An Improved Hybrid Segmentation Method for Remote Sensing Images
Abstract
1. Introduction
2. Data and Methods
2.1. Test Images
2.2. Algorithms for Remote Sensing Image Segmentation
2.2.1. Watershed Algorithm
2.2.2. Fast Lambda-Schedule Algorithm
2.3. Analysis of the Bovementioned Algorithms’ Deficiencies for Image Segmentation
2.4. Proposed Method for Image Segmentation
2.4.1. Watershed Algorithm Based on Image Pre-Processing
2.4.2. Fast lambda-Schedule Algorithm Based on Common Boundary Length Penalty
2.5. The Performance Evaluation of the Proposed Segmentation Method
3. Results
3.1. Improved Algorithms Performance
3.2. Parameter Sensitivity
3.2.1. Parameter Sensitivity in Improved Watershed
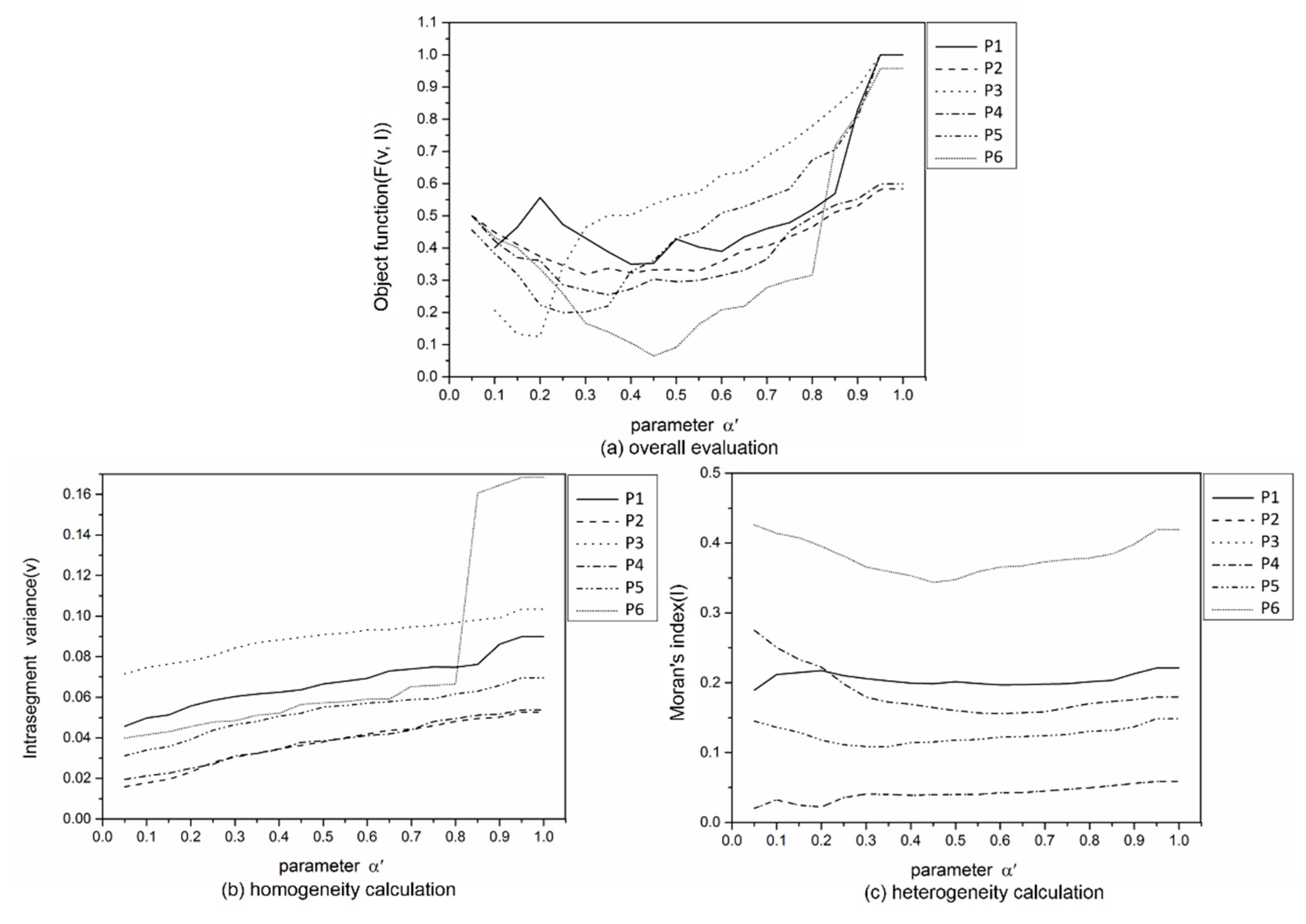
3.2.2. Parameter Sensitivity in the Improved Fast Lambda-Schedule
3.3. Overall Performance
3.4. Comparative Analyses
4. Discussion
5. Conclusions
Author Contributions
Funding
Acknowledgments
Conflicts of Interest
References
- Chen, X.F.; Xing, J.; Liu, L.; Li, Z.Q.; Mei, X.D.; Fu, Q.Y.; Xie, Y.S.; Ge, B.Y.; Li, K.T.; Xu, H. In-Flight Calibration of GF-1/WFV Visible Channels Using Rayleigh Scattering. Remote Sens. 2017, 9, 513. [Google Scholar] [CrossRef]
- Wu, M.Q.; Huang, W.J.; Niu, Z.; Wang, C.Y. Combining HJ CCD, GF-1 WFV and MODIS Data to Generate Daily High Spatial Resolution Synthetic Data for Environmental Process Monitoring. Int. J. Environ. Res. Public Health 2015, 12, 9920–9937. [Google Scholar] [CrossRef] [PubMed]
- Robinson, D.J.; Redding, N.J.; Crisp, D.J. Implementation of a Fast Algorithm for Segmenting SAR Imagery; Technical Report; Report number: DSTO-TR-1242; Affiliation: Defence Science Technology Organisation: Canberra, Australia, January 2002. [Google Scholar]
- Zhao, H.H.; Xiao, P.F.; Feng, X.Z. Optimal Gabor filter-based edge detection of high spatial resolution remotely sensed images. J. Appl. Remote Sens. 2017, 11, 015019. [Google Scholar] [CrossRef]
- Espindola, G.M.; Camara, G.; Reis, I.A.; Bins, L.S.; Monteiro, A.M. Parameter selection for region-growing image segmentation algorithms using spatial autocorrelation. Int. J. Remote Sens. 2006, 27, 3035–3040. [Google Scholar] [CrossRef]
- Zhou, Y.N.; Li, J.; Feng, L.; Zhang, X.; Hu, X.D. Adaptive Scale Selection for Multiscale Segmentation of Satellite Images. IEEE J.-STARS 2017, 10, 3641–3651. [Google Scholar] [CrossRef]
- Li, Y.; Cui, C.; Liu, Z.X.; Liu, B.X.; Xu, J.; Zhu, X.Y.; Hou, Y.C. Detection and Monitoring of Oil Spills Using Moderate/High-Resolution Remote Sensing Images. Arch. Environ. Contam. Toxicol. 2017, 73, 154–169. [Google Scholar] [CrossRef]
- Li, Z.W.; Shen, H.F.; Li, H.F.; Xia, G.S.; Gamba, P.; Zhang, L.P. Multi-feature combined cloud and cloud shadow detection in GaoFen-1 wide field of view imagery. Remote Sens. Environ. 2017, 191, 342–358. [Google Scholar] [CrossRef]
