Allelopathic Substances of Osmanthus spp. for Developing Sustainable Agriculture
Abstract
1. Introduction
2. Results
2.1. Allelopathic Activity of the Leaves of O. fragrans, O. heterophyllus and O. × fortunei
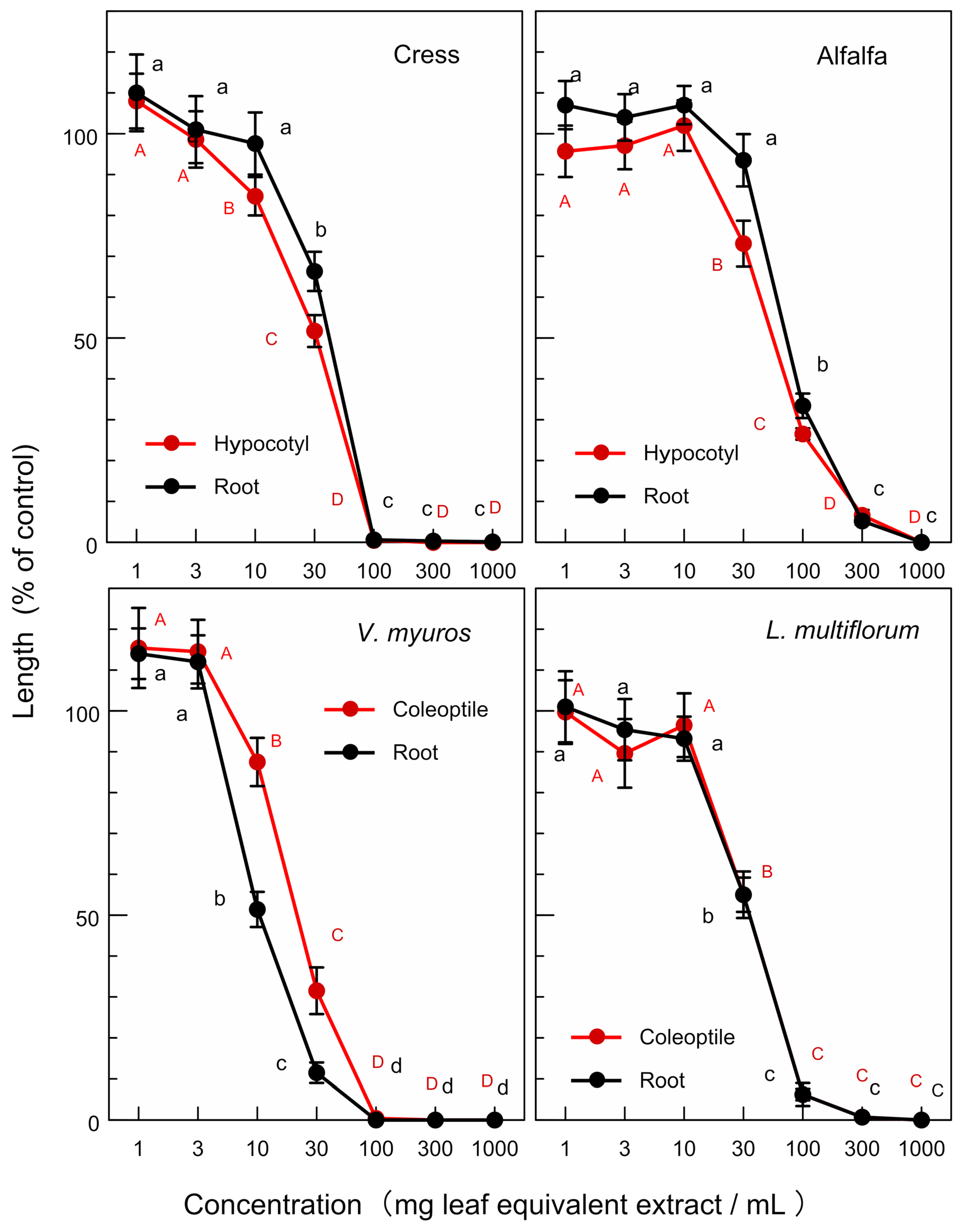
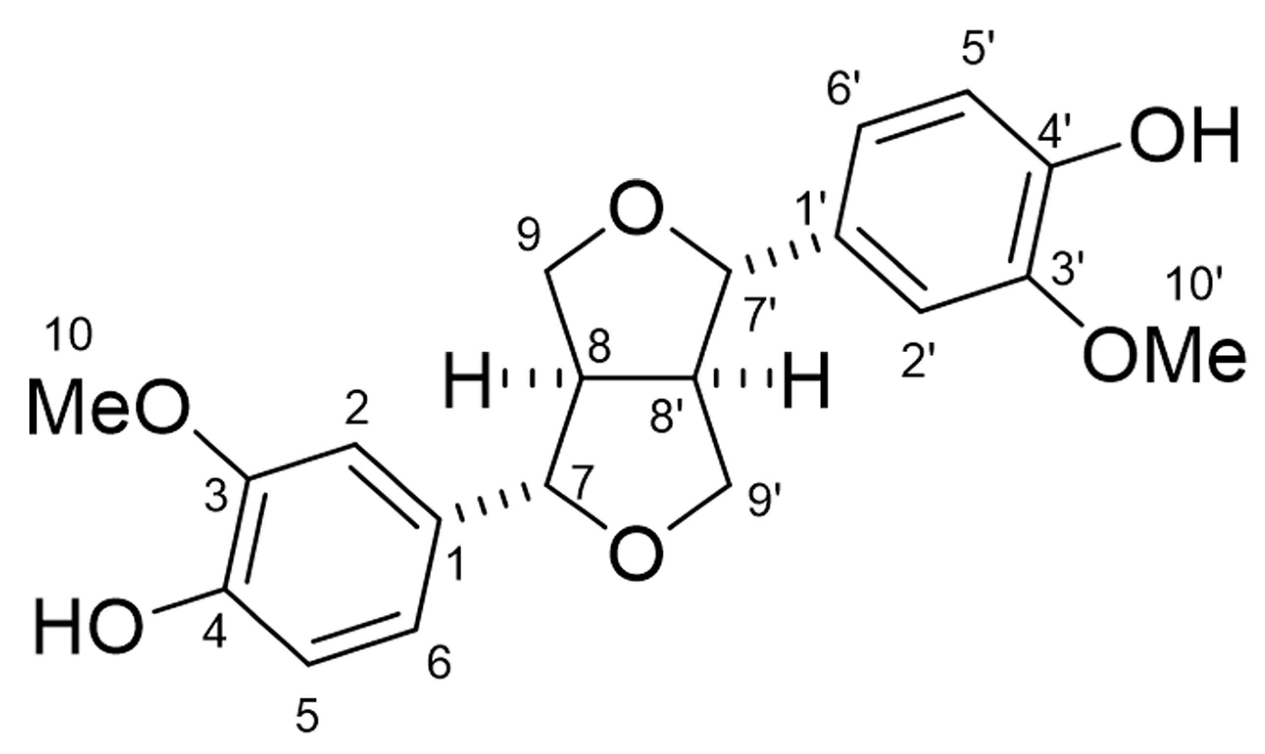
2.2. Identification of Compound 1 and Its Activity
2.3. Concentration of (+)-Pinoresinol in the Leaves of O. × fortune, O. fragrans, and O. heterophyllus
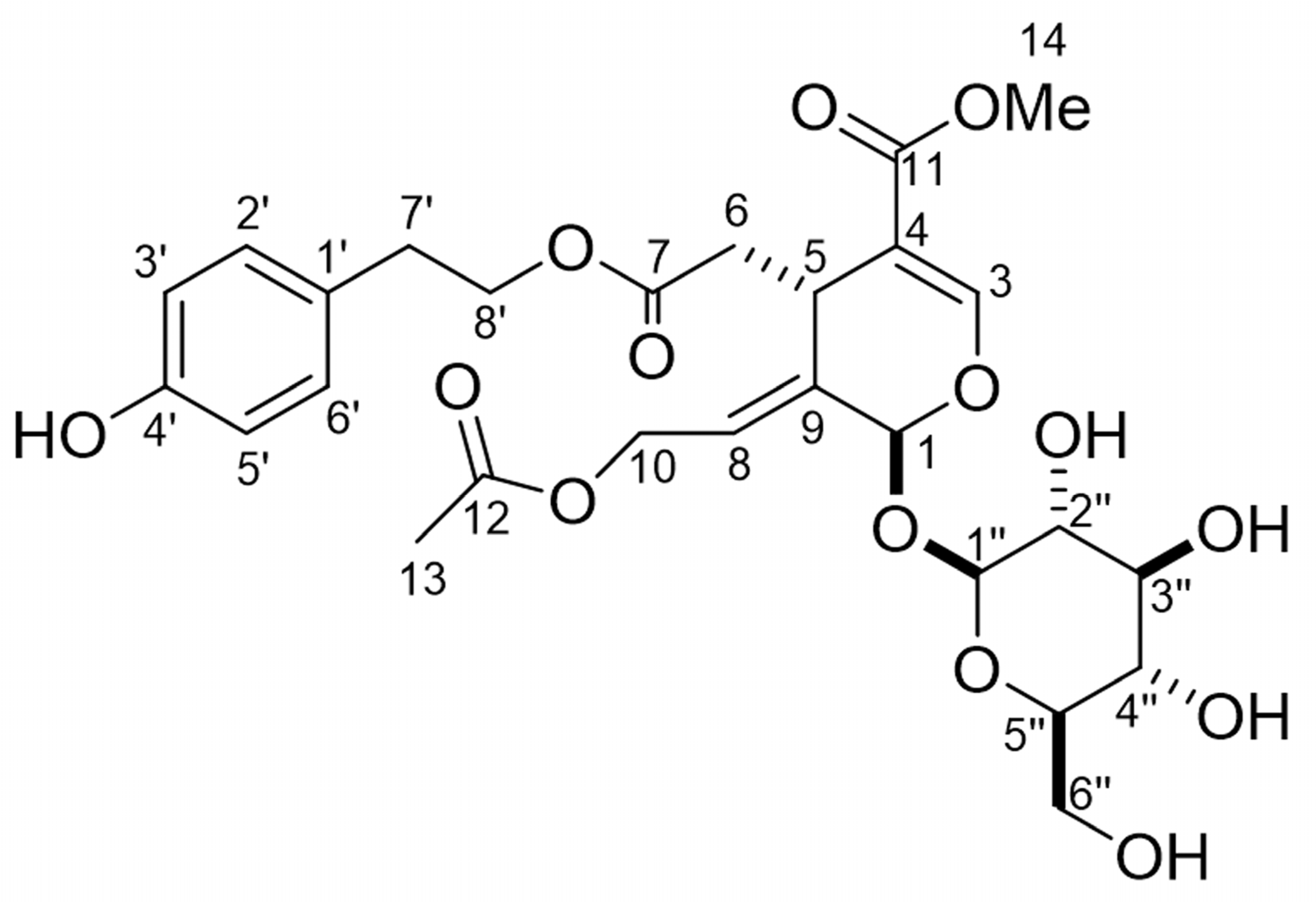
2.4. Identification of Compound 2 and Its Activity
3. Discussion
4. Materials and Methods
4.1. Plant Material
4.2. Extraction
4.3. Determination of Allelopathic Activity
4.4. Separation of O. × fortunei Extract
4.5. Separation of O. fragrans Extract
4.6. Allelopathic Activity of Isolated Compounds 1 and 2
4.7. Concentration of Compound 1 in the Leaves
4.8. Statistical Analysis
5. Conclusions
Author Contributions
Funding
Institutional Review Board Statement
Informed Consent Statement
Data Availability Statement
Conflicts of Interest
References
- Ren, Q.J.; Zhu, H.W.; Yu, J.P. The utilization value of O. fragrans resources. Chin. Wild Plant Res. 1999, 18, 34–35. [Google Scholar]
- Wu, L.C.; Chang, L.H.; Chen, S.H.; Fan, N.C.; Ho, J.A. Antioxidant activity and melanogenesis inhibitory effect of the acetonic extract of Osmanthus fragrans: A potential natural and functional food flavor additive. Food Sci. Technol. 2009, 42, 1513–1519. [Google Scholar] [CrossRef]
- Wang, B.; Luan, F.; Bao, Y.; Peng, X.; Rao, Z.; Tang, Q.; Zeng, N. Traditional uses, phytochemical constituents and pharmacological properties of Osmanthus fragrans: A review. J. Ethnopharmacol. 2022, 293, 115273. [Google Scholar] [CrossRef]
- Liao, X.Y.; Hu, F.L.; Chen, Z.L. Identification and quantification of the bioactive components in Osmanthus fragrans roots by HPLC-MS/MS. J. Pharm. Anal. 2021, 11, 299–307. [Google Scholar] [CrossRef] [PubMed]
- Casirola, D.M.; Ferraris, R.P. α-Glucosidase inhibitors prevent diet-induced increases in intestinal sugar transport in diabetic mice. Metabolism 2006, 55, 832–841. [Google Scholar] [CrossRef] [PubMed]
