Abstract
Volatile emissions from 22 bryophyte species from Peninsular Malaysia were collected using a dynamic headspace technique and analyzed by gas chromatography–mass spectrometry (GC-MS). Thirty organic compounds (VOCs) from eight different groups were detected in bryophytes from the montane forest in Cameron Highlands and the lowland dipterocarp forest in Lata Belatan. The headspace of bryophytes in Cameron Highlands was dominated by tetradecane, 2-ethyl-1-hexanol, decanal, pentanoic acid, 2,2,4-trimethyl-3-carboxyisopropyl, isobutyl ester, D-limonene and naphthalene. On the contrary, in the bryophyte headspace of Lata Belatan, naphthalene and tetradecane were dominant compounds. The elevational pattern detected in VOC composition of bryophytes appears to be an evolutionary feature at the family level that needs verification at other sites. The results also confirmed that the VOC composition of bryophytes is species-specific. The roles of VOCs in bryophytes are presented, including plant–plant communication and plant–insect interaction and as an additional taxonomic character in chemotaxonomy.
1. Introduction
Volatile organic compounds (VOCs) are one of plants′ most important secondary metabolites. They are metabolic products or byproducts with high vapor pressure at room temperature and low molecular weight. VOCs are ubiquitous in air, water and soil and are important in mediating intra- and interspecific interactions among organisms in the ecosystem. Although it has long been known that their emission primarily responds to biotic and abiotic stresses involving various ecological functions, including defense, communication, protection and adaptation, many VOCs still have unknown roles. Several studies have highlighted that apart from the ecosystem functional explanation, the physicochemical characteristics of VOCs also play a role in determining the diversity, pattern and quantity of their emissions [1]. VOCs are highly diverse and can be classified according to their biosynthetic origin and chemical structure, including alkanes, alkenes, alcohols, aldehydes, aromatic hydrocarbons, ethers and carboxylic acids. Abundant literature on vascular plant VOCs is available, in particular their contribution to floral scent and mimicry, which play vital roles in plant–insect interaction, e.g., attracting pollinators and imitating mating signals [2,3]. Furthermore, the potential of VOCs in agriculture and as biological control agents in fighting disease is also promising [4]. Although the composition and function of plant VOCs have been investigated for many decades, little is known about the VOCs′ emission and roles in nonvascular plant groups, including green algae and bryophytes. Bryophytes are the second-largest land plants after angiosperms, and they are collectively divided into three main groups: Bryophyta (mosses), Marchantiophyta (liverworts) and Anthocerotophyta (hornworts). Among the bryophytes, liverworts have the most diverse bioactive compounds, of which terpenoids are the most abundant ones, with more than 1600 compounds hitherto identified [5]. The presence of oil bodies, a unique organelle only found in liverworts, has been proposed as a means for storing terpenoids in liverworts [6]. This paper aims to provide VOC profiling of selected Peninsular Malaysian bryophytes and review recent literature on volatile communication between bryophytes and other organisms.
2. Results
The volatile compounds were identified using the dynamic headspace and analyzed using gas chromatography–mass spectrometry (GC-MS). A total of 30 chemical compounds were detected from the montane forest in Cameron Highlands and the lowland dipterocarp forest in Lata Belatan. Eleven compounds were detected from both sampling sites and classified into different classes of volatiles: alkane, alkene, aldehyde and aromatic hydrocarbon.
2.1. Identification of the Volatile Constituents of Liverworts, Mosses and Hornwort in Cameron Highlands, a Montane Rainforest at 1400–1600 m Elevation
In the headspace of 12 bryophytes species from Cameron Highlands (Table 1), 30 compounds were detected, representing 93.5% to 99.9% of the total emission. Most of the species were mainly composed of alkane and terpene volatiles. The liverwort Bazzania loricata emitted the highest number of compounds with 20 volatiles and predominantly contained pentanoic acid, 2,2,4-trimethyl-3-carboxyisopropyl, isobutyl ester, which accounted for 27.5% of the total volatiles, respectively. On the other hand, the moss Dicranoloma braunii emitted only seven compounds, the lowest number of volatile components detected per species.
