Feeding Preferences of Giant Pandas May Reflect the Detection of Specific Volatiles and Bitter-Tasting Metabolites in Bamboo Leaves as Markers of Nutritional Status
Abstract
1. Introduction
2. Results
2.1. Analysis of Giant Panda Preferences for Bamboo
2.2. Analysis of Volatile Components
2.3. Identification of Primary and Secondary Nonvolatile Metabolites
2.4. Correlation of Metabolic Profiles Across Bamboo Species
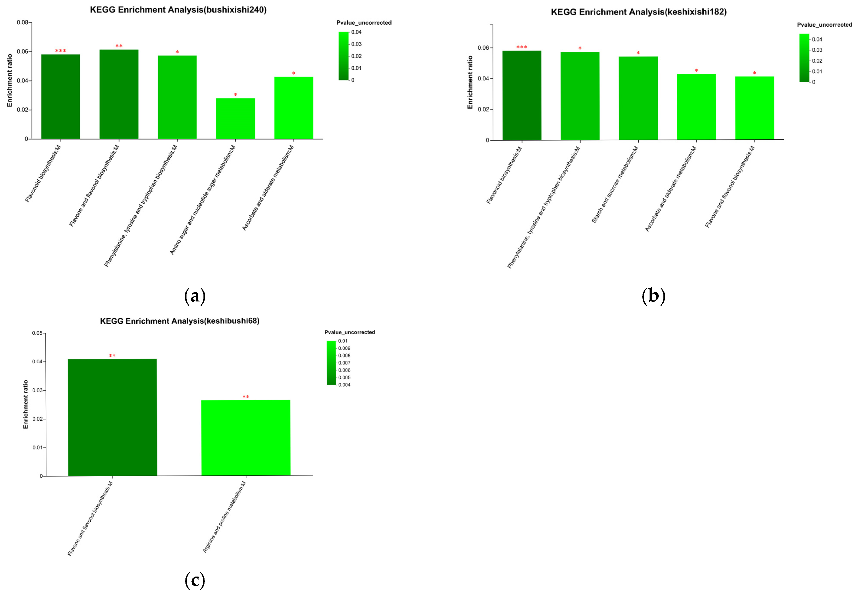
2.5. Quantitative Analysis of Metabolites Differing in Abundance Between Bamboo Groups
3. Discussion
4. Materials and Methods
4.1. Bamboo Sampling
4.2. Selection of Experimental Animals
4.3. Buffet-Style Feeding Experiment
4.4. Determination of Volatile Components
4.5. Analysis of Bamboo Metabolites
Supplementary Materials
Author Contributions
Funding
Data Availability Statement
Conflicts of Interest
References
- Li, J.; Liu, J. The ecological significance and behavioral mechanisms of food selection in herbivorous mammals. Chin. J. Appl. Ecol. 2003, 14, 439–442. [Google Scholar]
- Nie, Y.; Zhang, Z.; Raubenheimer, D.; Elser, J.J.; Wei, W.; Wei, F. Obligate herbivory in an ancestrally carnivorous lineage: The giant panda and bamboo from the perspective of nutritional geometry. Funct. Ecol. 2015, 29, 26–34. [Google Scholar] [CrossRef]
- Schaller, G.B. The Giant Pandas of Wolong; University of Chicago Press: Chicago, IL, USA, 1985. [Google Scholar]
- Wei, F.; Feng, Z.; Wang, Z.; Zhou, A.; Hu, J. Feeding strategy and resource partitioning between giant and red pandas. Mammalia 1999, 63, 417–430. [Google Scholar] [CrossRef]
- Wei, W.; Nie, Y.; Zhang, Z.; Hu, Y.; Yan, L.; Qi, D.; Wei, F. Hunting bamboo: Foraging patch selection and utilization by giant pandas and implications for conservation. Biol. Conserv. 2015, 186, 260–267. [Google Scholar] [CrossRef]
- Li, Y.; Cai, Q.; Liu, X.; Wang, Z.; Zhang, Z. The effect of elevation on structure and nutrition of staple food bamboo and seasonal distribution of giant pandas. Acta Theriol. Sin. 2016, 36, 24–35. [Google Scholar]
- Hull, V.; Zhang, J.; Zhou, S.; Huang, J.; Li, R.; Liu, X.; Xu, W.; Ouyang, Z.; Zhang, H. Impact of livestock on giant pandas and their habitat. J. Nat. Conserv. 2014, 22, 256–264. [Google Scholar] [CrossRef]
- Pan, W.; Lü, Z.; Zhu, X.; Wang, D.; Wang, H.; Long, Y.; Fu, D.; Zhou, X. A Chance for Lasting Survival; Peking University Press: Beijing, China, 2001. [Google Scholar]
- White, A.M.; Swaisgood, R.R.; Zhang, H. Urinary chemosignals in giant pandas (Ailuropoda melanoleuca): Seasonal and developmental effects on signal discrimination. J. Zool. 2004, 264, 231–238. [Google Scholar] [CrossRef]
- Yi, T.; Jiang, X. Bamboo species as staple food for giant pandas and their biodiversity. J. Sichuan For. Sci. Technol. 2010, 31, 1–20. [Google Scholar]
- Bachmanov, A.A.; Beauchamp, G.K. Taste receptor genes. Annu. Rev. Nutr. 2007, 27, 389–414. [Google Scholar] [CrossRef] [PubMed]
- Zhao, H. Sensing bitterness in the brain. Neuron 2017, 96, 283–284. [Google Scholar]