- Fang, X.Y.; Zhou, J.L.; Wang, J.Q.; Tang, F.; Zhao, L.G. Preparation of flavonoids from Osmanthus dregs and enzymatic modification. J. For. Eng. 2020, 5, 99–105. [Google Scholar]
- Li, G.H.; Wang, M.M.; He, W.; Liu, J.; Zhang, D.; Liu, J.Q.; Tang, W.Z. Iridoid glycoside extraction technology and anti-thrombotic activity of Osmanthus fragrans seeds. Chin. Tradit. Herb. Drugs 2018, 49, 3033–3041. [Google Scholar]
- Li, Y.L.; Cai, Q.Y.; Lv, F.; Zhou, L.H.; Tang, X.Y.; Ren, D.X.; Li, Y. Study on immune function of Osmanthus fragrans extract Osthin. Mod. Prev. Med. 2021, 48, 1867–1870. [Google Scholar]
- Wang, X.L.; Heraud, S.; Thepot, A.; Santos, M.O.; Luo, Z. The whitening properties of the mixture composed of pomegranate, Osmanthus and olive and the protective effects against ultraviolet deleterious effects. Clin. Cosmet. Invest. Dermatol. 2021, 14, 561–573. [Google Scholar] [CrossRef]
- Fu, C.C.; Xu, F.Y.; Qian, Y.C.; Koo, H.L.; Duan, Y.F.; Weng, G.M.; Fan, T.P.; Chen, M.X.; Zhu, F.Y. Secondary metabolites of Osmanthus fragrans: Metabolism and medicinal value. Front. Pharmacol. 2022, 13, 922204. [Google Scholar] [CrossRef]
- Li, F.; He, G.; Zhou, Q.; Liang, S. Compare the allelopathic potential of Osmanthus fragrans in different habitats. J. Guangxi Norm. Univ. Nat. Sci. 2013, 31, 88–93. [Google Scholar]
- Rice, E.L. Allelopathy, 2nd ed.; Academic Press: Orlando, FL, USA, 1984; pp. 1–422. [Google Scholar]
- Bais, H.P.; Weir, T.L.; Perry, L.G.; Gilroy, S.; Vivanco, J.M. The role of root exudates in rhizosphere interactions with plants and other organisms. Annu. Rev. Plant Biol. 2006, 57, 233–266. [Google Scholar] [CrossRef] [PubMed]
- Bonanomi, G.; Sicurezza, M.G.; Caporaso, S.; Esposito, A.; Mazzoleni, S. Phytotoxicity dynamics of decaying plant materials. New Phytol. 2006, 169, 571–578. [Google Scholar] [CrossRef] [PubMed]
- Belz, R.G. Allelopathy in crop/weed interactions—An update. Pest. Manag. Sci. 2007, 63, 308–326. [Google Scholar] [CrossRef]