Table 1.
Bryophyte species from Cameron Highlands with information on the family and species name, collecting locality and substrate.
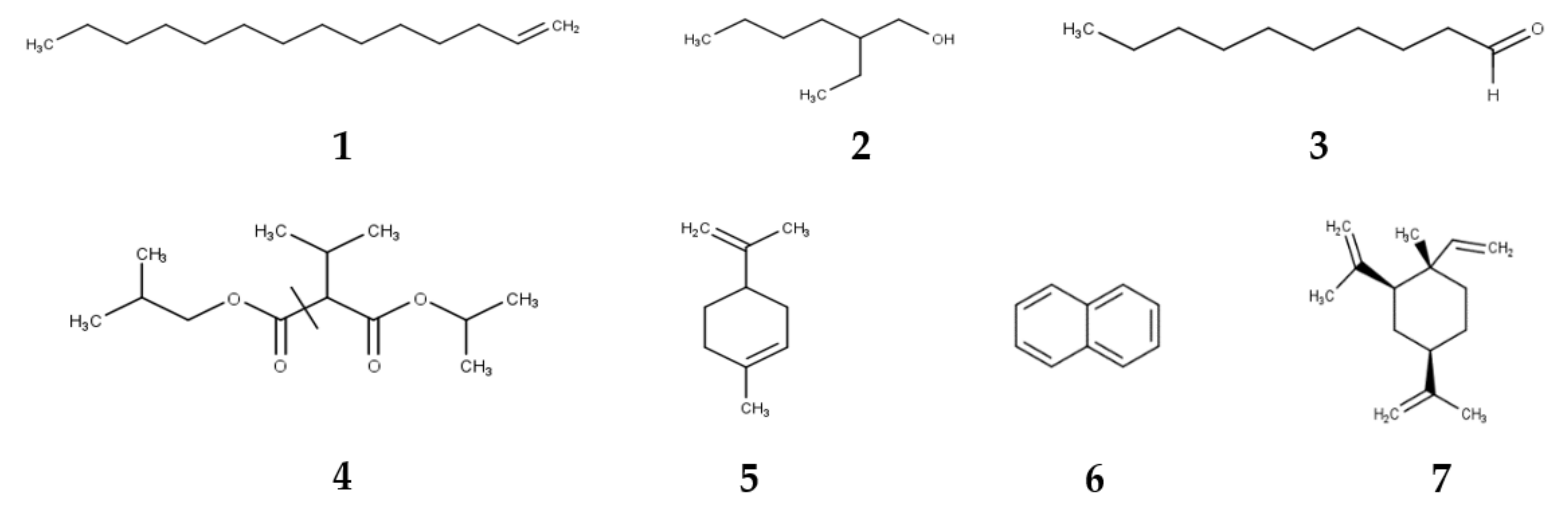
The GC-MS analysis of chemical constituents in the headspace of bryophyte samples in Cameron Highlands showed similar chemical composition (Table 2). Six compounds, namely 1-tetradecene (1), 2-ethyl-1-hexanol (2), decanal (3), pentanoic acid, 2,2,4-trimethyl-3-carboxyisopropyl, isobutyl ester (4), limonene (5) and naphthalene (6) were common to all species (Figure 1). Pentanoic acid, 2,2,4-trimethyl-3-carboxyisopropyl, isobutyl ester was the most abundant compound. It occurred in the mosses (Fissidens crispulus, Distichophyllum mittenii, Garovaglia elegans) and liverworts (Bazzania loricata, Frullania apiculata, Heteroscyphus coalitus, Mastigophora diclados, Plicanthus hirtellus) and hornwort (Anthoceros angustus), accounting from 16.9% to 34.6% of total volatiles. 2-ethyl-1-hexanol was identified as the main volatile component in B. longicaulis and Dicranoloma braunii, representing 26% and 41.2% of total peak areas, respectively. β-elemene (7) was recorded as a major component in Plagiochila bantamensis, accounting for 17.7% of total volatiles. Naphthalene was present in 11 of 13 species, accounting for 4.1% to 16.6% of total volatiles. Of the other aromatic hydrocarbons, benzothiazole was detected in H. coalitus (6.3%), Frullania apiculata (3.8%), Plicanthus hirtellus (4.1%) and Dicranoloma braunii (6.7%), and anethole was exclusively identified in B. loricata (2.5%). The monoterpene hydrocarbons, limonene and oxygenated monoterpenes, linalool and menthol were identified in 11 species. Relative areas of limonene were recorded in 11 species that showed a minimum value of 3.3% and a maximum value of 17.4%. Linalool was detected in H. coalitus (6.5%), Frullania apiculata (5.6%), B. loricata (2.7%) and M. diclados (4.4%). Menthol was present in Distichophyllum mittenii (8.8%), H. coalitus (6.9%), Frullania apiculata (5.4%) and Dicranoloma braunii (4.8%). The headspace of Plagiochila bantamensis contained three sesquiterpene volatiles, β-elemene (17.4%), 