Abstract
Hulless barley, grown in the Qinghai Tibet Plateau, has a wide range of environmental stress tolerance. Alternative pathway (AP) and hydrogen peroxide (H2O2) are involved in enhancing plant tolerance to environmental stresses. However, the relationship between H2O2 and AP in hulless barley tolerance to cadmium (Cd) stress remains unclear. In the study, the role and relationship of AP and H2O2 under Cd stress were investigated in hulless barley (Kunlun14) and common barley (Ganpi6). Results showed that the expression level of alternative oxidase (AOX) genes (mainly AOX1a), AP capacity (Valt), and AOX protein were clearly induced more in Kunlun14 than in Ganpi 6 under Cd stress; moreover, these parameters were further enhanced by applying H2O2. Malondialdehyde (MDA) content, electrolyte leakage (EL) and NAD(P)H to NAD(P) ratio also increased in Cd-treated roots, especially in Kunlun 14, which can be markedly alleviated by exogenous H2O2. However, this mitigating effect was aggravated by salicylhydroxamic acid (SHAM, an AOX inhibitor), suggesting AP contributes to the H2O2-enhanced Cd tolerance. Further study demonstrated that the effect of SHAM on the antioxidant enzymes and antioxidants was minimal. Taken together, hulless barley has higher tolerance to Cd than common barley; and in the process, AP exerts an indispensable function in the H2O2-enhanced Cd tolerance. AP is mainly responsible for the decrease of ROS levels by dissipating excess reducing equivalents.
1. Introduction
Cadmium (Cd), the third major contaminant to the environments, is seriously harmful to organisms, even human health [1,2]. Cd can affect plant growth and development, such as yellowing of leaves, necrosis of roots, inhibition of photosynthesis, changes of transpiration and respiration rate [3,4]. Moreover, Cd can damage DNA and change protein structure [5]. In cells, the over-accumulated Cd can disrupt the redox homoeostasis and further result in oxidative stresses [6]. In order to reduce the toxicity of Cd, plants have developed a variety of defense mechanism [7].
Plants can suppress Cd uptake to maintain a low Cd concentration, thus avoiding heavy metal toxicity [8]. Meanwhile, chelating and sequestrating Cd to insensitive compartments of cells (e.g., vacuoles) was verified to be momentous in Cd detoxification [9]. The activation of antioxidant defense system has been widely proven to be an essential way to resist Cd-induced oxidative stress [10]. A series of heavy metal transport-associated proteins, such as yellow stripe-like protein (YSL), natural resistance-associated macrophage protein (NRAMP), and heavy metal transporting ATPase (HMA), transport heavy metal ions to outside of the cytoplasm, thus maintaining the intracellular ion homeostasis and enhancing Cd tolerance [11]. In addition, alternative pathway (AP) has been extensively reported to enhance Cd tolerance [8]. Even so much previous effort has been made, the in-depth protective mechanisms in plant tolerance to Cd stress is still unclear.
H2O2 signal is widely involved in the plant responses to biotic and abiotic stresses [12]. Only high-concentration H2O2 can lead to serious oxidative damages. Under aluminum (Al) stress, H2O2 can obviously recover the Al-induced root growth inhibition and reduce Al accumulation in roots through improving antioxidant enzyme activities and gene expression in peanut roots [10]. H2O2 regained crop development and subsequent activation of MPK1/2 by enhancing the activities of antioxidant enzymes and the content of AsA and GSH under Cd tolerance in Solanum lycopersicum [13]. Moreover, H2O2 was found to improve thiol content, antioxidant enzyme activities, activation of metallothionein protein (BnMP1) mRNA and decrease lipid peroxidation in Brassica napus exposed to chromium (Cr) stress [14]. H2O2 was also reported to be involved in signal perception and transduction of cold stress in Synechocystis [15]. Meanwhile, H2O2 protects bacteria from oxidative stress via modulating the activity of transcription factors OxyR and PerR [16]. In addition, H2O2 regulates the ethylene signal in response to the hypoxic stress [17]. These results confirm that a suitable H2O2 concentration can strengthen the tolerance of plants to environmental stresses. However, it is still unclear about the role of H2O2 in hulless barley tolerance to Cd stress.
Respiration metabolism plays fundamental functions in plant growth and development. Plant mitochondria have an alternative pathway (AP) in addition to the cyanide-sensitive cytochrome pathway (CP) [18]. Alternative oxidase (AOX) is the terminal oxidase of AP, and is located in the mitochondria inner membrane [18]. When plants are exposed to environmental stresses, the AP capacity can be significantly increased [19]. In hulless barley, AP capacity and AOX protein level were markedly increased under low-nitrogen stress [20], and exposure to UV-B radiation [21]. It was reported that Cd stress significantly inhibited the CP capacity, but induced the AP capacity in Euglena [22]. In Arabidopsis, AP capacity and AOX protein level were also increased under Cd stress [23]. It was reported that H2O2 is involved in regulating the transcription of AOX family genes in M. grisea [24]. In addition, H2O2 induced AP in chill and salt stress [25,26]. However, the relationship and the mechanism between AP and H2O2 in the highland barley tolerance to Cd stress are still unknown.
Hulless barley is an ideal material to explore the mechanism of crop tolerance because it grows in such harsh climate conditions [21]. In this study, we explored the role of H2O2 and AP in hulless barley response to Cd stress. The results showed that AP is involved in H2O2-enhanced Cd tolerance in hulless barley by dissipating excess reducing equivalents.
2. Materials and Methods
2.1. Plant Materials and Growth Conditions
Hulless barley (Kunlun14) and common barley (Ganpi6) were provided by Prof. Kunlun Wu (Qinghai Academy of Agriculture and Forestry Sciences, Xi′ning, China). The seeds were treated with 2% NaClO for 10 min, and washed with sterile water for at least 3 times. Then the seeds were germinated and grown in 200 mL plastic beakers filled with 1/4-strengh Hoagland culture solution [27]. Culture solution was changed every other day.
After 6 d growth, seedlings were used for treatments. 150 μM CdCl2 was added in the 1/4 Hoagland solution for 48 h as the Cd stress. 150 μM salicylhydroxamic acid (SHAM) was used to inhibit the alternative oxidase (AOX) activity. A total of 20 μM hydrogen peroxide (H2O2) was added in solution for 48 h. Roots were collected for the following experiments.
2.2. H2O2 Staining
H2O2 staining was performed following the method described by Skórzyńska et al. [28]. Roots were stained in 2 mg/mL 3,3-diaminobenzidine (DAB) solution for 10 h, and photographed using the Leica SM IRBE stereomicroscope (Leica Microsystems, Wetzlar, Germany).
2.3. Determination of Electrolyte Leakage and Malondialdehyde Content
Electrolyte leakage (EL) and malondialdehyde (MDA) content in roots were determined according to the method described by Janicka et al. [29].