- Kato-Noguchi, H. Involvement of allelopathy in the invasive potential of Tithonia diversifolia. Plants 2020, 9, 766. [Google Scholar] [CrossRef] [PubMed]
- Kato-Noguchi, H.; Kurniadie, D. Allelopathy and allelochemicals of Leucaena leucocephala as an invasive plant species. Plants 2022, 11, 1672. [Google Scholar] [CrossRef]
- Kato-Noguchi, H. Allelopathy and allelochemicals of Imperata cylindrica as an invasive plant species. Plants 2022, 11, 2551. [Google Scholar] [CrossRef] [PubMed]
- Narwal, S.S. Allelopathy in weed management. In Allelopathy Update Basic and Applied Aspects; Narwal, S.S., Ed.; Science Publishers Inc.: Enfield, NH, USA, 1999; Volume 2, pp. 203–254. [Google Scholar]
- Duke, S.O.; Dayan, F.E.; Romagni, J.G.; Rimando, A.M. Natural products as sources of herbicide, current status and future trends. Weed Res. 2000, 40, 99–111. [Google Scholar] [CrossRef]
- Mallik, A.U. Allelopathy and competition in coniferous forests. Environ. For. Sci. 1998, 54, 309–315. [Google Scholar]
- Kato-Noguchi, H.; Kurniadie, D. Allelopathy of Lantana camara as an invasive plant. Plants 2021, 10, 1028. [Google Scholar] [CrossRef]
- Kato-Noguchi, H. Phytotoxic substances involved in teak allelopathy and agroforestry. Appl. Sci. 2021, 11, 3314. [Google Scholar] [CrossRef]
- Xie, L.H.; Akao, T.; Hamasaki, K.; Deyama, T.; Hattori, M. Biotransformation of pinoresinol diglucoside to mammalian lignans by human intestinal microflora, and isolation of Enterococcus faecalis strain PDG-1 responsible for the transformation of (+)-pinoresinol to (+)-lariciresinol. Chem. Pharm. Bull. 2003, 51, 508–515. [Google Scholar] [CrossRef]
- Kikuchi, M. Studies on the constituents of Osmanthus species. On the components of the leaves of Osmanthus fragrans Lour. var. Aurantiacus makino. Yakugaku Zasshi 1984, 104, 535–539. [Google Scholar] [CrossRef]
- Global Invasive Species Database, Species Profile: Polygonum cuspidatum. Available online: http://www.iucngisd.org/gisd/speciesname/Polygonum+cuspidatum (accessed on 19 October 2022).