- Chambers, E.; García-Casal, M.N.; Parsad, S. Sensory and consumer evaluation of food. In Principles of Nutrition for the Prevention of Chronic Diseases; Gibney, R., Garcia-Casal, M., Hurrell, R., Eds.; MDPI: Basel, Switzerland, 2019; pp. 239–249. [Google Scholar]
- McLean, S.; Brandon, S.; Boyle, R.; Wiggins, N. Effects of two foliar terpenes on the feeding preferences of the common ringtail possum (Pseudocheirus peregrinus) in a Eucalyptus woodland. J. Chem. Ecol. 2008, 34, 40–46. [Google Scholar]
- Li, C.; Orti, G.; Zhang, G.; Lu, G. A practical approach to phylogenomics: The phylogeny of ray-finned fish (Actinopterygii) as a case study. BMC Evol. Biol. 2007, 7, 44. [Google Scholar] [CrossRef]
- Guo, H.; Zhu, H.; Guo, Z.; Zhang, X.; Su, Z. Address standardization with latent semantic association. In Proceedings of the 15th ACM SIGKDD International Conference on Knowledge Discovery and Data Mining, Paris, France, 28 June–1 July 2009; pp. 1155–1164. [Google Scholar]
- Heelis, R.A.; Stoneback, R.; Earle, G.D.; Haaser, R.A.; Abdu, M.A. Medium-scale equatorial plasma irregularities observed by Coupled Ion-Neutral Dynamics Investigation sensors aboard the Communication Navigation Outage Forecast System in a prolonged solar minimum. J. Geophys. Res. Space Phys. 2010, 115, A10321. [Google Scholar] [CrossRef]
- Jiang, C.; Li, Y. Seasonal variation in nutrient composition of bamboo and its influence on the foraging behavior of giant pandas. Chin. J. Zool. 2016, 51, 231–240. [Google Scholar]
- Wei, F.; Hu, J.; Xu, G. Selection of bamboo species by giant pandas in different mountain ranges. Acta Theriol. Sin. 1996, 16, 171–178. [Google Scholar]
- Hu, J.; Wei, F. Comparative study on the food selection of giant pandas in the Minshan and Qinling Mountains. In Giant Panda Research in the Qinling Mountains; Science Press: Beijing, China, 2004; pp. 123–130. [Google Scholar]
- Sun, B. Study on the Key Aroma Compounds of Bamboo Leaves. Doctoral Dissertation, Chinese Academy of Agricultural Sciences, Beijing, China, 2004. [Google Scholar]
- Sun, B.; Chen, H. Analysis of volatile components in bamboo leaves by solid-phase microextraction and gas chromatography-mass spectrometry. Flavour Fragr. J. 2006, 21, 60–65. [Google Scholar]
- Nelson, G.; Chandrashekar, J.; Hoon, M.A.; Feng, L.; Zhao, G.; Ryba, N.J.; Zuker, C.S. An amino-acid taste receptor. Nature 2002, 416, 199–202. [Google Scholar] [CrossRef]
- Nelson, G.; Hoon, M.A.; Chandrashekar, J.; Zhang, Y.; Ryba, N.J.; Zuker, C.S. Mammalian sweet taste receptors. Cell 2001, 106, 381–390. [Google Scholar] [CrossRef]
- Adler, E.; Hoon, M.A.; Mueller, K.L.; Chandrashekar, J.; Ryba, N.J.; Zuker, C.S. A novel family of mammalian taste receptors. Cell 2000, 100, 693–702. [Google Scholar] [CrossRef]
- Zhao, G.Q.; Zhang, Y.; Hoon, M.A.; Chandrashekar, J.; Erlenbach, I.; Ryba, N.J.; Zuker, C.S. The receptors for mammalian sweet and umami taste. Cell 2003, 115, 255–266. [Google Scholar] [CrossRef] [PubMed]
- Yoshida, R.; Niki, M.; Murata, Y.; Yasumatsu, K.; Shigemura, N.; Ninomiya, Y. Reception and transmission of taste information in type II and Type III taste bud cells. J. Oral Biosci. 2010, 52, 358–364. [Google Scholar] [CrossRef]
