Consecutive Application of Biogas Slurry Improved the Cumulative Nitrogen Use Efficiency by Regulating the Soil Carbon Pool
Abstract
1. Introduction
2. Results and Analysis
2.1. Effects of the Consecutive Partial Substitution of Chemical Nitrogen Fertilizer with Biogas Slurry on Wheat Yield and Its Components
2.2. Effects of Consecutive Partial Substitution of Chemical Nitrogen Fertilizer with Biogas Slurry on Wheat Cumulative Nitrogen Use Efficiency
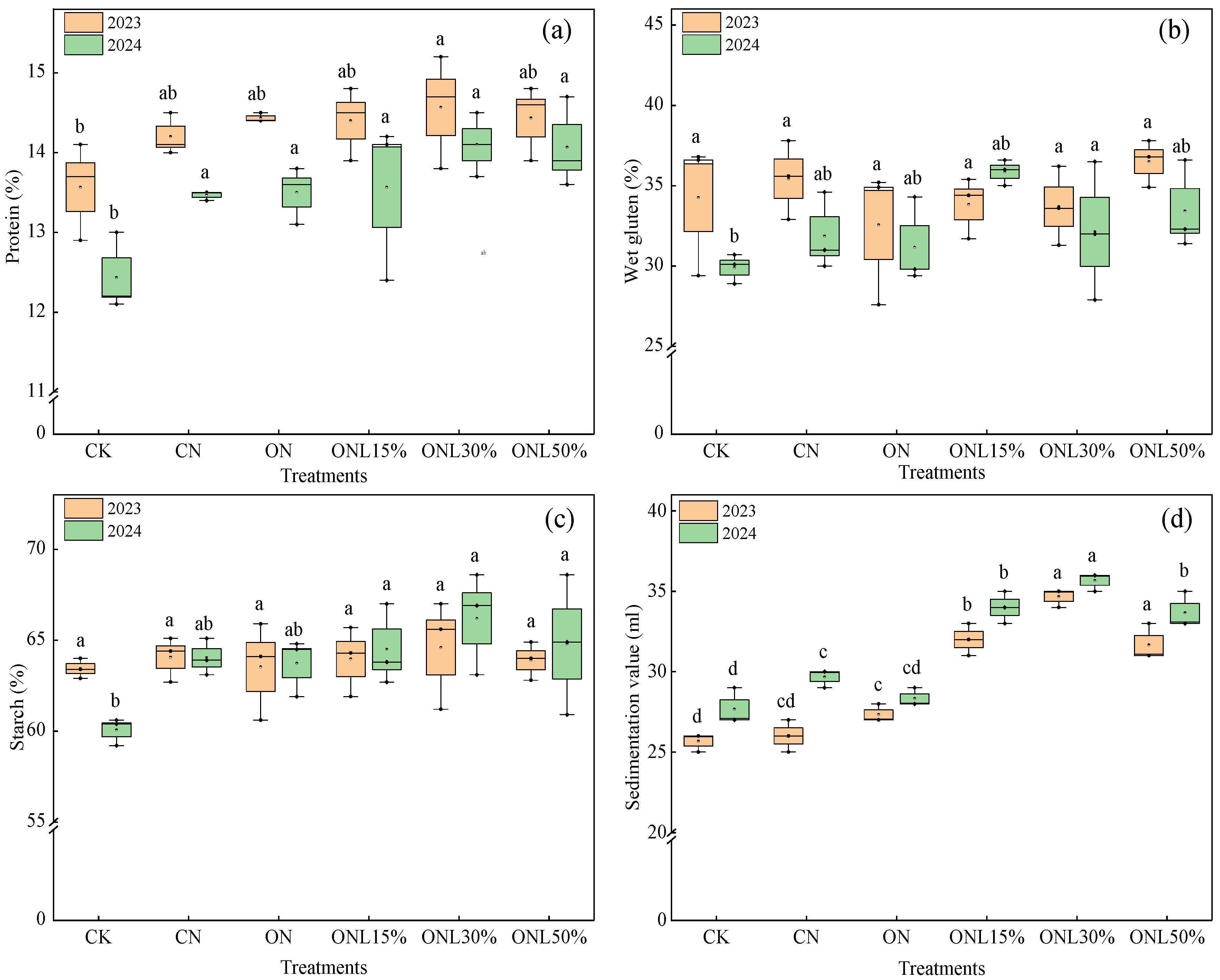
2.3. Effects of Consecutive Partial Substitution of Chemical Nitrogen Fertilizer with Biogas Slurry on Wheat Quality and Heavy Metal Element Content
2.4. Effects of Consecutive Partial Substitution of Chemical Nitrogen Fertilizer with Biogas Slurry on Soil Quality
2.5. Effects of Consecutive Partial Substitution of Chemical Nitrogen Fertilizer with Biogas Slurry on Soil CPMI and the Contents of Soil Organic Carbon and Its Active Portion
2.6. Correlation of Soil CPMI with Yield, Quality, and Cumulative Nitrogen Use Efficiency in Wheat and Soil Fertility
3. Discussion
3.1. Effect of Substituting Chemical Nitrogen Fertilizer with Biogas Slurry on Wheat Yield, Quality, and Cumulative Nitrogen Use Efficiency
3.2. Effects of Substituting Chemical Fertilizer with Biogas Slurry on the Soil Physicochemical Properties and Heavy Metal Elements
3.3. Effects of Substituting Chemical Nitrogen Fertilizer with Biogas Slurry on the Contents of Soil Organic Carbon and Its Active Portion and Carbon Pool Management Properties
4. Materials and Methods
4.1. Experimental Field
4.2. Experimental Design
4.3. Determinations and Methods
4.3.1. Sampling and Determinations
4.3.2. Calculation of Indicators
4.4. Data Analysis
5. Conclusions
Author Contributions
Funding
Data Availability Statement
Conflicts of Interest
References
- Steinfeld, H.; Wassenaar, T.; Jutzi, S. Livestock production systems in Developing countries: Status, drivers, trends. Rev. Sci. Tech. Off. Int. Epiz. 2006, 25, 505–516. [Google Scholar] [CrossRef]
- Du, H.Y.; Gao, W.X.; Li, J.J.; Shen, S.Z.; Wang, F.; Fu, L.; Zhang, K.Q. Effects of digested biogas slurry application mixed with irrigation water on nitrate leaching during wheat-maize rotation in the North China Plain. Agric. Water Manag. 2019, 213, 882–893. [Google Scholar] [CrossRef]
- Bosch-Serra, À.D.; Yagüe, M.R.; Poch, R.M.; Molner, M.; Junyent, B.; Boixadera, J. Aggregate strength in calcareous soil fertilized with pig slurries. Eur. J. Soil Sci. 2017, 68, 449–461. [Google Scholar] [CrossRef]
- Nkoa, R. Agricultural benefits and environmental risks of soil fertilization with anaerobic digestates: A review. Agron. Sustain. Dev. 2014, 34, 473–492. [Google Scholar] [CrossRef]
- Gerber, P.J.; Uwizeye, A.; Schulte, R.; Opio, C.; Boer, I. Nutrient use efficiency: A valuable approach to benchmark the sustainability of nutrientuse in global livestock production? Curr. Opin. Environ. Sustain. 2014, 9, 122–130. [Google Scholar] [CrossRef]
- Wang, X.; Zhang, J.; He, K.; Li, W.J. Place attachment, environmental cognition and organic fertilizer adoption of farmers: Evidence from rural China. Environ. Sci. Pollut. Res. 2021, 28, 41255–41267. [Google Scholar] [CrossRef] [PubMed]
- Caterino, D.; Follador, A.; Galbusera, J.; Guffanti, D.; Cocetta, G.; Geuna, F.; Dell’ Orto, M.; Scaglia, B.; Passera, A.; Riva, E.; et al. Evolution of Biogenic Nitrogen from Digestates for Lettuce Fertilization and the Effect on the Bacterial Community. Horticulturae 2024, 10, 685. [Google Scholar] [CrossRef]