1,8-dimethyl-4-(prop-1-en—2-yl)spiro [4.5]dec-7-ene (6.5%) and germacrene B (10.4%). Tetradecamethyl- cycloheptasiloxane was detected in Fissidens crispulus (15.7%) and M. diclados (2.6%). Diterpene volatile, kaur-16-ene was only identified in B. loricata. Methyl salicylate, a plant stress compound was present in a small amount in Fissidens crispulus (3.2%), Frullania apiculata (3.1%), Plicanthus hirtellus (2.3%), B. loricata (2.6%) and M. diclados (2.3%).
Table 2.
Major volatile compounds identified in bryophyte headspace from Cameron Highlands. RT: retention time; RI: retention index; RIref: retention index in reference. Mosses—M1: Dicranoloma braunii, M2: Fissidens crispulus, M3: Distichophyllum mittenii, M4: Garovaglia elegans. Liverworts—L1: Heteroscyphus coalitus, L2: Frullania apiculata, L3: Plicanthus hirtellus, L4: Bazzania longicaulis, L5: Plagiochila bantamensis, L6: Bazzania loricata, L7: Mastigophora diclados. Hornwort—H1: Anthoceros angustus.
Figure 1.
Major volatile compounds found in bryophytes. Abbreviations: 1-tetradecene (1), 2-ethyl-1-hexanol (2), decanal (3), pentanoic acid, 2,2,4-trimethyl-3-carboxyisopropyl, isobutyl ester (4), limonene (5), naphthalene (6), β-elemene (7).
2.2. Identification of the Volatile Constituents of Liverworts and Moss in Lata Belatan, a Lowland Dipterocarp Forest at 100–200 m Elevation
In nine bryophyte species of Lata Belatan (Table 3), 3 to 11 compounds were identified, accounting for 93.1% to 99.9% of total volatiles (Table 4). Naphthalene (6) was found to be the most abundant volatile component in the liverworts Pycnolejeunea cavistipula (68.9%), Drepanolejeunea ternatensis (67.9%), Pallavicinia lyellii (62%) and the moss Oedicladium pseudorufescens (67.9%). Alkane dominated Pycnolejeunea grandiocellata, Bazzania calcarata and Acromastigum inaequilaterum, which accounted for 54.3%, 57.8% and 58.3% of total peak areas, respectively. 1-dodecene and 1-tetradecene (1) were dominant in B. asymmetrica, representing 76.4% of total volatiles.
Table 3.
Bryophyte species from Lata Belatan with information on the family and species name, collecting locality and substrate.
Table 4.