- Liu, C.; Wang, L.; Meng, Y. Peripheral taste receptors and signal transduction and regulation mechanisms in mammals. Int. J. Stomatol. 2012, 39, 468–471. [Google Scholar]
- Li, D.; Zhang, J. Diet shapes the evolution of the bitter taste receptor gene family in mammals. Mol. Biol. Evol. 2014, 31, 303–309. [Google Scholar] [CrossRef] [PubMed]
- Hayakawa, T.; Sugawara, T.; Go, Y.; Udono, T.; Hirai, H.; Imai, H. Eco-geographical diversification of bitter taste receptor genes (TAS2Rs) among subspecies of chimpanzees (Pan troglodytes). PLoS ONE 2014, 9, e93864. [Google Scholar] [CrossRef] [PubMed]
- Liu, Z.; Liu, G.; Li, Y. Comparative analysis of the bitter taste receptor gene family in vertebrate genomes. Genome Biol. Evol. 2016, 8, 1187–1198. [Google Scholar]
- Eizirik, E.; Murphy, W.J.; Koepfli, K.P.; Johnson, W.E.; Dragoo, J.W.; Wayne, R.K.; O’Brien, S.J. Pattern and timing of diversification of the mammalian order Carnivora inferred from multiple nuclear gene sequences. Mol. Phylogenet. Evol. 2010, 56, 49–63. [Google Scholar] [CrossRef]
- Keski-Saari, S.; Pusenius, J.; Julkunen-Tiitto, R. Phenolic compounds in the leaves of northern willows: Methods for the analysis of certain phenolics. J. Chem. Ecol. 2008, 34, 764–778. [Google Scholar]
- Huang, X.; Li, M.; Wang, C.; Zhang, Z.; Wu, K.; Yuan, B.; Lv, R. Analysis of cyanogenic glycosides in bamboo shoots and their potential toxicity to giant pandas. J. Appl. Ecol. 2016, 27, 925–931. [Google Scholar]
- Shan, L.; Wu, Q.; Wang, L.; Zhang, L.; Wei, F. Lineage-specific evolution of bitter taste receptor genes in the giant and red pandas implies dietary adaptation. Integr. Zool. 2018, 13, 152–159. [Google Scholar] [CrossRef]
- Krebs, C.J. Ecological Methodology, 2nd ed.; Benjamin Cummings: Menlo Park, CA, USA, 1999. [Google Scholar]
- Sokal, R.R.; Rohlf, F.J. Biometry: The Principles and Practice of Statistics in Biological Research; W. H. Freeman and Company: San Francisco, CA, USA, 1969. [Google Scholar]
- Manly, B.F.J.; McDonald, L.L.; Thomas, D.L. Resource Selection by Animals: Statistical Design and Analysis for Field Studies; Springer Netherlands: Dordrecht, The Netherlands, 1993. [Google Scholar]
- Liang, Y.; Liu, X.; Liu, C.; Wang, X.; Zhou, X.; Li, C.; Shao, P.; Wang, Y. Determination of Volatile Components in Giant Panda Feces by Purge and Trap-Gas Chromatography/Mass Spectrometry. Anal. Instrum. 2018, 6, 54–59. [Google Scholar] [CrossRef]













| Species | A | B | C | D | ||||||||
|---|---|---|---|---|---|---|---|---|---|---|---|---|
| Feed Volume | Food Intake | Preference Tendency | Feed Volume | Food Intake | Preference Tendency | Feed Volume | Food Intake | Preference Tendency | Feed Volume | Food Intake | Preference Tendency | |
| (kg) | (kg) | (kg) | (kg) | (kg) | (kg) | (kg) | (kg) | |||||
| B. fargesii | 1740 | 445 | P | 1850 | 675 | P | 1925 | 680 | P | 2088 | 1316 | P |
| I. tessellatus | 1280 | 95 | P | 1663 | 650 | P | 1742 | 472 | P | 1734 | 1193 | P |
| P. japonica | 2180 | 620 | P | 2848 | 1918 | P | 2510 | 1125 | P | 2661 | 344 | P |
