Culture System and Nutrient Restriction Shape Antioxidant Activity in In Vitro Spearmint (Mentha spicata L.) Shoots
Abstract
1. Introduction
2. Results
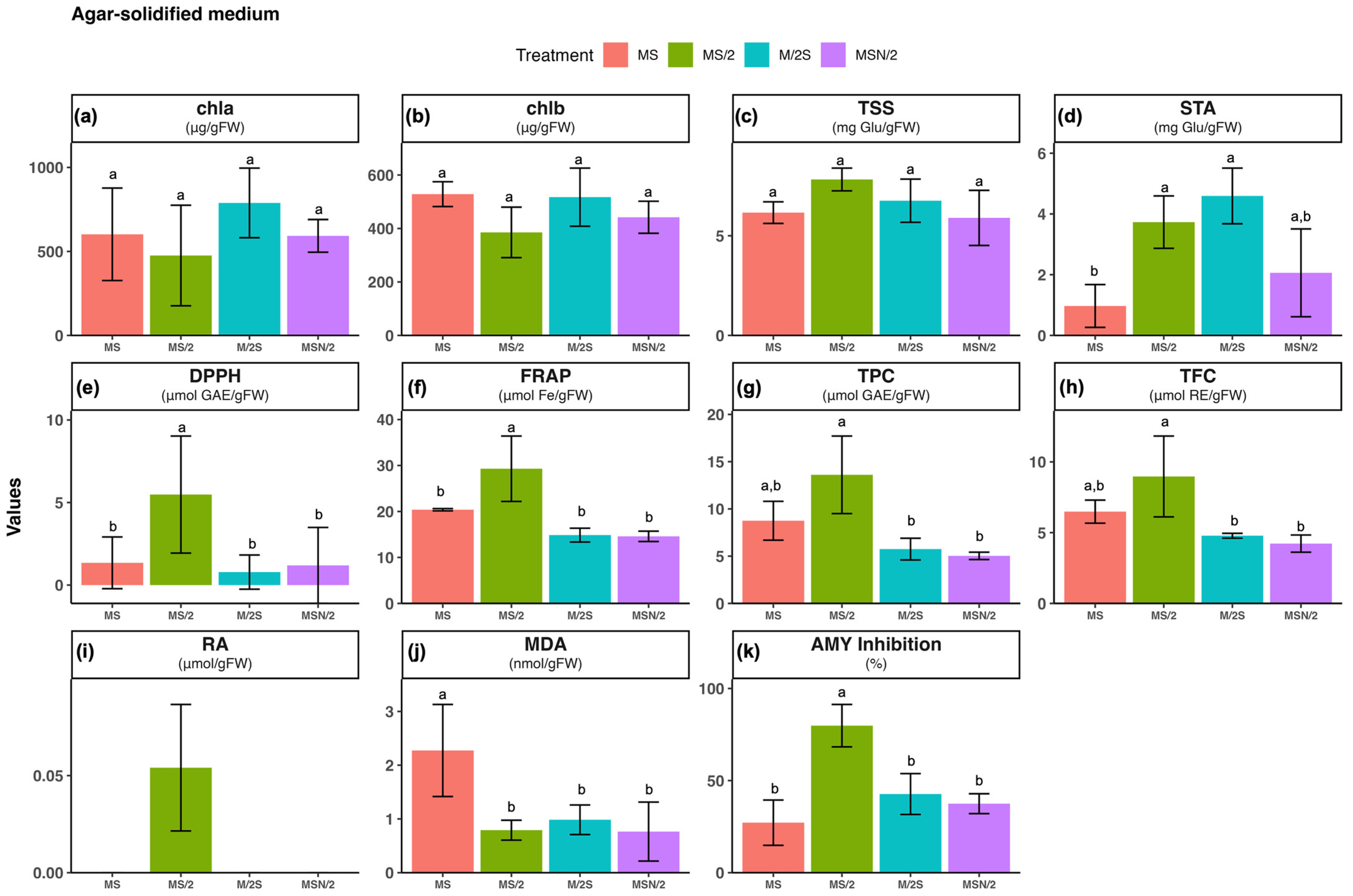
2.1. Effect of Basal Media Composition and Culture System on the Content of Chlorophylls, Soluble Sugars and Starch
2.2. Effect of Basal Media Composition and Culture System on Total Antioxidant Activity and Accumulation of Phenolic Compounds
2.3. Effect of Basal Media Composition and Culture System on Phenolic Profile and Rosmarinic Acid (RA) Content
2.4. Effect of Basal Media Composition and Culture System on Lipid Peroxidation
2.5. Effect of Basal Media Composition and Culture System on the α-Amylase Inhibitory Activity
2.6. Principal Component Analysis
3. Discussion
4. Materials and Methods
4.1. Plant Material and Culture Conditions
4.2. Metabolic Markers Extraction
4.3. Total Antioxidant Capacity
4.4. α-Amylase Inhibition Assay
4.5. UHPLC-DAD Analysis
4.6. Statistical Analysis
Supplementary Materials
Author Contributions
Funding
Data Availability Statement
Acknowledgments
Conflicts of Interest
Abbreviations
| AMY | α-amylase inhibitory activity |
| chl | Chlorophyll |
| DPPH | DPPH radical scavenging activity |
| MDA | Malondialdehyde |
| MS | Full-strength Murashige and Skoog medium |
| MS/2 | Half-strength MS medium |
| M/2S | MS with diluted (1/2) macronutrients and iron elements |
| MSN/2 | MS with diluted (1/2) nitrate and ammonium concentration |
| RA | Rosmarinic acid |
| STA | Starch content |
| TFC | Total flavonoid content |
| TPC | Total phenol content |
| TSS | Total soluble sugars |
References
- Christaki, E.; Bonos, E.; Giannenas, I.; Florou-Paneri, P. Aromatic Plants as a Source of Bioactive Compounds. Agriculture 2012, 2, 228–243. [Google Scholar] [CrossRef]
- Grigore-Gurgu, L.; Dumitrașcu, L.; Aprodu, I. Aromatic Herbs as a Source of Bioactive Compounds: An Overview of Their Antioxidant Capacity, Antimicrobial Activity, and Major Applications. Molecules 2025, 30, 1304. [Google Scholar] [CrossRef]
- El-Saadony, M.T.; Saad, A.M.; Mohammed, D.M.; Korma, S.A.; Alshahrani, M.Y.; Ahmed, A.E.; Ibrahim, E.H.; Salem, H.M.; Alkafaas, S.S.; Saif, A.M.; et al. Medicinal Plants: Bioactive Compounds, Biological Activities, Combating Multidrug-Resistant Microorganisms, and Human Health Benefits—A Comprehensive Review. Front. Immunol. 2025, 16, 1491777. [Google Scholar] [CrossRef]
- Salehi, B.; Stojanović-Radić, Z.; Matejić, J.; Sharopov, F.; Antolak, H.; Kręgiel, D.; Sen, S.; Sharifi-Rad, M.; Acharya, K.; Sharifi-Rad, R.; et al. Plants of Genus Mentha: From Farm to Food Factory. Plants 2018, 7, 70. [Google Scholar] [CrossRef]
