of section |
| j | the term index of NIPC |
| k | the number of sample |
| m | the total uncertain variables number |
| ma | mass flow rate/(kg/s) |
| ma,range | operating flow range/(kg/s) |
| n | the total sample number |
| q | the number of the integral node |
| Q | the term number of NIPC |
| s | order of NIPC |
| Su | sensitivity |
| SM | stability margin |
| v2 | outlet absolute velocity/(m/s) |
| w | weight of polynomial basic function |
| x | integral node of polynomial basic function |
| Y | output of a system |
| Abbreviations | |
| BP | blockage operating point |
| CFD | computational fluid dynamics |
| K-S | Kolmogorov–Smirnov |
| MC | Monte Carlo |
| NIPC | Non-intrusive polynomial chaos |
| NSP | near-stall operating point |
| PEP | peak efficiency operating point |
| S-A | Spalart–Allmaras |
| UQ | uncertainty quantification |
| Greek Symbols | |
| α2 | outflow airflow angle/(°) |
| δ | standard deviation(fitting) |
| Δθ | twist angle error/(°) |
| Δθ | twist angle error at the integral node/(°) |
| η* | isentropic efficiency |
| π* | total pressure ratio |
| μ | mean value |
| θ | stagger angle/(°) |
| σ | standard deviation(real) |
| ψ | polynomial basic function |
| Subscripts | |
| nominal | nominal blade |
| re | relative |
| real | real blade |
| y | y coordinate |
| z | z coordinate |
References
- Zhu, W.; Wang, Z.; Yamazaki, K. Machine tool component error extraction and error compensation by incorporating statistical analysis. Int. J. Mach. Tools Manuf. 2010, 50, 798–806. [Google Scholar] [CrossRef]
- Xu, L.; He, G.H.; Cai, Z.H.; Jia, D.K.; Wang, Z.B. Research on the High-Efficiency and Energy-Saving Cutting of the Aero Engine Fan Blades. Adv. Mater. Res. 2010, 154–155, 273–277. [Google Scholar] [CrossRef]
- Bolotov, M.A.; Pechenin, V.A.; Ruzanov, N.V. Uncertainties in measuring the compressor-blade profile in a gas-turbine engine. Russ. Eng. Res. 2016, 36, 1058–1065. [Google Scholar] [CrossRef]
- Liu, C.; Li, Y.; Shen, W. A real time machining error compensation method based on dynamic features for cutting force induced elastic deformation in flank milling. Mach. Sci. Technol. 2018, 22, 766–786. [Google Scholar] [CrossRef]
- Hou, Y.; Zhang, D.; Mei, J.; Zhang, Y.; Luo, M. Geometric modelling of thin-walled blade based on compensation method of machining error and design intent. J. Manuf. Process. 2019, 44, 327–336. [Google Scholar] [CrossRef]
- Lange, A.; Vogeler, K.; Gu¨mmer, V.; Schrapp, H.; Clemen, C. Introduction of a Parameter Based Compressor Blade Model for Considering Measured Geometry Uncertainties in Numerical Simulation. In Proceedings of the ASME Turbo Expo 2009: Power for Land, Sea, and Air, Orlando, FL, USA, 8–12 June 2009; pp. 1113–1123. [Google Scholar]
- Lange, A.; Voigt, M.; Vogeler, K.; Schrapp, H.; Johann, E.; Gümmer, V. Probabilistic CFD Simulation of a High-Pressure Compressor Stage Taking Manufacturing Variability Into Account. In Proceedings of the ASME Turbo Expo 2010: Power for Land, Sea, and Air, Glasgow, UK, 14–18 June 2010; pp. 617–628. [Google Scholar]
- Reitz, G.; Schlange, S.; Friedrichs, J. Design of experiments and numerical simulation of deteriorated high pressure compressor airfoils. In Proceedings of the ASME Turbo Expo 2016: Turbomachinery Technical Conference and Exposition 2016, Seoul, Republic of Korea, 13–17 June 2016. [Google Scholar]
- Zheng, S. Impact of Manufacturing Tolerance of Compressor Blade on Aerodynamic Performance. Master’s Thesis, Shanghai Jiao Tong University, Shanghai, China, 2019. (In Chinese). [Google Scholar]
- Li, Y.; Chu, W.; Ji, T. Uncertainty research of effect of blade stagger angle deviation on the performance of rotor. J. Xi’an Jiaotong Univ. 2023, 57, 49–59. (In Chinese) [Google Scholar]
- Chu, W.; He, X.; Yang, J.; Liu, K. Effects of blade single and coupling errors on axial flow compressor performance. J. Aerosp. Power 2024, 39, 20220941. (In Chinese) [Google Scholar]
- Cai, Y.; Gao, L.; Ma, C.; Zheng, T. Uncertainty quantification on compressor blade considering manufacturing error based on NIPC method. J. Eng. Thermophys. 2017, 38, 490–497. (In Chinese) [Google Scholar]
- Wang, H.; Gao, L.; Yang, G.; Huang, P.; Tang, K. Influence of manufacturing uncertainty of blunt leading edge on aerodynamic performance of compressor blade. J. Aerosp. Power 2024, 39, 176–186. (In Chinese) [Google Scholar]
- Ma, C.; Gao, L.; Wang, H.; Li, R.; Wu, B. Influence of leading edge with real manufacturing error on aerodynamic performance of high subsonic compressor cascades. Chin. J. Aeronaut. 2021, 34, 220–232. [Google Scholar] [CrossRef]