| Ph. bissetii | 1314 | 23 | A | 1078 | 158 | A | 1596 | 146 | A | 1708 | 125 | A |
| Ph. aureosulcata | 1164 | 45 | A | 700 | 135 | A | 1197 | 151 | A | 1684 | 133 | A |
| Ph. vivax | 1920 | 68 | A | 2476 | 421 | A | 1817 | 153 | A | 1963 | 90 | A |
| Ph. propinqua | 1503 | 148 | A | 1971 | 164 | A | 1737 | 79 | A | 1515 | 160 | A |
| Ph. parvifolia | 3055 | 5 | R | 2208 | 0 | R | 2635 | 5 | R | 2730 | 0 | R |
| Ph. iridescens | 2250 | 0 | R | 2253 | 0 | R | 2040 | 0 | R | 2480 | 0 | R |
| Ph. praecox | 2900 | 0 | R | 2803 | 0 | R | 2535 | 0 | R | 2555 | 0 | R |
| Distribution | Number | Volatile Components |
|---|---|---|
| Common to all three groups | 8 | 1,3-pentadiene, 2-pentanol, 2-methylbutan-1-ol, 1-hexanol, sec-hydroxymethyl thiobenzoate, trimethylsilanol, 1,4-dioxene, 3-methyl-1-butanol |
| Preferred + edible | 10 | 1,2:5,6-dihydrogalactol, hexamethylcyclotrisiloxane, 2-penten-1-ol, 1-ethyl-4-methoxybenzene, methoxymethyloxirane, 5-octyl-3-ol, acetone, 2-hexene, octadecyltrisiloxane, 2-methyl-2-butene |
| Preferred + inedible | 5 | 2-methylfuran, (E)-1,3-pentadiene, 3-methyl-pentane, 2-methyl-1-propylene, (E)-2-pentene |
| Edible + inedible | 4 | 3-methylfuran, 2,2,4,6,6-pentamethylheptane, 2,2,4,4-tetramethyloctane, 1-pentene |
| Preferred only | 21 | (1S)-1,7,7-trimethyldicycloheptyl-2-one, camphene, 1,7,7-trimethyl-tricycloheptane, sec-butyl ester-cyanic acid, (1R)-2,6, 6-trimethyldicycloheptyl-2-ene, α-pinene, 3-methyl-2-butanol, methylsilane, 2-methyl-1-butene, N,N,N’,N’-tetramethylenediamine, (1S)-6,6-dimethyl-2-methylene-dicycloheptane, 1-benzyl-3-amino-4-cyano-3-pyrroline, (S)-2-methylbutan-1-ol, (R)-(–) -2-pentanol, 2-ethyl-furan, carbonyl sulfur, 4-tetramethyl-1,3-cyclobutanediol, ethanol, hexamethyldisiloxane, N-dimethylaminomethyl tert-butyl isopropyl phosphine, 1,3-propanediol |
| Edible only | 7 | 2,4-dimethyl-1,3-pentadiene, (Z)-1,3-pentadiene, 2,2-dimethyldecane, 1-vinyl-4-methoxy-benzene, 2-butenyl-hydrazine, propyl cyclopropane, 2-methyl-3-butyl-2-ol |
| Inedible only | 20 | 2-pentyl-furan, dichloromethane, cyclohexane, 3-ethyl-2, 2-dimethyl-pentane, dimethylsulfide, 2-methoxy-ethanol, 1-undecene, 1-[(2-methyl-2-allyl)oxy ]-butane, tri-(trimethylmethysilyl) borate, fluoropropylene, 2-methyl-1,3-butadiene, 2-fluoro-propylene, 3,4-dimethyl-2-hexanone, (Z)-2-pentene, 1-methyl-butyl-oxirane, 3-isopropyl-5,5-dimethyl-cyclopentene, formic acid, 3-dioxazole-2-one, N-propyl-3,4-methylene dioxyamphetamine, octadecylcyclotetrasiloxane |
| Ionization Mode | Number of Peaks | Total Number of Identified Metabolites | Number Identified in Public Databases | Number Identified in KEGG |
|---|---|---|---|---|
| + | 16,208 | 1238 | 1011 | 343 |
| − | 18,516 | 1157 | 1070 | 241 |
| Bamboo Group | Unique Cations | Unique Anions |
|---|---|---|
| Preferred | Fusarium chromone, darfpristin, 1-(9H pyridine[3,4-β]indole-1-yl)-1,4 -butanediol, fluorescein D2, zanthobisquinone, Hv-NCC-1, β-humulene | pollen B, acetylcoumarol, holdatin A glucoside, cordosion, scleroporphyrin, jubanin A, 13′-carboxyl γ-tocopherol, 22α-hydroxyerythritol, kaempferol 3-sophoricoside 7-glucuronide, (R)-1-O-[β-d-methylfuranyl-(1→2)-β-d-glucopyranoside]-1,3-octylglycol, [3,4-dihydroxy-4-(1-oxo-1H-isochromen-3-yl)butoxy] sulfonic acid, {[3,4-dihydroxy-4-(1-oxo-1H-isochromen-3-yl) butan-2-yl]oxy} sulfonic acid, armexifolin, methylnorlichexant |