- Mamadalieva, N.Z.; Hussain, H.; Xiao, J. Recent Advances in Genus Mentha: Phytochemistry, Antimicrobial Effects, and Food Applications. Food Front. 2020, 1, 435–458. [Google Scholar] [CrossRef]
- Tafrihi, M.; Imran, M.; Tufail, T.; Gondal, T.A.; Caruso, G.; Sharma, S.; Sharma, R.; Atanassova, M.; Atanassov, L.; Valere Tsouh Fokou, P.; et al. The Wonderful Activities of the Genus Mentha: Not Only Antioxidant Properties. Molecules 2021, 26, 1118. [Google Scholar] [CrossRef]
- Hirata, M.; Fornari Laurindo, L.; Dogani Rodrigues, V.; Cristina Castilho Caracio, F.; Valenti, V.E.; Pereira, E.d.S.B.M.; Haber Mellem, R.; Penteado Detregiachi, C.R.; dos Santos Bueno, M.; Guissoni Campos, L.M.; et al. Investigating the Health Potential of Mentha Species Against Gastrointestinal Disorders—A Systematic Review of Clinical Evidence. Pharmaceuticals 2025, 18, 693. [Google Scholar] [CrossRef]
- Saeed, S.; Naim, A.; Tariq, P. In Vitro Antibacterial Activity of Peppermint. Pak. J. Bot. 2006, 38, 869–872. [Google Scholar]
- Biltekin, S.N.; Karadağ, A.E.; Demirci, F.; Demirci, B. In Vitro Anti-Inflammatory and Anticancer Evaluation of Mentha spicata L. and Matricaria chamomilla L. Essential Oils. ACS Omega 2023, 8, 17143–17150. [Google Scholar] [CrossRef] [PubMed]
- Mahboubi, M. Mentha spicata as Natural Analgesia for Treatment of Pain in Osteoarthritis Patients. Complement. Ther. Clin. Pract. 2017, 26, 1–4. [Google Scholar] [CrossRef]
- Mahboubi, M. Mentha spicata L. Essential Oil, Phytochemistry and Its Effectiveness in Flatulence. J. Tradit. Complement. Med. 2021, 11, 75–81. [Google Scholar] [CrossRef]
- Mohafrash, S.M.M.; Fallatah, S.A.; Farag, S.M.; Mossa, A.-T.H. Mentha spicata Essential Oil Nanoformulation and Its Larvicidal Application against Culex pipiens and Musca domestica. Ind. Crops Prod. 2020, 157, 112944. [Google Scholar] [CrossRef]
- Yang, X.; Han, H.; Li, B.; Zhang, D.; Zhang, Z.; Xie, Y. Fumigant Toxicity and Physiological Effects of Spearmint (Mentha spicata, Lamiaceae) Essential Oil and Its Major Constituents against Reticulitermes dabieshanensis. Ind. Crops Prod. 2021, 171, 113894. [Google Scholar] [CrossRef]
- Piras, A.; Porcedda, S.; Falconieri, D.; Maxia, A.; Gonçalves, M.; Cavaleiro, C.; Salgueiro, L. Antifungal Activity of Essential Oil from Mentha spicata L. and Mentha pulegium L. Growing Wild in Sardinia Island (Italy). Nat. Prod. Res. 2021, 35, 993–999. [Google Scholar] [CrossRef]
- Scherer, R.; Lemos, M.F.; Lemos, M.F.; Martinelli, G.C.; Martins, J.D.L.; da Silva, A.G. Antioxidant and Antibacterial Activities and Composition of Brazilian Spearmint (Mentha spicata L.). Ind. Crops Prod. 2013, 50, 408–413. [Google Scholar] [CrossRef]