Major volatile compounds identified in bryophyte headspace from Lata Belatan. RT: retention time; RI: retention index; RIref: retention index in reference. Mosses—M1: Oedicladium pseudorufescens. Liverworts—L1: Drepanolejeunea ternatensis, L2: Pallavicinia lyellii, L3: Bazzania asymmetrica, L4: Pycnolejeunea cavistipula, L5: Cheilolejeunea trifaria, L6: Pycnolejeunea grandiocellata, L7: Bazzania calcarata, L8: Acromastigum inaequilaterum.
The headspace of Cheilolejeunea trifaria mainly emitted sesquiterpenoids such as cycloheptane 4-methylene-1-methyl-2-(2-methyl-1-propeny-1-yl)-1-vinyl (3.5%), (+)-eremophilene (12%), isoaromadendrene epoxide (2.0%), caryophyllene oxide (4.4%) and (-)-globulol (10%). These compounds accounted for 32% of the total volatiles of C. trifaria headspace. β-chamigrene (11.3%) was identified in B. asymmetrica. The headspace of Pycnolejeunea grandiocellata detected longifolene (7.9%) and cycloheptane 4-methylene-1-methyl-2-(2-methyl-1-propeny-1-yl)-1-vinyl (3.6%). The headspaces of Pallavicinia lyellii and O. pseudorufescens were dominated by the aromatic hydrocarbons benzothiazole and naphthalene, which represented 65.4% and 75.1%, respectively. The aliphatic aldehydes nonanal and decanal are the commonly identified volatiles in all species. Pycnolejeunea cavistipula and Pallavicinia lyellii emitted both aldehydes, representing the cumulative area of 15.2% and 9.4%, respectively. Emission of nonanal was detected in C. trifaria (2.1%), Pycnolejeunea grandiocellata (4.2%) and B. calcarata (16.1%), whereas decanal was detected in D. ternatensis (5.0%) and O. pseudorufescens (14.0%).
3. Discussion
Our data on the chemical profiling of VOCs of bryophytes in two different types of forests in Peninsular Malaysia show considerable volatile differences. Alcohol (1-hexanol, 2-ethyl- and 1-dodecanol) is produced in all the highland species from the montane forest of Cameron Highlands and in none of the species from the Lata Belatan lowland forest. Different types of terpenoid, fatty acid and ester compounds are found in the species from both forests. Nevertheless, some similar major compounds are synthesized by species from both forests, such as the volatiles alkane (dodecane, 2,6,11-trimethyldodecane, tetradecane, pentadecane, hexadecane), alkene (1-dodecene, 1-tetradecane), aldehyde (nonanal, decanal) and aromatic hydrocarbon (naphthalene, benzothiazole). All the species of bryophytes from the montane forest have volatile terpenoids (sesquiterpenoids and diterpenes). In contrast, only four species of liverworts from the lowland forest have sesquiterpenoids and none produce diterpenes. The elevational differences in VOC composition correlate with the very different taxonomic composition of the lowland and montane species assemblages in this study. Lowland liverwort species of Lata Belatan are from the families Lepidoziaceae (Bazzania, Acromastigum), Lejeuneaceae (Cheilolejeunea, Drepanolejeunea, Pycnolejeunea), and Pallaviciniaceae (Pallavicinia), while the montane species from the Cameron Highlands represent very different families (apart from a few spp. of Bazzania), viz. Plagiochilaceae (Plagiochila), Lophocoleaceae (Heteroscyphus), Frullaniaceae (Frullania), Mastigophoraceae (Mastigophora) and Scapaniaceae (Plicanthus). The elevational pattern detected in the VOC composition of liverworts thus appears to be an evolutionary feature that needs verification at other sites. The distinct differences in VOC composition detected among species at single elevational sites confirm the findings of Ludwiczuk and Asakawa [6], who showed that the secondary metabolite composition of bryophytes is usually species-specific, particularly for sesquiterpenoids in liverworts (see examples in [6]). It has also been shown that the production of VOCs by plants, in general, depends on many factors [7], and that each organism may produce specific VOCs according to their functional role in the ecosystem.