2.4. Measurements of Respiratory Rates
Respiratory rate was detected as described by Wang et al. [30]. 0.05 g of roots were cut into small segments, and then put into the reaction vessel containing 2 mL phosphate buffer (pH 6.8). After reaction for 2 min, oxygen consumption rate was measured, and this rate was defined as the total respiratory rate (Vt). After 2 mM KCN or 2 mM salicylhydroxamic acid (SHAM) was added into the reaction vessel for 2 min; the oxygen consumption rate was defined as the alternative pathway capacity (Valt) or the cytochrome pathway capacity (Vcyt), respectively.
2.5. Determination of Antioxidant Contents
Total ascorbic acid (AsA) content, reduced AsA and oxidized AsA were measured according to the method described by Paradiso et al. [27]. Oxidized glutathione (GSSG) and reduced glutathione (GSH) contents were measured according to the method described by Paradiso et al. [27].
2.6. Antioxidant Enzyme Activity Assay
The enzymes were extracted according to the method of Pinto et al. [28]. Antioxidant enzyme activities (SOD, CAT, POD and APX) were analyzed following the method described by Jian et al. [29]. The activities of the GSH-AsA cycle-related enzymes (DHAR, MDHAR, GR and GPX) were determined according to the method described by Zhang et al. [4].
2.7. RNA Isolation and qRT-PCR
RNA isolation and qRT-PCR were carried out according to the method of He et al. [30]. The gene-specific primers were listed in Table 1. HvACTIN was used as the reference gene. qRT-PCR data were quantified using the 2−△△CT method.
Table 1.
Primer Sequences.
2.8. Western-Blot Analysis
Western-blot analysis was conducted following the method described by Zhao et al. [21]. Proteins were separated on 12.5% acrylamide gel, then transferred to polyvinylidene difluoride membrane. The membrane was blocked for 3 h with 10% bovine serum albumin. Primary antibody against Arabidopsis AOX was added and incubated overnight. After rinsing three times with TTBS [15 mM NaCl, 0.05% Tween-20, 1 mM Tris-HCl (pH 8.0)], secondary antibody was added and incubated for visualization according to the instructions of the luminescence kit (NCM BIotech; Suzhou; China).
2.9. Statistical Analysis
Each experiment was repeated at least three times. The date was analyzed by SPSS 17.0 and Origin 8. Different lowercase letters indicate significant difference at p < 0.05.
3. Results
3.1. Effects of Cd Stress on H2O2 Content
To explore whether H2O2 is involved in enhancing hulless barley tolerance to Cd stress, the H2O2 content was analyzed under Cd Stress by 3,3-diaminobenzidine (DAB) histochemical staining. The optimum Cd concentration (150 μM) for barley was selected in our previous research [30]. As shown in Figure 1, with the increase of Cd concentration, the H2O2 staining was gradually deepened in Ganpi6 and Kunlun14 roots. Under 150 μM Cd, H2O2 staining was increased by 5.26× and 4.18× in Ganpi6 and Kunlun14 roots, respectively. When Cd concentration was increased to 200 μM, the H2O2 staining was no longer increased. These results indicated that Cd stress can significantly induce H2O2 accumulation, which was significantly lower in Kunlun14 than that in Ganpi6, suggesting that Ganpi6 suffered more oxidative stress in comparison with Kunlun 14 under Cd stress.
Figure 1.
Effects of Cd on H2O2 content in Ganpi6 and Kunlun14 roots. (A) Histochemical staining of H2O2; (B) quantification of H2O2 content. Six-day-old seedlings were grown in 1/4-strengh Hoagland nutrient solution with 0–200 μM Cd for 48 h. H2O2 level was examined by histochemical method. Different lower case letters represent significant difference at p < 0.05.
To analyze whether H2O2 has protective effects on Ganpi6 and Kunlun14 roots under Cd stress, exogenous H2O2 (10, 20 and 30 μM) were applied under 150 μM Cd treatment. H2O2 function was evaluated by measuring the MDA content and EL level. As shown in Figure 2, after 150 μM Cd + H2O2 treatment for 48 h, 20 μM H2O2 significantly reduced the MDA content and EL level in Ganpi6 and Kunlun14 roots. However, when H2O2 concentration was increased to 30 μM, the MDA content and EL level gradually increased to the level of 10 μM H2O2 treatment. These results suggested that 20 μM of H2O2 has the best effect on alleviating the Cd-induced oxidative stress. So 20 μM H2O2 was used in the further study. In addition, upon Cd + 20 μM H2O2 treatment, the oxidative stress in Kunlun 14 was significantly lower than that in Ganpi6, further confirming that Kunlun 14 can better tolerate Cd stress.
Figure 2.
Effects of H2O2 on malondialdehyde content (MDA) (A) and electrolyte leakage (EL) (B) under Cd stress in Ganpi6 and Kunlun14 roots. Six-day-old seedlings were grown in 1/4-strengh Hoagland solution with 150 μM Cd and 10–30 μM H2O2 for 48 h (n = 3). Different lower case letters represent significant difference at p < 0.05.
3.2. Exogenous H2O2 Enhances HvAOXs Expression in Ganpi6 and Kunlun14 Roots under Cd Stress
Alternative pathway (AP) can be markedly induced when plants are exposed to various stresses [31]. Under stress conditions, H2O2 can significantly induce AOXs expression and further promote AP capacity [32,33]. By far, HvAOXs had been cloned in our previous research [31]. The effect of Cd stress on HvAOXs expression was investigated. HvAOXs expression was up-regulated in Ganpi6 and Kunlun14 roots under Cd stress. In Ganpi6 and Kunlun14, the expression of HvAOX1a, HvAOX1d1 and HvAOX1d2 increased by 6.17× and 6.98×, by 1.41× and 1.87×, and by 86.04% and 105.13%, respectively (Figure 3). Under Cd + SHAM treatment, the expression level of HvAOXs was observably lowered. The effect of exogenous H2O2 on HvAOXs expression was further investigated. Under Cd + H2O2 treatment, the expression of HvAOX1a was increased by 4.21× and 5.37× in Ganpi6 and Kunlun14 roots, respectively (Figure 3A), whereas HvAOX1d1 and HvAOX1d2 were just slightly induced (Figure 3B,C). When AP was inhibited by SHAM, the expression of HvAOXs was markedly reduced under Cd + H2O2 + SHAM treatment (Figure 3). These results suggested that AP might play a crucial role in H2O2-promoted Cd tolerance.
Figure 3.
Effects of H2O2 on the expression of HvAOXs genes in Ganpi6 and Kunlun14 roots under Cd stress. (A) HvAOX1a; (B) HvAOX1d1; (C) HvAOX1d2. In this experiment, CK represented seedlings that grown normally without any treatment. 150 μM Cd, 20 μM H2O2, and 100 μM salicylhydroxamic acid (SHAM) were used. HvACTIN was used as the reference gene (n = 3).Different lower case letters represent significant difference at p < 0.05.