- Sharma, D.; Shree, B.; Kumar, S.; Kumar, V.; Sharma, S.; Sharma, S. Stress Induced Production of Plant Secondary Metabolites in Vegetables: Functional Approach for Designing next Generation Super Foods. Plant Physiol. Biochem. 2022, 192, 252–272. [Google Scholar] [CrossRef]
- Dixon, R.A.; Paiva, N.L. Stress-Induced Phenylpropanoid Metabolism. Plant Cell 1995, 7, 1085–1097. [Google Scholar] [CrossRef] [PubMed]
- Espinosa-Leal, C.A.; Puente-Garza, C.A.; García-Lara, S. In Vitro Plant Tissue Culture: Means for Production of Biological Active Compounds. Planta 2018, 248, 1–18. [Google Scholar] [CrossRef]
- Matkowski, A. Plant In Vitro Culture for the Production of Antioxidants—A Review. Biotechnol. Adv. 2008, 26, 548–560. [Google Scholar] [CrossRef] [PubMed]
- Chen, C.-L.; Yang, J.-P.; Huang, W.-D.; Chen, C.-C. The Effect of Far-Red Light and Nutrient Level on the Growth and Secondary Metabolites of the In Vitro Culture of Prunella vulgaris. Agronomy 2023, 13, 2250. [Google Scholar] [CrossRef]
- Jakovljević, D.; Topuzović, M.; Stanković, M. Nutrient Limitation as a Tool for the Induction of Secondary Metabolites with Antioxidant Activity in Basil Cultivars. Ind. Crops Prod. 2019, 138, 111462. [Google Scholar] [CrossRef]
- Zheleznichenko, T.V.; Muraseva, D.S.; Erst, A.S.; Kuznetsov, A.A.; Kulikovskiy, M.S.; Kostikova, V.A. The Influence of Solid and Liquid Systems In Vitro on the Growth and Biosynthetic Characteristics of Microshoot Culture of Spiraea betulifolia ssp. aemiliana. Int. J. Mol. Sci. 2023, 24, 2362. [Google Scholar] [CrossRef]
- Murthy, H.N.; Joseph, K.S.; Paek, K.Y.; Park, S.Y. Bioreactor Systems for Micropropagation of Plants: Present Scenario and Future Prospects. Front. Plant Sci. 2023, 14, 1159588. [Google Scholar] [CrossRef] [PubMed]
- Ma, Y.; Zhang, S.; Feng, D.; Duan, N.; Rong, L.; Wu, Z.; Shen, Y. Effect of Different Doses of Nitrogen Fertilization on Bioactive Compounds and Antioxidant Activity of Brown Rice. Front. Nutr. 2023, 10, 1071874. [Google Scholar] [CrossRef] [PubMed]
- Yang, P.; Wang, R.; Liu, J.; Xu, X.; Xu, Q.; Liu, S.; Dong, M.; Shen, Q.; Shen, Z.; Li, R. The Influence of Environmental Heterogeneity on Fertilization-Driven Patterns of Distribution and Yield in Medicinal Plants. Agronomy 2025, 15, 2142. [Google Scholar] [CrossRef]
- Frankowski, J.; Przybylska-Balcerek, A.; Graczyk, M.; Niedziela, G.; Sieracka, D.; Stuper-Szablewska, K. The Effect of Mineral Fertilization on the Content of Bioactive Compounds in Hemp Seeds and Oil. Molecules 2023, 28, 4870. [Google Scholar] [CrossRef]
- Ahmadi, F.; Samadi, A.; Rahimi, A. Improving Growth Properties and Phytochemical Compounds of Echinacea purpurea (L.) Medicinal Plant Using Novel Nitrogen Slow Release Fertilizer under Greenhouse Conditions. Sci. Rep. 2020, 10, 13842. [Google Scholar] [CrossRef]