Nine out of 12 species from Cameron Highlands share the same highest component of volatile, i.e., pentanoic acid, 2,2,4-trimethyl-3-carboxyisopropyl, isobutyl ester, with the concentration of the constituents ranging from 16.9–34.6%. Garovaglia elegans and Anthoceros angustus have the highest concentration, with 32.7% and 34.6%, respectively. Hitherto, the highest number of VOCs in a species of hornworts was found in Leiosporoceros dussii (Steph.) Hässel from Panama, which produced two terpenoids and 27 VOCs [8,9]. In contrast, the highest number of VOCs of hornworts detected in the present study was 11 (in A. angustus). Interestingly, gametophytes and sporophytes of the hornwort L. dussii showed apparent differences in terms of VOCs, with menthacamphor being the main constituent of female thalli (18 VOCs identified in total) while hexanol was the main constituent of male thalli (14 VOCs identified in total) and hexanal in sporophytes (18 VOCs identified in total) [9].
The emission of VOCs by plants is mainly associated with a range of biotic and abiotic stress factors such as high temperature, high light and herbivore attack [10]. Plants produce VOCs for different reasons and are essential to the functioning of ecosystems. Among them are pheromones, eavesdropping and mimicry, plant–insect interaction, plant–plant communication and microorganisms (effect of VOC production in microbial community on plants) [11]. Their function in chemical ecology by a wide array of organisms ranging from animals and microorganisms to fungi has been well-documented and studied in great depth, particularly in insects. However, the chemical ecology of interactions of nonvascular plants such as bryophytes through VOCs has only begun to be explored recently. One of the first studies was in a peatland moss, Hamatocaulis vernicosus, and its competitor, Sphagnum flexuosum, by Vicherová et al. [7]. They proved that H. vernicosus used volatile chemical signal information in neighbor detection. Specifically, H. vernicosus can detect the VOCs of S. flexuosum, thereby regulating its growth in response to sharing resources such as light and space.
As for plant–insect interactions, VOCs have long been recognized to play a major role in attracting pollinators and offering defense against herbivores. In bryophytes, it has been shown that VOCs may play a role in spore and spermatozoid dispersal. For examples, several species from the moss family Splachnaceae use brightly colored, scented sporophytes to attract flies that facilitate spore dispersal [12]. Similarly, the moss Ceratodon purpureus utilizes volatile scents to manipulate microarthropod behavior, increasing moss fertilization [13]. It has also been found that odors of gametophytes and sporophytes of Splachnaceae species differed significantly, with gametophyte odors consisting of sesquiterpenoids and hydrocarbons, whereas sporophyte odors were much more pungent and chemically complex [12]. In some cases, VOCs may serve as chemotaxonomic markers and be used as characters in taxonomy, e.g., in recognition of cryptic species of Conocephalum conicum [14]. A summary of the role of VOCs in bryophytes is presented in Table 5.
Table 5.
A summary of the role of volatile organic compounds (VOCs) in bryophytes.
4. Materials and Methods
4.1. Plant Material
Plant samples were collected from two study areas, namely Cameron Highlands montane forest, Pahang and Lata Belatan lowland dipterocarp forest, Terengganu (Figure 2 and Figure 3). According to the Malaysian Metrological Department, the temperature of Cameron Highlands is within the range of 13 °C–24 °C throughout the year, and the mean annual rainfall is 2400 mm, while in Lata Belatan, the temperature is 21 °C–32 °C and the yearly rainfall is between 2000–2500 mm. In addition, voucher specimens were identified and deposited in the Herbarium of Universiti Malaysia Terengganu (UMTP). The samples were identified based on morphological characteristics, using identification keys in various publications, e.g. [15,16,17,18,19,20].
Figure 2.
Bryophyte species and their habit from Lata Belatan. (A) Oedicladium pseudorufescens (Hampe) B.C. Tan and Mohamed. (B) Drepanolejeunea ternatensis (Gottsche) Schiffn. (C) Bazzania asymmetrica (Steph.) N. Kitag. (D) Bazzania calcarata (Sande Lac.) Schiffn. (E) Pycnolejeunea grandiocellata Steph. (F) Pallavicinia lyellii (Hook.) Carruth.
