Abstract
Breast cancers (BCs) may present dramatic diagnoses, both for ineffective therapies and for the limited outcomes in terms of lifespan. For these types of tumors, the search for new drugs is a primary necessity. It is widely recognized that gold compounds are highly active and extremely potent as anticancer agents against many cancer cell lines. The presence of the metal plays an essential role in the activation of the cytotoxicity of these coordination compounds, whose activity, if restricted to the ligands alone, would be non-existent. On the other hand, gold exhibits a complex biochemistry, substantially variable depending on the chemical environments around the central metal. In this review, the scientific findings of the last 6–7 years on two classes of gold(I) compounds, containing phosphane or carbene ligands, are reviewed. In addition to this class of Au(I) compounds, the recent developments in the application of Auranofin in regards to BCs are reported. Auranofin is a triethylphosphine-thiosugar compound that, being a drug approved by the FDA—therefore extensively studied—is an interesting lead gold compound and a good comparison to understand the activities of structurally related Au(I) compounds.
1. Introduction
Breast cancer is one of the most common forms of tumors for women and some subtypes of breast cancers are still without efficacious therapy. The search for new drugs with improved and wider efficacy is a current challenge. The present review focuses on the most relevant results reported in the scientific literature published over the last 6–7 years about the in vitro and/or in vivo treatment of breast cancers by two classes of gold(I)-based drugs, phosphane and N-Heterocyclic Carbene (NHC) compounds, and on the main mechanism of actions thereby disclosed. The results are discussed comparatively to the classic metal-based drug, cisplatin, and to Auranofin.
2. Breast Cancer: An Introduction to the Disease
Breast Cancers, Current and Potential Metal-Based Alternative Therapies
Breast cancer is the most common cancer in women worldwide. Advances in early detection and therapy have resulted in significant improvement in breast cancer survival rates, achieving survival probabilities of 90% for at least 5 years after diagnosis in most developed countries. However, the 5-year survival rate drops to 27% in case of metastatic disease, which is considered barely curable with currently available therapies. For patients without metastatic disease, therapeutic goals are tumor eradication, by surgery and radiation therapy, and prevention of recurrences by systemic adjuvant therapies. Different treatment strategies are selected according to the molecular subtype. Breast cancer is a heterogeneous disease that can be classified, based on hormone and human epidermal growth factor receptor 2 (HER2) status, into three major subtypes: luminal (expressing the estrogen receptor (ER) and/or progesterone receptor (PR)), that can be further divided in luminal A (ER+/PR+/HER2−) and luminal B (ER+/PR+/HER2+); HER2-overexpressing (ER−/PR−/HER2+); and triple-negative (TNBC), lacking expression of ER, PR and HER-2 [1]. Approximately, 75% of all breast cancers express hormone receptors; thus, they can be treated with endocrine therapies, alone or in addition to chemotherapy. Estrogen-induced activation of ERs promotes proliferation and survival of both normal and cancerous breast tissue through transcription of pro-survival genes and activation of cellular signaling. Endocrine therapies include selective ER modulators (e.g., tamoxifen), that compete with estrogen for binding to ER; selective ER downregulators (e.g., fulvestrant), that induce ER protein degradation or block ER transcriptional activity; and aromatase inhibitors, that suppress estrogen production by blocking the conversion of androgens to estrogens [2]. HER2-positive breast cancer accounts for 20–25% of all breast cancers and is associated with a worse prognosis. Multiple HER2-targeted therapies have been approved for the treatment of HER2-positive breast cancer as monotherapies or in combination with chemotherapies and they have significantly improved survival outcomes for this type of breast cancer patients. HER2-targeted therapies include monoclonal antibodies, such as trastuzumab and pertuzumab; antibody-drug conjugates, such as trastuzumab emtansine (T-DM1); and tyrosine kinase inhibitors, such as lapatinib and neratinib. Although both endocrine- and HER2-targeted therapies have considerably reduced breast cancer recurrence and mortality, de novo and acquired resistance to these treatments is a serious concern [3]. TNBC accounts for approximately 15–20% of all breast cancers and, clinically, it represents a particularly aggressive subtype with a high proliferative rate. In contrast to the other breast cancer subtypes that are most common in middle-aged and older women, TNBC is more prevalent in younger women (<50 years). Among risk factors associated with TNBC, there is the presence of a mutation in breast cancer susceptibility genes, BRCA1 and BRCA2 [4]. Because TNBC lacks ER, PR and HER-2 expression, it is not sensitive to endocrine or HER-2-targeted therapy. Although new treatment options are emerging, including phosphoinositide 3-kinase (PI3K) pathway inhibitors, immune checkpoint inhibitors and cyclin-dependent kinase (CDK) inhibitors, standard chemotherapy used to treat metastatic breast cancer remains the main therapeutic option for TNBC [5]. Conventional chemotherapy includes taxanes (docetaxel or paclitaxel), which inhibit microtubule depolymerization leading to mitotic arrest, or drugs that cause DNA damage, such as fluorouracil, anthracyclines (doxorubicin) and alkylating agents (cyclophosphamide). TNBC appears to be more sensitive to chemotherapy, but it is correlated with a higher rate of early recurrence and distant metastasis with respect to other breast cancer subtypes [6]. Patients with BRCA1/2 mutations can receive poly(ADP-ribose) polymerase (PARP) inhibitors or platinum-based (cisplatin or carboplatin) chemotherapy, which exploit the DNA repair defects in tumors with BRCA1/2 mutations [7]. The PARP enzyme plays a critical role in the repair of DNA single-strand breaks through the base-excision repair (BER) mechanism. In the presence of BRCA1 and BRCA2 mutations, which affect homologous recombination repair of double-stranded DNA breaks, PARP inhibition results in cell death, because the cells are unable to repair DNA damage by either BER or homologous recombination.
The major limitations of currently available chemotherapeutics are their toxic side effects, which considerably decrease the quality of life of cancer patients and cancer drug resistance. Thus, there is an urgent need to develop innovative drugs to treat breast cancer with improved clinical efficacy and tolerability. In this scenario, gold-based compounds display a promising anticancer activity and they might represent an alternative chemotherapeutic strategy to other well-known metal-based anticancer drugs such as cisplatin for the treatment of various human cancers, including breast cancer.
The toxicity of cisplatin and its derivatives (oxaliplatin and carboplatin) can be mainly explained by the lack of selectivity for cancer cells concerning normal tissues. Cisplatin can induce cell death through nuclear DNA binding and this primary mode of action is not only limited to cancer cells but also normal cells [8]. In the last years, ruthenium complexes have emerged as potential metal-based drug candidates to replace platinum chemotherapy, since they seem to exert their anticancer effects through multitarget mechanisms and display fewer side effects and favorable clearance properties. The water-soluble ruthenium(II) complex [Ru(p-cymene)(bis(3,5-dimethylpyrazol-1-yl)methane)Cl]Cl (UNICAM-1), for instance, showed significant anticancer activity in a preclinical model of TNBC and resulted to be considerably better tolerated than cisplatin [9]. UNICAM-1 exhibited a clear mitochondrial target, exerting its anticancer effects by promoting impairment of mitochondrial functionality [10]. Moreover, UNICAM-1 was able to reverse tumor-associated immune suppression by significantly reducing the number of tumor-infiltrating regulatory T cells [9]. Among ruthenium complexes, NAMI-A ((ImH)[trans-RuCl4(dmso-S)(Im)], Im = imidazole) and KP1019/1339 (KP1019 = (IndH)[trans-RuCl4(Ind)2], Ind = indazole; KP1339 = Na[trans-RuCl4(Ind)2]), two structurally related ruthenium(III) coordination compounds, have attracted attention for their promising pharmacological performances and for having reached clinical trials. KP1019 is known mainly as a cytotoxic agent for the treatment of platinum-resistant colorectal cancers, whereas NAMI-A has successfully entered clinical trials as an antimetastatic drug [11]. However, the results of clinical investigations were not encouraging, probably because the limited stability in physiological conditions reduced their therapeutic effectiveness [12]. The major drawback of these compounds is the fact that their mechanism of action is not fully understood. Hence, there is still a need to develop novel metal-based anticancer agents, alternatives to platinum-based drugs, with known modes of action and molecular targets.