| Edible | aflatoxin G2a, 6-methoxygalacturonic acid 7-glucuronic acid, dry acid | 7,7′- dihydroxy-6,8′-dicoumarin, 6′′-O-acetylglycine, dihydroxyanthraquinone, PA (16:1 (9Z)/18:3 (6Z, 9Z, 12Z)) |
| Inedible | spermidine, gemaklenone, sphingosine (1+), 4-α-methyl-5-α-cholesterol-7-en-3-one, dynorphin A (6-8), 1-(5-methyl-3-pyridyl)-1-decanone, 3-hydroxyundecylcarnitine, phenethylacetate | cycloharringtonin C, TG, 4-β-hydroxymethyl-4-α-methyl-5-α-choleste-7-en-3-β-ol, cysteine, 2-(3,5-dihydroxy-4-methoxyphenyl)- 4H-chrome-4-one |
| Ionization Mode | Total Ion Number | Preferred vs. Edible Groups | Preferred vs. Inedible Groups | Inedible vs. Edible Groups |
|---|---|---|---|---|
| + | 1214 (152) | 718 (97) | 839 (116) | 243 (18) |
| − | 1644 (168) | 990 (85) | 1066 (124) | 406 (50) |
| Total | 2858 (320) | 1708 (182) | 1905 (240) | 649 (68) |
Disclaimer/Publisher’s Note: The statements, opinions and data contained in all publications are solely those of the individual author(s) and contributor(s) and not of MDPI and/or the editor(s). MDPI and/or the editor(s) disclaim responsibility for any injury to people or property resulting from any ideas, methods, instructions or products referred to in the content. |
© 2025 by the authors. Licensee MDPI, Basel, Switzerland. This article is an open access article distributed under the terms and conditions of the Creative Commons Attribution (CC BY) license (https://creativecommons.org/licenses/by/4.0/).
Share and Cite
Bai, C.; You, Y.; Liu, Y.; Xu, H.; Zhang, Y.; Shan, G.; Wu, A.; Yang, L.; Ding, N.; Lu, Y.; et al. Feeding Preferences of Giant Pandas May Reflect the Detection of Specific Volatiles and Bitter-Tasting Metabolites in Bamboo Leaves as Markers of Nutritional Status. Plants 2025, 14, 3856. https://doi.org/10.3390/plants14243856
Bai C, You Y, Liu Y, Xu H, Zhang Y, Shan G, Wu A, Yang L, Ding N, Lu Y, et al. Feeding Preferences of Giant Pandas May Reflect the Detection of Specific Volatiles and Bitter-Tasting Metabolites in Bamboo Leaves as Markers of Nutritional Status. Plants. 2025; 14(24):3856. https://doi.org/10.3390/plants14243856
Chicago/Turabian StyleBai, Chao, Yuyan You, Yanhui Liu, Haihong Xu, Yuanyuan Zhang, Guoyu Shan, Ali Wu, Liu Yang, Nan Ding, Yan Lu, and et al. 2025. "Feeding Preferences of Giant Pandas May Reflect the Detection of Specific Volatiles and Bitter-Tasting Metabolites in Bamboo Leaves as Markers of Nutritional Status" Plants 14, no. 24: 3856. https://doi.org/10.3390/plants14243856
APA StyleBai, C., You, Y., Liu, Y., Xu, H., Zhang, Y., Shan, G., Wu, A., Yang, L., Ding, N., Lu, Y., Jia, T., Lu, Y., Cong, Y., Zhang, C., & Liu, X. (2025). Feeding Preferences of Giant Pandas May Reflect the Detection of Specific Volatiles and Bitter-Tasting Metabolites in Bamboo Leaves as Markers of Nutritional Status. Plants, 14(24), 3856. https://doi.org/10.3390/plants14243856