Figure 3.
Bryophyte species and their habit from Cameron Highlands. (A) Mastigophora diclados (F. Weber) Nees. (B) Heteroscyphus coalitus (Hook.) Schiffn. (C) Distichophyllum mittenii Bosch and Sande Lac. (D) Plagiochila bantamensis Dumort. (E) Dicranoloma braunii (Müll. Hal.) Paris. (F) Anthoceros angustus Steph.
4.2. Headspace Volatiles Collection
The young green shoots of the bryophyte sample were chosen, excluding the lower part, usually dried up or brown in color. The plant sample was cleaned from the substrate, and other species intermingled together under a stereomicroscope. The sampling of volatiles was carried out using the dynamic headspace technique. Each species was placed on damp cotton in an enclosed glass jar (11 cm × 10 cm). Incoming air was purified by activated charcoal (Sigma-Aldrich, St Louis, MO, USA), and outgoing air was trapped on 150 mg Tenax® TA (60–80 mesh; Sigma-Aldrich) that was connected to a vacuum pump (Rocker430, New Taipei City, Taiwan) at a flow rate of 2 L/min. Volatiles were collected for 24 h. Bryophyte volatiles were extracted by eluting the Tenax® TA with 1 mL hexane, containing 5 pg/µL of benzyl acetate (Sigma-Aldrich) as internal standard. For control, volatiles were also collected from a glass jar containing damp cotton.
4.3. Gas Chromatography–Mass Spectrometry (GCMS)
The volatiles of bryophytes were analyzed using SHIMADZU QP2010 Ultra gas chromatograph–mass spectrometer. A splitless injection of 1 µL was carried out with the GC injector set to 300 °C. Compounds were separated on a Zebron ZB-5ms column (30 m × 250 µm i.d. × 0.25 µm film thickness; Phenomenex). The GC oven was programmed as follows: the initial temperature was kept at 50 °C for 1 min and heated at a rate of 5 °C min−1 to 300 °C. Then, the temperature was increased to 320 °C at 5 ℃ min−1 and was maintained for 5 min. Helium was used as the carrier gas at a flow rate of 1 mL/min. Injection temperature was set at 300 °C, and injection volume of 1 µL in splitless mode. The temperature of the ion source was set at 200 °C. All data were collected from full scan mass spectra in 50 to 600 m/z at 70 ev.
4.4. Data Analysis
Identification of compounds was carried out by comparison of mass spectra with NIST library spectra. However, a single extract containing complex VOCs cannot be distinguished by mass spectra alone. Together with mass spectrometry, retention indices (RI) provide nearly precise identification of isomers. The RI was calculated using the following equation [21]:
where RI is the retention index for temperature-programmed gas chromatography; tn and tn are the retention times of the n-alkane eluting immediately before and after target compound, x, respectively; tx is the retention time of compound x; and n is the number of carbon atoms of the n-alkane eluting before the target compound. The n-alkane standard, C7-C30 (Sigma-Aldrich), was used and run using the parameters described above prior to GCMS analysis. The experimental RI was compared with reported RI in literature [22], Pherobase (https://www.pherobase.com, accessed on 11 April 2022) and NIST (https://webbook.nist.gov/chemistry/, accessed on 11 April 2022). The volatile composition was expressed in the percentage of peak area relative to the total peak area of each compound.
RI = 100n + 100(tx − tn)/(tn+1 − tn)
5. Conclusions
Our study provides VOC profiling of selected Peninsular Malaysian bryophytes in two different types of forests: montane forest and lowland dipterocarp forest. The results show apparent volatile differences in their composition, indicating that the secondary metabolites of bryophytes are usually species-specific and could be an evolutionary feature at the family level. However, VOCs and their function and development in bryophytes are poorly understood, unlike other vascular plant groups. Hence, future research on the volatile composition of bryophytes, particularly from the liverwort oil bodies that accumulate and contain bioactive compounds, may shed some light on their existence, emission and function of the VOCs in response to biotic and abiotic stresses.