3. Gold(I)-Based Drugs in the Treatment of Breast Cancer
3.1. Gold(I)-Based Compounds
3.1.1. Auranofin
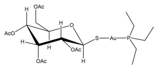
Auranofin is an FDA-approved drug for the treatment of rheumatoid arthritis that has shown potent anticancer activity against many panels of cancer cells, including breast cancer cells [13,14,15]. Currently, it is being evaluated in clinical trials for lung cancer (NCT01737502) and ovarian cancer (NCT03456700) [16]; moreover, its efficacy against the viral infection COVID-SARS-19 is also under study [17]. The molecular structure of Auranofin is shown in Scheme 1 and it consists of a thiosugar ligand, the 2,3,4,6-tetra-O-acetyl-1-thio-β-D-glucopyranose, bound to the gold(I)triethylphosphane co-ligand.
Scheme 1.
The molecular structure of Auranofin.
- Mechanism of action of Auranofin
As with other metal-based drugs, Auranofin exerts its biological activity thanks to ligand-exchange chemical properties, based on the binding affinity of the “soft” Lewis acid Au(I) atom, toward ‘‘soft’’ Lewis bases. Sulfur-containing amino acids represent the main chemical target for gold coordination, making Auranofin a potent inhibitor of enzymes whose active site bears cysteines or selenocysteine residues. Among them, thioredoxin reductase (TrxR) is endowed with a nucleophilic selenocysteine moiety in the active redox site, recognized as the main site for enzyme inactivation by gold-based drugs [16]. TrxR covalent inhibition is considered the most effective mechanism of Auranofin anticancer activity, with TrxR being one of the key enzymes controlling the redox homeostasis of cells. The imbalance of the protective redox systems by which cancer cells can keep under control their abnormally high reactive oxygen species (ROS) levels is a powerful strategy to activate apoptosis and promote cancer cell death [16]. A study on ovarian cancer cells has demonstrated that Auranofin exerts cytotoxic activity by increasing the production of ROS [18].
An important drawback of Auranofin’s mechanism of action, through covalent modification of biomolecules, is the lack of selectivity, since many proteins contain cysteine residues, which can be easily targeted, causing severe side effects in the treated patients.
While the inhibition of TrxR (both cytosolic TrxR1 and mitochondrial TrxE2) is recognized as the primary pharmaceutical effect, several off-target mechanisms of action of Auranofin have been reported, widening the range of pathways in which the antineoplastic activity of this drug can be involved. The cytotoxic effect of Auranofin by targeting the ubiquitin-proteasome system (UPS) has been investigated in breast cancer cells [19], leveraging the presence of a catalytic cysteine residue in the proteasome-associated deubiquitinase (Dub) active site. The results have confirmed that Auranofin directly inhibits the activity of Dub USP14 at supra-cytotoxic doses, causing broad accumulation of proteasome substrates. However, neither direct inhibition of 20S proteasome activity nor disassembly of proteasome subunits was ascribed to Auranofin.
A recent study [20] has reported a synergistic effect of Auranofin and vitamin C (VitC) in targeting TNBC cells by affecting both the glutathione and thioredoxin systems. The redox-based anticancer strategy of the Auranofin/VitC combination resulted to be linked to prostaglandin reductase 1 (PTGR1) expression levels, suggesting a role of PTGR1 as a potential predictive biomarker.
Li et al., have reported Auranofin’s anticancer activity through inhibition of the expression levels of key proteins in the PI3K/AKT/mammalian target of rapamycin (mTOR) pathway, in non-small lung cancer cells [21]. This mechanism of Auranofin action reduces cancer cells’ ability to adapt to the hypoxic microenvironment, by altering the expression levels of the hypoxia-inducible factor-1 (HIF-1) [22]. Inhibitors of the PI3K/AKT/mTOR pathway represent a promising strategy for anticancer therapy; some of these drugs, such as the mTOR inhibitors everolimus and temsirolimus, have been approved for the treatment of breast cancer [23]. As other gold(I) compounds, Auranofin (with IC50 ~ 4 μM) can inhibit key enzymes involved in glucose metabolism of cancer cells, in particular by glycolysis dysregulation through inhibition of hexokinase (HK) and phosphofructokinase (PFK), leading to ATP depletion [24]. These mechanisms of action by glycolysis inhibition have not been reported in breast cancer cells, but they might represent new fields of study.
3.1.2. Phosphane Gold(I) Compounds
- In vitro studies
Since the 1980s, when Auranofin was discovered to be a powerful anticancer compound, phosphane gold(I) compounds have been considered and tested over many panels of cancer cells [14,15]. The triethylphosphanegold(I) cation has been recognized as the active fragment; hence, Auranofin is essentially a prodrug [25]. However, the trialkylphosphanegold cations are extremely toxic, leaving many doubts about their involvement in the design of new gold drugs [26]. As concerns breast cancer cells, some efforts have been directed to the study of different phosphane moieties, mainly containing aromatic groups, to lower the toxicity despite enhanced or similar anticancer activities. Since the 1990s, biochemical studies have been led to determine the main mechanism of action of phosphane gold(I) compounds. The results, attained with mild differences in the chemical structures, were affected by extreme variability and they did not make a focus of interest in a restricted class of compounds possible. Some recent results in terms of IC50 are reported in Table 1 and, even though the values refer to different times of cell treatment, most of the phosphane gold(I) compounds resulted extremely active in regards to MCF7 (cisplatin-resistant cells) or MDA-MB-231 cells (in vitro models of luminal A and TNBC, respectively), similarly to cisplatin and Auranofin. The herein considered phosphane gold(I) compounds consist of linearly coordinated gold centers bound to phosphane ligands and to another co-ligand. The latter might be an additional phosphane ligand or one of a wide range of neutral or anionic ligands bearing C, N, S and O donor atoms, giving rise to cationic or neutral derivatives. Moreover, most of the works cited in Table 1 highlighted the strongest activity of the gold-based derivatives in comparison with the free phosphane ligands and co-ligands by themselves [27,28], regardless of the nature of the donor atom bound to the gold center.
Table 1.
IC50 for selected phosphane gold(I) compounds on breast cancer cell lines. The active compounds are quoted mentioning their coordination chemical environment at the gold(I) center while the structures are shown in Scheme 2 labeled with the relative entries.
Most of the compounds in Table 1 exhibited a very good inhibitory effect in regard to either mitochondrial or cytosolic TrxR, with the most active as anticancer drugs, as well as very potent as TrxR inhibitors [27,29,30,31]. Remarkably, the result for a trialkyl phosphane ligand displayed high activity in regards to HeLa cells (more than cisplatin) but much less so in respect to MCF7 cells [32], while trialkyl PCy3-Au-S derivatives (S = mercaptobenzoate ligands) appeared more active than Et3P-Au-S and Ph3P-Au-S analogs; moreover, although they strongly inhibited TrxR, it was found that they also activated the apoptosis process by p53 signaling in MCF7 cells [31]. The cellular uptake for phosphane gold(I) compounds was quite good, depending on the hydro/lipophilicity balance of the molecule; interestingly, for some P-Au-C compounds (C = alkynyl), the formation of fibrillar structural aggregate strongly hampered the cellular drug uptake and then the activity on MDA-MB-231 cancer cells [33]. Furthermore, the activity of P-Au-S derivatives was compared to that of NP-S-Au, where NP is for nanoparticle, regardless of NP size, to highlight the role of the phosphane ligand in the activity [34]. A really interesting upgrade on the search of new active gold phosphane compounds is the selective activity of compounds between healthy cells and sick breast cancer cells; a high selectivity factor (SF = normal cells IC50 divided by malignant cells IC50) decreases the systemic toxicity, without compromising their anticancer power, making the gold compounds candidates in the ambitious design to contrast breast cancer. In recent years, highly selective compounds with P-Au-Cl [30] or P-Au-S [35] chemical environments have been found to display very high selectivity factors (SF = 10–35 for the latter). Two chiral (e)-diphosphine-digold(I) complexes, containing mono- and di-methyl ester-substituted diphosphane ligands, are selective in regards to normal human breast epithelial cells (MCF10A cells) with a selectivity that is a function of (a) the concentration, (b) the presence of one or two methyl ester functionalities and (c) the chirality. The optical isomerism seems to also play a role in the anticancer activity toward breast cancer cells; the activities of RR or SS chiral phosphane gold(I) chloride compounds have been compared, revealing a substantial difference between the two enantiomers, likely due to a different lipophilicity, then affecting the cellular uptake [30].