3.3. Exogenous H2O2 Enhances AP Capacity (Valt) under Cd Stress
To further explore the effect of exogenous H2O2 on respiration under Cd stress, changes in total respiration rate (Vt), cytochrome pathway capacity (Vcyt) and Valt were examined. As shown in Figure 4, Vt and Valt were significantly increased under H2O2 treatment alone in Ganpi6 and Kunlun14 roots. Specifically, Vt was increased by 2.88× and 3.02×, and Valt was increased by 2.12× and 2.63× in Ganpi6 and Kunlun14, respectively. Under Cd treatment, Vt, Valt and Vcyt were increased by 3.07× and 4.08×, 2.96× and 3.14×, and 1.66× and 1.72× in Ganpi6 and Kunlun14 roots, respectively (Figure 4). Under Cd + H2O2 treatment, Valt was increased by 50.41% and 58.47% in Ganpi6 and Kunlun14 roots, respectively, compared with Cd treatment alone. In all these treatments, Vcyt had almost no changes. When AP was inhibited by SHAM under Cd stress, Valt was decreased to the control level (Figure 4B). Under Cd + H2O2 + SHAM treatment, Vt was markedly reduced. These results indicated that H2O2-induced respiration is mainly achieved through enhancing Valt.
Figure 4.
Effects of H2O2 and SHAM on respiration rates in Ganpi6 and Kunlun14 roots under Cd stress: (A) total respiration rate (Vt); (B) cytochrome pathway capacity (Vcyt); (C) alternative pathway capacity (Valt). 150 μM Cd, 20 μM H2O2, and 100 μM SHAM were used (n = 3). Different lower case letters represent significant difference at p < 0.05.
3.4. Exogenous H2O2 Enhances AOX Protein Accumulation under Cd Stress
To further analyze the effect of exogenous H2O2 on the alternative respiration under Cd stress, the AOX protein level was determined. Western blotting results showed that there was no significant difference in the AOX protein level between Ganpi6 and Kunlun14 under normal condition. Under the exogenous H2O2 treatment, the AOX protein level had no significant change in Ganpi6; but it was increased by 33.42% in Kunlun14 compared with the control (Figure 5). The AOX protein content was significantly increased by 46.34% and 57.18% in Ganpi6 and Kunlun14 roots, respectively, under Cd stress. H2O2 treatment further enhanced the AOX protein level in both Ganpi6 and Kunlun14 under Cd stress, with the increase of 31.36% and 42.32%, respectively, in comparison with the Cd stress alone. However, when AP was inhibited by SHAM under Cd + H2O2 treatment, the AOX protein content was markedly reduced (Figure 5). These results indicated that H2O2 plays a regulatory role in the Cd-induced AOX protein expression.
Figure 5.
Effects of exogenous H2O2 on AOX protein level in Ganpi 6 and Kunlun 14 roots under Cd stress: (A) Western-blotting analysis of AOX protein; (B) quantification of AOX protein. In Figure 5, lane 1: CK; 2: H2O2; 3: SHAM; 4: Cd; 5: Cd + H2O2; 6: Cd + SHAM; 7: Cd + H2O2 + SHAM. AOX protein was quantified by using the ImageJ software (n = 3). Different lower case letters represent significant difference at p < 0.05.
3.5. AP Is Involved in the Regulation of H2O2 in Barley Tolerance to Cd Stress
AP can improve plant tolerance to environmental stresses [31]. We further tested the relationship between MDA content or EL and AP upon Cd stress. Under Cd stress, in Ganpi6 and Kunlun14 roots, the MDA content was increased by 4.92× and 4.11×, respectively, whereas EL level was increased by 2.74× and 2.13×, respectively. H2O2 markedly relieved the Cd-induced oxidative stress. MDA content was decreased by 30.96% and 44.77% in Ganpi6 and Kunlun14, respectively, under Cd + H2O2 treatment in comparison with Cd stress alone; whereas EL was decreased by 28.51% and 41.61%, respectively (Figure 6). When AP was inhibited by SHAM under Cd stress, Cd-induced oxidative damage was intensified. The MDA content was increased by 35.96% and 39.65%; and EL was increased by 28.51% and 31.54%, respectively. Under Cd + H2O2 + SHAM treatment, in Ganpi6 and Kunlun14 roots, MDA content and EL were increased by 77.14% and 85.71%, respectively, and by 60.27% and 65.11%, respectively, in comparison with Cd + H2O2 treatment (Figure 6). These results indicated that AP plays an important role in H2O2 alleviation of the Cd-induced oxidative stress.
Figure 6.
Effects of H2O2 and SHAM on MDA content (A) and electrolyte leakage (EL) (B) under Cd stress in Ganpi6 and Kunlun14 roots. Quantities of 150 μM Cd, 20 μM H2O2, and 100 μM SHAM were used (n = 3).Different lower case letters represent significant difference at p < 0.05.