- Ferdous, Z.; Ullah, H.; Datta, A.; Attia, A.; Rakshit, A.; Molla, S.H. Application of biogas slurry in combination with chemical fertilizer enhances grain yield and profitability of maize. Commun. Soil Sci. Plant Anal. 2020, 51, 2501–2510. [Google Scholar] [CrossRef]
- Yang, W.; Cheng, Y.; Wu, X.; Zhou, J.; Liu, X. Effects of Combined Application of Biogas Slurry and Chemical Fertilizers on Silage Corn, Soil Nutrients, and Microorganisms. Microorganisms 2024, 13, 2. [Google Scholar] [CrossRef]
- Sa, Q.; Zheng, J.; Zhang, K.; Wang, Y. Effects and assessment of the combined application of biogas slurry and chemical fertilizers on greenhouse tomato growth, yield, and soil quality. Sci. Hortic. 2025, 344, 114113. [Google Scholar] [CrossRef]
- Pan, J.; Shen, J.; Zhou, Z.; Xin, Y.; Huang, Z.; Xiong, J.; Liu, Y.; Cui, X.; Liu, Y. Sustainable Management of Biogas Slurry Discharge in Biogas Engineering: As a Chemical Fertilizer Substitute for Garlic Cultivation. BioResources 2025, 20, 790–808. [Google Scholar] [CrossRef]
- Chen, Z.; Wang, Q.; Ma, J.; Chapman, S.; Zou, P.; Ye, J.; Yu, Q.; Sun, W.; Lin, H.; Jiang, L. Soil microbial activity and community composition as influenced by application of pig biogas slurry in paddy field in southeast China. Paddy Water Environ. 2020, 18, 15–25. [Google Scholar] [CrossRef]
- Abubaker, J.; Cederlund, H.; Arthurson, V.; Pell, M. Bacterial community structure and microbial activity in different soils amended with biogas residues and cattle slurry. Appl. Soil. Ecol. 2013, 72, 171–180. [Google Scholar] [CrossRef]
- Müller, C.; Laughlin, R.J.; Christie, P.; Watson, C.J. Effects of repeatedfertilizer and cattle slurry applications over 38 years on N dynamics in a temperate grassland soil. Soil. Biol. Biochem. 2011, 43, 1362–1371. [Google Scholar] [CrossRef]
- Nannen, D.U.; Herrmann, A.; Loges, R.; Dittert, K.; Taube, F. Recovery of mineral fertiliser N and slurry N in continuous silage maize using the 15N and difference methods. Nutr. Cycl. Agroecosyst. 2011, 89, 269–280. [Google Scholar] [CrossRef]
- Lalor, S.T.J.; Schröder, J.J.; Lantinga, E.A.; Oenema, O.; Kirwan, L.; Schulte, R.P.O. Nitrogen fertilizer replacement value of cattle slurry in grassland as affected by method and timing of application. J. Environ. Qual. 2011, 40, 362–373. [Google Scholar] [CrossRef] [PubMed]
- Manyi-Loh, C.E.; Mamphweli, S.N.; Meyer, E.L.; Makaka, G.; Simon, M.; Okoh, A.I. An Overview of the control of bacterial pathogens in cattle manure. Int. J. Environ. Res. Public Health 2016, 13, 843. [Google Scholar] [CrossRef]
- Tang, Y.; Wang, L.; Carswell, A.; Misselbrook, T.; Shen, J.; Han, J. Fate and transfer of heavy metals following repeated biogas slurry application in a rice-wheat crop rotation. J. Environ. Manag. 2020, 270, 110938. [Google Scholar] [CrossRef]
- Rietz, D.N.; Haynes, R.J. Effects of irrigation-induced salinity and sodicity on soil microbial activity. Soil Biol. Biochem. 2003, 35, 845–854. [Google Scholar] [CrossRef]
- MacBean, N.; Peylin, P. Agriculture and the global carbon cycle. Nature 2014, 515, 351–352. [Google Scholar] [CrossRef]
- Lefroy, R.D.B.; Blair, G.J.; Strong, W.M. Changes in soil organic matter with cropping as measured by organic carbon fractions and 13C natural isotope abundance. In Proceedings of the Plant Nutrition—from Genetic Engineering to Field Practice: Proceedings of the Twelfth International Plant Nutrition Colloquium, Perth, Australia, 21–26 September 1993; pp. 551–554. [Google Scholar] [CrossRef]