One of the most interesting recent developments of research on anticancer phosphane gold compounds concerns a class of gold complexes containing acridines functionalized with thiourea, for example the 1-acridine-9-yl-methylthiourea, in addition to a PPh3 moiety [35]. Even though TrxR is recognized as the most likely molecular target for gold(I) compounds even in breast cancer cells, recent works have also taken into consideration DNA binding, whose intercalation represents the most likely mode of action adopted by cisplatin and related compounds. The gold complexes–DNA binding constants measured by UV-visible absorption or fluorescence competition assays using calf thymus DNA as a model, range between 1.55 and 6.12 × 103 M−1 for azolate/phosphane gold(I) compounds [36], between 2.12 and 7.48 × 106 M−1 for aminophosphane gold(I) compounds conjugated with different thiolates [29], and between 1.1 and 3.7 × 104 M−1 for triphenylphosphane gold(I) conjugated with 1-acridin-9-yl-methylthiourea [35]. Leaving aside the second entry of compounds [29], whose affinity is comparable to that of classic DNA-intercalators, the other gold(I) compounds present affinity constants of one or two orders of magnitude lower than the binding constant recorded for ethidium bromide, KEthBr = 1.2 × 106 M−1, an inter-strand intercalating compound for DNA that strongly emits when excited at 520 nm. However, the high value of an intrinsic binding constant does not indicate a modification in the structure of gold(I) complexes, as highlighted by agarose electrophoresis and EMSA assays using the plasmid pEMBL9 and chromosomal DNA from Anabaena sp. PCC 7120, respectively; such evidence leads to the conclusion that, at least for the aminophosphane–Au–thiolate compounds, interaction with DNA does not introduce a large structural alteration in gold(I) compounds [29]. In acridine–AuPPh3 compounds, confocal microscopy and transmission electron microscopy locate the compounds in breast cancer cell nuclei; further, DNA viscosity measurements, as well as confocal microscopy observation, determine DNA binding through intercalation, exhibiting a dose-dependent response on topoisomerase I-mediated DNA unwinding. In addition, acridine–AuPPh3 compounds exhibit potent antiangiogenic effects and are also able to inhibit vasculogenic mimicry of highly invasive MDA-MB-231 cells [35].
The IC50 values reported in Table 1 were obtained for gold(I) phosphane compounds having different chemical coordination linking around the gold center and various ligands. In Scheme 2, some representative molecular structures of the compounds quoted in Table 1 are reported.

Scheme 2.
Representative structures of selected gold(I) phosphane compounds labeled as the entries of Table 1.
- In vivo studies
The most recent in vivo studies are substantially few if compared to the in vitro IC50 determinations. In fact, after the discovery, in 2011, that bis-phosphane chelated gold(I) compounds (i.e., [Au(dppe)2]Cl, where dppe is [1,2-bis(diphenylphosphane)ethane)-gold(I)]chloride) displayed significant in vivo antitumor activity against a range of murine tumor models, including both leukemia and solid tumors, but also severe side effects as liver, kidneys and systemic toxicities, research focused on diminishing both lipophilicity and chemical stability, considered liable for accumulation and mitochondrial dysfunction [44]. The design of gold(I) chelate compounds displaying more negative logP was attained by substituting phenyl groups in the phosphane ligand with pyridyl moieties and, when the bridged phosphine ligand was 1,3-bis(di-2-pyridylphosphane)propane (d2pypp), relative [Au(d2pypp)2]Cl was found to possess a good cytotoxic selectivity in regards to MDA-MB-468 breast cancer cells versus normal breast cells [45]. Unfortunately, most of the bis-phosphane gold(I) compounds, either chelated or linearly coordinated to carbenes or thiol ligands as in the example, have not been studied in vivo on models bearing breast cancers cells [45,46]. Recently, in 2019, a combination of vitamin C with Auranofin was applied on an in vivo study regarding MDA-MB-231 xenografts in mice; the study highlighted the absence of side effects and positive effects on the tumor volume reduction. Moreover, the available mixed drugs are active against several cancer cell lines and a comparative study identified, as a possible biomarker, PTGR1 (prostaglandin reductase 1) for the response of this treatment in TNBC [20]. The only recent work reporting in vivo studies of phosphane gold(I) compounds was conducted by Gambini et al. in 2018 [38]. After preliminary in vitro MTT tests on MDA-MB-231 and A17 breast cancer cells with various gold phosphane compounds having P-Au-N or P-Au-Cl backbones in the molecular structure, the most active compounds were used against A17 tumors transplanted in syngeneic mice. The A17 transplanted tumors share a molecular signature with basal-like breast cancer, including the expression of vimentin, cytokeratin 14, N-cadherin and Cox-2 [47]. Interestingly, the compounds having protic polar groups, such as COOH or OH, in the phosphane or in the azolate ligands, displayed a loss of cytotoxic activity in vitro. The antineoplastic activity of the selected compounds, 4,5-dichloro-imidazolate-1yl-gold(I)-triphenylphosphane (1) and 4,5-dicyano-imidazolate-1y-gold(I)-triphenylphosphane (2), and that of cisplatin were compared by analyzing data obtained on treated transplanted mice. The study started 10 days after tumor challenge by administering 3 mg/kg/day of each compound once every 3 days, 4 times, in accordance with the protocol q3X4. The gold compounds were found to inhibit the tumor mass increases, even though to a lower extent than cisplatin; however, unlike the latter, they seemed to not affect the overall wellness of the mice, avoiding fur and weight losses. The histopathological analysis and the quantitative analysis of metals in the explanted kidneys displayed a minor accumulation of gold with respect to platinum (Figure 1).
Figure 1.
Compounds 1 and 2 (4,5-dichloro-imidazolate-1yl-gold(I)-triphenylphosphane and 4,5-dicyano-imidazolate-1y-gold(I)-triphenylphosphane, respectively) suppressed breast cancer growth in vivo. FVB female mice were injected with syngeneic A17 TNBC cells and treated with cisplatin, compound 1 or 2, or isotonic solution. Treatment schedule (q3 × 4) started ten days after cell injection. (A) Tumor growth curves. Values are mean ± SEM, (5 mice/group). (B) Representative images of tumors explanted from control and treated mice at sacrifice (upper panel) and relative tumor weight (lower panel) 24 days after tumor challenge; values are mean ± SEM. The significance was determined by the one-way ANOVA test followed by Tukey’s multiple comparison post-test; each group was compared to control (* p < 0.05; *** p < 0.001). (C) Gold and platinum content in kidneys of mice treated with compound 1, compound 2, or cisplatin evaluated by inductively coupled plasma mass spectrometry (ICP-MS). The data are presented as micrograms of metal (Au or Pt) per gram of tissue. Values are mean ± SEM. The significance was determined by the one-way ANOVA test followed by Tukey’s multiple comparison test (*** p < 0.001) (modified from [38]).
3.1.3. NHC–Carbene Gold(I) Compounds
- General
N-Heterocyclic Carbene ligands (NHC) are optimal ligands for gold(I) affording a class of gold(I) compounds that exhibit remarkable biological properties and their activity has been the focus of many recent reviews [48,49,50]. The interest in the biological application of these gold(I) compounds has steeply increased in the last few years.
