Assessing Climate Impacts on Hydropower Production: The Case of the Toce River Basin
Abstract
:1. Introduction
2. Materials and Methods
2.1. Study Area
2.2. At-Site Bias-Corrected Climate-Scenario Forcings
2.3. The Spatially Distributed Hydrological Model
2.4. The Model of the Hydropower System
3. Results and Discussion
3.1. Performance of the FEST-WB Model in Reproducing Streamflow
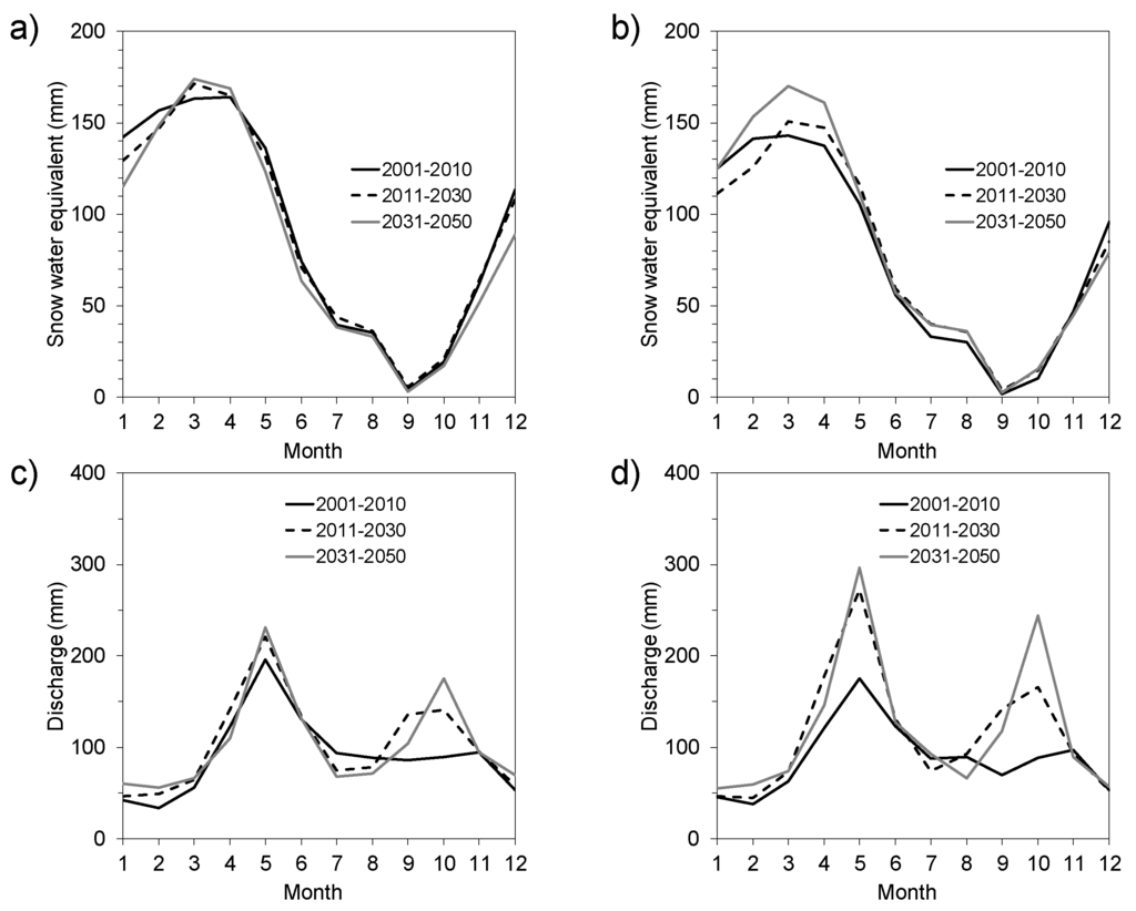
3.2. Projected Changes in Hydrological Regime
3.3. Projected Changes in Hydropower Production
4. Conclusions
Acknowledgments
Author Contributions
Conflicts of Interest
References
- IPCC. Climate Change 2013: The Physical Science Basis. Contribution of Working Group I to the Fifth Assessment Report of the Intergovernmental Panel on Climate Change; Stocker, T.F., Qin, D., Plattner, G.-K., Tignor, M., Allen, S.K., Boschung, J., Nauels, A., Xia, Y., Bex, V., Midgley, P.M., Eds.; Cambridge University Press: Cambridge, UK, 2013; p. 1535. [Google Scholar]
 - Finger, D.; Heinrich, G.; Gobiet, A.; Bauder, A. Projections of future water resources and their uncertainty in a glacierized catchment in the Swiss Alps and the subsequent effects on hydropower production during the 21st century. Water Resour. Res. 2012, 48. [Google Scholar] [CrossRef]
 - Gaudard, L.; Gilli, M.; Romerio, F. Climate change impacts on hydropower management. Water Resour. Manag. 2013, 27, 5143–5156. [Google Scholar] [CrossRef]
 - Gaudard, L.; Romerio, F.; Dalla Valle, F.; Gorret, R.; Maran, S.; Ravazzani, G.; Stoffel, M.; Volonterio, M. Climate change impacts on hydropower in the Swiss and Italian Alps. Sci. Total Environ. 2013, 493, 1211–1221,. [Google Scholar] [CrossRef] [PubMed]
 - Gaudard, L.; Romerio, F. The future of hydropower in Europe: Interconnecting climate, markets and policies. Environ. Sci. Policy 2014, 37, 172–181. [Google Scholar] [CrossRef]
 - Hill Clarvis, M.; Fatichi, S.; Allan, A.; Fuhrer, J.; Stoffel, M.; Romerio, F.; Gaudard, L.; Burlando, P.; Beniston, M.; Xoplaki, E.; et al. Governing and managing water resources under changing hydro-climatic contexts: The case of the Upper-Rhone basin. Environ. Sci. Policy 2014, 43, 56–67. [Google Scholar]
 - Beniston, M. Impacts of climatic change on water and associated economic activities in the Swiss Alps. J. Hydrol. 2012, 412, 291–296. [Google Scholar] [CrossRef]
 - Ravazzani, G.; Barbero, S.; Salandin, A.; Senatore, A.; Mancini, M. An integrated hydrological model for assessing climate change impacts on water resources of the Upper Po river basin. Water Resour. Manag. 2015, 29, 1193–1215. [Google Scholar] [CrossRef]
 - Ravazzani, G.; Ghilardi, M.; Mendlik, T.; Gobiet, A.; Corbari, C.; Mancini, M. Investigation of climate change impact on water resources for an Alpine basin in Northern Italy: Implications for evapotranspiration modeling complexity. PLoS ONE 2014, 9, e109053. [Google Scholar] [CrossRef] [PubMed]
