Abstract
The present study endeavored to tackle the challenges posed by limited diversity in oat varieties and suboptimal nitrogen fertilizer utilization in the arid landscapes of the Loess Plateau. We selected three oat varieties, including early-maturing oats (E), medium-maturing oats (M), and late-maturing oats (L). In 2022, four nitrogen applications were set up as CK (0 kg N ha−1), N1 (60 kg N ha−1), N2 (90 kg N ha−1), and N3 (120 kg N ha−1). We introduced two additional nitrogen applications, N4 (180 kg N ha−1) and N5 (240 kg N ha−1), in 2023. The two-year study results demonstrated a significant increase in oat yield due to nitrogen application (p < 0.05). The highest grain yield was observed for E oats at 2216.63 kg·ha−1 under the N3 treatment, while M and L oats had the highest grain yields at 2505.43 kg·ha−1 and 2946.30 kg·ha−1 under N4, respectively. The protein content of L oats reached a peak of 14.15% under N4, and the order of protein contents in oat protein components was globulin > gliadin> glutenin > albumin. The β-glucan content of L oats reached a peak of 4.92% under N3. The nitrogen fertilizer utilization efficiency (NFUE) of the three oats was highest under N2. L oats exhibited enhanced NFUE owing to an elevated pre-flowering nitrogen translocation amount (PrNTA), with a 42.94% and 29.51% increase relative to E and M oats, respectively. The pre-flowering nitrogen translocation contribution (PrNTC) in oats surpassed the post-flowering nitrogen accumulation contribution (PoNAC). Therefore, nitrogen application positively impacted oat growth, yet excessive application had an inhibitory effect. There is a significant positive correlation among oat yield, quality, nitrogen accumulation, and utilization efficiency. In summary, oat crops exhibited optimal performance in terms of yield, quality, and nitrogen use efficiency when nitrogen application rates ranged between 90 and 180 kg·ha−1. Late-maturing oats coincide with the rainy and hot season in the northern dryland regions, making them more suitable for planting in the dryland areas of the Loess Plateau.
1. Introduction
The Loess Plateau, located in north-central China, represents a typical rainfed agricultural region characterized by its fragile ecological environment. It is crucial to screen suitable crops species and varieties whose water requirements align with the local rainfall patterns. Oat (Avena nuda L.), a member of the genus Avena within the Poaceae family [1], is an annual herb and a high-quality cereal crop renowned for its resilience to cold temperatures, drought conditions, and suboptimal soil fertility [2]. Oats are commonly utilized as a source of nutrition for both humans and animals. The seeds are high in nutrients like proteins, fats, and beta-glucans, which can benefit both human and animal health. Additionally, studies have demonstrated that they effectively reduce cholesterol in the bloodstream and mitigate the risk of heart disease [3,4]. Therefore, the cultivation practices and varietal adaptability of oats have been receiving increasing attention. However, the response of different oat varieties to nitrogen fertilizer remains unclear.
The growth of oats is influenced not only by their genetic characteristics, but also by external factors, such as water, nitrogen, and cultivation practices, which have a large impact on oat yield and quality [5]. Wang et al. [6] showed that nitrogen plays a crucial role in determining oat yield and quality. An appropriate nitrogen application amount enhances the vertical gradient of nitrogen distribution within crop crowns and leaves, while also boosting the translocation and contribution rate of nitrogen to grains. This, in turn, elevates the grain nitrogen content and grain quality [7]. Oat varieties have exhibited varying responses to nitrogen [8]. Given that oat varieties with different growth period differ in overall yield potential, it is plausible that optimal nitrogen application rates could vary [9]. Khalid et al. [10] applied a total of 150 kg·ha−1 of pure N for oats and obtained the highest N fertilizer utilization. Cui et al. [11] investigated the nitrogen utilization and translocation traits of diverse wheat cultivars at varying nitrogen application levels, and revealed that nitrogen application enhances the above-ground nitrogen accumulation in plants and the efficacy of nitrogen translocation towards seeds prior to anthesis. Ma et al. [12] discovered that nitrogen application substantially promoted the translocation of stored nitrogen to seeds; however, excessive application hindered this process. Additionally, variations in nitrogen translocation were observed among different cultivars. Specifically, the contribution of nitrogen to seeds from pre-flowering translocation surpassed that from post-flowering assimilation, with the latter showing a declining trend. When the nitrogen application continued to increase, the seed protein content remained stable after reaching a maximum level, while the nitrogen concentration in the nutrient organs continued to increase, and the nitrogen translocation efficiency from the nutrient organs to the seed was suppressed at excessively adequate levels of nitrogen supply [13]. Elevated nitrogen inputs promote vigorous growth in nutrient organs, leading to substantial material consumption that reduces the translocation of assimilates and nitrogen to the seed. This heightened vulnerability to plant lodging subsequently limits both the seed yield and quality [14]. Exploring effective nitrogen fertilizer transport methods and identifying nitrogen-efficient oat varieties are crucial in enhancing nitrogen utilization, mitigating nitrogen loss, and addressing environmental concerns such as soil compaction, acidification, and excessive greenhouse gas emissions.
In recent years, there has been a surge in scholarly research focusing on regional adaptive variety comparison tests in introduced crop varieties that exhibit both high yields and superior quality. Most have focused on grain crops such as wheat [15], cereals [16], and sorghum [17], with little research conducted in relation to the varieties of oats. The research on oats primarily centers on production performance [18], nutritional quality [19], and feeding value [20], with inadequate attention given to the adaptability of different oat varieties to regional conditions. Reports of the screening of naked oats with varying growth periods in the northern dryland regions are uncommon in research reports. Therefore, our study on the adaptability of oats with different growth periods in the dry farming area of the Loess Plateau involved three aspects. Firstly, we aimed to determine the optimal nitrogen application rates for oats, considering the delicate balance between yield and quality. Secondly, we sought to enhance nitrogen fertilizer use efficiency, minimize fertilizer inputs, and investigate the potential of nitrogen application for oats across varieties with various growth periods. Thirdly, we aimed to clarify the contribution rate of pre- and post-flowering nitrogen transport to oat grains. Consequently, we would identify the optimal oat variety for dryland regions and establish a theoretical foundation for the introduction of oat varieties into these areas, along with the optimization of nitrogen fertilizer strategies.
2. Materials and Methods
2.1. Experimental Site
The experiment was conducted from April 2022 to August 2023 at Shenfeng Experimental Base of Shanxi Agriculture University, Taigu District, Jinzhong City, Shanxi Province (37°12′21″ N, 112°28′40″ E). The experimental site has a temperate continental climate, with an elevation of 799.14 m, a total cumulative temperature of 3900–4100 °C, and a frost-free period of 170–175 d. The soil is a brown calcic soil, Figure 1 shows the average temperature and precipitation during the oat growing season, and Table 1 shows the physical and chemical properties of the soil before sowing. The soil organic matter was quantified by the K2Cr2O7-H2SO4 oxidation procedure. The semi-micro Kjeldahl method and alkalolytic diffusion method were used for total soil nitrogen and alkali hydrolyzed nitrogen, respectively. The soil available phosphorus and available potassium were determined using the molybdenum blue colorimetric method and flame spectrophotometry, respectively. pH was determined using a pH meter following the shaking of the soil/water (1:2.5 w/v) suspension.