Being excellent sigma donors with a planar coordinative environment bulked by the substituents on 1, 3 positions, the chemical and stereoelectronic features of NHC ligands resemble those of triaryl or trialkyl phosphanes [51,52].
In general, NHC gold(I) compounds might be divided into two classes, namely, the neutral and the cationic classes, depending on the nature of ligands bound to the gold(I) to accomplish the requirement of the linear coordination of Au(I); in fact, when X is an anion or a negatively charged ligand, the lipophilic structures A, B, C and D are obtained, while, when L is a neutral ligand, such as the carbene ligand by itself or, for example, a phosphane, the more hydrophilic cationic homoleptic E or the heteroleptic F compounds are obtained, respectively. In Scheme 3, some selected structures for NHC derivatives are reported.
Scheme 3.
Representative structures of selected NHC gold(I) compounds: (A,B) mononuclear neutral compounds, (C,D) dinuclear neutral NHC compounds, (E) homoleptic cationic mononuclear compounds and (F) heteroleptic cationic mononuclear compounds. In the structures, R1 = H, alkyl or Aryl and R2 = alkyl or Aryl; R3 and R4 = H, Alkyl, Aryl; X = Anions, i.e., Halides; and L = neutral ligands, i.e., Triphenylphosphane.
The design of NHC gold(I) compounds, according to the neutral or cationic classification, is the key point for this class of compounds as it concerns the hydro/lipophilic balance, hence the logP values, which govern, in some way, the mechanism of action and the drug’s selectivity toward healthy and sick cells [53,54]. Moreover, the nature of the co-ligand L or of the counterion X may vary hugely both in the chemical structure and the polarity, affording a wide range of anticancer NHC gold compounds, whose anticancer activities have been reviewed in 2018 da Porchia et al. [50]. Concerning the anticancer activity of NHC gold(I) derivatives against breast cancer, many in vitro studies have been applied on breast cancer cell panels and some of the most representative IC50 values are reported in Table 2. In general, the biological activity is featured by quite good cellular uptake [55], rather good stability in the physiological medium and strong anticancer activity, with recent examples which stand out concerning other gold(I) compounds or classic metal-based drugs currently in use, such as cisplatin.
Table 2.
IC50 or IG50 (micromolar) of selected carbene gold(I) compounds against breast cancer cell lines.
- In vitro studies
As reported in Table 2, most of the in vitro studies concerning NHC gold(I) compounds have been conducted on MCF-7 and MDA-MB-231 breast cancer cells. MCF-7 cells are ER-positive and PR-positive and belong to the luminal A molecular subtype. MCF-7 cells appear more differentiated and, normally, are considered poorly aggressive and non-invasive cells, whereas MDA-MB-231 cells belong to the triple-negative molecular subtype; they appear less differentiated with a mesenchymal-like morphology and a high metastatic potential. In some case, NHC gold(I) compounds have also been tested in other TNBC cell lines, such as MDA-MB-468, HS 578T and BT-549 cells.
- In vivo studies
Even though many in vitro studies have been led to test the cytotoxic activities of gold(I) carbenes against numerous panels of cancer cells, only a few recent studies report in vivo tests and none of them is about breast cancer models. After an extensive in vitro study highlighting a mechanism of action mainly involving mammalian TrxR inhibition in the lower micromolar range, a preclinical report on a 2,3,4,6-tetra-O-acetyl-α-D-glucopyranosyl-1-thiolate derivative and 1,3-dibenzyl-4,5-diphenyl-imidazol-2-ylidene gold(I) dimethylamino dithiocarbamate describes prostate cancer growth inhibition on an advanced prostate cancer (PC3) xenograft model [58,64]. The anticancer effect of these compounds was associated with a good tolerability by mice in terms of weight loss and general wellness. An additional example of dinuclear gold(I) complex with Bisbis(N-heterocyclic Heterocyclic-Ccarbene) and diphosphine ligands tested in vivo is quoted for two independent animal models, i.e., HeLa xenografts (showing 81% inhibition of tumor growth after i.p. administration with 15 mgkg−1 once every 2–3 days for 8 days) and highly aggressive mouse B16-F10 melanoma, with no detectable side effects [46,65]. An in vivo study has reported a combined therapy with vascular-disrupting agents and gold(I) compounds of the type bis(NHC)gold(I) compounds displaying antimetastatic properties; high cytotoxicity in resistant cancer cells and excellent tolerance by animals were found. The lipophilic gold(I) bis-carbene complexes, consisting of imidazole with 1-(3,4,5-trimethoxy)-phenyl and 1-(4-methoxy)-phenyl as 4,5 substituents, affected F-actin and matrix metalloproteinases, stopped cells in the G1 phase and disrupted blood vessels [56]. A very strong antitumor activity was found in MCF7 cells, with sub-micromolar IC50 values (see Table 2); these compounds were also effective in vivo against a highly metastatic B16-F10 mouse melanoma xenograft model. The overall preliminary results are indicative of considerable in vivo antitumor activity associated with excellent tolerance of this class of compounds.
3.2. New Enzymatic Targets of Gold(I) Compounds: Dihydrofolate Reductase
Despite the chemical preference of the Au center for the thiols and seleno-thiol groups, a certain diversity in the spectrum of action of gold-based compounds has been reported, which can be associated with the diverse chemical structure of the bound moieties in gold complexes. X-ray crystal structures of adducts formed by target proteins and gold(I)-based drugs have revealed unexpected sites of interactions of Auranofin, gold phosphane compounds, or gold carbene complexes [66,67,68]. These studies have evidenced not only that gold binds to N atoms of lysine or histidine residues, besides the S atom of cysteines, but also that secondary binding can occur between the ligand moieties of these complexes and protein binding pockets [67]. There is evidence that the mode of action of gold-based metallodrugs can be more complex than expected. In a study performed in breast cancer cells, we have observed heterogeneity of actions of phosphane gold(I) compounds with respect to target proteins in exerting anticancer activity [36]. The compounds under study, 3,5-dichloroimidazolyl-gold(I)-triphenylphosphane and 3,5-dicyanoimidazolyl-gold(I)-triphenylphosphane, resulted to be very active against TNBC and HER2-positive breast cancer cells, by inhibiting both TrxR and dihydrofolate reductase (DHFR) enzymatic activity, in vitro. Based on these results, we can hypothesize this multitargeted mechanism to be responsible for the previously observed antineoplastic effect in vivo [38]. DHFR does not have selenocysteine residues and the available thiol groups belonging to cysteines are not involved in the catalytic site. The product of DHFR catalyzed reaction, tetrahydrofolate (THF), is essential for de novo synthesis of purine and thymidylate in cell proliferation. Inhibition of DHFR activity results in depletion of fundamental metabolites for cell proliferation, making this enzyme an attractive target in drug design for the development of chemotherapeutics molecules. Currently, the most powerful DHFR inhibitor acting as an anticancer drug is the folate analogous methotrexate (MTX), whose efficacy is affected by relevant dose-related side effects and the development of resistance, as observed in the MCF7 breast cancer cell line [69,70]. For this reason, great effort is addressed to the discovery of more selective and effective bioactive compounds acting as inhibitors of this enzyme [71]. Drug design targeted to DHFR to block cancer cells proliferation has developed in the last years with the aim to enhance the cellular uptake and reduce side effects. One of the newly developed anti-cancer agents is pralatrexate, a 10-deazaaminopterin analogous of methotrexate, approved by FDA and EMA in 2009 [72]. In terms of anti-tumor activity, pralatraxed has shown IC50 values very close to or even lower than methotrexate, as reported in high-risk neuroblastoma cells, in which the IC50 of pralatrexate was approximately ten-fold less than the IC50 of methotrexate [73]. Non-classical antifolates are lipophilic molecules, which do not need folate transport systems and are easily internalized by passive diffusion into cells. Several classes of this kind of DHFR inhibitors recently synthesized have been found to possess good antineoplastic activity, most of them being characterized by the presence of heterocyclic moieties in the structure, such as the novel 6-substituted pyrido[3,2-d]pyrimidines with a three- to five-carbon bridge. Among these compounds, the unsubstituted saturated three-carbon-bridged analogous (6-(3-phenylpropyl)pyrido[3,2-d]pyrimidine-2,4-diamine) showed the highest cytotoxicity against HL-60 cells with an IC50 = 0.20 μM and resulted to strongly inhibit recombinant human DHFR, with an IC50 value of 0.06 μM [74]. Some 6-substituted pyrrolo[3,2-d]pyrimidines acting as dual inhibitors on thymidylate synthase (TS) and DHFR had been previously designed and tested in cancer cells [75]. Notably, future anti-tumor strategies appear to rely on the multi-target approach of antifolates targeting efficiently DHFR and folate receptors, as well as other enzymes, such as thymidylate synthase or TrxR. Thanks to their structural features, some gold(I) phospane drugs endowed with an inhibitory affinity for DHFR [76], but also for other proteins, besides TrxR, seem to comply with this new generation of anticancer drugs [36].