- Haynes, R.J. Labile Organic Matter Fractions as Central Components of the Quality of Agricultural Soils: An Overview. Adv. Agron. 2005, 85, 221–268. [Google Scholar] [CrossRef]
- Yin, D.; Qin, J.; Wang, B.; Chen, D.; Dai, Z.; Niu, X.; Zhu, J.; Zhang, F. Comprehensive Evaluation of Biogas Slurry Fertility: A Study Based on the Effects of Biogas Slurry Irrigation on Soil Microorganisms and Enzyme Activities in Winter Wheat Fields. Microorganisms 2025, 13, 2054. [Google Scholar] [CrossRef]
- Jiang, H.; Han, X.; Zou, W.; Hao, X.; Zhang, B. Seasonal and long-term changes insoil physical properties and organic carbon fractions as affected by manure application rates in the Mollisol region of northeast China. Agric. Ecosyst. Environ. 2018, 268, 133–143. [Google Scholar] [CrossRef]
- Huang, S.; Rui, W.; Peng, X.; Huang, Q.; Zhang, W. Organic carbon fractions affected by long-term fertilization in a subtropical paddy soil. Nutr. Cycl. Agroecosyst. 2010, 86, 153–160. [Google Scholar] [CrossRef]
- Xia, L.; Lam, S.K.; Yan, X.; Chen, D. How Does Recycling of Livestock Manure in Agroecosystems Affect Crop Productivity, Reactive Nitrogen Losses, and Soil Carbon Balance? Environ. Sci. Technol. 2017, 51, 7450–7457. [Google Scholar] [CrossRef]
- Piao, S.; Fang, J.; Ciais, P.; Peylin, P.; Huang, Y.; Sitch, S.; Wang, T. The carbon balance of terrestrial ecosystems in China. Nature 2009, 458, 1009–1013. [Google Scholar] [CrossRef]
- Menšík, L.; Hlisnikovský, L.; Pospíšilová, L.; Kunzová, E. The effect ofapplication of organic manures and mineral fertilizers on the state of soil organic matter and nutrients in the long-term field experiment. J. Soils Sediments 2018, 18, 2813–2822. [Google Scholar] [CrossRef]
- Song, X.; Liu, S.; Liu, Q.; Zhang, W.; Hu, C. Carbon sequestration in soil humic substances under long-term fertilization in a wheat-maize systemfrom north China. J. Integr. Agric. 2014, 13, 562–569. [Google Scholar] [CrossRef]
- Rahaman, M.A.; Zhang, Q.; Shi, Y.; Zhan, X.; Li, G. Biogas slurry application could potentially reduce N2O emissions and increase crop yield. Sci. Total Environ. 2021, 778, 146269. [Google Scholar] [CrossRef]
- Gil, M.V.; Carballo, M.T.; Calvo, L.F. Fertilization of maize with compost from cattle manure supplemented with additional mineral nutrients. Waste Manag. 2008, 28, 1432–1440. [Google Scholar] [CrossRef]
- Sasada, Y.; Win, K.T.; Nonaka, R.; Win, A.T.; Toyota, K.; Motobayashi, T.; Hosomi, M.; Chen, D.; Lu, J. Methane and N2O emissions, nitrate concentrations of drainage water, and zinc and copper uptake by rice fertilized with anaerobically digested cattle or pig slurry. Biol. Fertil. Soils 2011, 47, 949–956. [Google Scholar] [CrossRef]
- García-Díaz, A.; Bienes, R.; Sastre, B.; Novara, A.; Gristina, L.; Cerdà, A. Nitrogen losses in vineyards under different types of soil groundcover. A field runoff simulator approach in central Spain. Agric. Ecosyst. Environ. 2017, 236, 256–267. [Google Scholar] [CrossRef]
- Guo, C.; Li, P.; Lu, J.; Ren, T.; Cong, R.; Li, X. Application of controlled-release urea in rice: Reducing environmental risk while increasing grain yield and improving nitrogen use efficiency. Commun. Soil. Sci. Plant Anal. 2016, 47, 1176–1183. [Google Scholar] [CrossRef]
- Geng, Y.; Cao, G.; Wang, L.; Wang, S. Effects of equal chemical fertilizer substitutions with organic manure on yield, dry matter, and nitrogen uptake of spring maize and soil nitrogen distribution. PLoS ONE 2019, 14, e0219512. [Google Scholar] [CrossRef]