Table 1.
Soil characteristics before sowing in 2022 and 2023.
Figure 1.
Rainfall and temperature at the experimental site during the oat growing season in 2022 and 2023.
Figure 1.
Rainfall and temperature at the experimental site during the oat growing season in 2022 and 2023.

2.2. Experimental Design
In this experiment, a split-plot experimental design was used, with the main area being used for the oat maturing varieties Bayou 6 (early-maturing oat/E), Bayou 1 (medium-maturing oat/M), and Bayou 14 (late-maturing oat/L), all of which were supplied by Zhangjiakou Academy of Agricultural Sciences, and the sub-area being used for the nitrogen application treatments. Four nitrogen application treatments were set up in 2022: no nitrogen application (CK) and nitrogen applications of 60 kg·ha−1 (N1), 90 kg·ha−1 (N2), and 120 kg·ha−1 (N3); two additional N application treatments of 180 kg·ha−1 (N4) and 240 kg·ha−1 (N5) were set up in 2023. Each treatment was repeated three times, with a plot area of 9 m2 (3 × 3 m2), and 1 m isolation space between plots. The main plots and split plot were randomly distributed. The N, P, and K fertilizers were urea, superphosphate, and potassium chloride, respectively, and the application rate for both P and K fertilizers was 120 kg·ha−1; all fertilizers were applied once before sowing, the row spacing was 25 cm, and the seeding rate was 150 kg·ha−1. The field was plowed in November, followed by rotary tillage prior to sowing each year. The phenological period of oats showed in Table 2.
Table 2.
Phenological period of different oat varieties in 2022 and 2023.
2.3. Measurement and Methods
2.3.1. Dry Matter Accumulation and Yield of Oats
0.5 m of row was sampled for both the flowering and maturity stages of oats. During the flowering stage, the oat samples were segmented into three components: the stem, leaf, and spike. In contrast, at maturity (full ripening period), the samples were categorized into four parts: the stem, leaf, rachis + glume, and seed. Subsequently, the oat parts were placed in an oven for 0.5 h at 105 °C to terminate their biological activity, followed by drying at 85 °C until a constant weight was achieved. Afterwards, they were weighed, ground, sieved, and stored. Upon reaching maturity, a 1 m2 area of unsampled oats was harvested from each plot, and the grains were threshed for yield assessment.
2.3.2. Nitrogen-Related Indicators
Oat samples were digested by the sulfuric acid–hydrogen peroxide method, and the nitrogen content was determined by the indophenol blue colorimetric method. The nitrogen accumulation was calculated based on the dry matter weight of oats for nitrogen-related indexes. Nitrogen utilization- and transport-related indexes were calculated, with references to Sun et al. [21], Cui et al. [22], and Li et al. [23].
Grain nitrogen accumulation (GNA, kg·ha−1) = Dry weight of grain × Nitrogen content of grain;
Plant nitrogen accumulation (PNA, kg·ha−1) = Dry weight of plants at maturity × Nitrogen content of individual plants at maturity;
Nitrogen fertilizer utilization efficiency (NFUE, %) = (Total nitrogen uptake by plants in the nitrogen applied area − Total nitrogen uptake by plants in the no-nitrogen-applied area)/Amount of nitrogen applied × 100%;
Nitrogen fertilizer productivity (NFP, kg·kg−1) = Grain yield in nitrogen application area/Amount of nitrogen applied;
Nitrogen agronomic efficiency (NAE, kg·kg−1) = (Grain yield in nitrogen-applied area − Grain yield in no-nitrogen-applied area)/Amount of nitrogen applied;
Pre-flowering nitrogen translocation amount (PrNTA, kg·ha−1) = Nitrogen accumulation at flowering − Nitrogen accumulation in nutrient organs at maturity;
Pre-flowering nitrogen translocation contribution rate (PrNTC, %) = Pre-flowering nitrogen translocation amount/Nitrogen accumulation in grain at maturity × 100%;
Nitrogen translocation rate (NTR, %) = Pre-flowering nitrogen translocation amount/Nitrogen accumulation during flowering × 100%;
Post-flowering nitrogen accumulation amount (PoNAA, kg·ha−1) = Grain nitrogen accumulation − Pre-flowering nitrogen translocation amount;
Post-flowering nitrogen accumulation contribution rate (PoNAC, %) = Post-flowering nitrogen accumulation amount/Grain nitrogen accumulation × 100%.
2.3.3. Grain Protein and β-Glucan Contents of Oats
The protein components were extracted using the continuous extraction method, and they were extracted with distilled water (albumin), 0.5 mol/L NaCl (globulin), 75% ethanol (gliadin), and 0.1 mol/L NaOH (glutenin), respectively. The protein components and protein content of samples were determined using the Kjeldahl method with a protein–nitrogen coefficient of 5.7 [24].
Grain β-glucan content was determined using the Megazyme Mixed Glucan Test Kit, Irish.
2.4. Statistical Analysis
Microsoft Excel 2021 was used to process the data, and SPSS 23.0 software was used to perform the analysis of variance, correlation analysis, and principal component analysis and to compare the means of the treatments based on the least significant (LSD) test at the 0.05 level of probability. Multi-way ANOVA was used to evaluate the effects of varieties and nitrogen and interactions on each of the variables; the results of the experiment were averaged over at least three replications and plotted graphically using Origin 2021.
3. Results
3.1. Effect of Nitrogen Application on Oat Yields
In 2022, grain yield increased significantly with increasing N application, with 52.04–55.57%, 59.43–75.59%, and 64.18–86.55% increases in yield for the N1, N2, and N3 treatments in E, M, and L oats, respectively, compared to the CK treatment. In 2023, with the addition of two N application treatments, the highest grain yield for E oats (2216.63 kg·ha−1) was recorded with the N3 treatment, and the highest grain yields of M oats and L oats were recorded with the N4 treatment (M oats, 2505.43 kg·ha−1; L oats, 2946.30 kg·ha−1). Under the N4 treatment, the grain yield of L oats increased by 17.59% and 42.46% compared to E oats and M oats. The interaction of maturity and N fertilizer showed significant differences (p < 0.01) in grain yield (Figure 2).
Regression analysis was conducted on the oat grain yield and nitrogen application rate (Figure 3). In 2022, the grain yield of three oat varieties showed an upward trend with the increase in nitrogen application rate. After adding two nitrogen application treatments in 2023, the grain yield of three varieties showed a quadratic curve relationship with the increase in nitrogen application, and the fitting effect reached a significant level. Applying an optimal level of nitrogen fertilizer effectively enhances oat yield. Nonetheless, exceeding a critical threshold of nitrogen application can lead to a significant reduction in oat grain yield. According to the regression equation between the nitrogen application amount (X) and grain yield (Y), when the nitrogen application is 150.76 kg·ha−1, E oats can obtain the highest oat grain yield of 2169.37 kg·ha−1. When the nitrogen application is 217.81 kg·ha−1, M oats can obtain the highest yield of 2460.58 kg·ha−1. Meanwhile, L oats can obtain the highest yield of 2856.61 kg·ha−1 at 171.30 kg·ha−1 nitrogen application.
Figure 2.