4. Conclusions
Breast cancer is the most common cancer in women worldwide. Early detection permits survival probabilities higher than 90% for at least 5 years after diagnosis to be achieved, but this percentage drops to 27% in case of metastatic disease. Thus, the development of new therapeutic strategies is still of crucial importance. In this review, we take into account the last works on two main categories of gold compounds, those containing phosphane groups and those containing carbene groups. Both of them exhibit very strong in vitro activity against breast cancer cell lines; furthermore, some studies have highlighted their sparing ability towards healthy cells. Additionally, in most of the compounds herein considered, the ligands are not active and the introduction of gold activates their anticancer activity. Moreover, despite the heterogeneity of the molecular structures, displaying mono- or poly-nuclear organizations, ionic or neutral assemblies and a variety of different ligands, both classes share the recognition of similar main targets. Although TrxR resulted to be the most strongly recognized and the most widely studied target, studies on residual activity on cancer cells highlighted other protein targets, not only characterized by the presence of cysteine residues in the catalytic site. From the surveyed studies, it emerged a strong and diverse impact of the ligands bound to the Au center in tuning the binding affinity of the gold complexes towards molecular targets, resulting in a more complex mechanism of action than selective auration of the thiols or seleno-thiol protein groups. The emerged multi-target action of gold-based complexes may be useful for cancer therapy. Simultaneous inhibition of TrxR, which results in accumulation of intracellular ROS and of other target enzymes which play crucial role in cell proliferation and in cell metabolism, such as DHFR or glycolytic enzymes (PKC, HK, etc.), can exert a multilateral effect in inducing apoptosis of breast cancer cells. Multi-target therapeutic strategies involving a gold-based drug have been recently reported in the literature, e.g., the combined treatment with Auranofin and trametinib, a mitogen-activated protein kinase (MAPK) inhibitor, has exhibited a synergistic effect inducing cell death in MCF-7 human breast cancer cells [77]. In this scenario, we can hypothesize that novel gold(I) compounds with multiple targets might represent a valuable strategy in drug design against breast cancer. The development of new gold-based targeted drugs can also take advantage of novel bioactive and luminescent gold(I) complexes able to outline the biodistribution of gold-containing compounds by bioimaging approaches [78]. In particular, luminescent molecules belonging to the phosphane gold(I) class have been reported to display a good IC50 in tumor cells, as well as a good cellular internalization, with uniform biodistribution in the cytoplasm of MDA-MD231 and MCF-7 cells when analyzed by confocal microscopy [79]. Thus, gold (I) complexes can be also considered as an attractive molecular tool to track bioactive molecules inside tumor cells.
Author Contributions
Conceptualization R.G., S.P. and C.M.; literature search: R.G., L.L., J.W., S.V., L.C., A.A., S.P. and C.M.; writing—original draft preparation, R.G., L.L., S.P. and C.M.; writing—review and editing, R.G., S.P. and C.M.; supervision, R.G., S.P. and C.M. All authors have read and agreed to the published version of the manuscript.
Funding
This research study received no external funding.
Institutional Review Board Statement
Not applicable.
Informed Consent Statement
Not applicable.
Data Availability Statement
Not applicable.
Acknowledgments
J. Wang was supported by Fondazione Umberto Veronesi.
Conflicts of Interest
The authors declare no conflict of interest.
References
- Harbeck, N.; Penault-Llorca, F.; Cortes, J.; Gnant, M.; Houssami, N.; Poortmans, P.; Ruddy, K.; Tsang, J.; Cardoso, F. Breast cancer. Nat. Rev. Dis. Primers 2019, 5, 66. [Google Scholar] [CrossRef] [PubMed]
- Aggelis, V.; Johnston, S. Advances in Endocrine-Based Therapies for Estrogen Receptor-Positive Metastatic Breast Cancer. Drugs 2019, 79, 1849–1866. [Google Scholar] [CrossRef] [PubMed]
- Patel, A.; Unni, N.; Peng, Y. The Changing Paradigm for the Treatment of HER2-Positive Breast Cancer. Cancers 2020, 12, 2081. [Google Scholar] [CrossRef] [PubMed]
- Gluz, O.; Liedtke, C.; Gottschalk, N.; Pusztai, L.; Nitz, U.; Harbeck, N. Triple-negative breast cancer-current status and future directions. Ann. Oncol. 2009, 20, 1913–1927. [Google Scholar] [CrossRef]
- Won, K.A.; Spruck, C. Triple-negative breast cancer therapy: Current and future perspectives (Review). Int. J. Oncol. 2020, 57, 1245–1261. [Google Scholar] [CrossRef]
- Carey, L.A.; Dees, E.C.; Sawyer, L.; Gatti, L.; Moore, D.T.; Collichio, F.; Ollila, D.W.; Sartor, C.I.; Graham, M.L.; Perou, C.M. The triple negative paradox: Primary tumor chemosensitivity of breast cancer subtypes. Clin. Cancer Res. 2007, 13, 2329–2334. [Google Scholar] [CrossRef]
- Poggio, F.; Bruzzone, M.; Ceppi, M.; Pondé, N.F.; la Valle, G.; del Mastro, L.; de Azambuja, E.; Lambertini, M. Platinum-based neoadjuvant chemotherapy in triple-negative breast cancer: A systematic review and meta-analysis. Ann. Oncol. 2018, 29, 1497–1508. [Google Scholar] [CrossRef]
- Asai, S.; Tchounwou, P.B. Cisplatin in cancer therapy: Molecular mechanisms of action. Eur. J. Pharmacol. 2014, 740, 364–378. [Google Scholar] [CrossRef]
- Montani, M.; Pazmay, G.; Hysi, A.; Lupidi, G.; Pettinari, R.; Gambini, V.; Tilio, M.; Marchetti, F.; Pettinari, C.; Ferraro, S.; et al. The water soluble ruthenium(II) organometallic compound [Ru(p-cymene)(bis(3,5 dimethylpyrazol-1-yl)methane)Cl]Cl suppresses triple negative breast cancer growth by inhibiting tumor infiltration of regulatory T cells. Pharmacol. Res. 2016, 107, 282–290. [Google Scholar] [CrossRef]
- Silvestri, S.; Cirilli, I.; Marcheggiani, F.; Dludla, P.; Lupidi, G.; Pettinari, R.; Marchetti, F.; di Nicola, C.; Falcioni, G.; Marchini, C.; et al. Evaluation of anticancer role of a novel ruthenium(II)-based compound compared with NAMI-A and cisplatin in impairing mitochondrial functionality and promoting oxidative stress in triple negative breast cancer models. Mitochondrion 2021, 56, 25–34. [Google Scholar] [CrossRef]
- Alessio, E.; Messori, L. NAMI-A and KP1019/1339, Two Iconic Ruthenium Anticancer Drug Candidates Face-to-Face: A Case Story in Medicinal Inorganic Chemistry. Molecules 2019, 24, 1995. [Google Scholar] [CrossRef]
- Alessio, E. Thirty Years of the Drug Candidate NAMI-A and the Myths in the Field of Ruthenium Anticancer Compounds: A Personal Perspective. Eur. J. Inorg. Chem. 2017, 2017, 1549–1560. [Google Scholar] [CrossRef]
- Auranofin: MedlinePlus Drug Information. Available online: https://medlineplus.gov/druginfo/meds/a685038.html (accessed on 1 November 2021).
