Host Resistance to Uromyces appendiculatus in Common Bean Genotypes
Abstract
1. Introduction
2. Materials and Methods
2.1. Plant Materials
2.2. Experimental Design
2.3. Disease Assessment
2.4. Biochemical Assays
2.4.1. Estimation of Antioxidant Enzyme Activity
2.4.2. Determination of Total Carbohydrates
2.4.3. Determination of Total Phenols
2.4.4. Evaluation of Electrolyte Leakage
2.4.5. Evaluation of Reactive Oxygen Species (ROS)
2.5. Molecular Analysis
2.5.1. Genomic DNA Extraction
2.5.2. Polymerase Chain Reaction
2.5.3. Extraction of RNA and qPCR Analysis
2.6. Yield Components
2.7. Statistical Analysis
3. Results
3.1. Disease Assessment
3.1.1. Final Rust Severity
3.1.2. Area under the Disease Progress Curve (AUDPC)
3.1.3. Rate of Disease Increase (R-Value)
3.2. Total Carbohydrates and Phenols
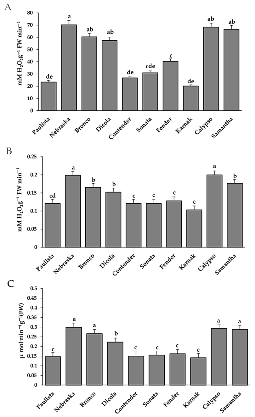
3.3. Estimation of Antioxidant Enzymes
3.4. Estimation of Hydrogen Peroxide and Superoxide Anion and Electrolyte Leakage
3.5. Molecular Analysis
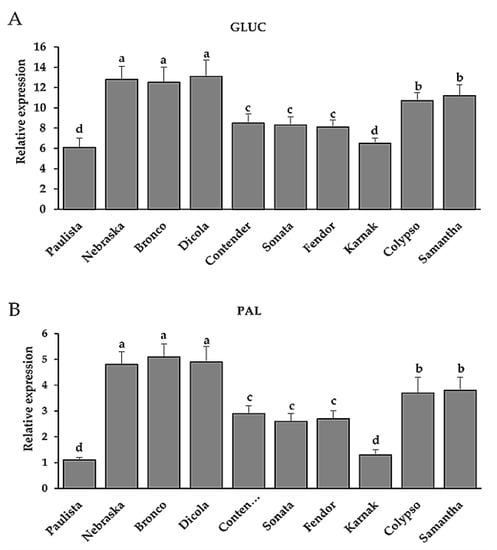
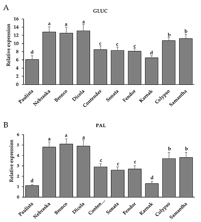
3.6. Transcription of Defense-Related Genes
3.7. Correlation Analysis between SA14 Gene, Antioxidant Enzymes, Hydrogen Peroxide, Superoxide Anion, Electrolyte Leakage and Gene Expressions of GLUC and PA
3.8. Assessment of Yield Parameters
3.9. Correlation Analysis between Final Rust Severity and Yield Components
4. Discussion
5. Conclusions
Supplementary Materials
Author Contributions
Funding
Institutional Review Board Statement
Informed Consent Statement
Data Availability Statement
Acknowledgments
Conflicts of Interest
References
- Freytag, G.F.; Debouck, D.G. Taxonomy, Distribution, and Ecology of the Genus Phaseolus (Leguminosae-Papilionoideae) in North America, Mexico and Central America; Botanical Research Institute of Texas (BRIT): Forth Worth, TX, USA, 2002; p. 300. [Google Scholar]
- Broughton, W.J.; Hernandez, G.; Blair, M.; Beebe, S.; Gepts, P.; Vanderleyden, J. Bean (Phaseolus spp.) model food legumes. Plant Soil 2003, 252, 55–128. [Google Scholar] [CrossRef]
- Monda, E.O.; Munene, S.; Ndegua, A. French bean production constraints in Kenya. Afr. Crop Sci. Conf. Proc. 2003, 6, 683–687. [Google Scholar]
- Ismail, A.M.; Afifi, M.M.I. Efficacy of some biotic and abiotic factors in controlling common bean rust disease caused by Uromyces appendiculatus. Egypt. J. Phytopathol. 2019, 47, 313–329. [Google Scholar] [CrossRef]
- Souza, T.L.P.O.; Alzate-Marin, A.L.; Faleiro, F.G.; de Barros, E.G. Pathosystem common bean Uromyces appendiculatus: Host resistance, pathogen specialization, and breeding for rust resistance. Pest Technol. 2008, 2, 56–69. [Google Scholar]
- Suzuki, N.; Katano, K. Coordination between ROS regulatory systems and other pathways under heat stress and pathogen attack. Front. Plant Sci. 2018, 9, 490. [Google Scholar] [CrossRef]