Grain yield of different oat varieties with different nitrogen applications. Note: Different lowercase letters for the same variety indicate that the difference between different nitrogen fertilizer levels of the same variety is significant at the p < 0.05 level; * indicates that the difference is significant at the 0.05 level; ** indicates that the difference is significant at the 0.01 level; *** indicates that the difference is significant at the 0.001 level; and ns indicates that the difference is not significant. The same is true for the following Figure 4, Figure 5 and Figure 6.
Figure 2.
Grain yield of different oat varieties with different nitrogen applications. Note: Different lowercase letters for the same variety indicate that the difference between different nitrogen fertilizer levels of the same variety is significant at the p < 0.05 level; * indicates that the difference is significant at the 0.05 level; ** indicates that the difference is significant at the 0.01 level; *** indicates that the difference is significant at the 0.001 level; and ns indicates that the difference is not significant. The same is true for the following Figure 4, Figure 5 and Figure 6.


Figure 3.
The relationship between the oat grain yield and nitrogen application level.
Figure 3.
The relationship between the oat grain yield and nitrogen application level.


3.2. Effect of Nitrogen Application on Oat Grain Protein and β-Glucan Content
As shown in Figure 4, nitrogen application significantly increased the protein content of oat grain (p < 0.05). In the two growing seasons, the grain protein content of E oats increased first and then decreased with the increase in nitrogen application and reached its highest value under the N2 treatment. Similarly, the grain protein content of M oats also performed best under the N2 treatment. The grain protein content of L oats peaked under the N3 treatment, but it is worth noting that the differences between the N2, N3, N4, and N5 treatments were not significant. Specifically, the grain protein content of L oats reached 14.15%, which increased by 4.60% and 15.85% compared with the E and M varieties, respectively.
The order of protein component content in the grains of three varieties of oat was as follows: Glo > Gli > Glu > Alb (Figure 5). In comparison among the three varieties, without nitrogen application, the Alb content was highest in M oats, the Glo and Gli content was highest in L oats, and the Glu content was highest in E oats. Nitrogen application significantly increased the content of grain protein components (p < 0.05), with Alb reaching the highest value with the N4 treatment in M oats, the Glo and Gli content reaching the highest value with the N4 treatment in L oats, and the Glu content reaching the highest value with the N3 treatment in E oats. The interaction effect of variety and nitrogen fertilization on Alb, Glo, Gli, and total protein content reached a significant level (p < 0.05) in 2022. The interaction effect of variety and nitrogen fertilization on Glo, Gli, and total protein content reached a significant level (p < 0.05) in 2023.
Figure 4.
Grain protein content of different oat varieties under different nitrogen applications.
Figure 4.
Grain protein content of different oat varieties under different nitrogen applications.


Figure 5.
Grain protein component contents of different oat varieties under different nitrogen applications. Note: Alb, albumin; Glo, globulin; Gli, gliadin; and Glu, gluten.
Figure 5.
Grain protein component contents of different oat varieties under different nitrogen applications. Note: Alb, albumin; Glo, globulin; Gli, gliadin; and Glu, gluten.


Nitrogen application increased the β-glucan content of oat grains significantly (p < 0.05); the β-glucan content of oats showed a tendency of increasing and then decreasing with the increase in nitrogen application (Figure 6). Without nitrogen application, the β-glucan content of L oats was the highest in comparison with other varieties. The β-glucan content of E and M oats reached its peak under the N2 treatment, while that of L oats reached its peak under N3, with a maximum of 4.93%. The β-glucan content of L oats was more sensitive to high amounts of nitrogen fertilizer, and E oats increased more after nitrogen application.
Figure 6.
β-glucan content of different oat varieties under different nitrogen applications.
Figure 6.
β-glucan content of different oat varieties under different nitrogen applications.

3.3. Effect of Nitrogen Application on Dry Matter and Nitrogen Accumulation
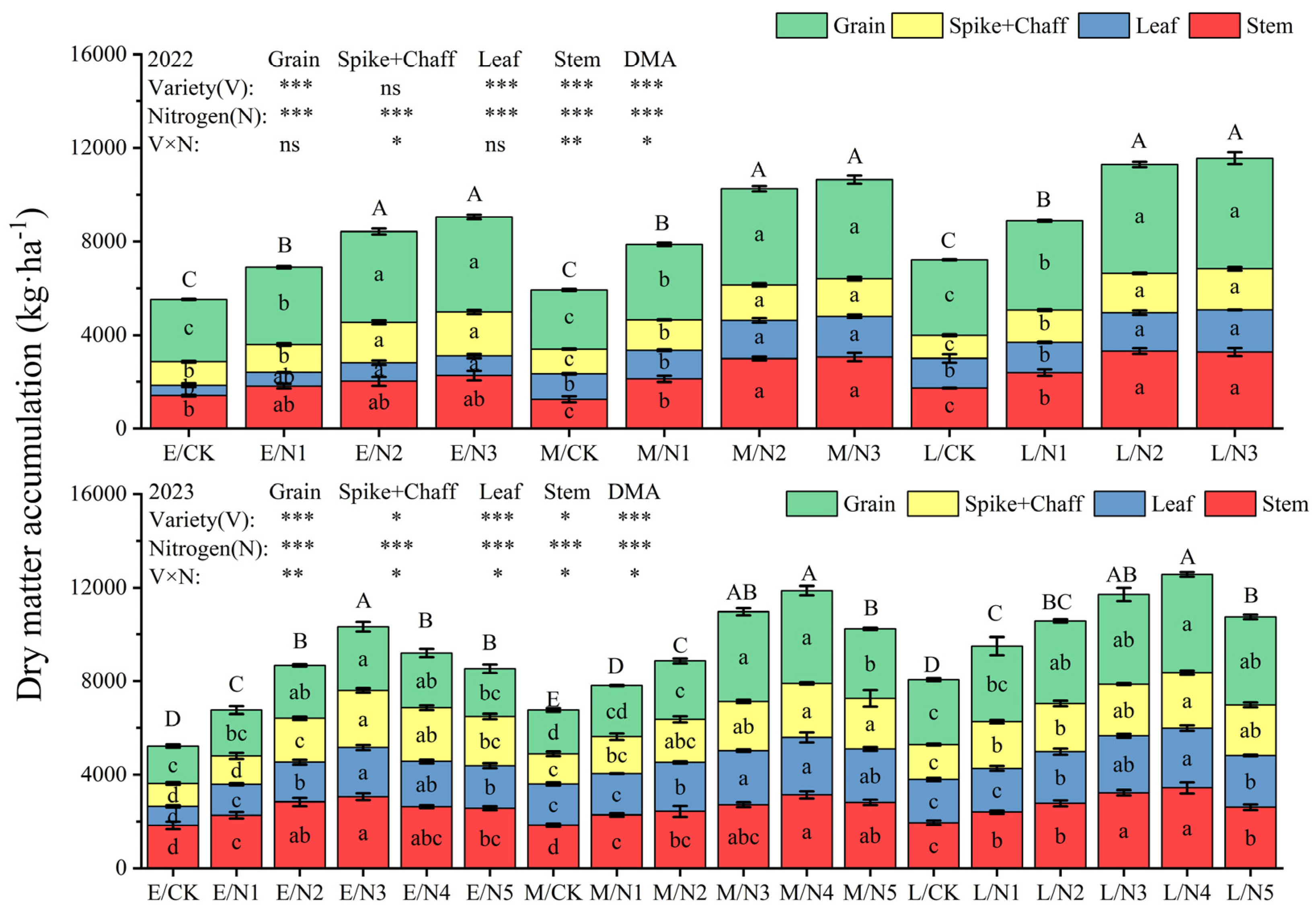
The aboveground dry matter accumulation of oats showed a significant upward trend with the increase in N application and reached its highest at the N3 level in 2022 (Figure 7 and Figure 8). At the flowering stage, the order of dry matter accumulation in each organ under CK was spike > stem > leaf. At maturity, the dry matter accumulation of L oats reached a maximum of 11,561.18 kg·ha−1 under N3, which increased by 27.81% and 8.62% compared with that of E and M oats. In 2023, the dry matter accumulation of oats showed an increasing and then decreasing trend with the increase in nitrogen application, and at the maturity stage, with the increase in nitrogen application, the dry matter accumulation of L oats reached its highest value of 12567.08 kg·ha−1 in the N4 treatment, which increased by 21.71% and 5.87%, respectively, in comparison with that of E and M oats. The interaction of variety and nitrogen fertilizer had significant (p < 0.05) effects on whole-plant dry matter accumulation (DMA) at the flowering stage and on stem, (spike + chaff), and DMA at the mature stage.