- Hazrati, S.; Mousavi, Z.; Mollaei, S.; Sedaghat, M.; Mohammadi, M.; Pignata, G.; Nicola, S. Optimizing Nitrogen Fertilization to Maximize Yield and Bioactive Compounds in Ziziphora clinopodioides. Agriculture 2024, 14, 1690. [Google Scholar] [CrossRef]
- Honorato, A.d.C.; de Assis, R.M.A.; Maciel, J.F.A.; Nohara, G.A.; de Carvalho, A.A.; Pinto, J.E.B.P.; Bertolucci, S.K.V. Fertilization with Different Manure Sources and Doses Provides Quantitative-Qualitative Gains in the Production of Thymus vulgaris L. S. Afr. J. Bot. 2024, 164, 345–355. [Google Scholar] [CrossRef]
- Lv, J.; Liu, S.; Hu, C.; Ding, L.; Wang, H.; Li, X.; Yang, F.; Shen, Q.; Zhang, H.; Ma, G.; et al. Saponin Content in Medicinal Plants in Response to Application of Organic and Inorganic Fertilizers: A Meta-Analysis. Front. Plant Sci. 2025, 16, 1535170. [Google Scholar] [CrossRef]
- Desjardins, Y.; Dubuc, J.-F.; Badr, A. In vitro culture of plants: A stressful activity! Acta Hortic. 2009, 812, 29–50. [Google Scholar] [CrossRef]
- Bolouri-Moghaddam, M.R.; Le Roy, K.; Xiang, L.; Rolland, F.; Van den Ende, W. Sugar Signalling and Antioxidant Network Connections in Plant Cells. FEBS J. 2010, 277, 2022–2037. [Google Scholar] [CrossRef]
- Shao, M.; Li, H.; Zhu, S.; Huang, D.; Li, C. Karrikins Regulate the Redox Balance and Sugar Metabolism of Postharvest Kiwifruit (Actinidia deliciosa). Plants 2025, 14, 2567. [Google Scholar] [CrossRef]
- Sami, F.; Yusuf, M.; Faizan, M.; Faraz, A.; Hayat, S. Role of Sugars under Abiotic Stress. Plant Physiol. Biochem. 2016, 109, 54–61. [Google Scholar] [CrossRef] [PubMed]
- López-Orenes, A.; Martínez-Moreno, J.M.; Calderón, A.A.; Ferrer, M.A. Changes in Phenolic Metabolism in Salicylic Acid-Treated Shoots of Cistus heterophyllus. Plant Cell Tissue Organ. Cult. 2013, 113, 417–427. [Google Scholar] [CrossRef]
- Alikhani, S.; Ghanati, F.; Hajebrahimi, Z.; Soleimani, M.; Najar, N.; Khalili, E. Soluble Sugars Maintain Redox Homeostasis and Accelerate the Growth of Cultured Malva neglecta Cells under 2D-Clinorotation. J. Plant Physiol. 2025, 308, 154489. [Google Scholar] [CrossRef]
- Jakovljević, D.; Warchoł, M.; Skrzypek, E. Rosmarinic Acid as Bioactive Compound: Molecular and Physiological Aspects of Biosynthesis with Future Perspectives. Cells 2025, 14, 850. [Google Scholar] [CrossRef]
- Fadel, D. Effect of Different Strength of Medium on Organogenesis, Phenolic Accumulation and Antioxidant Activity of Spearmint (Mentha spicata L.). Open Hortic. J. 2010, 3, 31–35. [Google Scholar] [CrossRef]
- Mansinhos, I.; Gonçalves, S.; Rodríguez-Solana, R.; Pereira-Caro, G.; Moreno-Rojas, J.; Romano, A. Nutrient Deficiency-Induced Stress Improves Skincare Effects and Phytochemical Content of Green Extracts from Lamiaceae In Vitro Cultures. Horticulturae 2024, 10, 947. [Google Scholar] [CrossRef]