 - Soncini, A.; Bocchiola, D.; Confortola, G.; Bianchi, A.; Rosso, R.; Mayer, C.; Lambrecht, A.; Palazzi, E.; Smiraglia, C.; Diolaiuti, G. Future hydrological regimes in the upper indus basin: A case study from a high-altitude glacierized catchment. J. Hydrometeorol. 2015, 16, 306–326. [Google Scholar] [CrossRef]
 - Barontini, S.; Grossi, G.; Kouwen, N.; Maran, S.; Scaroni, P.; Ranzi, R. Impacts of climate change scenarios on runoff regimes in the southern Alps. Hydrol. Earth Syst. Sci. Discuss. 2009, 6, 3089–3141. [Google Scholar] [CrossRef]
 - Senatore, A.; Mendicino, G.; Smiatek, G.; Kunstmann, H. Regional climate change projections and hydrological impact analysis for a Mediterranean basin in Southern Italy. J. Hydrol. 2011, 399, 70–92. [Google Scholar] [CrossRef]
 - Rabuffetti, D.; Ravazzani, G.; Corbari, C.; Mancini, M. Verification of operational Quantitative Discharge Forecast (QDF) for a regional warning system—the AMPHORE case studies in the upper Po River. Nat. Hazard. Earth Sys 2008, 8, 161–173. [Google Scholar] [CrossRef]
 - Corbari, C.; Ravazzani, G.; Martinelli, J.; Mancini, M. Elevation based correction of snow coverage retrieved from satellite images to improve model calibration. Hydrol. Earth Syst. Sci. 2009, 13, 639–649. [Google Scholar] [CrossRef]
 - Montaldo, N.; Mancini, M.; Rosso, R. Flood hydrograph attenuation induced by a reservoir system: Analysis with a distributed rainfall-runoff model. Hydrol. Process. 2004, 18, 545–563. [Google Scholar] [CrossRef]
 - Jacob, D. A note to the simulation of the annual and inter-annual variability of the water budget over the Baltic Sea drainage basin. Meteorol. Atmos. Phys. 2001, 77, 61–73. [Google Scholar] [CrossRef]
 - Pal, J.S.; Giorgi, F.; Bi, X.; Elguindi, N.; Solmon, F.; Gao, X.J.; Francisco, R.; Zakey, A.; Winter, J.; Ashfaq, M.; et al. Regional climate modeling for the developing world: The ICTP RegCM3 and RegCNET. Bull. Am. Met. Soc. 2007, 88, 1395–1409. [Google Scholar]
 - Roeckner, E.; Baeuml, G.; Bonaventura, L.; Brokopf, R.; Esch, M.; Giorgetta, M.; Hagemann, S.; Kirchner, I.; Kornblueh, L.; Manzini, E.; et al. The Atmospheric General Circulation Model ECHAM5. Part 1: Model Description; Max Planck Institute for Meteorology (MPI): Hamburg, Germany, 2003. [Google Scholar]
 - Heinrich, G.; Gobiet, A.; Prein, A.F. Uncertainty of Regional Climate Simulations in the Alpine Region; University of Graz: Graz, Austria, 2011; p. 59. [Google Scholar]
 - Degu, A.M.; Hossain, F.; Niyogi, D.; Pielke, R.; Shepherd, J.M.; Voisin, N.; Chronis, T. The influence of large dams on surrounding climate and precipitation patterns. Geophys. Res. Lett. 2011, 38. [Google Scholar] [CrossRef]