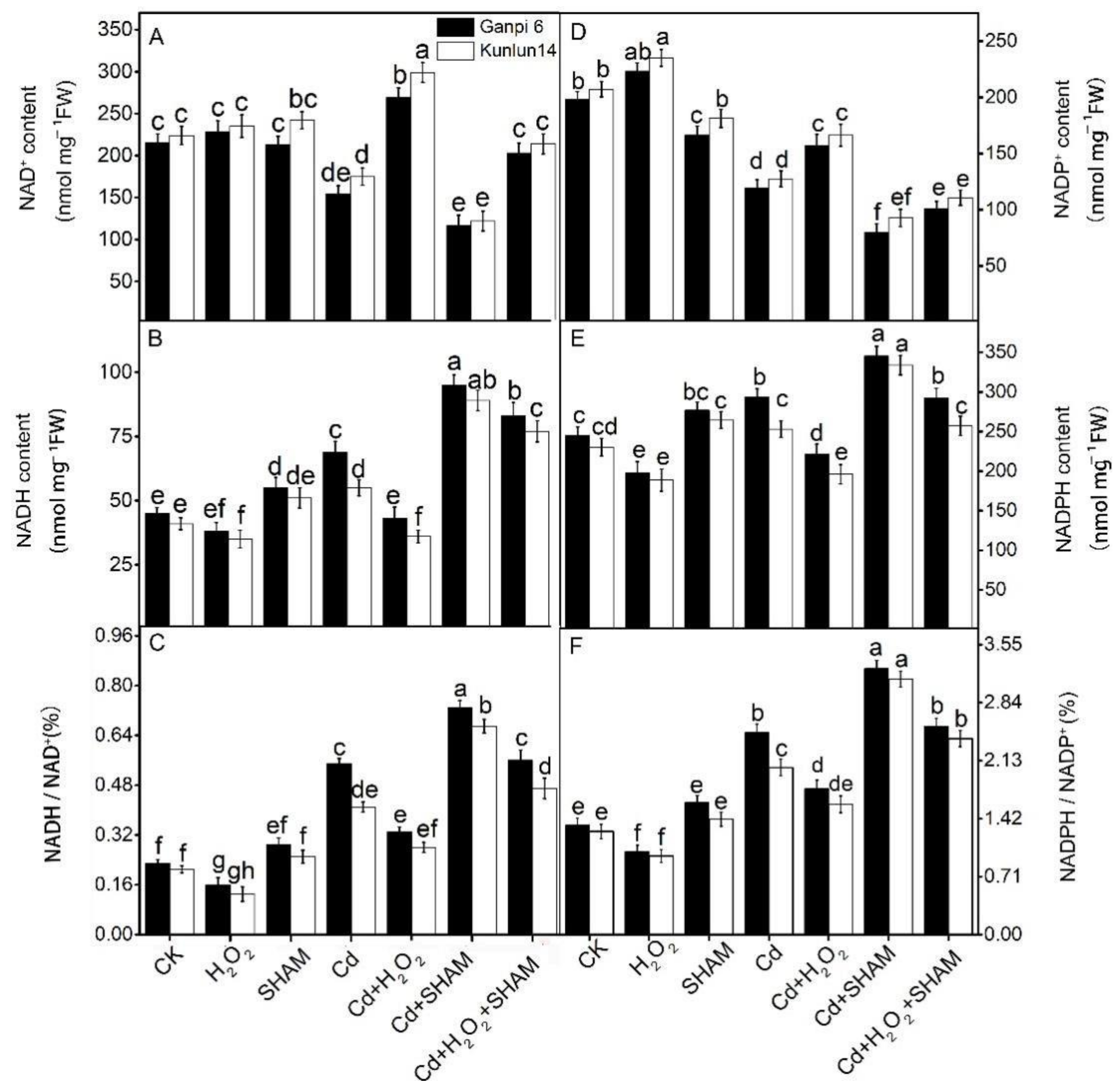
3.6. Effects of H2O2 and SHAM on NADH/NAD+ and NADPH/NADP+ under Cd Stress
Under stress conditions, AP inhibits the excessive ROS accumulation by consuming excessive reducing power in plants cells [33]. To further explore the effect of AP on the H2O2-improved Cd tolerance, NADH/NAD+ and NADPH/NADP+ ratios were examined. Under Cd stress, NAD+ and NADP+ contents were significantly decreased by 30.31% and 27.83% and by 29.14% and 27.77% in Ganpi 6 and Kunlun 14 roots, respectively. Comparatively, NADH and NADPH contents were increased by 57.61% and 37.62% and by 23.15% and 21.54% in Ganpi 6 and Kunlun 14 roots, respectively. Thus, the NADPH/NADP+ ratio and NADH/NAD+ ratio were increased by 70.22% and 52.13% and by 127.05% and 69.34% in Ganpi 6 and Kunlun 14 roots, respectively (Figure 7). When AP was inhibited by SHAM under Cd stress, NAD+ and NADP+ contents were significantly decreased compared with Cd treatment alone; comparatively, NADH and NADPH contents were significantly increased (Figure 7). These results indicated that excessive reducing power was accumulated in barley roots under Cd stress; and AP can utilize the excessive reducing power.
Figure 7.
Effects of exogenous H2O2 and SHAM on NAD+ (A); NADH (B); NADH/NAD+ (C); NADP+ (D); NADPH (E); NADPH/NADP+ (F) under Cd stress in Ganpi6 and Kunlun14 roots. 150 μM Cd, 20 μM H2O2, and 100 μM SHAM were used (n = 3). Different lower case letters represent significant difference at p < 0.05.
Under Cd stress, exogenous application of H2O2 resulted in the increase of NAD+ and NADP+ contents and the decrease of NADH and NADPH contents (Figure 7). In comparison with Cd treatment alone, NAD+ and NADP+ contents were increased by 12.54% and 29.64% and by 26.13% and 33.34% in Ganpi 6 and Kunlun 14 roots, respectively, under Cd + H2O2 treatment; while NADH and NADPH contents were decreased by 30.77% and 36.36% and by 18.18% and 24.43%, respectively (Figure 7B,E). Further results showed that the NADPH/NADP+ ratio and NADH/NAD+ ratio were significantly decreased under Cd+H2O2 treatment (Figure 7C,F), which were reversed when AP was inhibited by SHAM. These results suggested that AP is involved in the H2O2-induced Cd tolerance in Ganpi 6 and Kunlun 14 roots, which was more obvious in Kunlun 14.
3.7. Effects of Exogenous H2O2 and SHAM on the AsA-GSH Cycle under Cd Stress
Under stress conditions, plants can remove excessive ROS by increasing antioxidant molecules (such as AsA and GSH) [32]. In order to investigate the effects of H2O2 and AP on antioxidant molecules under Cd stress, we checked the AsA and GSH contents. Under Cd stress, AsA and GSH contents were significantly increased by 1.14× and 1.59× and by 1.40× and 1.53× in Ganpi 6 and Kunlun 14 roots, respectively (Figure 8A,D). After adding exogenous H2O2 under Cd stress, AsA and GSH contents were further significantly increased by 38.03% and 48.27% and by 15.91% and 20.11% in Ganpi6 and Kunlun14 roots, respectively, compared to Cd treatment alone (Figure 8A,D). However, when AP was inhibited by SHAM under Cd or Cd + H2O2 treatment, AsA and GSH contents had no significant changes (Figure 8). This suggested that H2O2 plays an essential role in regulating ASA and GAH levels under Cd stress. However, AP is not involved in this process.
Figure 8.
Effects of exogenous H2O2 and SHAM on AsA (A); GR (B); MDHAR (C); GSH (D); GPX (E); DHAR (F) under Cd stress in Ganpi6 and Kunlun14 roots. 150 μM Cd, 20 μM H2O2, and 100 μM SHAM were used (n = 3). Different lower case letters represent significant difference at p < 0.05.
GSH and AsA regeneration requires enzymes (GR, GPX, MDHAR and DHAR) in the AsA-GSH cycle. Thus, the activities of these enzymes were examined. The results showed that the enzyme activities were significantly increased under Cd stress in Ganpi6 and Kunlun14 roots. GR, MDHR, GPX and DHAR activities increased by 80.68% and 89.16%, by 31.24% and 36.86%, by 63.28% and 67.54%, and by 40.33% and 44.11% in Ganpi6 and Kunlun14 roots, respectively. After adding exogenous H2O2 under Cd stress, the activities of GR and MDHAR were further significantly increased compared with Cd treatment alone, but the activities of GPX and DHAR were significantly decreased. When AP was inhibited under Cd + H2O2 treatment, activities of these enzymes had no significant changes compared to Cd + H2O2 treatment (Figure 8B,C,E,F). These results confirmed that AP is not involved in the H2O2-induced antioxidant enzyme activities in barley tolerance to Cd stress.