- Kato-Noguchi, H. Allelopathy of knotweeds as invasive plants. Plants 2022, 11, 3. [Google Scholar] [CrossRef]
- Bailey, J.P.; Bímová, K.; Mandák, B. The potential role of polyploidy and hybridisation in the further evolution of the highly invasive Fallopia taxa in Europe. Ecol. Res. 2007, 22, 920–928. [Google Scholar] [CrossRef]
- Parepa, M.; Schaffner, U.; Bossdorf, O. Help from underground soil biota facilitate knotweed invasion. Ecosphere 2013, 4, 31. [Google Scholar] [CrossRef]
- Gaskin, J.F.; Schwarzländer, M.; Grevstad, F.S.; Haverhals, M.A.; Bourchier, R.S.; Miller, T.W. Extreme differences in population structure and genetic diversity for three invasive congeners: Knotweeds in western North America. Biol. Invasions 2014, 16, 2127–2136. [Google Scholar] [CrossRef]
- Mandák, B.; Pyšek, P.; Lysák, M.; Suda, J.; Krahulcová, A.; Bímová, K. Variation in DNA-ploidy levels of Reynoutria taxa in the Czech Republic. Ann. Bot. 2003, 92, 265–272. [Google Scholar] [CrossRef]
- Mandák, B.; Pyšek, P.; Bímová, K. History of the invasion and distribution of Reynoutria taxa in the Czech Republic: A hybrid spreading faster than its parents. Preslia 2004, 76, 15–64. [Google Scholar]
- Hiradate, S.; Ohse, K.; Furubayashi, A.; Fujii, Y. Quantitative evaluation of allelopathic potentials in soils: Total activity approach. Weed Sci. 2010, 58, 258–264. [Google Scholar] [CrossRef]
- Ward, R.S. Recent advances in the chemistry of lignans. In Studies in Natural Products Chemistry; Attaur, R., Ed.; Elsevier: Amsterdam, The Netherlands, 2000; pp. 739–798. [Google Scholar]
- Ferrer, J.L.; Austin, M.B.; Stewart, C., Jr.; Noel, J.P. Structure and function of enzymes involved in the biosynthesis of phenyl-propanoids. Plant Physiol. Biochem. 2008, 46, 356–370. [Google Scholar] [CrossRef]
- Patyra, A.; Kołtun-Jasion, M.; Jakubiak, O.; Kiss, A.K. Extraction techniques and analytical methods for isolation and characterization of lignans. Plants 2022, 11, 2323. [Google Scholar] [CrossRef]