Author Contributions
Conceptualization, N.F.M.S. and G.E.L.; sampling and fieldwork, C.W.K., N.F.M.S. and G.E.L.; laboratory work and analyses, C.W.K. and N.F.M.S.; data curation including identification of samples: C.W.K., N.F.M.S., G.E.L. and N.N.; optimization of GCMS program, M.Z.R.; writing—original draft preparation, N.F.M.S. and G.E.L.; writing—review and editing, C.W.K., S.R.G., Y.A. (Yoshinori Asakawa), Y.A. (Yosie Andriani), A.M., N.N. and P.W.C.; funding acquisition, N.F.M.S. All authors have read and agreed to the published version of the manuscript.
Funding
This research was funded by the Ministry of Higher Education (MOHE) through Fundamental Research Grant Scheme (FRGS/1/2020/WAB04/UMT/03/1), a grant awarded to N.F.M.S (VOT59614). The APC was partially funded by the Research Management and Innovation Centre (RMIC), Universiti Malaysia Terengganu.
Institutional Review Board Statement
Not applicable.
Informed Consent Statement
Not applicable.
Data Availability Statement
No additional data are available.
Acknowledgments
We are grateful to Elizabeth Pesiu, Muhammad Syafiq Sarimi, Nor Aishah Shafie, Tuan Nurkhairina Izzati and Hung Yung Tang (Daniel) for their invaluable assistance and support during the field sampling.
Conflicts of Interest
The authors declare no conflict of interest.
References
- Peñuelas, J.; Llusià, J. Plant VOC Emissions: Making use of the unavoidable. Trends Ecol. Evol. 2004, 19, 402–404. [Google Scholar] [CrossRef] [PubMed]
- Milet-Pinheiro, P.; Silva, J.B.F.; Navarro, D.M.A.F.; Machado, I.C.S.; Gerlach, G. Notes on pollination ecology and floral scent chemistry of the rare Neotropical orchid Catasetum galeritum Rchb.f. Plant Species Biol. 2018, 33, 158–163. [Google Scholar] [CrossRef]
- Johnson, S.D.; Schiestl, F.P. Floral Mimicry; Oxford University Press: Oxford, UK, 2016; p. 256. [Google Scholar]
- Bouwmeester, H.; Schuurink, R.C.; Bleeker, P.M.; Schiestl, F. The role of volatiles in plant communication. Plant J. 2019, 100, 892–907. [Google Scholar] [CrossRef] [PubMed]
- Asakawa, Y.; Ludwiczuk, A.; Nagashima, F. Chemical Constituents of Bryophytes: Bio- and Chemical Diversity, Biological Activity, and Chemosystematics. In Progress in the Chemistry of Organic Natural Products; Kinghorn, A.D., Falk, H., Kobayashi, J., Eds.; Springer: Vienna, Austria, 2013; Volume 95, pp. 1–796. [Google Scholar]
- Ludwiczuk, A.; Asakawa, Y. Bryophytes as a source of bioactive volatile terpenoids—A review. Food Chem. Toxicol. 2019, 132, 110649. [Google Scholar] [CrossRef] [PubMed]
- Vicherová, E.; Glinwood, R.; Hájek, T.; Šmilauer, P.; Ninkovic, V. Bryophytes can recognize their neighbours through volatile organic compounds. Sci. Rep. 2020, 10, 7405. [Google Scholar] [CrossRef] [PubMed]
- Salazar Allen, N.; Santana, A.I.; Gómez, N.; Chung, C.; Prashad Gupta, M. Identification of volatile compounds from three species of Cyathodium (Marchantiophyta: Cyathodiaceae) and Leiosporoceros dussii (Anthocerotophyta: Leiosporocerotaceae) from Panama, and C. foetidissimum from Costa Rica. Bol. Soc. Argent. Bot. 2017, 52, 357–370. [Google Scholar] [CrossRef]