- Varghese, E.; Büsselberg, D. Auranofin, an anti-rheumatic gold compound, modulates apoptosis by elevating the intracellular calcium concentration ([Ca2+]I) in mcf-7 breast cancer cells. Cancers 2014, 6, 2243–2258. [Google Scholar] [CrossRef]
- Raninga, P.V.; Lee, A.C.; Sinha, D.; Shih, Y.Y.; Mittal, D.; Makhale, A.; Bain, A.L.; Nanayakarra, D.; Tonissen, K.F.; Kalimutho, M.; et al. Therapeutic cooperation between auranofin, a thioredoxin reductase inhibitor and anti-PD-L1 antibody for treatment of triple-negative breast cancer. Int. J. Cancer 2020, 146, 123–136. [Google Scholar] [CrossRef]
- Onodera, T.; Momose, I.; Kawada, M. Potential Anticancer Activity of Auranofin. Chem. Pharm. Bull. 2019, 67, 186–191. [Google Scholar] [CrossRef]
- Gil-Moles, M.; Basu, U.; Büssing, R.; Hoffmeister, H.; Türck, S.; Varchmin, A.; Ott, I. Gold Metallodrugs to Target Coronavirus Proteins: Inhibitory Effects on the Spike-ACE2 Interaction and on PLpro Protease Activity by Auranofin and Gold Organometallics. Chemistry 2020, 26, 15140–15144. [Google Scholar] [CrossRef]
- Oommen, D.; Yiannakis, D.; Jha, A.N. BRCA1 deficiency increases the sensitivity of ovarian cancer cells to auranofin. Mutat. Res. 2016, 784–785, 8–15. [Google Scholar] [CrossRef]
- Zhang, X.; Selvaraju, K.; Saei, A.A.; D’Arcy, P.; Zubarev, R.A.; Arnér, E.S.; Linder, S. Repurposing of auranofin: Thioredoxin reductase remains a primary target of the drug. Biochimie 2019, 162, 46–54. [Google Scholar] [CrossRef]
- Hatem, E.; Azzi, S.; El Banna, N.; He, T.; Heneman-Masurel, A.; Vernis, L.; Baïlle, D.; Masson, V.; Dingli, F.; Loew, D.; et al. Auranofin/Vitamin C: A Novel Drug Combination Targeting Triple-Negative Breast Cancer. J. Natl. Cancer Inst. 2019, 111, 597–608. [Google Scholar] [CrossRef]
- Li, H.; Hu, J.; Wu, S.; Wang, L.; Cao, X.; Zhang, X.; Dai, B.; Cao, M.; Shao, R.; Zhang, R.; et al. Auranofin-mediated inhibition of PI3K/AKT/mTOR axis and anticancer activity in non-small cell lung cancer cells. Oncotarget 2016, 7, 3548–3558. [Google Scholar] [CrossRef]
- Kou, L.; Wei, S.; Kou, P. Current Progress and Perspectives on Using Gold Compounds for the Modulation of Tumor Cell Metabolism. Front. Chem. 2021, 9, 733463. [Google Scholar] [CrossRef] [PubMed]
- Baselga, J.; Campone, M.; Piccart, M.; Burris, H.A., 3rd; Rugo, H.S.; Sahmoud, T.; Noguchi, S.; Gnant, M.; Pritchard, K.I.; Lebrun, F.; et al. Everolimus in postmenopausal hormone-receptor-positive advanced breast cancer. N. Engl. J. Med. 2012, 366, 520–529. [Google Scholar] [CrossRef] [PubMed]
- Hou, G.X.; Liu, P.P.; Zhang, S.; Yang, M.; Liao, J.; Yang, J.; Hu, Y.; Jiang, W.Q.; Wen, S.; Huang, P. Elimination of stem-like cancer cell side-population by auranofin through modulation of ROS and glycolysis. Cell Death Dis. 2018, 9, 89. [Google Scholar] [CrossRef] [PubMed]
- Tepperman, K.; Finer, R.; Donovan, S.; Elder, R.C.; Doi, J.; Ratliff, D.; Ng, K. Intestinal uptake and metabolism of auranofin, a new oral gold-based antiarthritis drug. Science 1984, 225, 430–432. [Google Scholar] [CrossRef]
- Hoke, G.D.; Rush, G.F.; Mirabelli, C.K. The mechanism of acute cytotoxicity of triethylphosphine gold(I) complexes. III. Chlorotriethylphosphine gold(I)-induced alterations in isolated rat liver mitochondrial function. Toxicol. Appl. Pharmacol. 1989, 99, 50–60. [Google Scholar] [CrossRef]
- Reddy, T.S.; Privér, S.H.; Mirzadeh, N.; Bhargava, S.K. Anti-cancer gold(I) phosphine complexes: Cyclic trimers and tetramers containing the P-Au-P moiety. J. Inorg. Biochem. 2017, 175, 1–8. [Google Scholar] [CrossRef]
- Křikavová, R.; Hošek, J.; Vančo, J.; Hutyra, J.; Dvořák, Z.; Trávníček, Z. Gold(I)-triphenylphosphine complexes with hypoxanthine-derived ligands: In vitro evaluations of anticancer and anti-inflammatory activities. PLoS ONE 2014, 9, e107373. [Google Scholar] [CrossRef]
- Ortego, L.; Cardoso, F.; Martins, S.; Fillat, M.F.; Laguna, A.; Meireles, M.; Villacampa, M.D.; Gimeno, M.C. Strong inhibition of thioredoxin reductase by highly cytotoxic gold(I) complexes. DNA binding studies. J. Inorg. Biochem. 2014, 130, 32–37. [Google Scholar] [CrossRef]
- Li, B.B.; Jia, Y.X.; Zhu, P.C.; Chew, R.J.; Li, Y.; Tan, N.S.; Leung, P.H. Highly selective anti-cancer properties of ester functionalized enantiopure dinuclear gold(I)-diphosphine. Eur. J. Med. Chem. 2015, 98, 250–255. [Google Scholar] [CrossRef]
- Ang, K.P.; Chan, P.F.; Hamid, R.A. Antiproliferative activity exerted by tricyclohexylphosphanegold(I) n-mercaptobenzoate against MCF-7 and A2780 cell lines: The role of p53 signaling pathways. Biometals 2021, 34, 141–160. [Google Scholar] [CrossRef]
- Altaf, M.; Monim-ul-Mehboob, M.; Seliman, A.A.; Sohail, M.; Wazeer, M.I.; Isab, A.A.; Li, L.; Dhuna, V.; Bhatia, G.; Dhuna, K. Synthesis, characterization and anticancer activity of gold(I) complexes that contain tri-tert-butylphosphine and dialkyl dithiocarbamate ligands. Eur. J. Med. Chem. 2015, 95, 464–472. [Google Scholar] [CrossRef]
- Gavara, R.; Aguilo, E.; Schur, J.; Llorca, J.; Ott, I.; Rodríguez, L. Study of the effect of the chromophore and nuclearity on the aggregation and potential biological activity of gold(I) alkynyl complexes. Inorg. Chim. Acta 2016, 446, 189–197. [Google Scholar] [CrossRef]
- Adokoh, C.K.; Darkwa, J.; Kinfe, H.H. Synthesis, characterization and anticancer evaluation of phosphinogold(I) thiocarbohydrate complexes. Polyhedron 2017, 138, 57–67. [Google Scholar] [CrossRef]
- Pérez, S.A.; de Haro, C.; Vicente, C.; Donaire, A.; Zamora, A.; Zajac, J.; Kostrhunova, H.; Brabec, V.; Bautista, D.; Ruiz, J. New Acridine Thiourea Gold(I) Anticancer Agents: Targeting the Nucleus and Inhibiting Vasculogenic Mimicry. ACS Chem. Biol. 2017, 12, 1524–1537. [Google Scholar] [CrossRef]