- Du, W.Y.; Chen, N.C.; Liu, D.D. Topology Adaptive Water Boundary Extraction Based on a Modified Balloon Snake: Using GF-1 Satellite Images as an Example. Remote Sens. 2017, 9, 140. [Google Scholar] [CrossRef]
- Tan, K.; Zhang, Y.; Tong, X. Cloud Extraction from Chinese High Resolution Satellite Imagery by Probabilistic Latent Semantic Analysis and Object-Based Machine Learning. Remote Sens. 2016, 8, 963. [Google Scholar] [CrossRef]
- Du, S.H.; Guo, Z.; Wang, W.Y.; Guo, L.; Nie, J. A comparative study of the segmentation of weighted aggregation and multiresolution segmentation. GISci. Remote Sens. 2016, 53, 651–670. [Google Scholar] [CrossRef]
- Du, H.; Li, M.G.; Meng, J.A. Study of fluid edge detection and tracking method in glass flume based on image processing technology. Adv. Eng. Softw. 2017, 112, 117–123. [Google Scholar] [CrossRef]
- Canny, J. A Computational Approach to Edge-Detection. IEEE Trans. Pattern Anal. Mach. Intell. 1986, 8, 679–698. [Google Scholar] [CrossRef] [PubMed]
- Comaniciu, D.; Meer, P. Mean shift: A robust approach toward feature space analysis. IEEE Trans. Pattern Anal. Mach. Intell. 2002, 24, 603–619. [Google Scholar] [CrossRef]
- Cheng, H.D.; Jiang, X.H.; Sun, Y.; Wang, J.L. Color image segmentation: Advances and prospects. Pattern Recogn. 2001, 34, 2259–2281. [Google Scholar] [CrossRef]
- Khelifi, L.; Mignotte, M. EFA-BMFM: A multi-criteria framework for the fusion of colour image segmentation. Inf. Fusion 2017, 38, 104–121. [Google Scholar] [CrossRef]
- Vincent, L.; Soille, P. Watersheds in Digital Spaces—An Efficient Algorithm Based on Immersion Simulations. IEEE Trans. Pattern Anal. Mach. Intell. 1991, 13, 583–598. [Google Scholar] [CrossRef]
- Ciecholewski, M. River channel segmentation in polarimetric SAR images: Watershed transform combined with average contrast maximisation. Expert Syst. Appl. 2017, 82, 196–215. [Google Scholar] [CrossRef]
- Dronova, I.; Gong, P.; Clinton, N.E.; Wang, L.; Fu, W.; Qi, S.H.; Liu, Y. Landscape analysis of wetland plant functional types: The effects of image segmentation scale, vegetation classes and classification methods. Remote Sens. Environ. 2012, 127, 357–369. [Google Scholar] [CrossRef]
- Moffett, K.B.; Gorelick, S.M. Distinguishing wetland vegetation and channel features with object-based image segmentation. Int. J. Remote Sens. 2013, 34, 1332–1354. [Google Scholar] [CrossRef]
- Marr, D.; Hildreth, E. Theory of Edge-Detection. Proc. R. Soc. Lond. Ser. B-Biol. Sci. 1980, 207, 187–217. [Google Scholar]
- Happ, P.N.; Ferreira, R.S.; Bentes, C.; Costa, G.A.O.P.; Feitosa, R.Q. Multiresolution Segmentation: A Parallel Approach for High Resolution Image Segmentation in Multicore Architectures. Int. Arch. Photogramm. Remote Sens. Spat. Inf. Sci. 2014, 25, 159–172. [Google Scholar]