- Liu, J.; Shu, A.; Song, W.; Shi, W.; Li, M.; Zhang, W.; Li, Z.; Liu, G.; Yuan, F.; Zhang, S.; et al. Long-term organic fertilizer substitution increases rice yield by improving soil properties and regulating soil bacteria. Geoderma 2021, 404, 115287. [Google Scholar] [CrossRef]
- Yosefi, K.; Galavi, M.; Ramrodi, M.; Mousavi, S.R. Effect of Bio-phosphate and Chemical Phosphorus Fertilizer Accompanied with Foliar Application of Micronutrients on Yield, Quality and Phosphorus and Zinc Concentration of Maize. J. Agric. Sci. 2011, 3, 22–29. [Google Scholar] [CrossRef]
- Ma, J.; Zhu, H.; Fan, M. Distribution of heavy metals in pig farm biogas residues and the safety and feasibility assessment of biogas fertilizer. Int. J. Agric. Biol. Eng. 2013, 6, 35–43. [Google Scholar] [CrossRef]
- Song, W.; Shu, A.; Liu, J.; Shi, W.; Li, M.; Zhang, W.; Li, Z.; Liu, G.; Yuan, F.; Zhang, S.; et al. Effects of long-term fertilization with different substitution ratios of organic fertilizer on paddy soil. Pedosphere 2022, 32, 637–648. [Google Scholar] [CrossRef]
- Guo, J.H.; Liu, X.J.; Zhang, Y.; Shen, J.L.; Han, W.X.; Zhang, W.F.; Christie, P.; Goulding, K.W.T.; Vitousek, P.M.; Zhang, F.S. Significant acidification in major Chinese croplands. Science 2010, 327, 1008–1010. [Google Scholar] [CrossRef]
- Roelcke, M.; Han, Y.; Schleef, K.H.; Zhu, J.-G.; Liu, G.; Cai, Z.-C.; Richter, J. Recent trends and recommendations for nitrogen fertilization in intensive agriculture in Eastern China. Pedosphere 2004, 14, 449–460. [Google Scholar]
- Dinesh, R.; Srinivasan, V.; Hamza, S.; Manjusha, A. Short-term incorporation of organic manures and biofertilizers influences biochemical and microbial characteristics of soils under an annual crop [Turmeric (Curcuma longa L.)]. Bioresour. Technol. 2010, 101, 4697–4702. [Google Scholar] [CrossRef]
- Hou, Q.; Ni, Y.; Huang, S.; Zuo, T.; Wang, J.; Ni, W. Effects of substituting chemical fertilizers with manure on rice yield and soil labile nitrogen in paddy fields of China: A meta-analysis. Pedosphere 2023, 33, 172–184. [Google Scholar] [CrossRef]
- Zhao, Y.; Xiong, X.; Wu, C. Effects of deep placement of fertilizer on periphytic biofilm development and nitrogen cycling in paddy systems. Pedosphere 2021, 31, 125–133. [Google Scholar] [CrossRef]
- Ju, J.; Gu, Q.; Zhou, H.; Zhang, H.; Mao, W.; Yang, H.; Mi, W.; Zhao, H. Effects of organic fertilizer combined with chemical fertilizer on nutrients, enzyme activities, and rice yield in reclaimed soil. Commun. Soil Sci. Plant Anal. 2022, 53, 3060–3071. [Google Scholar] [CrossRef]
- Lan, X.; Shan, J.; Huang, Y.; Liu, X.; Lv, Z.; Ji, J.; Hou, H.; Xia, W.; Liu, Y. Effects of long-term manure substitution regimes on soil organic carbon composition in a red paddy soil of southern China. Soil Tillage Res. 2022, 221, 105395. [Google Scholar] [CrossRef]
- Zirkler, D.; Peters, A.; Kaupenjohann, M. Elemental composition of biogas residues: Variability and alteration during anaerobic digestion. Biomass Bioenergy 2014, 67, 89–98. [Google Scholar] [CrossRef]
- Cui, X.; Zhang, Y.; Gao, J.; Peng, F.; Gao, P. Long-term combined application of manure and chemical fertilizer sustained higher nutrient status and rhizospheric bacterial diversity in reddish paddy soil of Central South China. Sci. Rep. 2018, 8, 16554. [Google Scholar] [CrossRef]
- Yang, X.; Ren, W.; Sun, B.; Zhang, S. Effects of contrasting soil management regimes on total and labile soil organic carbon fractions in a loess soil in China. Geoderma 2012, 177, 49–56. [Google Scholar] [CrossRef]