- Elsharkawy, M.M.; Shimizu, M.; Takahashi, H.; Hyakumachi, M. Induction of systemic resistance against Cucumber mosaic virus by Penicillium simplicissimum GP17-2 in Arabidopsis and tobacco. Plant Pathol. 2012, 61, 964–976. [Google Scholar] [CrossRef]
- Mayo, S.; Gutiérrez, S.; Malmierca, M.G.; Lorenzana, A.; Campelo, M.P.; Hermosa, R.; Casquero, P.A. Influence of Rhizoctonia solani and Trichoderma spp. in growth of bean (Phaseolus vulgaris L.) and in the induction of plant defense-related genes. Front. Plant Sci. 2015, 6, 685–696. [Google Scholar] [CrossRef] [PubMed]
- Guerrero-González, M.L.; Rodríguez-Kessler, M.; Rodríguez-Guerra, R.; González-Chavira, M.; Simpson, J.; Sanchez, F.; Jimenez-Bremont, J.F. Differential expression of Phaseolus vulgaris genes induced during the interaction with Rhizoctonia solani. Plant Cell Rep. 2011, 30, 1465–1473. [Google Scholar] [CrossRef] [PubMed]
- Lehmann, S.; Serrano, M.; L’Haridon, F.; Tjamos, S.E.; Metraux, J.P. Reactive oxygen species and plant resistance to fungal pathogens. Phyto Chem. 2015, 112, 54–62. [Google Scholar] [CrossRef]
- Das, K.; Roychoudhury, A. Reactive oxygen species (ROS) and response of antioxidants as ROS-scavengers during environmental stress in plants. Front. Environ. Sci. 2014, 2, 53. [Google Scholar] [CrossRef]
- Hafez, Y.M.; Bacsó, R.; Király, Z.; Künstler, A.; Király, L. Up-regulation of antioxidants in tobacco by low concentrations of H2O2 suppresses necrotic disease symptoms. Phytopatholology 2012, 102, 848–856. [Google Scholar] [CrossRef] [PubMed]
- Kuźniak, E.; Urbanek, H. The involvement of hydrogen peroxide in plant responses to stresses. Acta Physiol. Plant. 2000, 22, 195–203. [Google Scholar] [CrossRef]
- Demidchik, V.; Straltsova, D.; Medvedev, S.S.; Pozhvanov, G.A.; Sokolik, A.; Yurin, V. Stress-induced electrolyte leakage: The role of K+ permeable channels and involvement in programmed cell death and metabolic adjustment. J. Exp. Bot. 2014, 65, 1259–1270. [Google Scholar] [CrossRef] [PubMed]
- Souza, T.L.P.O.; Dessaune, S.N.; Sanglard, D.A.; Moreira, M.A.; de Barros, E.G. Characterization of the rust resistance gene present in the common bean cultivar Ouro Negro, the main rust resistance source used in Brazil. Plant Pathol. 2011, 60, 839–845. [Google Scholar] [CrossRef]
- Van Schoonhoven, A.; Pastor-Corrales, M.A. Rust in Standard System for the Evaluation of Bean Germplasm; Centro Internacional de Agricultura Tropical (CIAT): Cali, Colombia, 1991; pp. 24–27. [Google Scholar]
- Das, M.K.; Rajaram, S.; Kronstad, W.K.; Mundt, C.C.; Singh, R.P. Association and genetics of three components of slow rusting in leaf rust of wheat. Euphytica 1993, 68, 99–109. [Google Scholar] [CrossRef]