Figure 7.
Dry matter accumulation in various organs of oats at the flowering stage. Note: Different capital letters on the columns indicate significant (p < 0.05) differences in the dry matter accumulation of the same variety of oats with different nitrogen applications. Different lowercase letters on the columns indicate significant (p < 0.05) differences in dry matter accumulation in oat organs of the same variety under different nitrogen application rates. * indicates that the difference is significant at the 0.05 level; ** indicates that the difference is significant at the 0.01 level; *** indicates that the difference is significant at the 0.001 level; and ns indicates that the difference is not significant. The same is true for the Figure 7, Figure 8, Figure 9 and Figure 10.
Figure 8.
Dry matter accumulation in various organs of oats at maturity stage.
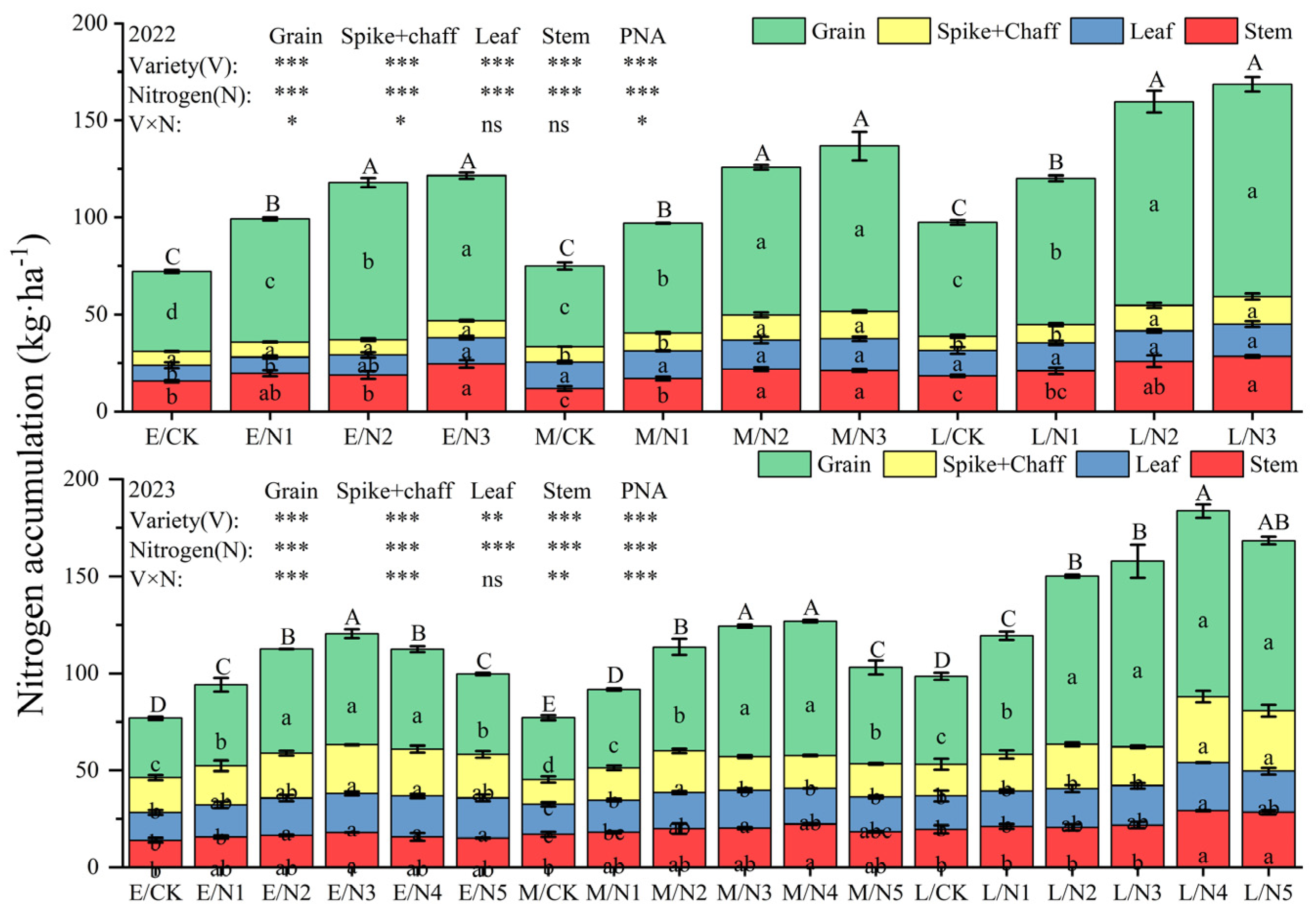
During the flowering stage, the application of nitrogen fertilizer increased the nitrogen accumulation in stems, leaves, (spike axis + glume), and grains to varying degrees (Figure 9). The stem and leaf nitrogen accumulation in L oats was the highest (38.29 kg·ha−1 and 35.45 kg·ha−1), which was significantly higher than that of E and M oats. Nitrogen accumulation in the nutrient organs of oats (stems and leaves) showed a decreasing trend from the flowering stage to the maturity stage, whereas nitrogen accumulation in reproductive organs (spike + chaff and grain) showed an increasing trend. With the elevation in nitrogen application, the nitrogen accumulation of oats in 2022 showed an upward trend, but in 2023, it showed a tendency of increasing and then decreasing, and L oats reached the highest value of 183.68 kg·ha−1, which was significantly higher than that of E oats and M oats by 51.14% and 44.63% (Figure 10).
Figure 9.
Nitrogen accumulation in various organs of oats at the flowering stage.
Figure 9.
Nitrogen accumulation in various organs of oats at the flowering stage.

Figure 10.
Nitrogen accumulation in various organs of oats at the maturity stage.
Figure 10.
Nitrogen accumulation in various organs of oats at the maturity stage.