- Hartl, W.; Putz, B.; Erhart, E. Influence of rates and timing of biowaste compost application on rye yield and soil nitrate levels. Eur. J. Soil. Biol. 2003, 39, 129–139. [Google Scholar] [CrossRef]
- Czatzkowska, M.; Wolak, I.; Harnisz, M.; Korzeniewska, E. Microbial diversity and biosafety judgment of digestates derived from different biogas plants for agricultural applications. J. Environ. Manag. 2024, 371, 123329. [Google Scholar] [CrossRef]
- Sradnick, A.; Murugan, R.; Oltmanns, M.; Raupp, J.; Joergensen, R.G. Changes in functional diversity of the soil microbial community in a heterogeneous sandy soil after long-term fertilization with cattle manure and mineral fertilizer. Appl. Soil. Ecol. 2013, 63, 23–28. [Google Scholar] [CrossRef]
- Gómez-Brandón, M.; Juárez, M.F.D.; Zangerle, M.; Insam, H. Effects of digestate on soil chemical and microbiological properties: A comparative study with compost and vermicompost. J. Hazard. Mater. 2016, 302, 267–274. [Google Scholar] [CrossRef]
- Möller, K.; Müller, T. Effects of anaerobic digestion on digestate nutrient availability and crop growth: A review. Eng. Life Sci. 2012, 12, 242–257. [Google Scholar] [CrossRef]
- Tian, K.; Zhao, Y.; Xu, X.; Hai, N.; Huang, B.; Deng, W. Effects of long-term fertilization and residue management on soil organic carbon changes in paddy soils of China: A meta-analysis. Agric. Ecosyst. Environ. 2015, 204, 40–50. [Google Scholar] [CrossRef]
- Zhao, Y.; Zhang, Y.; Liu, X.; He, X.; Shi, X. Carbon sequestration dynamic, trend and efficiency as affected by 22-year fertilization under a rice-wheat cropping system. J. Plant Nutr. Soil Sci. 2016, 179, 652–660. [Google Scholar] [CrossRef]
- Pan, G.; Smith, P.; Pan, W. The role of soil organic matter in maintaining the productivity and yield stability of cereals in China. Agric. Ecosyst. Environ. 2009, 129, 344–348. [Google Scholar] [CrossRef]
- Ma, Y.; Woolf, D.; Fan, M.; Qiao, L.; Li, R.; Lehmann, J. Global crop production increased by soil organic carbon. Nat. Geosci. 2023, 16, 1159–1165. [Google Scholar] [CrossRef]
- Lu, Y.; Xiao, Q.; Wu, S.; Yuan, H.; Gao, T.; Cai, T.; Wu, X.; Ma, Y.; Liao, X. Partial Substitution of Nitrogen Fertilizer with Biogas Slurry Increases Rice Yield and Fertilizer Utilization Efficiency, Enhancing Soil Fertility in the Chaohu Lake Basin. Plants 2024, 13, 2024. [Google Scholar] [CrossRef]
- Hu, R.; Xiao, D.; Ding, Z.; Cao, Y.; Hou, J.; Wang, X. Effects of local nitrogen supply and nitrogen fertilizer variety coupling on rice nitrogen transport and soil nitrogen balance in paddy fields. Front. Sustain. Food Syst. 2023, 7, 1252324. [Google Scholar] [CrossRef]
- Jiang, X.; Xu, D.; Rong, J.; Ai, X.; Ai, S.; Su, X.; Sheng, M.; Yang, S.; Zhang, J.; Ai, Y. Landslide and aspect effects on artificial soil organic carbon fractions and the carbon pool management index on road-cut slopes in an alpine region. Catena 2021, 199, 105094. [Google Scholar] [CrossRef]





| Year | Treatment | Plant Height (cm) | Thousand Grain Weight (g) | Kernels Per Ear |
|---|---|---|---|---|
| 2023 | CK | 71.21 ± 3.34 b | 39.44 ± 0.82 b | 36.33 ± 2.65 c |
| CN | 72.24 ± 3.75 b | 40.50 ± 1.69 b | 43.44 ± 3.91 ab | |
| ON | 70.71 ± 0.91 b | 43.30 ± 0.76 a | 43.56 ± 0.69 ab | |
| ONL15% | 72.86 ± 3.53 b | 40.49 ± 0.77 b | 46.44 ± 0.84 a | |
| ONL30% | 66.66 ± 3.68 b | 40.20 ± 1.09 b | 39.22 ± 3.34 bc | |
| ONL50% | 79.32 ± 3.45 a | 41.02 ± 1.10 b | 44.89 ± 3.86 a | |
| 2024 | CK | 63.61 ± 0.35 c | 39.09 ± 0.56 d | 35.78 ± 3.10 b |
| CN | 71.06 ± 0.79 b | 40.03 ± 0.51 cd | 41.33 ± 2.33 ab | |
| ON | 70.22 ± 0.92 b | 42.69 ± 1.24 ab | 43.67 ± 5.17 ab | |