- Gao, L.; Cai, Y.; Zeng, R.; Tian, L. Effect of blade machining error on compressor cascade aerodynamic performance. J. Propuls. Technol. 2017, 38, 525–531. (In Chinese) [Google Scholar]
- Cao, C.; Li, B.; Zhai, Z.; Qiu, Y. Influence of blade profile and twist angle difference on compressor aerodynamic performance. Sci. Technol. Eng. 2019, 19, 292–298. (In Chinese) [Google Scholar]
- Suriyanarayanan, V.; Rendu, Q.; Vahdati, M.; Salles, L. Effect of Manufacturing Tolerance in Flow Past a Compressor Blade. J. Turbomach. 2021, 144, 041005. [Google Scholar] [CrossRef]
- Shi, M.; Xu, W.; Qin, C.; Xu, Y. Mathematical Statistics; Science Press: Beijing, China, 2015; p. 303. (In Chinese) [Google Scholar]
- Cai, Y. Investigation on the Aerodynamic Performance of Compressor Blade Considering Machining Error and Robust Design of Airfoil. Master’s Thesis, Northwestern Polytechnical University, Xi’an, China, 2017. (In Chinese). [Google Scholar]
- Gao, L.; Ma, C.; Cai, Y. A Robust Blade Design Method based on Non-Intrusive Polynomial Chaos Considering Profile Error. J. Therm. Sci. 2019, 28, 875–885. [Google Scholar] [CrossRef]
- Gao, L.; Ma, C.; Cai, M.; Li, R.; Wang, H.; Yang, G. Influence of uncertain inflow conditions on a subsonic compressor cascade based on wind tunnel experiment. Proc. Inst. Mech. Eng. Part C J. Mech. Eng. Sci. 2022, 236, 8285–8299. [Google Scholar] [CrossRef]
- Reid, L.; Moore, R.D. Design and Overall Performance of Four Highly Loaded, High-Speed Inlet Stages for an Advanced High-Pressure-Ratio Core Compressor. U.S. Patent NASA-TP-1337, 1 October 1978. [Google Scholar]
- Ge, J.; Liu, Y.; Lu, L. Effects of casing temperature boundary condition on performance a transonic rotor. J. Propuls. Technol. 2018, 39, 1486–1493. (In Chinese) [Google Scholar]
- Liu, J.; Zhou, Z. Study of improving surge margin for a supersonic compressor stage. J. Propuls. Technol. 2019, 40, 1780–1791. (In Chinese) [Google Scholar]
- Gao, L.; Li, X.; Feng, X.; Liu, B. The effect of tip clearance on the performance of contra-rotating compressor. In Proceedings of the ASME Turbo Expo 2012: Turbine Technical Conference and Exposition 2012, Copenhagen, Denmark, 11–15 June 2012; pp. 197–206. [Google Scholar]
- Dan, Y.; Wang, H.; Gao, L.; Huang, P.; Tang, K. Effects of twist angle error on transonic compressor blades performance. J. Propuls. Technol. 2023, 44, 89–96. (In Chinese) [Google Scholar]

















| Sectioni | 1 | 2 | 3 | 4 | 5 | 6 | 7 | 8 | 9 | 10 | 11 | 12 | 13 |
|---|---|---|---|---|---|---|---|---|---|---|---|---|---|
| Dn,i | 0.0731 | 0.0684 | 0.0607 | 0.0944 | 0.0853 | 0.0806 | 0.0911 | 0.0876 | 0.0707 | 0.0559 | 0.0476 | 0.0392 | 0.0598 |
| Parameters | Value |
|---|---|
| Blade number | 36 |
| Rotating speed/(r/min) | 17,188.7 |
| Design mass flow rate/(kg/s) | 20.19 |
| Design total pressure ratio | 2.106 |
| Tip velocity/(m/s) | 454.14 |
| Tip clearance/(mm) | 0.356 |
Disclaimer/Publisher’s Note: The statements, opinions and data contained in all publications are solely those of the individual author(s) and contributor(s) and not of MDPI and/or the editor(s). MDPI and/or the editor(s) disclaim responsibility for any injury to people or property resulting from any ideas, methods, instructions or products referred to in the content. |
© 2024 by the authors. Licensee MDPI, Basel, Switzerland. This article is an open access article distributed under the terms and conditions of the Creative Commons Attribution (CC BY) license (https://creativecommons.org/licenses/by/4.0/).
Share and Cite
Dan, Y.; Li, R.; Gao, L.; Yu, H.; Hao, Y. Twist Angle Error Statistical Analysis and Uncertain Influence on Aerodynamic Performance of Three-Dimensional Compressor Rotor. Aerospace 2024, 11, 614. https://doi.org/10.3390/aerospace11080614
Dan Y, Li R, Gao L, Yu H, Hao Y. Twist Angle Error Statistical Analysis and Uncertain Influence on Aerodynamic Performance of Three-Dimensional Compressor Rotor. Aerospace. 2024; 11(8):614. https://doi.org/10.3390/aerospace11080614
Chicago/Turabian StyleDan, Yue, Ruiyu Li, Limin Gao, Huawei Yu, and Yuyang Hao. 2024. "Twist Angle Error Statistical Analysis and Uncertain Influence on Aerodynamic Performance of Three-Dimensional Compressor Rotor" Aerospace 11, no. 8: 614. https://doi.org/10.3390/aerospace11080614
APA StyleDan, Y., Li, R., Gao, L., Yu, H., & Hao, Y. (2024). Twist Angle Error Statistical Analysis and Uncertain Influence on Aerodynamic Performance of Three-Dimensional Compressor Rotor. Aerospace, 11(8), 614. https://doi.org/10.3390/aerospace11080614