- Huang, X.; Zhang, L.P. An Adaptive Mean-Shift Analysis Approach for Object Extraction and Classification from Urban Hyperspectral Imagery. IEEE Trans. Geosci. Remote Sens. 2008, 46, 4173–4185. [Google Scholar] [CrossRef]
- Blaschke, T. Object based image analysis for remote sensing. ISPRS J. Photogramm. Remote Sens. 2010, 65, 2–16. [Google Scholar] [CrossRef]
- Hong, T.H.; Rosenfeld, A. Compact Region Extraction Using Weighted Pixel Linking in a Pyramid. IEEE Trans. Pattern Anal. Mach. Intell. 1984, 6, 222–229. [Google Scholar] [CrossRef] [PubMed]
- Leonardis, A.; Gupta, A.; Bajcsy, R. Segmentation of Range Images as the Search for Geometric Parametric Models. Int. J. Comput. Vis. 1995, 14, 253–277. [Google Scholar] [CrossRef]
- Zhu, S.C.; Yuille, A. Region competition: Unifying snakes, region growing, and Bayes/MDL for multiband image segmentation. IEEE Trans. Pattern Anal. Mach. Intell. 1996, 18, 884–900. [Google Scholar]
- Liu, L.M.; Wen, X.F.; Gonzalez, A.; Tan, D.B.; Du, J.; Liang, Y.T.; Li, W.; Fan, D.K.; Sun, K.M.; Dong, P.; et al. An object-oriented daytime land-fog-detection approach based on the mean-shift and full lambda-schedule algorithms using EOS/MODIS data. Int. J. Remote Sens. 2011, 32, 4769–4785. [Google Scholar] [CrossRef]
- Gaetano, R.; Masi, G.; Poggi, G.; Verdoliva, L.; Scarpa, G. Marker-Controlled Watershed-Based Segmentation of Multiresolution Remote Sensing Images. IEEE Trans. Geosci. Remote Sens. 2015, 53, 2987–3004. [Google Scholar] [CrossRef]
- Liu, J.; Li, P.J.; Wang, X. A new segmentation method for very high resolution imagery using spectral and morphological information. ISPRS J. Photogramm. Remote Sens. 2015, 101, 145–162. [Google Scholar] [CrossRef]
- Wuest, B.; Zhang, Y. Region based segmentation of QuickBird multispectral imagery through band ratios and fuzzy comparison. ISPRS J. Photogramm. Remote Sens. 2009, 64, 55–64. [Google Scholar] [CrossRef]
- Roerdink, J.B.T.M.; Meijster, A.J.F.I. The Watershed Transform: Definitions, Algorithms and Parallelization Strategies. Fundam. Informaticae 2000, 41, 187–228. [Google Scholar] [CrossRef]
- Bieniek, A.; Moga, A. An efficient watershed algorithm based on connected components. Pattern Recogn. 2000, 33, 907–916. [Google Scholar] [CrossRef]
- Hammoudeh, M.; Newman, R. Information extraction from sensor networks using the Watershed transform algorithm. Inf. Fusion 2015, 22, 39–49. [Google Scholar] [CrossRef]
- Zhang, Y.C.; Guo, H.; Chen, F.; Yang, H.J. Weighted kernel mapping model with spring simulation based watershed transformation for level set image segmentation. Neurocomputing 2017, 249, 1–18. [Google Scholar] [CrossRef]