 - Destouni, G.; Jaramillo, F.; Prieto, C. Hydroclimatic shifts driven by human water use for food and energy production. Nat. Clim. Chang. 2013, 3, 213–217. [Google Scholar] [CrossRef]
 - Jaramillo, F.; Destouni, G. Local flow regulation and irrigation raise global human water consumption and footprint. Science 2015, 350, 1248–1251. [Google Scholar] [CrossRef] [PubMed]
 - Dettinger, M.D.; Cayan, D.R.; Meyer, M.K.; Jeton, A.E. Simulated hydrologic responses to climate variations and change in the Merced, Carson, and American river basins, Sierra Nevada, California, 1900–2099. Clim. Chang. 2004, 62, 283–317. [Google Scholar] [CrossRef]
 - Piani, C.; Haerter, J.O.; Coppola, E. Statistical bias correction for daily precipitation in regional climate models over Europe. Theor. Appl. Climatol. 2010, 99, 187–192. [Google Scholar] [CrossRef]
 - Themeßl, M.J.; Gobiet, A.; Heinrich, G. Empirical-statistical downscaling and error correction of regional climate models and its impact on the climate change signal. Clim. Chang. 2012, 112, 449–468. [Google Scholar] [CrossRef]
 - Wood, A.; Leung, L.R.; Sridhar, V.; Lettenmaier, D.P. Hydrologic implications of dynamical and statistical approaches to downscaling climate outputs. Clim. Chang. 2004, 62, 189–216. [Google Scholar] [CrossRef]
 - Reichle, R.H.; Koster, R.D. Bias reduction in short records of satellite soil moisture. Geophys. Res. Lett. 2004, 31. [Google Scholar] [CrossRef]
 - Déqué, M. Frequency of precipitation and temperature extremes over France in an anthropogenic scenario: Model results and statistical correction according to observed values. Glob. Planet. Chang. 2007, 57, 16–26. [Google Scholar] [CrossRef]
 - Boé, J.; Terray, L.; Habets, F.; Martin, E. Statistical and dynamical downscaling of the Seine basin climate for hydro-meteorological studies. Int. J. Climatol. 2007, 27, 1643–1655. [Google Scholar] [CrossRef]
 - Amengual, A.; Homar, V.; Romero, R.; Alonso, S.; Ramis, C. A statistical adjustment of regional climate model outputs to local scales: Application to Platja de Palma, Spain. J. Clim. 2012, 25, 939–957. [Google Scholar] [CrossRef]
 - Wilks, D.S. Statistical Methods in Atmospheric Science; Academic Press: San Diego, CA, USA, 1995. [Google Scholar]
 - Themeßl, M.; Gobiet, A.; Leuprecht, A. Empirical-statistical downscaling and error correction of daily precipitation from regional climate models. Int. J. Climatol. 2011, 31, 1530–1544. [Google Scholar] [CrossRef]
 - Wilcke, R.A.; Mendlik, T.; Gobiet, A. Multi-variable error correction of regional climate models. Clim. Chang. 2013, 120, 871–887. [Google Scholar] [CrossRef]
 - Pianosi, F.; Ravazzani, G. Assessing rainfall-runoff models for the management of Lake Verbano. Hydrol. Process. 2010, 24, 3195–3205. [Google Scholar] [CrossRef]