3.4. Nitrogen Fertilizer Utilization Efficiency and Nitrogen Translocation Efficiency in Oats
As shown in Table 3, the interaction of variety and nitrogen fertilizer significantly (p < 0.05) affected the NFUE, NFP, and NAE of oats. The NFUE of all varieties exhibited a trend of an initial increase followed by a decrease as nitrogen (N) application rates increased; it was highest under N2 and lowest under N5, and the highest NFUE was measured in L oats (69.19%), outperforming E and M oats by an average of 40.03% and 31.92%, respectively, over the two-year study. In terms of NFP and NAE, the three varieties of oats showed a significant decreasing trend (p < 0.05) with increasing N application.
Table 3.
Oat nitrogen fertilizer use efficiency-related indicators over the 2-year growing season.
As shown in Table 4, the interaction of variety and nitrogen fertilizer significantly affected PrNTA, NTR, and PoNAA (p < 0.05 or p < 0.001). PrNTA showed a tendency to increase and then decrease with nitrogen application, and the PrNTA values of all nitrogen fertilizer treatments were significantly higher than that of CK (p < 0.05), and PrNTA was greater than PoNAA, indicating that pre-flowering nitrogen translocation was the main source of nitrogen in grains. The highest level of PrNTA was observed in E oats under the N3 treatment, whereas in L oats, this was seen under the N4 treatment. E oats reached the highest NTR (64.39%) in 2022.
Table 4.
Oat nitrogen translocation efficiency-related indicators over the 2-year growing season.
3.5. The Correlation of Oat Characteristics
There was a significant positive correlation observed between oat yield, protein, and its component contents, β-GC, DMA, GNA, PNA, NFUE, NAE, PrNTA, NTR, and PoNAA (p < 0.05) (Figure 11). NFP exhibited a negative correlation with DMA and PrNTA. PrNTC displayed a negative correlation with PRO, GLI, PoNAA, and PoNAC. PoNAC showed a negative correlation with ALB, PrNTA, PrNTC, and NTR (p < 0.05).
Figure 11.
Correlation analysis of various oat characteristics. Note: GY, grain yield; PRO, protein content; ALB, albumin; GLO, globulin; GLI, alcohol-soluble protein; GLU, glutelin; β-GC, β-Glucan; DMA, dry matter accumulation; GNA, grain nitrogen accumulation; PNA, plant nitrogen accumulation; NFUE, nitrogen fertilizer utilization efficiency; NFP, nitrogen fertilizer productivity; NAE, nitrogen fertilizer agricultural efficiency; PrNTA, pre-flowering nitrogen translocation amount; PrNTC, pre-flowering nitrogen translocation contribution; NTR, pre-flowering nitrogen translocation rate; PoNAA, post-flowering nitrogen accumulation amount; PoNAC, post-flowering nitrogen accumulation contribution. Red represents a positive correlation; blue represents a negative correlation. * means significantly different at the 0.05 level.
4. Discussion
4.1. Oat Yield and Dry Matter Accumulation in Response to Nitrogen Fertilization
Previous studies investigating nitrogen fertilizer application rates have demonstrated a consistent trend, wherein wheat dry matter and grain yield initially increase and subsequently decrease as nitrogen application increases [25]; due to variations in soil fertility, crop types, and environmental conditions, the optimal nitrogen application rate for each crop should be determined to maximize the economic and ecological benefits of N fertilizer. The dry matter accumulation of L oats grains was highest at 180 kg·ha−1 of N application, then decreased significantly when the N application was increased to 240 kg·ha−1. Our two-year experiment revealed that nitrogen application enhanced oat dry matter accumulation and promoted its distribution to nutrient organs. However, excessive nitrogen application triggered nutrient organ overgrowth and delayed ripening [26,27], resulting in the proportion of dry matter allocated to the grain decreasing.
Crop yields are contingent upon the efficient translocation and distribution of assimilates, as well as the accessibility of nitrogen fertilizers. Nitrogen fertilization enhance dry matter accumulation and grain protein content [28,29], thereby improving oat yield and quality [30]. The interaction between oat varieties and nitrogen fertilizer is notable, significantly affecting the yield and yield components of different oat varieties; the late-maturing variety of oat exhibited a higher yield compared to the early- and medium-maturing varieties [9]. Moreover, significant variations in yield and yield components were observed among different oat varieties cultivated in various regions [31]. The relationship between yield and the amount of N applied follows a parabolic pattern; upon reaching a certain threshold of N application, further increases in N application result in a decrease in yield. The application of excessive nitrogen fertilizer led to reduced nitrogen use efficiency and oat yield, increased production costs, and environmental pollution [6]. Selecting oat varieties with high nitrogen efficiency and determining the optimal nitrogen application rate are crucial in determining the appropriate planting areas of oats. In this study, L oat varieties exhibited a higher nitrogen tolerance than E and M varieties. Notably, the yield of L oats peaked under N4, surpassing the peak yields of E and M oats by 32.92% and 17.60%, respectively.
4.2. Nutritional Quality of Oat Grains
Oats exhibit substantial nutritional value, with their grain protein content ranging from 11% to 16% [32]. Oat protein accumulates continuously during grain development, directly benefiting from nitrogen application [33]. In this study, the protein content of oats initially rose and subsequently declined in response to increasing nitrogen application rates, indicating that the beneficial effect of nitrogen on oat protein content was constrained. Notably, excessive nitrogen application led to a significant decrease in protein content. The protein contents in oat varieties of different maturities were significantly different; L oats showed the advantage of high-protein varieties compared with other oats, with the highest recorded protein content being 14.15%. Danuta Leszczyńska et al. [34] studied the mixed sowing of cereals in Poland, revealing that the protein content of oats ranged from 11.1% to 13.7%. Consequently, both environmental factors and oat variety characteristics significantly influence protein content. Oat protein can be classified into four main categories: albumin, globulin, gliadin, and glutenin. Albumin and globulin are rich in essential amino acids crucial to human nutrition and thereby influence the overall nutritional quality of oats. The content of gliadin and glutenin is related to the quality of oat flour, determining the processing quality of oats [35]. The effect of nitrogen application on protein component contents varies [36]; Li et al. [37] found that nitrogen application exerted varying degrees of impact on the enhancement of individual protein components: a significant promotion was evident in globulin content, followed by gliadin and glutelin. Our experiment found a positive correlation between total protein and various protein components. Nitrogen application significantly increased the content of oat protein components, with the most significant increase in globulin content. The highest content of grain protein was achieved at a nitrogen application rate of 180 kg·ha−1, followed by gliadin and glutelin, which is consistent with the above research results.
β-Glucan is a dietary fiber and a biologically active natural polysaccharide [38] occurring in grains of oats, barley, and wheat. The content of β-Glucan is significantly influenced by crop genotype and environmental factors; increasing nitrogen fertilizer application in different regions can improve oat β-Glucan [33]. This is because the increase in nitrogen fertilizer application can strengthen the photosynthesis of plants and increase the content of β-glucan synthesis precursor—glucose, thus increasing the synthesis amount of β-glucan. But Jackson et al. [39] believed that oat and barley β-Glucan is not significantly affected by the amount of nitrogen applied, and changes may also be caused by differences in variety and the environment in which the variety operates. The range for β-glucan content in high-protein oat varieties is 3.2–5.4% [36]. In this experiment, the highest record reached 4.92% in L oat grains, β-glucan increased to varying degrees compared to CK, and oat varieties and nitrogen led to significant differences in nutritional composition. Grain protein and β-glucan are independent indicators of grain nutritional quality and do not antagonize each other [36]. Therefore, high-protein oats rich in β-glucan are more highly favored [40].