3.8. Effects of Exogenous H2O2 and SHAM on Antioxidant Enzyme Activities under Cd Stress
Under various environmental stresses, plants can eliminate excess ROS by stimulating antioxidant enzymes [31]. As shown in Figure 9, the activities of SOD, CAT, APX and POD were significantly increased under Cd stress. In Ganpi6 and Kunlun14 roots, SOD, CAT, APX and POD activities were increased by 28.61% and 35.84%, by 50.41% and 56.72%, by 16.32% and 22.81%, and by 151.14% and 174.36%, respectively. After adding the exogenous H2O2 under Cd stress, these antioxidant enzyme activities were further significantly increased compared with Cd treatment alone in Ganpi6 and Kunlun14 roots (Figure 9). When AP was inhibited by SHAM under Cd or Cd + H2O2 treatment, there was no significant difference in the activities of the four enzymes compared with Cd treatment alone. It indicated that AP is not associated with antioxidant enzyme activities in the process of H2O2-improved the Cd tolerance.
Figure 9.
Effects of exogenous H2O2 and SHAM on APX (A); POD (B); SOD (C); CAT (D) under Cd stress in Ganpi6 and Kunlun14 roots. 150 μM Cd, 20 μM H2O2, and 100 μM SHAM were used (n = 3). Different lower case letters represent significant difference at p < 0.05.
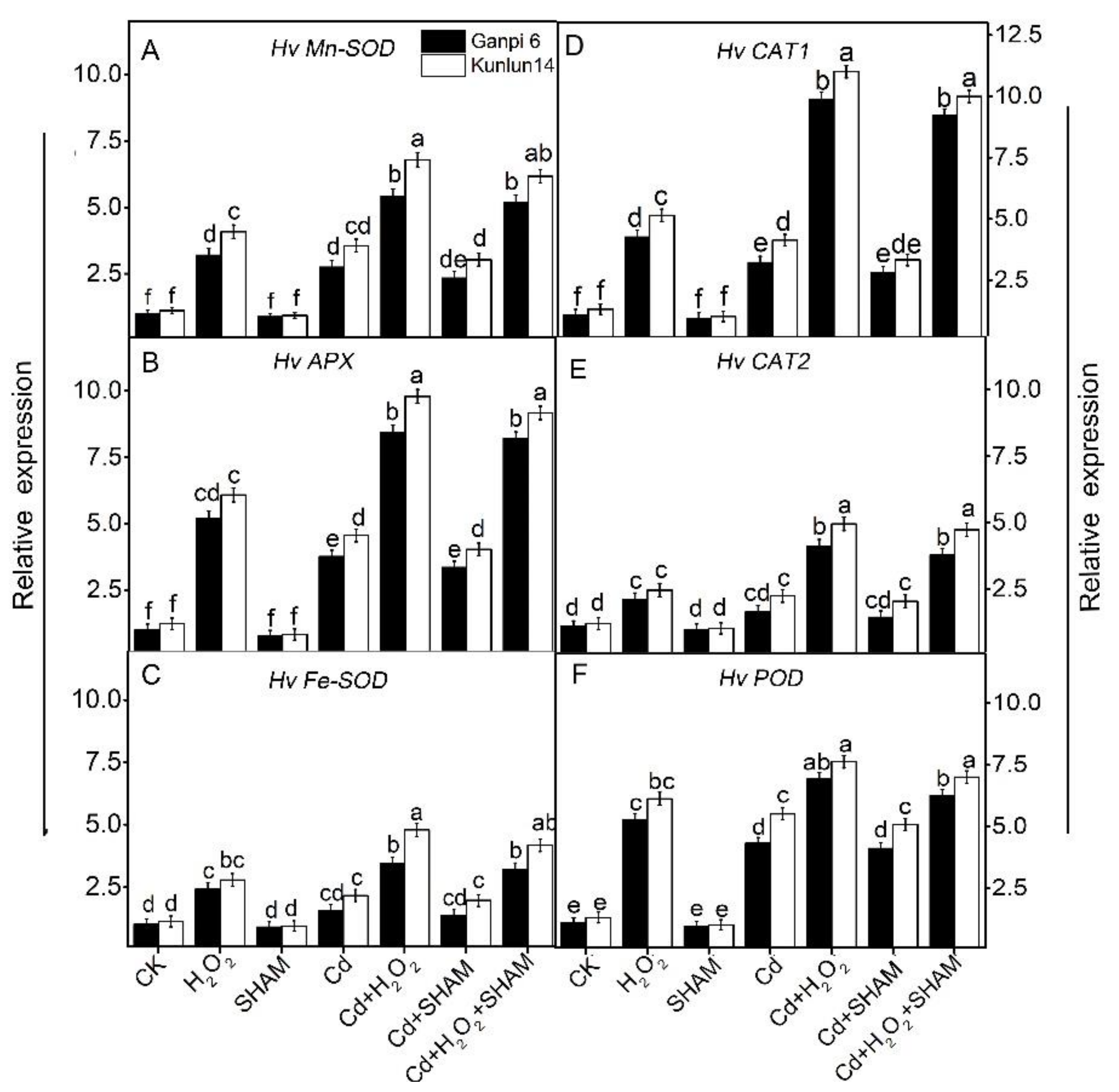
3.9. Effects of Exogenous H2O2 and SHAM on the Expression of Antioxidant Enzyme Genes under Cd Stress
To further explore the mechanism of H2O2-induced enzyme activities, the expressions of antioxidant enzyme genes were analyzed under Cd stress. Cd stress significantly up-regulated the expression of HvMn-SOD, HvAPX, HvFe-SOD, HvCAT1, HvCAT2 and HvPOD, which were increased by 1.62× and 2.42×, by 2.73× and 3.42×, by 1.43× and 2.16×, and by 3.98× and 4.69× in Ganpi6 and Kunlun14 roots, respectively. The expression of Hv-SOD and HvCAT2 had no difference compared with that in control. After adding exogenous H2O2 under Cd stress, the expression of HvMn-SOD, HvAPX and HvCAT1 was increased by 1.32× and 1.51×, by 1.17× and 1.73×, and by 2.32×, 2.98× in comparison with Cd treatment alone in Ganpi6 and Kunlun14 roots, respectively (Figure 10). However, the expression of other genes increased less than 1 time compared with Cd stress. When AP was inhibited under Cd or Cd + H2O2 treatment, the expression of these antioxidant enzyme genes had no significant changes, further confirming that AP is not associated with the expression of antioxidant enzyme genes in the H2O2-improved Cd tolerance.
Figure 10.