- Lattanzio, V.; Cardinali, A.; Ruta, C.; Fortunato, I.; Lattanzio, V.; Linsalata, V.; Cicco, N. Relationship of Secondary Metabolism to Growth in Oregano (Origanum vulgare L.) Shoot Cultures under Nutritional Stress. Environ. Exp. Bot. 2009, 65, 54–62. [Google Scholar] [CrossRef]
- Suh, D.H.; Kim, Y.X.; Jung, E.S.; Lee, S.; Park, J.; Lee, C.H.; Sung, J. Characterization of Metabolic Changes under Low Mineral Supply (N, K, or Mg) and Supplemental LED Lighting (Red, Blue, or Red–Blue Combination) in Perilla frutescens Using a Metabolomics Approach. Molecules 2020, 25, 4714. [Google Scholar] [CrossRef] [PubMed]
- Acosta-Motos, J.R.; Noguera-Vera, L.; Barba-Espín, G.; Piqueras, A.; Hernández, J.A. Antioxidant Metabolism and Chlorophyll Fluorescence during the Acclimatisation to Ex Vitro Conditions of Micropropagated Stevia rebaudiana Bertoni Plants. Antioxidants 2019, 8, 615. [Google Scholar] [CrossRef]
- Deep, A.; Rana, P.; Soni, G. Iron Chelation and Iron Reducing Activity of Tissue Cultured and Tissue Culture Derived Mentha spp. J. Appl. Pharm. Sci. 2017, 7, 78–83. [Google Scholar] [CrossRef][Green Version]
- López-Orenes, A.; Ros-Marín, A.F.; Ferrer, M.A.; Calderón, A.A. Antioxidant Capacity as a Marker for Assessing the In Vitro Performance of the Endangered Cistus heterophyllus. Sci. World J. 2013, 2013, 176295. [Google Scholar] [CrossRef]
- Inui, A.; Cheng, K.-C.; Asakawa, A.; Amitani, H.; Amitani, M.; Morinaga, A.; Takimoto, Y.; Kairupan, B.H.R.; Runtuwene, J. Rosmarinic Acid Ameliorates Hyperglycemia and Insulin Sensitivity in Diabetic Rats, Potentially by Modulating the Expression of PEPCK and GLUT4. Drug Des. Devel Ther. 2016, 10, 2193–2202. [Google Scholar] [CrossRef] [PubMed]
- Nassar-Eddin, G.; Zheleva-Dimitrova, D.; Danchev, N.; Vitanska-Simeonova, R. Antioxidant and Enzyme-Inhibiting Activity of Lyophilized Extract from Clinopodium vulgare L. (Lamiaceae). Pharmacia 2021, 68, 259–263. [Google Scholar] [CrossRef]
- Ferrer, M.A.; Cimini, S.; López-Orenes, A.; Calderón, A.A.; De Gara, L. Differential Pb Tolerance in Metallicolous and Non-Metallicolous Zygophyllum fabago Populations Involves the Strengthening of the Antioxidative Pathways. Environ. Exp. Bot. 2018, 150, 141–151. [Google Scholar] [CrossRef]
- López-Hidalgo, C.; Meijón, M.; Lamelas, L.; Valledor, L. The Rainbow Protocol: A Sequential Method for Quantifying Pigments, Sugars, Free Amino Acids, Phenolics, Flavonoids and MDA from a Small Amount of Sample. Plant Cell Environ. 2021, 44, 1977–1986. [Google Scholar] [CrossRef]
- López-Orenes, A.; Bueso, M.C.; Conesa, H.; Calderón, A.A.; Ferrer, M.A. Seasonal Ionomic and Metabolic Changes in Aleppo Pines Growing on Mine Tailings under Mediterranean Semi-Arid Climate. Sci. Total Environ. 2018, 637–638, 625–635. [Google Scholar] [CrossRef]