4.3. Nitrogen Utilization and Transport Characteristics of Oats
The accumulation and transportation of nitrogen are closely related to the formation of grain yield. Reasonable nitrogen application helps to improve nitrogen accumulation and transportation, laying the foundation for high-quality and high-yield crops [41]. Varietal differences and N application rates both have a significant impact on the nitrogen content of cereals. N application increased the accumulation of nitrogen in the aboveground parts of cereals [42], but an excessive increase in N application reduced the nitrogen accumulation in various organs [43]. The nitrogen content in oat stems and leaves shows a declining trend over time, while in spikes and grains, it exhibits an increasing trend. We also found that the nitrogen accumulation in reproductive organs (spike + chaff, grain) was greater than that in nutrient organs (stem, leaf), and the nitrogen accumulation in N application treatments was significantly higher than that in CK. The peak nitrogen accumulation in L oats was observed with the N4 treatment, suggesting that exceeding a specific nitrogen application threshold can constrain the crop’s ability to absorb and accumulate nitrogen.
The nitrogen transport capacity before flowering reflects the nitrogen demand of the sink organ (grain) from the source organ (stem, leaf) and is closely related to the source–sink relationship [44]. The pre-flowering nitrogen translocation varies among different grain varieties, with nitrogen application enhancing this process in grains. Nitrogen accumulation during the flowering phase enhances the contribution of nitrogen from pre-flowering nutrient organs to grain partitioning, ultimately influencing the grain yield during the grouting period [45]. A heightened nitrogen transport capacity, however, correlates with diminished nutrient levels in the stem and leaves, subsequently elevating the likelihood of premature leaf senescence and plant lodging during the later crop growth phases. This, in turn, adversely impacts grain yield formation in the subsequent stages [46]. Excessive nitrogen application, however, significantly decreases the efficiency of nitrogen translocation to grains post-flowering, as evidenced by a notable decline in both the pre-flowering translocation and post-flowering accumulation amounts in oats. Furthermore, the post-flowering nitrogen accumulation and contribution in oats were found to be significantly lower compared to the pre-flowering nitrogen transport and contribution. Our findings underscore the significance of nitrogen in nutrient organs and highlight the primary contribution of pre-flowering nitrogen translocation to the grain nitrogen content. Optimizing nitrogen application is crucial for maximizing the nitrogen translocation efficiency from nutrient organs to reproductive organs and particularly enhancing pre-flowering nitrogen translocation to increase the grain nitrogen content, thereby improving nitrogen use efficiency in oats and ultimately enhancing their quality and yield.
The efficiency of nitrogen fertilizer utilization is primarily governed by three factors: crop nitrogen uptake, soil and fertilizer nitrogen availability, and nitrogen losses within the soil–plant system [47]. Notably, the quantity of nitrogen fertilizer applied is a crucial determinant of utilization efficiency. An increase in nitrogen application levels will lead to a decline in nitrogen fertilizer utilization efficiency [48]. Optimizing nitrogen fertilizer application ensures an adequate nutrient supply for crop growth and development while minimizing nitrogen loss and enhancing the fertilizer utilization efficiency [49]. In this study, as the nitrogen application rate increased, both nitrogen fertilizer productivity and nitrogen agronomic efficiency exhibited a notable decrease. As the nitrogen application rate for oats varied from 0 to 90 kg·ha−1, the nitrogen fertilizer use efficiency showed a significant increase trend, peaking at the N2 level; thereafter, NFUE demonstrated a pronounced decline. These findings suggest that an optimal nitrogen application rate is conducive to enhancing the nitrogen fertilizer utilization efficiency. Further research needs to be conducted, incorporating multi-site trials in other areas of the Loess Plateau.
5. Conclusions
Through a comparison of three oat varieties with different growth periods, it was discovered that nitrogen application favored oat growth, but excessive nitrogen application could inhibit it. The late-maturing oat variety achieved the highest yield (2946.30 kg·ha−1) and protein yield (14.15%) at a nitrogen application rate of 180 kg·ha−1. At 120 kg·ha−1, the late-maturing oat variety exhibited the highest β-glucan content of 4.92%. The nitrogen fertilizer use efficiency (NFUE) of all oat varieties was highest at 90 kg·ha−1, and the pre-flowering nitrogen translocation contribution (PrNTC) was higher than the post-flowering nitrogen accumulation contribution (PoNAC). There were significant positive correlations between oat yield, quality, and nitrogen accumulation and utilization. In summary, when nitrogen application rates ranged from 90 to 180 kg·ha−1, oats performed well in terms of yield, quality, and nitrogen utilization. The late-maturing oat variety is more suitable for planting in dryland regions of the Loess Plateau.
Author Contributions
Conceptualization, Y.Q., J.G. and L.G.; methodology, L.Z. (Luming Zhao); investigation, L.Z. (Luming Zhao), L.Z. (Lijing Zhang) and D.G.; data curation, Y.F., Y.W. and Z.Y.; writing—original draft preparation, L.Z. (Luming Zhao); writing—review and editing, Y.Q.; supervision, Y.Q.; project administration, Y.Q. All authors have read and agreed to the published version of the manuscript.
Funding
This study was funded by Ministry of Finance and Ministry of Agriculture and Rural Affairs: National Modern Agricultural Industry Technology System (CARS-07); Natural Science Foundation of China (31901478); Shanxi Province Returned Overseas Students Research Support Project (2022-109); and Independent Research and Development Project of Provincial and Ministry Collaborative Innovation Center for High Quality and Efficient Production of Characteristic Crops in the Loess Plateau (SBGJXTZX).
Data Availability Statement
Data are contained within the article.
Conflicts of Interest
The authors declare that they have no conflicts of interest.