Effects of H2O2 on the expression of antioxidant enzyme genes in Ganpi6 and Kunlun14 roots under Cd stress. (A) HvMn-SOD; (B) HvAPX; (C) HvFe-SOD; (D) HvCAT1; (E) HvCAT2; (F) HvPOD. 150 μM Cd, 20 μM H2O2, and 100 μM SHAM were used (n = 3). HvACTIN was used as the reference gene. Different lower case letters represent significant difference at p < 0.05.
4. Discussion
It has been reported that hulless barley showed the higher Cd tolerance than common barley [30]. This study aimed to explore the physiological role of H2O2 and alternative pathway (AP) in hulless barley response to Cd stress and the relationship between H2O2 and AP in this process.
H2O2, as a signal molecule, plays a central role in plant response to various stresses [10,11,12,26]. In this study, 20 μM H2O2 markedly counteracted the Cd-induced oxidative stress in barley (Figure 2), indicating that H2O2 can improve Cd tolerance in Kunlun14. Studies have indicated that AP can improve plant tolerance to heavy metal stresses by inhibiting the accumulation of ROS [23]. Our results showed that Kunlun14 maintains high Valt under Cd stress (Figure 4C) and low oxidative damage (MDA content and EL; Figure 6) compared to Ganpi6. When AP was inhibited by SHAM, MDA content and EL were significantly increased in Kunlun14. This might be due to the dysfunction of AP causing over-reduction of the mitochondrial electron transport chain (mETC), and thus the excessive accumulation of ROS. Therefore, both H2O2 and AP are involved in Cd tolerance in hulless barley. What is their relationship in hulless barley response to Cd stress? Our results showed that after inhibiting AP under Cd stress, exogenous H2O2 cannot alleviate the Cd-induced oxidative stress, especially in Kunlun14 (Figure 6), indicating that the functional AP is required in the H2O2-induced Cd tolerance in Kunlun14.
Under stress conditions, AP consumes the excessive reducing power to prevent oxidative damage, thus enhances stress tolerance in plants [23]. An increased Valt was observed previously in high barley under low-nitrogen stress with decreased reducing power (NADH and NADPH) [20]. Similarly, Valt was significantly higher in Kunlun14 than that in Ganpi6 (Figure 4C), while reducing power (NADH and NADPH) and oxidative damage indices (MDA and EL) were significantly lower in Kunlun14 (Figure 7A,D) under Cd stress. After applying H2O2 under Cd stress, Valt was further significantly increased, however, NADH and NADPH contents were reduced (Figure 7A,D). When AP was inhibited by SHAM under Cd + H2O2 treatment, NADH and NADPH contents were increased more in Kunlun14 than in Cd + H2O2 treatment alone (Figure 7A,D), indicating that H2O2 can promote AP to remove more reducing power to alleviate the Cd-induced oxidative damage.
Studies have shown that H2O2 can induce a significant increase of AP under environmental stresses [26]. It was reported that exogenous H2O2 induces the expression of AOX1 in Petunia hybrida under low temperature stress, and the AP capacity was also enhanced [34]. Application of exogenous H2O2 significantly increased the AP capacity and AOX protein content in petunia suspension cells [34]. Another study showed that application of exogenous H2O2 for 20 min under water stress, the AP capacity and the expression of AOX1 family genes in wheat leaves were significantly increased [35]. Similar results were also observed in our observations. Exogenous H2O2 promoted more increase of HvAOX1a expression (Figure 3A), Valt (Figure 4C) and AOX protein (Figure 5) under Cd stress in Kunlun14 than in Ganpi6. Taken together, these results indicate that H2O2 can promote AP to remove more reducing power at AOX transcription, AOX protein, and AP capacity, thus enhancing the Cd tolerance in Kunlun14.
Antioxidant defense systems have been widely proven to be the core factor in plant defense against oxidative stresses [29,30,31,32]. Exogenous H2O2 significantly increased the AsA and GSH content in Kunlun14 and Ganpi6, which exhibited a similar pattern to a previous study in different species [13,14,21]. GR, GPX, MDHAR and DHAR are four key enzymes in the AsA-GSH cycle. GR catalyzes the reaction converting GSSG to GSH [27]. Both the GSH content and the GSH:GSSG ratio were all increased when GR was over-expressed in E. coli [36]. Application of exogenous H2O2 raised the GR activity, which resulted in increased GSH content in Cd-treated wheat seedlings [36]. As observed in our study, exogenous H2O2 also increased the GR activity, but decreased the GPX activity under Cd stress (Figure 8B,E). This might be the main reason for the high level of GSH content under Cd + H2O2 treatment (Figure 8D). MDHAR and DHAR are two key enzymes in the AsA-GSH cycle, which maintain the homeostasis of AsA [28]. In wheat leaves, drought stress markedly increased the AsA content and the activities of MDHAR and DHHAR, which were further enhanced in the presence of H2O2 [36]. However, our observations showed that exogenous H2O2 increased the MDHAR activity, but decreased the DHAR activity (Figure 8C,F), which was inconsistent with previous study. This might be the main reason for the high AsA content under Cd + H2O2 treatment.
Increasing findings have shown that the antioxidant enzyme activities are significantly increased under various stress conditions [30,31,32,33]. Similarly, in our results, these antioxidant enzyme activities were markedly elevated in Kunlun14 roots under Cd stress (Figure 9), and they were further enhanced in the presence of H2O2. It was consistent with the previous study in Petunia hybrida [34]. In addition, antioxidant enzyme genes (HvMnSOD, HvCAT1, HvAPX) were significantly up-regulated (Figure 9), similar as observed in previous study in Medicago truncatula [29]. Furtherly, the Cd-induced oxidative stress was much relieved in Kunlun14 under Cd + H2O2 treatment (Figure 6). This indicated that antioxidant defense systems play an important role in the H2O2-enhanced defense against oxidative stress in barley.
AP plays an important role in maintaining ROS homeostasis [32]. In addition, some studies have pointed out that AOX deficiency would lead to the increase of ROS-related scavenging enzyme activities [35]. Studies have shown that exogenous H2O2 can enhance the tolerance of mangrove to Cd stress by synergistic elimination of ROS through promoting AP and antioxidant enzyme activities [8]. The other report indicated that the exogenous H2O2 improved the tolerance of wheat to drought stress by jointly improving antioxidant enzymes and AP [33]. In this study, when AP was inhibited under Cd + H2O2 treatment, antioxidant enzyme activities and antioxidant molecule contents had no significant changes, suggesting that AP is not involved in the H2O2-induced antioxidant defense system in highland barley tolerance to Cd stress. These results are not consistent with the previous studies [8,33], which might be ascribed to the differences in materials, stress conditions and treatment concentrations.