- Pérez-Tortosa, V.; López-Orenes, A.; Martínez-Pérez, A.; Ferrer, M.A.; Calderón, A.A. Antioxidant Activity and Rosmarinic Acid Changes in Salicylic Acid-Treated Thymus membranaceus Shoots. Food Chem. 2012, 130, 362–369. [Google Scholar] [CrossRef]
- Calderón, A.A.; Almagro, L.; Martínez-Calderón, A.; Ferrer, M.A. Transcriptional Reprogramming in Sound-treated Micro-Tom Plants Inoculated with Pseudomonas syringae pv. tomato DC3000. Physiol. Plant 2024, 176, e14335. [Google Scholar] [CrossRef] [PubMed]
- Khadayat, K.; Marasini, B.P.; Gautam, H.; Ghaju, S.; Parajuli, N. Evaluation of the Alpha-Amylase Inhibitory Activity of Nepalese Medicinal Plants Used in the Treatment of Diabetes Mellitus. Clin. Phytoscience 2020, 6, 34. [Google Scholar] [CrossRef]
- Oliveira, A.S.; Ribeiro-Santos, R.; Ramos, F.; Castilho, M.C.; Sanches-Silva, A. UHPLC-DAD Multi-Method for Determination of Phenolics in Aromatic Plants. Food Anal. Methods 2018, 11, 440–450. [Google Scholar] [CrossRef]





Disclaimer/Publisher’s Note: The statements, opinions and data contained in all publications are solely those of the individual author(s) and contributor(s) and not of MDPI and/or the editor(s). MDPI and/or the editor(s) disclaim responsibility for any injury to people or property resulting from any ideas, methods, instructions or products referred to in the content. |
© 2025 by the authors. Licensee MDPI, Basel, Switzerland. This article is an open access article distributed under the terms and conditions of the Creative Commons Attribution (CC BY) license (https://creativecommons.org/licenses/by/4.0/).
Share and Cite
Martínez-Carrillo, R.; Behloul, F.Z.; Ferrer, M.Á.; Calderón, A.A. Culture System and Nutrient Restriction Shape Antioxidant Activity in In Vitro Spearmint (Mentha spicata L.) Shoots. Plants 2025, 14, 3863. https://doi.org/10.3390/plants14243863
Martínez-Carrillo R, Behloul FZ, Ferrer MÁ, Calderón AA. Culture System and Nutrient Restriction Shape Antioxidant Activity in In Vitro Spearmint (Mentha spicata L.) Shoots. Plants. 2025; 14(24):3863. https://doi.org/10.3390/plants14243863
Chicago/Turabian StyleMartínez-Carrillo, Raquel, Fátima Z. Behloul, María Á. Ferrer, and Antonio A. Calderón. 2025. "Culture System and Nutrient Restriction Shape Antioxidant Activity in In Vitro Spearmint (Mentha spicata L.) Shoots" Plants 14, no. 24: 3863. https://doi.org/10.3390/plants14243863
APA StyleMartínez-Carrillo, R., Behloul, F. Z., Ferrer, M. Á., & Calderón, A. A. (2025). Culture System and Nutrient Restriction Shape Antioxidant Activity in In Vitro Spearmint (Mentha spicata L.) Shoots. Plants, 14(24), 3863. https://doi.org/10.3390/plants14243863