- Shaner, G.; Finney, R.E. The effect of nitrogen fertilization on the expression of slow-mildewing resistance in Knox wheat. Phytopathology 1977, 67, 1051–1056. [Google Scholar] [CrossRef]
- Van der Plank, J.E. Plant Diseases. Epidemics and Control; Academic Press: New York, NY, USA, 1963; p. 349. [Google Scholar]
- Aebi, H. Catalase in vitro. Methods Enzymol. 1984, 105, 121–126. [Google Scholar]
- Malik, C.P.; Singh, M.B. Plant Enzymology and Histoenzymology; Kalyani Publishers: Delhi, India, 1980; pp. 54–56. [Google Scholar]
- Hammerschmidt, R.; Nuckles, E.M.; Kuć, J. Association of enhanced peroxidase activity with induced systemic resistance of cucumber to Colletotrichum lagenarium. Physiol. Plant Pathol. 1982, 20, 73–82. [Google Scholar] [CrossRef]
- DuBois, M.; Gillers, K.A.; Hamilton, J.K.; Robers, P.A.; Smith, F. Colorimetric methods for determination of sugar and related substances. Anal. Chem. 1956, 28, 350–356. [Google Scholar] [CrossRef]
- Singleton, V.L.; Rossi, J.A. Colorimetry of total phenolics with phosphomolybdic-phosphotungstic acid reagents. Am. J. Enol. Vitic. 1965, 16, 144–158. [Google Scholar]
- Dionisio-Sese, M.L.; Tobita, S. Antioxidant responses of rice seedlings to salinity stress. Plant Sci. 1998, 135, 1–9. [Google Scholar] [CrossRef]
- Adam, A.; Farkas, T.; Somlyai, G.; Hevesi, M.; Király, Z. Consequence of O2•− generation during a bacterially induced hypersensitive reaction in tobacco: Deterioration of membrane lipids. Physiol. Mol. Plant Pathol. 1989, 34, 13–26. [Google Scholar] [CrossRef]
- Elstner, E.F.; Heupel, A. Inhibition of nitrite formation from hydroxyl ammonium chloride: A simple assay for superoxide dismutase. Anal. Biochem. 1976, 70, 616–620. [Google Scholar] [CrossRef]
- White, T.J.; Bruns, T.D.; Lee, S.B.; Taylor, J.W. Amplification and direct sequencing of fungal ribosomal RNA genes for phylogenetics. In PCR Protocols: A Guide to Methods and Applications; Innis, M.A., Gelfand, D.H., Sninsky, J.J., White, T.J., Eds.; Academic Press: New York, NY, USA, 1990; Volume 18, pp. 315–322. [Google Scholar]
- Nemchinova, Y.P.; Stavely, J.R. Development of SCAR primers for the Ur-3 rust resistance gene in common bean. Phytopathology 1998, 88, S67. [Google Scholar]
- Miklas, P.N.; Pastor-Corrales, M.A.; Jung, G.; Coyne, D.P.; Kelly, J.D.; McClean, P.E.; Gepts, P. Comprehensive Linkage Map of Bean Rust Resistance Genes; USDA: Washington, DC, USA, 2002; Volume 45, pp. 125–129.
- Miklas, P.N.; Stavely, J.R.; Kelly, J.D. Identification and potential use of a molecular marker for rust resistance in common bean. Theor. Appl. Genet. 1993, 85, 745–749. [Google Scholar] [CrossRef] [PubMed]
- Mienie, C.M.S.; Naidoo, R.; Liebenberg, M.M. Conversion of the RAPD Marker for Ur-4 to a Co-Dominant SCAR Marker SA141079/800; USDA: Washington, DC, USA, 2004; Volume 47, pp. 261–262.