References
- Chen, J.; Qiao, M.; Yang, Y.; Gao, Z.; Yang, Z.; Lin, W. Exogenous Streptomyces spp. benefit naked oat growth under dry farming conditions by modifying rhizosphere bacterial communities. Appl. Soil Ecol. 2023, 189, 104946. [Google Scholar] [CrossRef]
- Bai, J.; Yan, W.; Wang, Y.; Yin, Q.; Liu, J.; Charlene, W.; Ma, B. Screening Oat Genotypes for Tolerance to Salinity and Alkalinity. Front. Plant Sci. 2018, 9, 130–132. [Google Scholar] [CrossRef]
- Martínez-Villaluenga, C.; Elena, P. Health benefits of oat: Current evidence and molecular mechanisms. Curr. Opin. Food Sci. 2017, 14, 26–31. [Google Scholar] [CrossRef]
- Rasane, P.; Jha, A.; Sabikhi, L.; Kumar, A.; Unnikrishnan, V.S. Nutritional advantages of oats and opportunities for its processing as value added foods. J. Food Sci. Technol. 2015, 52, 662–675. [Google Scholar] [CrossRef]
- Esvelt Klos, K.; Yimer, B.A.; Howarth, C.J.; McMullen, M.S.; Sorrells, M.E.; Tinker, N.A.; Yan, W.; Beattie, A.D. The Genetic Architecture of Milling Quality in Spring Lines of the Collaborative Oat Research Enterprise. Foods 2021, 10, 2479. [Google Scholar] [CrossRef] [PubMed]
- Wang, Y.; Liu, K.; Liang, G.; Jia, Z.; Ju, Z.; Ma, X.; Zhou, Q. Comprehensive Evaluation of Low Nitrogen Tolerance in Oat (Avena sativa L.) Seedlings. Agronomy 2023, 13, 604. [Google Scholar] [CrossRef]
- Wang, Z.; Wang, J.; Zhao, C.; Zhao, M.; Huang, W.; Wang, C. Vertical Distribution of Nitrogen in Different Layers of Leaf and Stem and Their Relationship with Grain Quality of Winter Wheat. J. Plant Nutr. Fertil. 2005, 28, 73–91. [Google Scholar] [CrossRef]
- May, W.; Mohr, R.; Lafond, G.; Johnston, A.M.; Craig Stevenson, F. Effect of nitrogen, seeding date and cultivar on oat quality and yield in the eastern Canadian prairies. Can. J. Plant Sci. 2004, 84, 1025–1036. [Google Scholar] [CrossRef]
- Melissa, W.; Emily, E.; Lee, K.; Paulo, P. Organic Oat Response to Variety, Seeding Rate, and Nutrient Source and Rate. Agronomy 2021, 11, 1418. [Google Scholar] [CrossRef]
- Usman, K.; Khan, E.; Yazdan, F.; Niamatullah, K.; Abdur, R.; Saleem, U.D. Short Response of Spring Wheat to Tillage, Residue Management and Split Nitrogen Application in a Rice-Wheat System. J. Integr. Agric. 2014, 13, 2625–2633. [Google Scholar] [CrossRef]
- Cui, Z.; Yue, S.; Wang, G.; Fusuo, Z.; Xinping, C. In-season root-zone N management for mitigating greenhouse gas emission and reactive N losses in intensive wheat production. Environ. Sci. Technol. 2013, 47, 6015–6022. [Google Scholar] [CrossRef] [PubMed]
- Ma, R.; Chang, X.; Liu, A.; Wang, D.; Tao, Z.; Wang, Y.; Yang, Y.; Wang, Z.; Zhao, G. Reducing nitrogen application and synergistically improving yield and quality of strong gluten wheat. J. Plant Nutr. Fertil. 2023, 29, 172–187. [Google Scholar]
- Unité Mixte, A.; Unité De, R.; INRA Unité, M. Nitrogen Remobilization during Grain Filling in Wheat: Genotypic and Environmental Effects. Crop Sci. 2005, 45, 1141–1150. [Google Scholar]
- Liang, W.; Zhang, Z.; Wen, X.; Liao, Y.; Liu, Y. Effect of non-structural carbohydrate accumulation in the stem pre-anthesis on grain filling of wheat inferior grain. Field Crops Res. 2017, 211, 66–76. [Google Scholar] [CrossRef]
- Zeleke, K.; Nendel, C. Analysis of options for increasing wheat (Triticum aestivum L.) yield in south-eastern Australia: The role of irrigation, cultivar choice and time of sowing. Agric. Water Manag. 2016, 122, 52–58. [Google Scholar] [CrossRef]
- Tian, B.; Luan, S.; Zhang, L.; Liu, Y.; Zhang, L.; Li, H. Penalties in yield and yield associated traits caused by stem lodging at different developmental stages in summer and spring foxtail millet cultivars. Field Crops Res. 2018, 217, 104–112. [Google Scholar] [CrossRef]
- Zhao, J.; Weiss, T.; Du, Z.; Hong, S.; Bean, S.R.; Li, Y.; Wang, D. Comparative evaluation of physicochemical and fermentative responses of three sorghum varieties from dryland and irrigated land and the properties of proteins from distillers’ grains. J. Cereal Sci. 2022, 10, 104–108. [Google Scholar] [CrossRef]
- Sánchez-Martín, J.; Rubiales, D.; Flores, F.; Emeran, A.A.; Shtaya, M.J.Y.; Sillero, J.C.; Allagui, M.B.; Prats, E. Adaptation of oat (Avena sativa) cultivars to autumn sowings in Mediterranean environments. Field Crops Res. 2014, 156, 111–122. [Google Scholar] [CrossRef]
- Ihsan, M.; Nisar, M.; Nazir, N.; Zahoor, M.; Khalil, A.A.K.; Ghafoor, A.; Khan, A.; Mothana, R.A.; Ullah, R.; Ahmad, N. Genetic diversity in nutritional composition of oat (Avena sativa L.) germplasm reported from Pakistan. Saudi J. Biol. Sci. 2022, 29, 1487–1500. [Google Scholar] [CrossRef]
- Givens, D.; Davies, T.; Laverick, R. Effect of variety, nitrogen fertiliser and various agronomic factors on the nutritive value of husked and naked oats grain. Anim. Feed. 2004, 113, 169–181. [Google Scholar] [CrossRef]
- Sun, Y.; Ma, J.; Sun, Y.; Xu, H.; Yang, Z.; Liu, S.; Jia, X.; Zheng, H. The effects of different water and nitrogen managements on yield and nitrogen use efficiency in hybrid rice of China. Field Crops Res. 2012, 127, 85–98. [Google Scholar] [CrossRef]
- Cui, H.; Luo, Y.; Li, C.; Chang, Y.; Jin, M.; Li, Y.; Wang, Z. Effects of nitrogen forms on nitrogen utilization, yield, and quality of two wheat varieties with different gluten characteristics. Eur. J. Agron. 2023, 149, 23–28. [Google Scholar] [CrossRef]
- Li, H.; Wang, H.; Fang, Q.; Jia, B.; Li, D.; He, J.; Li, R. Effects of irrigation and nitrogen application on NO3--N distribution in soil, nitrogen absorption, utilization and translocation by winter wheat. Agric. Water Manag. 2023, 276, 132–138. [Google Scholar] [CrossRef]
- Wang, H.; Li, D.; Wan, C.; Luo, Y.; Yang, Q.; Gao, X.; Feng, B. Improving the Functionality of Proso Millet Protein and Its Potential as a Functional Food Ingredient by Applying Nitrogen Fertiliser. Foods 2021, 10, 1332. [Google Scholar] [CrossRef] [PubMed]
- Deng, L.; Jiao, X. A Meta-Analysis of Effects of Nitrogen Management on Winter Wheat Yield and Quality. Sci. Agric. Sin. 2021, 54, 2355–2365. [Google Scholar]
- Zhang, J.; Liu, J.; Zhang, J.; Zhao, F.; Cheng, Y.; Wang, w. Effects of Nitrogen Application Rates on Translocation of Dry Matter and Nitrogen Utilization in Rice and Wheat. Acta Agron. Sin. 2010, 36, 1736–1742. [Google Scholar] [CrossRef]