- Fuentes-Gandara, F.; Torres, A.; Fernández-Ponce, M.T.; Casas, L.; Mantell, C.; Varela, R.; Martínez de la Ossa-Fernández, E.J.; Macías, F.A. Selective fractionation and isolation of allelopathic compounds from Helianthus annuus L. leaves by means of high-pressure techniques. J. Supercrit. Fluids 2019, 143, 32–41. [Google Scholar] [CrossRef]
- Jong, T.T.; Chau, S.W. Antioxidative activities of constituents isolated from Pandanus odoratissimus. Phytochemistry 1998, 49, 2145–2148. [Google Scholar] [CrossRef]
- Hwang, B.; Lee, J.; Liu, Q.H.; Woo, E.R.; Lee, D.G. Antifungal effect of (+)-pinoresinol isolated from Sambucus williamsii. Molecules 2010, 15, 3507–3516. [Google Scholar] [CrossRef]
- Kim, H.Y.; Kim, J.K.; Choi, J.H.; Jung, J.Y.; Oh, W.Y.; Kim, D.C.; Lee, H.S.; Kim, Y.S.; Kang, S.S.; Lee, S.H.; et al. Hepatoprotective effect of pinoresinol on carbon tetrachloride-induced hepatic damage in mice. J. Pharmacol. Sci. 2010, 112, 105–112. [Google Scholar] [CrossRef]
- Kato-Noguchi, H.; Takeshita, S.; Kimura, F.; Ohno, O.; Suenaga, K. A novel allelopathic active substance in Ginkgo biloba. J. Plant Physiol. 2013, 170, 1595–1599. [Google Scholar] [CrossRef] [PubMed]
- Kato-Noguchi, H.; Kimura, F.; Ohno, O.; Suenaga, K. Involvement of allelopathy in inhibition of understory growth in red pine forests. J. Plant Physiol. 2017, 218, 66–73. [Google Scholar] [CrossRef]
- Kato-Noguchi, H. Bioactive compounds involved in the formation of the sparse understory vegetation in pine forests. Curr. Org. Chem. 2021, 25, 1731–1738. [Google Scholar] [CrossRef]
- Sakamoto, S.; Machida, K.; Kikuchi, M. Lignan glycosides from the leaves of Osmanthus heterophyllus. J. Nat. Med. 2008, 62, 362–363. [Google Scholar] [CrossRef]
- Inouye, H.; Uesato, S. Biosynthesis of iridoids and secoiridoids. In Progress in the Chemistry of Organic Natural Products; Herz, W., Grisebach, H., Kirby, G.W., Tamm, C., Eds.; Springer: Wean, Australia, 1986; Volume 50, pp. 169–226. [Google Scholar]