 - Ravazzani, G. MOSAICO, a library for raster based hydrological applications. Comput. Geosci. 2013, 51, 1–6. [Google Scholar] [CrossRef]
 - Chow, V.T.; Maidment, D.R.; Mays, L.W. Applied Hydrology; McGraw-Hill: New York, NY, USA, 1988. [Google Scholar]
 - Bacchi, B.; Ranzi, R. Hydrological and meteorological aspects of floods in the Alps: An overview. Hydrol. Earth Syst. Sci. 2003, 7, 784–798. [Google Scholar] [CrossRef]
 - Montaldo, N.; Ravazzani, G.; Mancini, M. On the prediction of the Toce alpine basin floods with distributed hydrologic models. Hydrol. Process. 2007, 21, 608–621. [Google Scholar] [CrossRef]
 - Ravazzani, G.; Mancini, M.; Giudici, I.; Amadio, P. Effects of soil moisture parameterization on a real- time flood forecasting system based on rainfall thresholds. IAHS Publ. 2007, 313, 407–416. [Google Scholar]
 - Ravazzani, G.; Mancini, M.; Meroni, C. Design hydrograph and routing scheme for flood mapping in a dense urban area. Urban. Water J. 2009, 6, 221–231. [Google Scholar] [CrossRef]
 - Ravazzani, G.; Rametta, D.; Mancini, M. Macroscopic Cellular Automata for groundwater modelling: A first approach. Environ. Model. Softw. 2011, 26, 634–643. [Google Scholar] [CrossRef]
 - Ravazzani, G.; Corbari, C.; Morella, S.; Gianoli, P.; Mancini, M. Modified Hargreaves-Samani equation for the assessment of reference evapotranspiration in Alpine river basins. J. Irrig. Drain. Eng. 2012, 138, 592–599. [Google Scholar] [CrossRef]
 - Ravazzani, G.; Gianoli, P.; Meucci, S.; Mancini, M. Indirect estimation of design flood in urbanized river basins using a distributed hydrological model. J. Hydrol. Eng. 2012, 19, 235–242. [Google Scholar] [CrossRef]
 - Ceppi, A.; Ravazzani, G.; Salandin, A.; Rabuffetti, D.; Montani, A.; Borgonovo, E.; Mancini, M. Effects of temperature on flood forecasting: Analysis of an operative case study in Alpine basins. Nat. Hazards Earth Syst. Sci. 2013, 13, 1051–1062. [Google Scholar] [CrossRef]
 - Boscarello, L.; Ravazzani, G.; Rabuffetti, D.; Mancini, M. Integrating glaciers dynamics raster based modelling in large catchments hydrological balance: the Rhone case study. Hydrol. Process. 2014, 28, 496–508. [Google Scholar] [CrossRef]
 - Guégan, M.; Uvo, C.B.; Madani, K. Developing a module for estimating climate warming effects on hydropower pricing in California. Energy Policy 2012, 42, 261–271. [Google Scholar] [CrossRef]
 - Pardo, A.; Meneu, V.; Valor, E. Temperature and seasonality influences on Spanish electricity load. Energy Econ. 2002, 24, 55–70. [Google Scholar] [CrossRef]
 - Labadie, J.W. Optimal operation of multireservoir systems: State-of-the-art review. J. Water Res. Plan Mang. ASCE 2004, 130, 93–111. [Google Scholar] [CrossRef]
 - Mészáros, C. Fast Cholesky factorization for interior point methods of linear programming. Comput. Math. Appl. 1996, 31, 49–51. [Google Scholar] [CrossRef]