- Galassi, R.; Luciani, L.; Gambini, V.; Vincenzetti, S.; Lupidi, G.; Amici, A.; Marchini, C.; Wang, J.; Pucciarelli, S. Multi-Targeted Anticancer Activity of Imidazolate Phosphane Gold(I) Compounds by Inhibition of DHFR and TrxR in Breast Cancer Cells. Front. Chem. 2021, 8, 602845. [Google Scholar] [CrossRef]
- Sulaiman, A.A.A.; Altaf, M.; Isab, A.A.; Alawad, A.; Altuwaijri, S.; Ahmad, S. Synthesis, Characterization, and in vitro Cytotoxicity of Gold(I) Complexes of 2-(Diphenylphosphanyl)ethylamine and Dithiocarbamates. Z. Anorg. Allg. Chem. 2016, 642, 1454–1459. [Google Scholar] [CrossRef]
- Gambini, V.; Tilio, M.; Maina, E.W.; Andreani, C.; Bartolacci, C.; Wang, J.; Iezzi, M.; Ferraro, S.; Ramadori, A.T.; Simon, O.C.; et al. In vitro and in vivo studies of gold(I) azolate/phosphane complexes for the treatment of basal like breast cancer. Eur. J. Med. Chem. 2018, 155, 418–427. [Google Scholar] [CrossRef]
- Hikisz, P.; Szczupak, Ł.; Koceva-Chyła, A.; Gu Spiel, A.; Oehninger, L.; Ott, I.; Therrien, B.; Solecka, J.; Kowalski, K. Anticancer and Antibacterial Activity Studies of Gold(I)-Alkynyl Chromones. Molecules 2015, 20, 19699–19718. [Google Scholar] [CrossRef]
- Tabrizi, L.; Romanova, J. Antiproliferative Activity of Gold(I) N-Heterocyclic Carbene and Triphenylphosphine Complexes with Ibuprofen Derivatives as Effective Enzyme Inhibitors. Appl. Organomet. Chem. 2020, 34, e5618J. [Google Scholar] [CrossRef]
- Ortega, E.; Zamora, A.; Basu, U.; Lippmann, P.; Rodríguez, V.; Janiak, C.; Ott, I.; Ruiz, J. An Erlotinib gold(I) conjugate for combating triple-negative breast cancer. J. Inorg. Biochem. 2020, 203, 110910. [Google Scholar] [CrossRef]
- Fereidoonnezhad, M.; Mirsadeghi, H.A.; Abedanzadeh, S.; Yazdani, A.; Alamdarlou, A.; Babaghasabha, M.; Almansaf, Z.; Faghih, Z.; McConnell, Z.; Shahsavari, H.R.; et al. Synthesis and biological evaluation of thiolate gold(I) complexes as thioredoxin reductases (TrxRs) and glutathione reductase (GR) inhibitors. New J. Chem. 2019, 43, 13173–13182. [Google Scholar] [CrossRef]
- Schmidt, C.; Karge, B.; Misgeld, R.; Prokop, A.; Brönstrup, M.; Ott, I. Biscarbene gold(I) complexes: Structure-activity-relationships regarding antibacterial effects, cytotoxicity, TrxR inhibition and cellular bioavailability. Med. Chem. Comm. 2017, 8, 1681–1689. [Google Scholar] [CrossRef]
- Berners-Price, S.J.; Filipovska, A. Gold compounds as therapeutic agents for human diseases. Metallomics 2011, 3, 863–873. [Google Scholar] [CrossRef] [PubMed]
- Humphreys, A.S.; Filipovska, A.; Berners-Price, S.J.; Koutsantonis, G.A.; Skelton, B.W.; White, A.H. Gold(I) chloride adducts of 1,3-bis(di-2-pyridylphosphino)propane: Synthesis, structural studies and antitumour activity. Dalton Trans. 2007, 43, 4943–4950. [Google Scholar] [CrossRef]
- Zou, T.; Lum, C.T.; Lok, C.N.; To, W.P.; Low, K.H.; Che, C.M. A binuclear gold(I) complex with mixed bridging diphosphine and bis(N-heterocyclic carbene) ligands shows favorable thiol reactivity and inhibits tumor growth and angiogenesis in vivo. Angew. Chem. Int. Ed. Engl. 2014, 53, 5810–5814. [Google Scholar] [CrossRef] [PubMed]
- Marchini, C.; Montani, M.; Konstantinidou, G.; Orrù, R.; Mannucci, S.; Ramadori, G.; Gabrielli, F.; Baruzzi, A.; Berton, G.; Merigo, F.; et al. Mesenchymal/stromal gene expression signature relates to basal-like breast cancers, identifies bone metastasis and predicts resistance to therapies. PLoS ONE 2010, 5, e14131. [Google Scholar] [CrossRef][Green Version]
- Mora, M.; Gimeno, M.C.; Visbal, R. Recent advances in gold-NHC complexes with biological properties. Chem. Soc. Rev. 2019, 48, 447–462. [Google Scholar] [CrossRef] [PubMed]
- Weaver, J.; Gaillard, S.; Toye, C.; Macpherson, S.; Nolan, S.P.; Riches, A. Cytotoxicity of gold(I) N-heterocyclic carbene complexes assessed by using human tumor cell lines. Chemistry 2011, 17, 6620–6624. [Google Scholar] [CrossRef]
- Porchia, M.; Pellei, M.; Marinelli, M.; Tisato, F.; del Bello, F.; Santini, C. New insights in Au-NHCs complexes as anticancer agents. Eur. J. Med. Chem. 2018, 146, 709–746. [Google Scholar] [CrossRef]
- Tolman, C.A. Steric effects of phosphorus ligands in organometallic chemistry and homogeneous catalysis. Chem. Rev. 1977, 77, 313–348. [Google Scholar] [CrossRef]
- Díez-González, S.; Nolan, S.P. Stereoelectronic parameters associated with N-heterocyclic carbene (NHC) ligands: A quest for understanding. Coord. Chem. Rev. 2007, 251, 874–883. [Google Scholar] [CrossRef]
- Zhang, C.; Maddelein, M.L.; Wai-Yin Sun, R.; Gornitzka, H.; Cuvillier, O.; Hemmert, C. Pharmacomodulation on Gold-NHC complexes for anticancer applications—Is lipophilicity the key point? Eur. J. Med. Chem. 2018, 157, 320–332. [Google Scholar] [CrossRef]
- Karaca, Ö.; Scalcon, V.; Meier-Menches, S.M.; Bonsignore, R.; Brouwer, J.; Tonolo, F.; Folda, A.; Rigobello, M.P.; Kühn, F.E.; Casini, A. Characterization of Hydrophilic Gold(I) N-Heterocyclic Carbene (NHC) Complexes as Potent TrxR Inhibitors Using Biochemical and Mass Spectrometric Approaches. Inorg. Chem. 2017, 56, 14237–14250. [Google Scholar] [CrossRef]
- Serebryanskaya, T.V.; Zolotarevb, A.A.; Ott, I. A novel aminotriazole-based NHC complex for the design of gold(I) anti-cancer agents: Synthesis and biological evaluation. Med. Chem. Commun. 2015, 6, 1186–1189. [Google Scholar] [CrossRef]
- Muenzner, J.K.; Biersack, B.; Kalie, H.; Andronache, I.C.; Kaps, L.; Schuppan, D.; Sasse, F.; Schobert, R. Gold(I) biscarbene complexes derived from vascular-disrupting combretastatin A-4 address different targets and show antimetastatic potential. Chem. Med. Chem. 2014, 9, 1195–1204. [Google Scholar] [CrossRef]