- Geu-Flores, F.; Sherden, N.; Courdavault, V.; Glenn, W.S.; Wu, C.; Nims, E.; Cui, Y.; O’Connor, S.E. An alternative route to cyclic terpenes by reductive cyclization in iridoid biosynthesis. Nature 2012, 492, 138–142. [Google Scholar] [CrossRef]
- Kikuchi, M.; Yamauchi, Y. Studies on the constituents of Osmanthus species III. On the components of the leaves of Osmanthus ilicifolius (Hassk.) Mouillefert. Yakugaku Zasshi 1986, 105, 442–448. [Google Scholar] [CrossRef] [PubMed]
- Machida, K.; Sakamoto, S.; Kikuchi, M. Structure elucidation and NMR spectral assignments of four neolignan glycosides with enantiometric aglycones from Osmanthus ilicifolius. Magn. Reson. Chem. 2008, 46, 990–994. [Google Scholar] [CrossRef] [PubMed]
- Sakamoto, S.; Machida, K.; Kikuchi, M. Secoiridoid di-glycosides from Osmanthus ilicifolius. Heterocycles 2009, 77, 557–563. [Google Scholar]
- Matuda, Y.; Iwasaki, A.; Suenaga, K.; Kato-Noguchi, H. Allelopathy and allelopathic substances of fossil tree species Metasequoia glyptostroboides. Agronomy 2022, 12, 83. [Google Scholar] [CrossRef]









| Osmanthus fragrans | Osmanthus × fortunei | Osmanthus heterophyllus | ||||
|---|---|---|---|---|---|---|
| Hypocotyl/ Coleoptile | Root | Hypocotyl/ Coleoptile | Root | Hypocotyl/ Coleoptile | Root | |
| Cress | 63.8 ± 4.2 b | 63.7 ± 4.7 b | 24.8 ± 1.9 c | 36.5 ± 1.9 c | 41.7 ± 4.1 bc | 59.1 ± 4.7 b |
| Alfalfa | 107 ± 8.1 a | 153 ± 9.7 a | 53.1 ± 4.2 bc | 68.5 ± 7.4 b | 76.5 ± 6.7 b | 114 ± 9.9 a |
| Lolium multiflorum | 82.6 ± 4.9 ab | 30.4 ± 2.5 c | 21.5 ± 1.6 c | 12.4 ± 0.9 d | 29.5 ± 3.1 c | 13.8 ± 0.9 d |
| Vulpia myuros | 25.9 ± 2.1 c | 8.8 ± 0.9 d | 21.4 ± 1.7 c | 11.5 ± 0.9 d | 36.8 ± 3.2 c | 13.8 ± 1.1 d |
| Osmanthus fragrans | Osmanthus × fortunei | Osmanthus heterophyllus | ||||
|---|---|---|---|---|---|---|
| Hypocotyl | Root | Hypocotyl | Root | Hypocotyl | Root | |
| Aqueous phase | 76.8 ± 7.5 a | 101 ± 9.8 a | 76.2 ± 4.3 a | 62.4 ± 4.8 a | 87.1 ± 4.0 a | 70.9 ± 4.6 b |
| Ethyl acetate phase | 46.8 ± 4.4 b | 27.1 ± 2.7 b | 22.4 ± 3.6 b | 19.9 ± 3.9 b | 31.9 ± 3.7 b | 29.7 ± 2.9 b |