- Faleiro, F.G.; Vinhadelli, W.S.; Ragagnin, V.A.; Corrêa, R.X.; Moreira, M.A.; Barros, E.G.D. RAPD markers linked to a block of genes conferring rust resistance to the common bean. Genet. Mol. Biol. 2000, 23, 399–402. [Google Scholar] [CrossRef][Green Version]
- Correa, R.X.; Costa, M.R.; Good-God, P.I.; Ragagnin, V.A.; Faleiro, F.G.; Moreira, M.A.; De Barros, E.G. Sequence characterized amplified regions linked to rust resistance genes in the common bean. Crop Sci. 2000, 40, 804–807. [Google Scholar] [CrossRef]
- Kumar, S.; Stecher, G.; Li, M.; Knyaz, C.; Tamura, K. MEGA X: Molecular evolutionary genetics analysis across computing platforms. Mol. Biol. Evol. 2018, 35, 1547–1549. [Google Scholar] [CrossRef]
- Reid, K.E.; Olsson, N.; Schlosser, J.; Peng, F.; Lund, S.T. An optimized grapevine RNA isolation procedure and statistical determination of reference genes for real-time RT-PCR during berry development. BMC Plant Biol. 2006, 6, 27. [Google Scholar] [CrossRef]
- Wen, K.; Seguin, P.; St-Arnaud, M.; Jabaji-Hare, S. Real-Time Quantitative RT-PCR of defense-associated gene transcripts of Rhizoctonia solani infected bean seedlings in response to inoculation with a nonpathogenic binucleate Rhizoctonia isolate. Phytopathology 2005, 95, 345–353. [Google Scholar] [CrossRef]
- EL-Awady, M.A.; Hamed, A.A. Field evaluation and molecular analysis of bean genotypes for resistance to rust disease. Egypt. J. Genet. Cytol. 2015, 44, 205–219. [Google Scholar] [CrossRef][Green Version]
- Abu Aly, A.A.M.; Omara, R.I.; Abd El-Malik, N.I. Evaluation of new sources of resistance to wheat stripe rust (Puccinia striiformis f.sp. tritici), under Egyptian field conditions. J. Plant Prot. Path. Mansoura Univ. 2017, 8, 181–188. [Google Scholar] [CrossRef]
- Gururani, M.A.; Venkatesh, J.; Upadhyaya, C.P.; Nookaraju, A.; Pandey, S.K.; Park, S.W. Plant disease resistance genes: Current status and future directions. Physiol. Mol. Plant Pathol. 2012, 78, 51–65. [Google Scholar] [CrossRef]
- Araya, C.M.; Allenye, A.T.; Steadman, J.R.; Eskridge, K.M.; Coyne, D.P. Phenotypic and genotypic characterization of uromyces appendiculatus from Phaseolus vulgaris in the Americas. Plant Dis. 2004, 88, 830–836. [Google Scholar] [CrossRef] [PubMed]
- Arunga, E.E.; Ochuodho, J.O.; Kinyua, M.G.; Owuoche, J.O. Characterization of Uromyces appendiculatus isolates collected from snap bean growing areas in Kenya. Afr. J. Agric. Res. 2012, 7, 5685–5691. [Google Scholar]
- Saker, M.M.; Nachtigall, M.; Kuehne, T. A comparative assessment of DNA fingerprinting by RAPD, SSR and AFLP in genetic analysis of some barley genotypes. Egypt. J. Genet. Cytol. 2005, 34, 81–97. [Google Scholar]
- Hayes, M.A.; Feechan, A.; Dry, I.B. Involvement of abscisic acid in the coordinated regulation of a stress-inducible hexose transporter (VvHT5) and a cell wall invertase in grapevine in response to biotrophic fungal infection. Plant Physiol. 2010, 153, 211–221. [Google Scholar] [CrossRef]