| ONL15% | 74.5 ± 3.24 b | 40.81 ± 0.25 c | 47.78 ± 2.04 a | |
| ONL30% | 72.61 ± 3.25 b | 43.62 ± 1.18 a | 46.56 ± 1.95 a | |
| ONL50% | 79.11 ± 1.9 a | 41.38 ± 0.01 bc | 46.78 ± 0.84 a |
| Year | Treatment | Pb (mg·kg−1) | Cd (mg·kg−1) | Hg (mg·kg−1) | As (mg·kg−1) | Ni (mg·kg−1) | Cr (mg·kg−1) | Cu (mg·kg−1) | Zn (mg·kg−1) |
|---|---|---|---|---|---|---|---|---|---|
| 2023 | CK | ND | 0.04 ± 0.00 a | ND | 0.01 ± 0.01 a | ND | 0.01 ± 0.02 a | 3.56 ± 0.34 a | 21.90 ± 3.29 c |
| CN | ND | 0.04 ± 0.01 a | ND | 0.01 ± 0.01 a | ND | ND | 3.76 ± 0.56 a | 30.00 ± 2.36 ab | |
| ON | ND | 0.04 ± 0.00 a | ND | 0.00 ± 0.01 a | ND | 0.01 ± 0.02 a | 4.18 ± 0.28 a | 31.67 ± 1.70 a | |
| ONL15% | ND | 0.04 ± 0.00 a | ND | 0.01 ± 0.01 a | ND | ND | 3.85 ± 0.23 a | 28.20 ± 2.29 ab | |
| ONL30% | ND | 0.05 ± 0.00 a | ND | 0.01 ± 0.01 a | ND | 0.06 ± 0.07 a | 3.69 ± 0.24 a | 26.37 ± 2.00 bc | |
| ONL50% | ND | 0.05 ± 0.00 a | ND | 0.01 ± 0.01 a | ND | ND | 3.75 ± 0.54 a | 27.20 ± 3.84 ab | |
| 2024 | CK | ND | 0.04 ± 0.01 a | ND | 0.00 ± 0.01 c | ND | 0.33 ± 0.08 a | 3.30 ± 0.10 d | 21.90 ± 3.29 d |
| CN | ND | 0.04 ± 0.01 a | ND | 0.02 ± 0.01 ab | ND | ND | 3.80 ± 0.10 c | 31.50 ± 0.44 c | |
| ON | ND | 0.04 ± 0.00 a | ND | 0.01 ± 0.00 bc | ND | 0.31 ± 0.06 a | 3.73 ± 0.06 c | 30.17 ± 3.01 bc | |
| ONL15% | 0.06 ± 0.02 b | 0.05 ± 0.01 a | 0.01 ± 0.01 a | 0.02 ± 0.01 ab | ND | ND | 4.10 ± 0.10 b | 28.20 ± 2.29 ab | |
| ONL30% | 0.07 ± 0.00 b | 0.05 ± 0.00 a | 0.01 ± 0.01 a | 0.02 ± 0.01 ab | ND | 0.35 ± 0.10 a | 4.14 ± 0.05 b | 26.37 ± 2.00 a | |
| ONL50% | 0.10 ± 0.00 a | 0.05 ± 0.00 a | 0.01 ± 0.00 a | 0.03 ± 0.01 a | ND | ND | 4.51 ± 0.29 a | 27.20 ± 3.84 ab | |
| Limit value (GB 2762-2022) | 0.20 | 0.10 | 0.02 | 0.50 | 1.00 | 1.0 | / | / | |
| Year | Treatment | pH | Bulk Density (g·cm−3) | Total Nitrogen (g·kg−1) | Available Phosphorus (mg·kg−1) | Available Potassium (mg·kg−1) |
|---|---|---|---|---|---|---|
| 2023 | CK | 6.11 ± 0.42 a | 1.21 ± 0.07 a | 1.42 ± 0.18 a | 24.47 ± 2.55 a | 261.00 ± 55.49 a |
| CN | 5.63 ± 0.09 ab | 1.20 ± 0.08 a | 1.39 ± 0.16 a | 40.27 ± 21.04 a | 290.67 ± 101.04 a | |
| ON | 5.59 ± 0.12 b | 1.07 ± 0.07 a | 1.48 ± 0.14 a | 36.83 ± 13.05 a | 296.33 ± 55.05 a | |
| ONL15% | 5.65 ± 0.27 ab | 1.17 ± 0.12 a | 1.38 ± 0.18 a | 44.07 ± 10.66 a | 261.33 ± 23.03 a | |
| ONL30% | 5.88 ± 0.41 ab | 1.14 ± 0.13 a | 1.44 ± 0.14 a | 42.27 ± 11.54 a | 295.67 ± 61.98 a | |
| ONL50% | 5.79 ± 0.36 ab | 1.18 ± 0.11 a | 1.36 ± 0.04 a | 43.50 ± 22.13 a | 273.00 ± 75.36 a | |
| 2024 | CK | 6.09 ± 0.10 a | 1.22 ± 0.04 a | 1.33 ± 0.05 c | 24.50 ± 0.10 c | 250.67 ± 6.42 c |
| CN | 5.61 ± 0.23 b | 1.22 ± 0.01 a | 1.37 ± 0.04 bc | 39.36 ± 0.57 b | 289.47 ± 10.44 b | |
| ON | 5.58 ± 0.12 b | 1.15 ± 0.06 ab | 1.41 ± 0.01 b | 35.76 ± 0.94 b | 286.75 ± 9.80 b | |
| ONL15% | 6.07 ± 0.07 a | 1.14 ± 0.06 ab | 1.41 ± 0.02 b | 44.34 ± 2.89 a | 296.93 ± 4.82 b | |
| ONL30% | 6.10 ± 0.18 a | 1.13 ± 0.07 ab | 1.49 ± 0.02 a | 43.29 ± 3.14 a | 316.87 ± 1.62 a | |
| ONL50% | 6.19 ± 0.03 a | 1.11 ± 0.02 b | 1.42 ± 0.06 ab | 45.12 ± 2.80 a | 318.40 ± 5.54 a |
| Year | Treatment | Cd (mg·kg−1) | Hg (mg·kg−1) | As (mg·kg−1) | Pb (mg·kg−1) | Cr (mg·kg−1) | Cu (mg·kg−1) | Ni (mg·kg−1) | Zn (mg·kg−1) |
|---|---|---|---|---|---|---|---|---|---|
| 2023 | CK | 0.10 ± 0.00 a | 0.07 ± 0.01 b | 5.92 ± 1.32 a | 23.00 ± 2.00 a | 33.67 ± 1.53 a | 16.67 ± 1.53 a | 19.33 ± 1.15 c | 47.00 ± 2.65 a |
| CN | 0.09 ± 0.01 a | 0.07 ± 0.00 b | 6.69 ± 0.86 a | 23.00 ± 3.00 a | 35.00 ± 6.24 a | 15.67 ± 1.53 a | 20.33 ± 3.06 ab | 48.33 ± 1.15 a | |