5. Conclusions
Above results clarified the physiological and molecular mechanisms of AP in H2O2-enhanced hulless barley Cd tolerance. Exogenous H2O2 promoted the expression of HvAOX1a (5.37×), HvAOX1d1 (1.87×), and HvAOX1d2 (1.06×), AOX proteins (42.32%) and Valt (58.47%) compared with Cd stress. H2O2 prevented the over-accumulation of ROS by enhancing AP to dissipating excess NADH/NAD+ (46.50%) and NADPH/NADP+ (40.21%) ratios, ROS-related scavenging enzymes and antioxidant molecules. AP had no correlation with antioxidant defense system in H2O2-related hulless barley tolerance to Cd stress. In this study, we confirmed that AP plays a pivotal role in H2O2-elevated Cd tolerance in hulless barley.
Author Contributions
Y.B., L.Z., X.W. and X.N. designed the research; L.H., C.L., L.Y. and R.F. performed the experiments; L.H., Q.H. and S.W. analyzed the data; L.H., Y.B. and X.W. wrote the paper. All authors have read and agreed to the published version of the manuscript.
Funding
This research was funded by the Open Project Program of State Key Laboratory of Hulless Barley and Yak Germplasm Resources and Genetic Improvement (XZNKY-2021-C-014-K10); Youth Innovation Promotion Association of Chinese Academy of Sciences (Y201974); the National Natural Science Foundation of China [31972494]; Foundation of Science and Technology of Gansu Province (20JR5RA288).
Conflicts of Interest
Authors declares no conflict of interest.
References
- Ismael, M.A.; Elyamine, A.M.; Moussa, M.G.; Cai, M.; Zhao, X.; Hu, C. Cadmium in plants: Uptake, toxicity, and its interactions with selenium fertilizerss. Metallomics 2019, 11, 255–277. [Google Scholar] [CrossRef] [PubMed]
- Fasani, E.; Manara, A.; Martini, F.; Furini, A.; Dalcorso, G. The potential of genetic engineering of plants for the remediation of soils contaminated with heavy metals. Plant Cell Environ. 2018, 41, 1201–1232. [Google Scholar] [CrossRef] [PubMed]
- Zheng, X.; Chen, L.; Li, X. Arabidopsis and rice showed a distinct pattern in ZIPs genes expression profile in response to Cd stress. Bot. Stud. 2018, 59, 22. [Google Scholar] [CrossRef]
- Zhang, W.; Yun, L.; Zhao, Y.L.; Xu, Z.G.; Huang, H.M.; Zhou, J.K.; Yang, G.Y. Morphological and physiological changes of Broussonetia papyrifera seedlings in cadmium contaminated soil. Plants 2020, 9, 1698. [Google Scholar] [CrossRef] [PubMed]
- Cui, W.N.; Wang, H.T.; Song, J.; Cao, X.; Rogers, H.J.; Francis, D.; Jia, C.Y.; Sun, L.Z.; Hou, M.F.; Tai, P.D.; et al. Cell cycle arrest mediated by Cd-induced DNA damage in Arabidopsis root tips. Ecotoxicol. Environ. Saf. 2017, 145, 569–574. [Google Scholar] [CrossRef]
- Na, Q.C.; Lu, X.Y.; Guo, X.R.; Pan, Y.J.; Yu, B.F.; Tang, Z.H.; Guo, Q.X. Differential responses to Cd stress induced by exogenous application of Cu, Zn or Ca in the medicinal plant Catharanthus roseus. Ecotoxicol. Environ. Saf. 2018, 157, 266–275. [Google Scholar]
- Sharma, S.S.; Dietz, K.J.; Mimura, T. Vacuolar compartmentalization as indispensable component of heavy metal detoxification in plants. Plant Cell Environ. 2016, 39, 1112–1126. [Google Scholar] [CrossRef]
- Xie, X.; Weiss, D.J.; Weng, B.; Liu, J.; Lu, H.; Yan, C. The short-term effect of cadmium on low molecular weight organic acid and amino acid exudation from mangrove (Kandelia obovata (S., L.) Yong) roots. Environ. Sci. Pollut. Res. 2013, 20, 997–1008. [Google Scholar] [CrossRef]
- Cuypers, A.; Smeets, K.; Ruytinx, J.; Opdenakker, K.; Keunen, E.; Remans, T.; Horemans, N.; Vanhoudt, N.; Van, S.S.; Van, B.F.; et al. The cellular redox state as a modulator in cadmium and copper responses in Arabidopsis thaliana seedlings. J. Plant Physiol. 2011, 168, 309–316. [Google Scholar] [CrossRef]
- Huang, W.J.; Yang, X.D.; Yao, S.C.; Thet, L.; He, H.Y.; Wang, A.Q.; Li, C.Z.; He, L.F. Reactive oxygen species burst induced by aluminum stress triggers mitochondria-dependent programmed cell death in peanut root tip cells. Plant Physiol. Biochem. 2014, 82, 76–84. [Google Scholar] [CrossRef]
- Malá, J.; Cvrčková, H.; Máchová, P.; Dostál, J.; Šíma, P. Heavy metal accumulation by willow clones in short-time hydroponics. J. For. Sci. 2010, 56, 28–34. [Google Scholar] [CrossRef] [Green Version]
- Helmut, S. Hydrogen peroxide as a central redox signaling molecule in physiological oxidative stress: Oxidative eustress. Redox. Biol. 2017, 11, 613–619. [Google Scholar]
- Zhou, J.; Xia, X.J.; Zhou, Y.H.; Shi, K.; Chen, Z.; Yu, J.Q. OH1- dependent H2O2 production and subsequent activation of MPK1/2 play an important role in acclimation-induced cross-tolerance in tomato. J. Exp. Bot. 2014, 65, 595–607. [Google Scholar] [CrossRef] [PubMed] [Green Version]
- Yildiz, M.; Terzi, H.; Bingül, N. Protective role of hydrogen peroxide pretreatmenton defense systems and BnMP1 gene expression in Cr (VI)- stressed canola seedlings. Ecotoxicology 2013, 22, 1303–1312. [Google Scholar] [CrossRef]
- Pavel, V.; Fedurayev, K.S.; Mironov, D.A.; Gabrielyan, V.S.; Bedbenov, A.A.; Zorina, M.S.; Dmitry, A.L. Hydrogen peroxide participates in perception and transduction of cold stress signal in synechocystis. Plant Cell Physiol. 2018, 59, 1255–1264. [Google Scholar]
- Helmut, S. Role of metabolic H2O2 generation: Redox signaling and oxidative stress. J. Biol. Chem. 2014, 289, 8735–8741. [Google Scholar]
- Yang, C.Y. Hydrogen peroxide controls transcriptional responses of ERF73/HRE1 and ADH1 via modulation of ethylene signaling during hypoxic stress. Planta 2014, 39, 877–885. [Google Scholar] [CrossRef]