- Liau, C.Y.; Lin, C.S. Detection of chitinolytic enzymes in Ipomoea batatas leaf extract by activity staining after gel electrophoresis. J. Chin. Chem. Soc. 2008, 55, 678–681. [Google Scholar] [CrossRef]
- Omara, R.I.; Abdelaal, K.A.A. Biochemical, histopathological and genetic analysis associated with leaf rust infection in wheat plants (Triticum aestivum L.). Physiol. Mol. Plant Pathol. 2018, 104, 48–57. [Google Scholar] [CrossRef]
- Omara, R.I.; Essa, T.A.; Khalil, A.A.; Elsharkawy, M.M. A case study of non-traditional treatments for the control of wheat stem rust disease. Egypt. J. Biol. Pest Control 2020, 30, 83. [Google Scholar] [CrossRef]
- Khalifa, N.A.; Abou-Zeid, N.M.; Mahmoud, N.A.; Abbas, M.S.; Sobhy, H.M. Enzyme activity and biochemical changes associated with induction of systemic resistance of faba bean against damping off disease. Egypt. J. Biol. Pest Control 2016, 26, 395–404. [Google Scholar]
- Milavec, M.; Ravnikar, M.; Kovač, M. Peroxidases and photosynthetic pigments in susceptible potato infected with potato virus YNTN. Plant Physiol. Biochem. 2001, 39, 891–898. [Google Scholar] [CrossRef]
- Omara, R.I.; El-Kot, G.A.; Fadel, F.M.; Abdelaal, K.A.A.; Saleh, E.M. Efficacy of certain bioagents on patho-physiological characters of wheat plants under wheat leaf rust stress. Physiol. Mol. Plant Pathol. 2019, 106, 102–108. [Google Scholar] [CrossRef]
- Chittoor, J.M.; Leach, J.E.; White, F.F. Induction of peroxidase during defense against pathogens. In Pathogenesis-Related Proteins in Plants; Datta, S.K., Muthukrishnan, S., Eds.; CRC Press: Boca Raton, FL, USA, 1999; pp. 171–193. [Google Scholar]
- Saleem, M.H.; Fahad, S.; Khan, S.U. Copper-induced oxidative stress, initiation of antioxidants and phytoremediation potential of flax (Linum usitatissimum L.) seedlings grown under the mixing of two different soils of China. Environ. Sci. Pollut. Res. 2020, 27, 5211–5221. [Google Scholar] [CrossRef]
- Rehman, M.; Liu, L.; Bashir, S.; Saleem, M.H.; Chen, C.; Peng, D.; Siddique, K.H. Influence of rice straw biochar on growth, antioxidant capacity and copper uptake in ramie (Boehmeria nivea L.) grown as forage in aged copper-contaminated soil. Plant Physiol. Biochem. 2019, 138, 121–129. [Google Scholar] [CrossRef] [PubMed]
- Madhumati, B. Potential and application of molecular markers techniques for plant genome analysis. Int. J. Pure Appl. Biosci. 2014, 2, 169–188. [Google Scholar]
- Raggi, L.; Caproni, L.; Carboni, A.; Negri, V. Genome-wide association study reveals candidate genes for flowering time variation in common bean (Phaseolus vulgaris L.). Front. Plant Sci. 2019, 10, 962. [Google Scholar] [CrossRef] [PubMed]
- Mauch, F.; Staeheline, L.A. Functional implications of the subcellular localization of ethylene-induced chitinase and 1,3-glucanase in bean leaves. Plant Cell 1989, 1, 447–457. [Google Scholar] [CrossRef]
- Ryder, T.B.; Hedrick, S.A.; Bell, J.N.; Liang, X.; Clouse, S.D.; Lamb, C.J. Organization and differential activation of a gene family encoding the plant defense enzyme chalcone synthase in Phaseolus vulgaris. Mol. Gen. Genet. 1987, 210, 219–233. [Google Scholar] [CrossRef]