| ON | 0.09 ± 0.01 a | 0.07 ± 0.00 b | 6.17 ± 0.08 a | 20.00 ± 2.65 a | 39.00 ± 4.36 a | 15.67 ± 0.58 a | 19.33 ± 0.58 ab | 46.67 ± 0.58 a | |
| ONL15% | 0.10 ± 0.02a | 0.11 ± 0.05 a | 5.72 ± 0.89 a | 20.00 ± 2.00 a | 40.00 ± 2.00 a | 15.67 ± 0.58 a | 17.33 ± 1.15 b | 47.33 ± 2.08 a | |
| ONL30% | 0.10 ± 0.01 a | 0.08 ± 0.00 b | 5.81 ± 0.91 a | 22.33 ± 2.08 a | 40.00 ± 2.00 a | 17.00 ± 1.00 a | 20.00 ± 1.00 ab | 50.00 ± 1.73 a | |
| ONL50% | 0.09 ± 0.01 a | 0.07 ± 0.01 b | 6.02 ± 0.58 a | 21.67 ± 3.06 a | 34.67 ± 7.09 a | 15.33 ± 0.58 a | 18.67 ± 0.58 ab | 49.00 ± 2.65 a | |
| 2024 | CK | 0.04 ± 0.01 b | 0.09 ± 0.07 b | 7.50 ± 0.47 d | 19.67 ± 1.53 b | 35.00 ± 3.61 b | 15.34 ± 0.42 c | 24.00 ± 1.00 c | 57.00 ± 6.24 b |
| CN | 0.04 ± 0.00 bc | 0.10 ± 0.07 b | 7.62 ± 0.55 c | 17.67 ± 0.58 ab | 39.33 ± 4.16 ab | 15.23 ± 0.54 ab | 21.67 ± 2.08 ab | 55.00 ± 2.65 b | |
| ON | 0.04 ± 0.01 c | 0.05 ± 0.00 b | 7.75 ± 0.43 cd | 18.33 ± 0.58 ab | 41.33 ± 4.04 b | 14.83 ± 1.11 bc | 22.00 ± 1.73 bc | 58.00 ± 4.36 b | |
| ONL15% | 0.04 ± 0.01 a | 0.05 ± 0.01 a | 7.51 ± 0.28 b | 17.67 ± 2.08 ab | 38.67 ± 4.93 a | 13.95 ± 1.02 abc | 22.67 ± 2.08 ab | 62.33 ± 2.52 a | |
| ONL30% | 0.04 ± 0.00 a | 0.05 ± 0.01 a | 7.74 ± 0.49 a | 20.67 ± 1.53 ab | 39.00 ± 5.20 a | 15.05 ± 0.64 a | 22.67 ± 0.58 a | 59.67 ± 2.31 a | |
| ONL50% | 0.05 ± 0.01 a | 0.05 ± 0.01 a | 7.75 ± 0.67 a | 20.33 ± 2.08 a | 40.00 ± 5.29 a | 14.83 ± 1.53 ab | 22.00 ± 1.00 a | 57.00 ± 4.58 |
| Year | Treatment | SOC (g·kg−1) | DOC (mg·kg−1) | ROC (g·kg−1) | POC (g·kg−1) | CPMI |
|---|---|---|---|---|---|---|
| 2023 | CK | 14.42 ± 1.29 a | 28.27 ± 0.52 d | 3.36 ± 0.13 c | 4.23 ± 1.06 a | 98.34 ± 7.63 c |
| CN | 13.73 ± 0.92 a | 32.50 ± 2.70 c | 3.50 ± 0.09 c | 4.42 ± 2.43 a | 105.10 ± 2.23 c | |
| ON | 14.68 ± 0.64 a | 31.62 ± 0.59 cd | 3.46 ± 0.07 c | 4.38 ± 0.60 a | 101.46 ± 2.01 c | |
| ONL15% | 13.13 ± 0.91 a | 35.22 ± 2.99 bc | 4.02 ± 0.07 a | 5.00 ± 2.74 a | 129.55 ± 1.38 b | |
| ONL30% | 14.66 ± 1.04 a | 38.02 ± 2.54 ab | 4.56 ± 0.13 a | 5.08 ± 1.16 a | 148.66 ± 8.95 a | |
| ONL50% | 13.71 ± 0.60 a | 41.29 ± 1.56 a | 4.23 ± 0.25 a | 4.41 ± 1.41 a | 137.62 ± 14.36 b | |
| 2024 | CK | 12.93 ± 0.03 c | 11.43 ± 0.82 c | 3.87 ± 0.17 c | 3.91 ± 0.12 d | 99.28 ± 4.76 d |
| CN | 14.42 ± 0.75 ab | 12.33 ± 0.59 c | 3.91 ± 0.07 c | 4.30 ± 0.32 cd | 96.25 ± 1.95 d | |
| ON | 14.42 ± 0.75 ab | 14.43 ± 0.40 ab | 3.89 ± 0.06 c | 4.62 ± 0.23 bc | 93.59 ± 1.00 d | |
| ONL15% | 13.94 ± 0.90 ab | 14.96 ± 0.62 a | 4.52 ± 0.19 b | 5.38 ± 0.39 a | 117.62 ± 3.83 c | |
| ONL30% | 14.83 ± 0.20 ab | 15.45 ± 0.46 a | 5.11 ± 0.10 a | 4.85 ± 0.29 b | 137.08 ± 4.87 a | |
| ONL50% | 14.20 ± 0.39 a | 13.81 ± 0.33 b | 4.72 ± 0.07 b | 4.89 ± 0.06 b | 124.49 ± 4.15 b |
| Year | Treatment | Organic Fertilizer (kg·ha−1) | Fertilizer (kg·ha−1) | Converted to Pure Nutrients (kg·ha−1) | ||||
|---|---|---|---|---|---|---|---|---|
| Biogas Slurry | Urea | Superphosphate | Potassium Chloride | N | P | K | ||
| 2023 | CK | 0.00 | 0.00 | 0.00 | 0.00 | 0.00 | 0.00 | 0.00 |
| CN | 0.00 | 284.63 | 238.76 | 120.06 | 220.00 | 45.15 | 49.80 | |
| ON | 0.00 | 258.75 | 227.39 | 120.06 | 200.00 | 43.00 | 49.80 | |
| ONL15% | 91.23 | 194.06 | 209.82 | 91.69 | 200.00 | 43.00 | 49.80 | |
| ONL30% | 182.46 | 129.38 | 192.25 | 63.33 | 200.00 | 43.00 | 49.80 | |
| ONL50% | 304.10 | 43.12 | 168.82 | 25.51 | 200.00 | 43.00 | 49.80 | |
| 2024 | CK | 0.00 | 0.00 | 0.00 | 0.00 | 0.00 | 0.00 | 0.00 |
| CN | 0.00 | 284.63 | 238.76 | 120.06 | 220.00 | 45.15 | 49.80 | |
| ON | 0.00 | 258.75 | 227.39 | 120.06 | 200.00 | 43.00 | 49.80 | |