- Garrido, A.; Ledezma, J.G.; Durant-Archibold, A.A.; Salazar Allen, N.; Villarreal, J.C.; Gupta, M.P. Chemical profiling of volatile components of the gametophyte and sporophyte stages of the hornwort Leiosporoceros dussii (Leiosporocerotaceae) from Panama by HS-SPME-GC-MS. Nat. Prod. Commun. 2019, 14, 1934578X19868875. [Google Scholar] [CrossRef]
- Holopainen, J.K.; Gershenzon, J. Multiple stress factors and the emission of plant VOCs. Trends Plant Sci. 2010, 15, 176–184. [Google Scholar] [CrossRef] [PubMed]
- Tumlinson, J.H. The Importance of Volatile Organic Compounds in Ecosystem Functioning. J. Chem. Ecol. 2014, 40, 212–213. [Google Scholar] [CrossRef] [PubMed]
- Marino, P.; Raguso, R.; Goffinet, B. The ecology and evolution of fly dispersed dung mosses (Family Splachnaceae): Manipulating insect behaviour through odour and visual cues. Symbiosis 2009, 47, 61–76. [Google Scholar] [CrossRef]
- Rosenstiel, T.N.; Shortlidge, E.E.; Melnychenko, A.N.; Pankow, J.F.; Eppley, S.M. Sex-specific volatile compounds influence microarthropod-mediated fertilization of moss. Nature 2012, 489, 431–433. [Google Scholar] [CrossRef] [PubMed]
- Ludwiczuk, A.; Odrzykoski, I.J.; Asakawa, Y. Identification of cryptic species within liverwort Conocephalum conicum based on the volatile components. Phytochemistry 2013, 95, 234–241. [Google Scholar] [CrossRef] [PubMed]
- Lee, G.E.; Gradstein, S.R. Guide to the Genera of Liverworts and Hornworts of Malaysia; Hattori Botanical Laboratory: Tokyo, Japan, 2021; p. 234. [Google Scholar]
- Mizutani, M. Lejeuneaceae subfamilies Lejeuneoideae and Cololejeuneoideae from Sabah (North Borneo). J. Hattori Bot. Lab. 1970, 33, 225–265. [Google Scholar]
- He, X. A taxonomic monograph of the genus Pycnolejeunea (Lejeuneaceae). Acta Bot. Fenn. 1999, 163, 77. [Google Scholar]
- Cheah, Y.H.; Yong, K.T. New records of Bazzania species (Marchantiophyta: Lepidoziaceae) in Peninsular Malaysia with identification key. Crypt. Bryol. 2016, 37, 199–210. [Google Scholar] [CrossRef]
- Iwatsuki, Z.; Mohamed, M.A.H. The genus Fissidens in Peninsular Malaysia and Singapore (A preliminary study). J. Hattori Bot. Lab. 1987, 62, 339–360. [Google Scholar]
- Mohamed, H.; Robinson, H.E. A taxonomic revision of the moss families Hookeriaceae and Hypopterygiaceae in Malaya. Smithson. Contr. Bot. 1991, 8, 1–44. [Google Scholar] [CrossRef]
- Van den Dool, H.; Kratz, P.D. A generalization of the retention index system including linear temperature programmed gas-liquid partition chromatography. J. Chromatogr. 1963, 11, 463–471. [Google Scholar] [CrossRef]
- Babushok, V.I.; Linstrom, P.J.; Zenkevich, I.G. Retention Indices for frequently reported compounds of plant essential oils. J. Phys. Chem. Ref. Data 2011, 40, 043101. [Google Scholar] [CrossRef]
Publisher’s Note: MDPI stays neutral with regard to jurisdictional claims in published maps and institutional affiliations. |
© 2022 by the authors. Licensee MDPI, Basel, Switzerland. This article is an open access article distributed under the terms and conditions of the Creative Commons Attribution (CC BY) license (https://creativecommons.org/licenses/by/4.0/).