- Osma-Ruiz, V.; Godino-Llorente, J.I.; Saenz-Lechon, N.; Gomez-Vilda, P. An improved watershed algorithm based on efficient computation of shortest paths. Pattern Recogn. 2007, 40, 1078–1090. [Google Scholar] [CrossRef]
- Sun, H.; Yang, J.Y.; Ren, M.W. A fast watershed algorithm based on chain code and its application in image segmentation. Pattern Recogn. Lett. 2005, 26, 1266–1274. [Google Scholar] [CrossRef]
- Wagner, B.; Dinges, A.; Muller, P.; Haase, G. Parallel Volume Image Segmentation with Watershed Transformation. In Lecture Notes in Computer Science; Springer: Berlin/Heidelberg, Germany, 2009; Volume 5575, pp. 420–429. [Google Scholar]
- Bleau, A.; Leon, L.J. Watershed-based segmentation and region merging. Comput. Vis. Image Underst. 2000, 77, 317–370. [Google Scholar] [CrossRef]
- Piretzidis, D.; Sideris, M.G. Adaptive filtering of GOCE-derived gravity gradients of the disturbing potential in the context of the space-wise approach. J. Geod. 2017, 91, 1069–1086. [Google Scholar] [CrossRef]
- Tu, X.G.; Gao, J.J.; Xie, M.; Qi, J.; Ma, Z. Illumination normalization based on correction of large-scale components for face recognition. Neurocomputing 2017, 266, 465–476. [Google Scholar] [CrossRef]
- Tremeau, A.; Colantoni, P. Regions adjacency graph applied to color image segmentation. IEEE Trans. Image Process. 2000, 9, 735–744. [Google Scholar] [CrossRef]
- Haris, K.; Efstratiadis, S.N.; Maglaveras, N.; Katsaggelos, A.K. Hybrid image segmentation using watersheds and fast region merging. IEEE Trans. Image Process. 1998, 7, 1684–1699. [Google Scholar] [CrossRef] [PubMed]
- Bin, C.; Jianchao, Y.; Shuicheng, Y.; Yun, F.; Huang, T.S. Learning with l1-graph for image analysis. IEEE Trans. Image Process. 2010, 19, 858–866. [Google Scholar]
- Caves, R.; Quegan, S.; White, R. Quantitative comparison of the performance of SAR segmentation algorithms. IEEE Trans. Image Process. 1998, 7, 1534–1546. [Google Scholar] [CrossRef] [PubMed]
- Mikelbank, B.A. Quantitative geography: Perspectives on spatial data analysis. Geogr. Anal. 2001, 33, 370–372. [Google Scholar] [CrossRef]














| Input: Output: | GF-1 Image, Parameters α and g Preliminary Segmentation Result P |
|---|---|
| Step 1: | Reducing GF-1 image noise and enhancing GF-1 image edge contrast using formula (3) and formula (5), respectively. |
| Step 2: | Constructing and modifying gradient image of GF-1:
|
| Step 3: | Segmenting reconstructed gradient image using watershed algorithm. |
| Input: Output: | Final Segmentation Result R |
|---|---|
| Step 1: | The organization and expression of adjacent object relations: calculating RAG and NNG of P |
| Step 2: | Iterative merge process:
|
| Step 3: | Outputting final segmentation result R. |