| ONL15% | 157.10 | 194.06 | 139.13 | 27.23 | 200.00 | 43.00 | 49.80 | |
| ONL30% | 314.21 | 129.38 | 50.87 | 0.00 | 200.00 | 43.00 | 49.80 | |
| ONL50% | 523.68 | 43.12 | 0.00 | 0.00 | 200.00 | 43.00 | 49.80 | |
| Management Measure | 2023 | 2024 |
|---|---|---|
| Base fertilizer and sowing | 27 October 2022 | 24 October 2023 |
| Application of fertilizer and urea | 8 March 2023 | 15 March 2024 |
| Harvest | 8 June 2023 | 31 May 2024 |
| Sample | Measurement Indexes | Measurement Methods |
|---|---|---|
| Plant | Settlement index | GB/T 15685-2011 Grain Oil Inspection Determination of Wheat Sedimentation Index by SDS Method |
| Starch | GB 5009.9-2016 National Food Safety Standard Determination of Starch in Food | |
| Wet gluten | GB/T 5506.1-2008 Wheat and Wheat Flour Gluten Content Part 1: Wet Gluten Determination by Hand Washing | |
| Protein | GB 5009.5-2016 National Food Safety Standard Determination of Protein in Food | |
| Soil | pH | DMP-2 mv/pH Potentiometry, extracted with water |
| Unit weight | Standard ring knife method | |
| Organic matter | Potassium dichromate oil bath plus heat capacity method | |
| TN | Kjeldahl method for nitrogen determination | |
| Available P | Extraction with NaHCO3 and determination by spectrophotometry | |
| Quick-acting potassium | Flame photometry Extract with ammonium acetate, and determination by resistance spectrophotometry (Sherwood M410/M420, Nanodrop, Germany) | |
| Cation exchange capacity | Ammonium acetate exchange method | |
| SOC | Potassium dichromate capacity method-external heating method | |
| DOC | Total organic carbon (TOC) instrument (vario TOC Cube, Elementar, Hanau, Germany) determination | |
| ROC | 333 mmol/L potassium permanganate colorimetric method | |
| POC | Cambardella |
Disclaimer/Publisher’s Note: The statements, opinions and data contained in all publications are solely those of the individual author(s) and contributor(s) and not of MDPI and/or the editor(s). MDPI and/or the editor(s) disclaim responsibility for any injury to people or property resulting from any ideas, methods, instructions or products referred to in the content. |
© 2025 by the authors. Licensee MDPI, Basel, Switzerland. This article is an open access article distributed under the terms and conditions of the Creative Commons Attribution (CC BY) license.
Share and Cite
Wu, S.; Gao, T.; Wu, C.; Yuan, H.; Liu, Y.; Liu, J.; Han, L.; Zhang, C.; Ma, Y.; Liao, X. Consecutive Application of Biogas Slurry Improved the Cumulative Nitrogen Use Efficiency by Regulating the Soil Carbon Pool. Plants 2026, 15, 102. https://doi.org/10.3390/plants15010102
Wu S, Gao T, Wu C, Yuan H, Liu Y, Liu J, Han L, Zhang C, Ma Y, Liao X. Consecutive Application of Biogas Slurry Improved the Cumulative Nitrogen Use Efficiency by Regulating the Soil Carbon Pool. Plants. 2026; 15(1):102. https://doi.org/10.3390/plants15010102
Chicago/Turabian StyleWu, Sheng, Tingfeng Gao, Chenxue Wu, Haoqiang Yuan, Ying Liu, Jiating Liu, Lei Han, Cheng Zhang, Youhua Ma, and Xia Liao. 2026. "Consecutive Application of Biogas Slurry Improved the Cumulative Nitrogen Use Efficiency by Regulating the Soil Carbon Pool" Plants 15, no. 1: 102. https://doi.org/10.3390/plants15010102
APA StyleWu, S., Gao, T., Wu, C., Yuan, H., Liu, Y., Liu, J., Han, L., Zhang, C., Ma, Y., & Liao, X. (2026). Consecutive Application of Biogas Slurry Improved the Cumulative Nitrogen Use Efficiency by Regulating the Soil Carbon Pool. Plants, 15(1), 102. https://doi.org/10.3390/plants15010102