- Vanlerberghe, G.C.; Day, D.A.; Wiskich, J.T.; Vanlerberghe, A.E.; McIntosh, L. AOX activity in tobacco leaf mitochondria: Dependence on tricarboxylic acid cycle-mediated redox regulation and pyruvate activation. Plant Physiol. 1995, 109, 353–361. [Google Scholar] [CrossRef] [PubMed] [Green Version]
- Daurelio, L.D.; Checa, S.K.; Barrio, J.M.; Ottado, J.; Orellano, E.G. Characterization of Citrus sinensis type 1 mitochondrial alternative oxidase and expression analysis in biotic stress. Biosci. Rep. 2010, 30, 59–71. [Google Scholar] [CrossRef]
- Wang, F.; Wang, X.M.; Zhao, C.Z.; Wang, J.F.; Li, P.; Dou, Y.Q.; Bi, Y.R. Alternative pathway is involved in the tolerance of highland barley to the low-nitrogen stress by maintaining the cellular redox homeostasis. Plant Cell Rep. 2016, 35, 317–328. [Google Scholar] [CrossRef]
- Zhao, C.Z.; Wang, X.M.; Wu, K.; Li, P.; Chang, N.; Wang, J.F.; Wang, F.; Li, J.; Bi, Y.R. Glucose-6-phosphate dehydrogenase and alternative oxidase are involved in the cross tolerance of highland barley to salt stress and UV-B radiation. J. Plant Physiol. 2015, 181, 83–95. [Google Scholar] [CrossRef]
- Castro-Guerrero, N.A.; Rodríguez-Zavala, J.S.; Marín-Hernández, A.; Rodríguez-Enríquez, S.; Moreno-Sánchez, R. Enhanced alternative oxidase and antioxidant enzymes under Cd2+ stress in Euglena. J. Bioenerg. Biomembr. 2008, 40, 227–235. [Google Scholar] [CrossRef] [PubMed]
- Jia, H.; Wang, X.; Dou, Y.; Liu, D.; Si, W.; Fang, H.; Zhao, C.; Chen, S.; Xi, J.; Li, J. Hydrogen sulfide-cysteine cycle system enhances cadmium tolerance through alleviating cadmium-induced oxidative stress and ion toxicity in Arabidopsis roots. Sci. Rep. 2016, 6, 39702. [Google Scholar] [CrossRef] [PubMed]
- Yukioka, H.; Inagaki, S.; Tanaka, R.; Katoh, K.; Miki, N.; Mizutani, A.; Masuko, M. Transcriptional activation of the alternative oxidase gene of the fungus Magnaporthe grisea by a respiratory-inhibiting fungicide and hydrogen peroxide. Biochim. Biophys. Acta 1998, 1442, 161–169. [Google Scholar] [CrossRef]
- Wang, H.H.; Huang, J.J.; Bi, Y.R. Induction of alternative respiratory pathway involves nitric oxide, hydrogen peroxide and ethylene under salt stress. Plant Signal. Behavior. 2010, 5, 1636–1637. [Google Scholar] [CrossRef] [PubMed] [Green Version]
- Wang, H.H.; Huang, J.J.; Liang, X.L.; Bi, Y.R. Involvement of hydrogen peroxide, calcium, and ethylene in the induction of the alternative pathway in chilling-stressed Arabidopsis callus. Planta 2012, 235, 53–67. [Google Scholar] [CrossRef]
- Paradiso, A.; Berardino, R.; Pinto, M.C.; Sanità, T.L.; Storelli, M.M.; Tommasi, F.; De, G.L. Increase in ascorbate-glutathione metabolism as local and precocious systemic responses induced by cadmium in durum wheat plants. Plant Cell Physiol. 2008, 49, 362–374. [Google Scholar] [CrossRef] [PubMed]
- Skórzyńska, P.E.; Dra, M.; Krupa, Z. The activity of the antioxidative system in cadmium-treated Arabidopsis thaliana. Biol. Plant. 2003, 47, 71–78. [Google Scholar] [CrossRef]
- Jian, W.; Zhang, D.W.; Zhu, F.; Wang, S.X.; Pu, X.J.; Deng, X.G.; Luo, S.S.; Lin, H.H. Alternative oxidase pathway is involved in the exogenous SNP-elevated tolerance of Medicago truncatula to salt stress. J. Plant Physiol. 2016, 193, 79–87. [Google Scholar] [CrossRef]
- He, L.; Wang, X.M.; Feng, R.J.; He, Q.; Wang, S.W.; Liang, C.F.; Yan, L.L.; Bi, Y.R. Alternative pathway is involved in nitric oxide enhanced tolerance to cadmium stress in barley roots. Plants 2019, 8, 557. [Google Scholar] [CrossRef] [PubMed] [Green Version]
- Gandin, A.; Lapointe, L.; Dizengremel, P. The alternative respiratory pathway allows sink to cope with changes in carbon availability in the sink-limited plant Erythronium americanum. J. Exp. Bot. 2009, 60, 4235–4248. [Google Scholar] [CrossRef] [PubMed] [Green Version]
- Ho, L.H.; Giraud, E.; Uggalla, V.; Lister, R.; Clifton, R.; Glen, A.; Thirkettle-Watts, D.; Van Aken, O.; Whelan, J. Identification of regulatory pathways controlling gene expression of stress-responsive mitochondrial proteins in Arabidopsis. Plant Physiol. 2008, 147, 1858–1873. [Google Scholar] [CrossRef] [PubMed] [Green Version]
- Cvetkovska, M.; Vanlerberghe, G.C. Alternative oxidase impacts the plant response to biotic stress by influencing the mitochondrial generation of reactive oxygen species. Plant Cell Environ. 2013, 36, 721–732. [Google Scholar] [CrossRef]
- Wagner, A.M. A role for active oxygen species as second messengers in the induction of alternative oxidase gene expression in Petunia hybrida cells. Febs Lett. 1995, 368, 339–342. [Google Scholar] [CrossRef] [Green Version]
- Feng, H.; Duan, J.; Li, H.; Liang, H.; Li, X.; Han, N. Alternative respiratory pathway under drought is partially mediated by hydrogen peroxide and contributes to antioxidant protection in wheat leaves. Plant Prod. Sci. 2008, 11, 59–66. [Google Scholar] [CrossRef]
- Sotirios, S.M.; Leondios, L.; George, P.; Evy, M.Z.; Georgios, A. Expression, purification, and physicochemical characterization of the N-terminal active site of human angiotensin-I converting enzyme. J. Pept. Sci. 2007, 13, 31–36. [Google Scholar]
Publisher’s Note: MDPI stays neutral with regard to jurisdictional claims in published maps and institutional affiliations. |
© 2021 by the authors. Licensee MDPI, Basel, Switzerland. This article is an open access article distributed under the terms and conditions of the Creative Commons Attribution (CC BY) license (https://creativecommons.org/licenses/by/4.0/).