| Image | Watershed with the Gradient-Reconstructed | Fast Lambda-Schedule Merging | Improved Fast Lambda-Schedule Merging | ||||||
|---|---|---|---|---|---|---|---|---|---|
| v | I | F (v, I) | v | I | F (v, I) | v | I | F (v, I) | |
| P1 | 0.0387 | 0.2201 | 0.1294 | 0.0478 | 0.0025 | 0.0252 | 0.0489 | 0.0013 | 0.0251 |
| P2 | 0.0139 | 0.4443 | 0.2291 | 0.0149 | 0.4107 | 0.2128 | 0.0147 | 0.4115 | 0.2131 |
| P3 | 0.035 | 0.0977 | 0.0664 | 0.0469 | 0.0536 | 0.0503 | 0.0453 | 0.0545 | 0.0499 |
| P4 | 0.0078 | 0.3211 | 0.1645 | 0.0111 | 0.1938 | 0.1025 | 0.0119 | 0.1754 | 0.0937 |
| P5 | 0.0273 | 0.1798 | 0.1036 | 0.0318 | 0.0679 | 0.0499 | 0.0309 | 0.0762 | 0.0536 |
| P6 | 0.0325 | 0.4664 | 0.2495 | 0.0317 | 0.2795 | 0.1556 | 0.0318 | 0.2534 | 0.1426 |
| Image with Different Speckle Noise | F (v, I) | v | I |
|---|---|---|---|
| Image without speckle noises | 0.0977 | 0.0604 | 0.1349 |
| Image corrupted by speckle noises with variance = 0.01 | 0.0735 | 0.0617 | 0.0853 |
| Image corrupted by speckle noises with variance = 0.03 | 0.0873 | 0.0623 | 0.1122 |
| Image corrupted by speckle noises with variance = 0.05 | 0.1019 | 0.0634 | 0.1404 |
| Image | F (v, I) | v | I |
|---|---|---|---|
| P1 | 0.1041 | 0.0457 | 0.1624 |
| P2 | 0.1765 | 0.0357 | 0.3173 |
| P3 | 0.0308 | 0.0793 | −0.0177 |
| P4 | 0.0912 | 0.0255 | 0.1568 |
| P5 | 0.0691 | 0.0374 | 0.1008 |
| P6 | 0.1667 | 0.033 | 0.3004 |
| Segmentation Method | F (v, I) | v | I |
|---|---|---|---|
| Proposed method | 0.1041 | 0.0457 | 0.1624 |
| Multiresolution segmentation method | 0.1808 | 0.0509 | 0.3107 |
| Spectral difference segmentation method | 0.1116 | 0.0398 | 0.1833 |
© 2019 by the authors. Licensee MDPI, Basel, Switzerland. This article is an open access article distributed under the terms and conditions of the Creative Commons Attribution (CC BY) license (http://creativecommons.org/licenses/by/4.0/).
Share and Cite
Wang, J.; Jiang, L.; Wang, Y.; Qi, Q. An Improved Hybrid Segmentation Method for Remote Sensing Images. ISPRS Int. J. Geo-Inf. 2019, 8, 543. https://doi.org/10.3390/ijgi8120543
Wang J, Jiang L, Wang Y, Qi Q. An Improved Hybrid Segmentation Method for Remote Sensing Images. ISPRS International Journal of Geo-Information. 2019; 8(12):543. https://doi.org/10.3390/ijgi8120543
Chicago/Turabian StyleWang, Jun, Lili Jiang, Yongji Wang, and Qingwen Qi. 2019. "An Improved Hybrid Segmentation Method for Remote Sensing Images" ISPRS International Journal of Geo-Information 8, no. 12: 543. https://doi.org/10.3390/ijgi8120543
APA StyleWang, J., Jiang, L., Wang, Y., & Qi, Q. (2019). An Improved Hybrid Segmentation Method for Remote Sensing Images. ISPRS International Journal of Geo-Information, 8(12), 543. https://doi.org/10.3390/ijgi8120543