- Zhang, Q.; Gao, Y.; Yan, B.; Cui, Z.; Ma, J. Perspective on oil flax yield and dry biomass with reduced nitrogen supply. Chin. J. Oil Crop Sci. 2020, 5, 5–9. [Google Scholar] [CrossRef]
- Dordas, C.; Sioulas, C. Safflower yield, chlorophyll content, photosynthesis, and water use efficiency response to nitrogen fertilization under rainfed conditions. Ind. Crops Prod. 2008, 27, 75–85. [Google Scholar] [CrossRef]
- Li, Z.; Cui, S.; Zhang, Q.; Xu, G.; Feng, Q.; Chen, C.; Li, Y. Optimizing Wheat Yield, Water, and Nitrogen Use Efficiency With Water and Nitrogen Inputs in China: A Synthesis and Life Cycle Assessment. Front. Plant Sci. 2022, 13, 93–98. [Google Scholar] [CrossRef]
- Zhu, G.; Xu, Z.; Xu, Y.; Lu, H.; Ji, Z.; Zhou, G. Different Types of Fertilizers Enhanced Salt Resistance of Oat and Associated Physiological Mechanisms in Saline Soils. Agronomy 2022, 12, 317. [Google Scholar] [CrossRef]
- Wang, G.; Xu, H.; Zhao, H.; Wu, Y.; Gao, X.; Chai, Z.; Liang, Y.; Zhang, X.; Zheng, R.; Yang, Q.; et al. Screening Optimal Oat Varieties for Cultivation in Arid Areas in China: A Comprehensive Evaluation of Agronomic Traits. Agronomy 2023, 13, 2266. [Google Scholar] [CrossRef]
- Karol, B.; Joanna, H. Current Knowledge of Content and Composition of Oat Oil—Future Perspectives of Oat as Oil Source. Food Bioprocess Technol. 2020, 159, 1–16. [Google Scholar] [CrossRef]
- Allwood, J.W.; Martinez-Martin, P.; Xu, Y.; Cowan, A.; Pont, S.; Griffiths, I.; Sungurtas, J.; Clarke, S.; Goodacre, R.; Marshall, A.; et al. Assessing the impact of nitrogen supplementation in oats across multiple growth locations and years with targeted phenotyping and high-resolution metabolite profiling approaches. Food Chem. 2021, 355, 129585. [Google Scholar] [CrossRef] [PubMed]
- Leszczyńska, D.; Klimek-Kopyra, A.; Patkowski, K. Evaluation of the Productivity of New Spring Cereal Mixture to Optimize Cultivation under Different Soil Conditions. Agriculture 2020, 344, 344. [Google Scholar] [CrossRef]
- Pourmohammadi, K.; Abedi, E.; Hashemi, S.M.B. Gliadin and glutenin genomes and their effects on the technological aspect of wheat-based products. Curr. Res. Food Sci. 2023, 7, 100622. [Google Scholar] [CrossRef]
- Sunilkumar, B.; Leonova, S.; Öste, R.; Olsson, O. Identification and characterization of high protein oat lines from a mutagenized oat population. J. Cereal Sci. 2017, 75, 100–107. [Google Scholar] [CrossRef]
- Li, J.; Yang, W.; Guo, A.; Qi, Z.; Wang, J. Combined foliar and soil selenium fertilizer increased the grain yield, quality, total Se, and organic Se content in naked oats. J. Cereal Sci. 2021, 62, 103–105. [Google Scholar] [CrossRef]
- Błaszczyk, K.; Wilczak, J.; Harasym, J.; Gudej, S.; Suchecka, D.; Królikowski, T.; Lange, E.; Gromadzka-Ostrowska, J. Impact of low and high molecular weight oat beta-glucan on oxidative stress and antioxidant defense in spleen of rats with LPS induced enteritis. Food Hydrocoll. 2015, 51, 272–280. [Google Scholar] [CrossRef]
- Jackson, G.; Berg, R.; Kushnak, G.; Blake, T.; Yarrow, G. Nitrogen effects on yield, beta-glucan content, and other quality factors of oat and waxy hulless barley. Commun. Soil Sci. 1994, 25, 3047–3055. [Google Scholar] [CrossRef]
- Gorash, A.; Armonienė, R.; Mitchell, J.; Liatukas, Ž.; Danytė, V. Aspects in oat breeding: Nutrition quality, nakedness and disease resistance, challenges and perspectives. Ann. Appl. Biol. 2017, 171, 281–302. [Google Scholar] [CrossRef]
- Zhang, G.; Liu, S.; Dong, Y.; Liao, Y.; Han, J. A nitrogen fertilizer strategy for simultaneously increasing wheat grain yield and protein content: Mixed application of controlled-release urea and normal urea. Field Crops Res. 2022, 277, 108–115. [Google Scholar] [CrossRef]
- Liu, Z.; Tao, L.; Liu, T.; Zhang, X.; Wang, W.; Song, J.; Yu, C.; Peng, X. Nitrogen application after low-temperature exposure alleviates tiller decrease in rice. Environ. Exp. Bot. 2018, 158, 205–214. [Google Scholar] [CrossRef]
- Khan, S.; Anwar, S.; Yu, S.; Gao, Z.; Yang, Z. Soil water consumption, water use efficiency and winter wheat production in response to nitrogen fertilizer and tillage. PeerJ 2020, 8, 10–14. [Google Scholar] [CrossRef] [PubMed]
- Zhong, Y.; Wang, W.; Huang, X.; Liu, M.; Hebelstrup, K.H.; Yang, D.; Cai, J.; Wang, X.; Zhou, Q.; Cao, W.; et al. Nitrogen topdressing timing modifies the gluten quality and grain hardness related protein levels as revealed by ITRAQ. Food Chem. 2018, 277, 135–144. [Google Scholar] [CrossRef]
- Carlisle, E.; Myers, S.; Raboy, V.; Bloom, A. The effects of inorganic nitrogen form and CO2 concentration on wheat yield and nutrient accumulation and distribution. Front. Plant Sci. 2012, 3, 195–198. [Google Scholar] [CrossRef]
- Xue, J.; Gou, L.; Shi, Z.; Zhao, Y.; Zhang, W. Effect of leaf removal on photosynthetically active radiation distribution in maize canopy and stalk strength. J. Integr. Agric. 2016, 16, 85–96. [Google Scholar] [CrossRef]
- Santillano, C.; Núñez, R.; Ruíz, A.; Cárdenas, C.; Ortiz, M. Assessment of Fertilizer Management Strategies Aiming to Increase Nitrogen Use Efficiency of Wheat Grown Under Conservation Agriculture. Agronomy 2018, 8, 304. [Google Scholar] [CrossRef]
- Yang, X.; Lu, Y.; Ding, Y.; Yin, X.; Raza, S.; Tong, Y. Optimising nitrogen fertilisation: A key to improving nitrogen-use efficiency and minimising nitrate leaching losses in an intensive wheat/maize rotation (2008–2014). Field Crops Res. 2017, 206, 1–10. [Google Scholar] [CrossRef]
- Li, J.-p.; Zhang, Z.; Yao, C.-s.; Liu, Y.; Wang, Z.-m.; Fang, B.-t.; Zhang, Y.-h. Improving winter wheat grain yield and water-/nitrogen-use efficiency by optimizing the micro-sprinkling irrigation amount and nitrogen application rate. J. Integr. Agric. 2021, 20, 606–621. [Google Scholar] [CrossRef]
Disclaimer/Publisher’s Note: The statements, opinions and data contained in all publications are solely those of the individual author(s) and contributor(s) and not of MDPI and/or the editor(s). MDPI and/or the editor(s) disclaim responsibility for any injury to people or property resulting from any ideas, methods, instructions or products referred to in the content. |
© 2024 by the authors. Licensee MDPI, Basel, Switzerland. This article is an open access article distributed under the terms and conditions of the Creative Commons Attribution (CC BY) license (https://creativecommons.org/licenses/by/4.0/).