| No. | Gene | Oligo Name | Oligo Seq. | Accession Number | Size (bp) | Reference |
|---|---|---|---|---|---|---|
| 1 | SK14 | SK14F | CCC GCT ACA CAC CAA TAC CTG | XM_007159311 | 620 | [29,30] |
| SK14R | CCC GCT ACA CTT GAT AAA ATG TTA G | |||||
| 2 | SA14 | SA14F | CTA TCT GCC ATT ATC AAC TCA AAC | XM_007140094 | 1079/800 | [30,31,32] |
| SA14R | GTG CTG GGA AAC ATT ACC TAT T | |||||
| 3 | SF10 | SF10F | GGA AGC TTG GTG AGC AAG GA | XM_007151078 | 620 | [31,33,34] |
| SF10R | GGA AGC TTG GCT ATG ATG GT |
| Primer Name | Forward Primer (5′–3′) | Reverse Primer (5′–3′) | Accession Number | Product Size (pb) |
|---|---|---|---|---|
| GLUC | GCTGTAAGGGCTCAAGGCCTC | CCAAGTACACACGTGCGTTGTC | X53129 | 427 |
| PAL | AAGCCATGTCCAAAGTGCTG | GAGTTCTCCGTTGCCACCT | M11939 | 240 |
| ACTIN | CACCGAGGCACCGCTTAATC | CGGCCACTAGCGTAAAGGGAA | AB067722 | 126 |
| SA14 | CAT | POX | PPO | H2O2 | O2•− | GLUC | PAL | EL | |
|---|---|---|---|---|---|---|---|---|---|
| SA14 | 1 | 0.667 * | 0.667 * | 0.667 * | 0.816 ** | 0.816 ** | 0.816 ** | 0.816 ** | −1.000 ** |
| CAT | 1 | 0.583 | 1.000 ** | 0.816 ** | 0.816 ** | 0.816 ** | 0.816 ** | −0.667 * | |
| POX | 1 | 0.583 | 0.816 ** | 0.816 ** | 0.816 ** | 0.816 ** | −0.667 * | ||
| PPO | 1 | 0.816 ** | 0.816 ** | 0.816 ** | 0.816 ** | −0.667 * | |||
| H2O2 | 1 | 1.000 ** | 1.000 ** | 1.000 ** | −0.816 ** | ||||
| O2•− | 1 | 1.000 ** | 1.000 ** | −0.816 ** | |||||
| GLUC | 1 | 1.000 ** | −0.816 ** | ||||||
| PAL | 1 | −0.816 ** | |||||||
| EL | 1 |
Publisher’s Note: MDPI stays neutral with regard to jurisdictional claims in published maps and institutional affiliations. |
© 2022 by the authors. Licensee MDPI, Basel, Switzerland. This article is an open access article distributed under the terms and conditions of the Creative Commons Attribution (CC BY) license (https://creativecommons.org/licenses/by/4.0/).
Share and Cite
Omara, R.I.; Kamel, S.M.; El-Ganainy, S.M.; Arafa, R.A.; Mostafa, Y.S.; Alamri, S.A.; Alrumman, S.A.; Hashem, M.; Elsharkawy, M.M. Host Resistance to Uromyces appendiculatus in Common Bean Genotypes. Plants 2022, 11, 628. https://doi.org/10.3390/plants11050628
Omara RI, Kamel SM, El-Ganainy SM, Arafa RA, Mostafa YS, Alamri SA, Alrumman SA, Hashem M, Elsharkawy MM. Host Resistance to Uromyces appendiculatus in Common Bean Genotypes. Plants. 2022; 11(5):628. https://doi.org/10.3390/plants11050628
Chicago/Turabian StyleOmara, Reda Ibrahim, Said Mohamed Kamel, Sherif Mohamed El-Ganainy, Ramadan Ahmed Arafa, Yasser Sabry Mostafa, Saad Abdulrahman Alamri, Sulaiman A. Alrumman, Mohamed Hashem, and Mohsen Mohamed Elsharkawy. 2022. "Host Resistance to Uromyces appendiculatus in Common Bean Genotypes" Plants 11, no. 5: 628. https://doi.org/10.3390/plants11050628
APA StyleOmara, R. I., Kamel, S. M., El-Ganainy, S. M., Arafa, R. A., Mostafa, Y. S., Alamri, S. A., Alrumman, S. A., Hashem, M., & Elsharkawy, M. M. (2022). Host Resistance to Uromyces appendiculatus in Common Bean Genotypes. Plants, 11(5), 628. https://doi.org/10.3390/plants11050628