| (+)-Pinoresinol | 10-Acetoxyligustroside | |||
|---|---|---|---|---|
| Hypocotyl/ Coleoptile | Root | Hypocotyl/ Coleoptile | Root | |
| Cress | 1.9 ± 0.2 a | 2.5 ± 0.3 b | 4.7 ± 0.3 b | 4.4 ± 0.3 a |
| Lolium multiflorum | 2.1 ± 0.3 a | 0.7 ± 0.1 d | 3.1 ± 0.3 b | 2.2 ± 0.2 b |
| Osmanthus × fortunei | (+)-Pinoresinol (mg/g) |
| Mature leaf | 4.1 ± 0.5 a |
| Fallen leaf | 2.1 ± 0.2 b |
| Osmanthus fragrans | 0.22 ± 0.03 c |
| Osmanthus heterophyllus | 0.12 ± 0.02 c |
Disclaimer/Publisher’s Note: The statements, opinions and data contained in all publications are solely those of the individual author(s) and contributor(s) and not of MDPI and/or the editor(s). MDPI and/or the editor(s) disclaim responsibility for any injury to people or property resulting from any ideas, methods, instructions or products referred to in the content. |
© 2023 by the authors. Licensee MDPI, Basel, Switzerland. This article is an open access article distributed under the terms and conditions of the Creative Commons Attribution (CC BY) license (https://creativecommons.org/licenses/by/4.0/).
Share and Cite
Kato-Noguchi, H.; Hamada, Y.; Kojima, M.; Kumagai, S.; Iwasaki, A.; Suenaga, K. Allelopathic Substances of Osmanthus spp. for Developing Sustainable Agriculture. Plants 2023, 12, 376. https://doi.org/10.3390/plants12020376
Kato-Noguchi H, Hamada Y, Kojima M, Kumagai S, Iwasaki A, Suenaga K. Allelopathic Substances of Osmanthus spp. for Developing Sustainable Agriculture. Plants. 2023; 12(2):376. https://doi.org/10.3390/plants12020376
Chicago/Turabian StyleKato-Noguchi, Hisashi, Yuri Hamada, Misuzu Kojima, Sanae Kumagai, Arihiro Iwasaki, and Kiyotake Suenaga. 2023. "Allelopathic Substances of Osmanthus spp. for Developing Sustainable Agriculture" Plants 12, no. 2: 376. https://doi.org/10.3390/plants12020376
APA StyleKato-Noguchi, H., Hamada, Y., Kojima, M., Kumagai, S., Iwasaki, A., & Suenaga, K. (2023). Allelopathic Substances of Osmanthus spp. for Developing Sustainable Agriculture. Plants, 12(2), 376. https://doi.org/10.3390/plants12020376