 - Gaudard, L. Pumped-storage project: A short to long term investment analysis including climate change. Renew. Sustain. Energy Rev. 2015, 49, 91–99. [Google Scholar] [CrossRef]
 - Gaudard, L.; Gabbi, J.; Bauder, A.; Romerio, F. Long-term uncertainty of hydropower revenue due to climate change and electricity prices. Water Resour. Manag. 2016, 30, 1325–1343. [Google Scholar] [CrossRef]
 - Hallegatte, S.; Shah, A.; Lempert, R.; Brown, C.; Gill, S. Investment Decision Making under Deep Uncertainty—Application to Climate Change; Word Bank: Washington, DC, USA, 2012. [Google Scholar]
 - Fatichi, S.; Rimkus, S.; Burlando, P.; Bordoy, R.; Molnar, P. High-resolution distributed analysis of climate and anthropogenic changes on the hydrology of an Alpine catchment. J. Hydrol. 2015, 525, 362–382. [Google Scholar] [CrossRef]
 










| Id | Power Plant | 
|---|---|
| 1 | Villa Toce | 
| 2 | Calice | 
| 3 | Crevola Toce | 
| 4 | Crevola Diveria | 
| 5 | Varzo 1 Diveria | 
| 6 | Varzo 1 Cairasca | 
| 7 | Varzo 2 | 
| 6 | Crego | 
| 9 | Verampio | 
| 10 | Goglio Agaro | 
| 11 | Goglio Devero | 
| 12 | Devero | 
| 13 | Cadarese | 
| 14 | Fondovalle | 
| 15 | Ponte Vannino | 
| 16 | Ponte Morasco | 
| 17 | Ponte Toggia | 
| 18 | Morasco | 
| Period | Model | T (°C) | P (mm) | 
|---|---|---|---|
| 2001–2010 | REMO | 4.06 | 1399.25 | 
| RegCM3 | 4.09 | 1339.04 | |
| 2011–2030 | REMO | 4.59 | 1612.50 | 
| RegCM3 | 4.59 | 1782.31 | |
| 2031–2050 | REMO | 5.29 | 1645.26 | 
| RegCM3 | 5.13 | 1876.17 | 
© 2016 by the authors; licensee MDPI, Basel, Switzerland. This article is an open access article distributed under the terms and conditions of the Creative Commons by Attribution (CC-BY) license (http://creativecommons.org/licenses/by/4.0/).
Share and Cite
Ravazzani, G.; Dalla Valle, F.; Gaudard, L.; Mendlik, T.; Gobiet, A.; Mancini, M. Assessing Climate Impacts on Hydropower Production: The Case of the Toce River Basin. Climate 2016, 4, 16. https://doi.org/10.3390/cli4020016
Ravazzani G, Dalla Valle F, Gaudard L, Mendlik T, Gobiet A, Mancini M. Assessing Climate Impacts on Hydropower Production: The Case of the Toce River Basin. Climate. 2016; 4(2):16. https://doi.org/10.3390/cli4020016
Chicago/Turabian StyleRavazzani, Giovanni, Francesco Dalla Valle, Ludovic Gaudard, Thomas Mendlik, Andreas Gobiet, and Marco Mancini. 2016. "Assessing Climate Impacts on Hydropower Production: The Case of the Toce River Basin" Climate 4, no. 2: 16. https://doi.org/10.3390/cli4020016
APA StyleRavazzani, G., Dalla Valle, F., Gaudard, L., Mendlik, T., Gobiet, A., & Mancini, M. (2016). Assessing Climate Impacts on Hydropower Production: The Case of the Toce River Basin. Climate, 4(2), 16. https://doi.org/10.3390/cli4020016
        
                                                