- Saturnino, C.; Barone, I.; Iacopetta, D.; Mariconda, A.; Sinicropi, M.S.; Rosano, C.; Campana, A.; Catalano, S.; Longo, P.; Andò, S. N-heterocyclic carbene complexes of silver and gold as novel tools against breast cancer progression. Future Med. Chem. 2016, 8, 2213–2229. [Google Scholar] [CrossRef]
- Walther, W.; Dada, O.; O’Beirne, C.; Ott, I.; Sánchez-Sanz, G.; Schmidt, C.; Werner, C.; Zhu, X.; Tacke, M. In Vitro and In Vivo Investigations into the Carbene Gold Chloride and Thioglucoside Anticancer Drug Candidates NHC-AuCl and NHC-AuSR. Lett. Drug Des. Discov. 2017, 14, 125–134. [Google Scholar] [CrossRef]
- Garner, M.E.; Niu, W.; Chen, X.; Ghiviriga, I.; Abboud, K.; Tan, W.; Veige, A.S. N-heterocyclic carbene gold(I) and silver(I) complexes bearing functional groups for bio-conjugation. Dalton Trans. 2015, 44, 1914–1923. [Google Scholar] [CrossRef]
- Guarra, F.; Terenzi, A.; Pirker, C.; Passannante, R.; Baier, D.; Zangrando, E.; Gómez-Vallejo, V.; Biver, T.; Gabbiani, C.; Berger, W.; et al. 124 I Radiolabeling of a AuIII -NHC Complex for In Vivo Biodistribution Studies. Angew. Chem. Int. Ed. Engl. 2020, 59, 17130–17136. [Google Scholar] [CrossRef]
- Jhulki, L.; Dutta, P.; Santra, M.K.; Cardoso, M.H.; Oshiro, K.G.N.; Franco, O.F.; Bertolasi, V.; Isab, A.A.; Bielawski, C.W.; Dinda, J. Synthesis and cytotoxic characteristics displayed by a series of Ag(I)-, Au(I)- and Au(III)-complexes supported by a common N-heterocyclic carbene. New J. Chem. 2018, 42, 13948–13956. [Google Scholar] [CrossRef]
- Bertrand, B.; Fernandez-Cestau, J.; Angulo, J.; Cominetti, M.; Waller, Z.; Searcey, M.; O’Connell, M.A.; Bochmann, M. Cytotoxicity of Pyrazine-Based Cyclometalated (C^Npz^C)Au(III) Carbene Complexes: Impact of the Nature of the Ancillary Ligand on the Biological Properties. Inorg. Chem. 2017, 56, 5728–5740. [Google Scholar] [CrossRef] [PubMed]
- Boselli, L.; Ader, I.; Carraz, M.; Hemmert, C.; Cuvillier, O.; Gornitzka, H. Synthesis, structures, and selective toxicity to cancer cells of gold(I) complexes involving N-heterocyclic carbene ligands. Eur. J. Med. Chem. 2014, 85, 87–94. [Google Scholar] [CrossRef] [PubMed]
- Walther, W.; Althagafi, D.; Curran, D.; O’Beirne, C.; Mc Carthy, C.; Ott, I.; Basu, U.; Büttner, B.; Sterner-Kock, A.; Müller-Bunz, H.; et al. In-vitro and in-vivo investigations into the carbene-gold anticancer drug candidates NHC*-Au-SCSNMe2 and NHC*-Au-S-GLUC against advanced prostate cancer PC3. Anticancer Drugs 2020, 31, 672–683. [Google Scholar] [CrossRef] [PubMed]
- Zou, T. A Binuclear Gold(I) Complex with Mixed Bridging Diphosphine and Bis(N-Heterocyclic Carbene) Ligands Shows Favorable Thiol Reactivity and Effectively Inhibits Tumor Growth and Angiogenesis In Vivo. In Anti-Cancer N-Heterocyclic Carbene Complexes of Gold(III), Gold(I) and Platinum(II); Springer Theses (Recognizing Outstanding Ph.D. Research); Springer: Berlin/Heidelberg, Germany, 2016. [Google Scholar] [CrossRef]
- Ilari, A.; Baiocco, P.; Messori, L.; Fiorillo, A.; Boffi, A.; Gramiccia, M.; di Muccio, T.; Colotti, G. A gold-containing drug against parasitic polyamine metabolism: The X-ray structure of trypanothione reductase from Leishmania infantum in complex with auranofin reveals a dual mechanism of enzyme inhibition. Amino Acids 2012, 42, 803–811. [Google Scholar] [CrossRef]
- Ferraro, G.; Massai, L.; Messori, L.; Cinellu, M.A.; Merlino, A. Structural evidences for a secondary gold binding site in the hydrophobic box of lysozyme. Biometals 2015, 28, 745–754. [Google Scholar] [CrossRef]
- Ferraro, G.; Gabbiani, C.; Merlino, A. First Crystal Structure for a Gold Carbene-Protein Adduct. Bioconjug. Chem. 2016, 27, 1584–1587. [Google Scholar] [CrossRef]
- Singh, A.; Deshpande, N.; Pramanik, N.; Jhunjhunwala, S.; Rangarajan, A.; Atreya, H.S. Optimized peptide based inhibitors targeting the dihydrofolate reductase pathway in cancer. Sci. Rep. 2018, 8, 3190. [Google Scholar] [CrossRef]
- Volk, E.L.; Rohde, K.; Rhee, M.; McGuire, J.J.; Doyle, L.A.; Ross, D.D.; Schneider, E. Methotrexate cross-resistance in a mitoxantrone-selected multidrug-resistant MCF7 breast cancer cell line is attributable to enhanced energy-dependent drug efflux. Cancer Res. 2000, 60, 3514–3521. [Google Scholar]
- Raimondi, M.V.; Randazzo, O.; la Franca, M.; Barone, G.; Vignoni, E.; Rossi, D.; Collina, S. DHFR Inhibitors: Reading the Past for Discovering Novel Anticancer Agents. Molecules 2019, 24, 1140. [Google Scholar] [CrossRef]
- Drug.com. FDA Approves Folotyn (pralatrexate) for Treatment of Peripheral T-Cell Lymphoma. Available online: https://www.drugs.com/newdrugs/fda-approves-folotyn-pralatrexate-peripheral-tcell-lymphoma-1666.html (accessed on 10 November 2021).
- Clark, R.A.; Lee, S.; Qiao, J.; Chung, D.H. Preclinical evaluation of the anti-tumor activity of pralatrexate in high-risk neuroblastoma cells. Oncotarget 2020, 11, 3069–3077. [Google Scholar] [CrossRef]
- Li, H.; Fang, F.; Liu, Y.; Xue, L.; Wang, M.; Guo, Y.; Wang, X.; Tian, C.; Liu, J.; Zhang, Z. Inhibitors of dihydrofolate reductase as antitumor agents: Design, synthesis and biological evaluation of a series of novel nonclassical 6-substituted pyrido[3,2-d]pyrimidines with a three- to five-carbon bridge. Bioorg. Med. Chem. 2018, 26, 2674–2685. [Google Scholar] [CrossRef]
- Tian, C.; Wang, M.; Han, Z.; Fang, F.; Zhang, Z.; Wang, X.; Liu, J. Design, synthesis and biological evaluation of novel 6-substituted pyrrolo [3,2-d] pyrimidine analogues as antifolate antitumor agents. Eur. J. Med. Chem. 2017, 138, 630–643. [Google Scholar] [CrossRef]
- Galassi, R.; Oumarou, C.S.; Burini, A.; Dolmella, A.; Micozzi, D.; Vincenzetti, S.; Pucciarelli, S. A study on the inhibition of dihydrofolate reductase (DHFR) from Escherichia coli by gold(I) phosphane compounds. X-ray crystal structures of (4,5-dichloro-1H-imidazolate-1-yl)-triphenylphosphane-gold(I) and (4,5-dicyano-1H-imidazolate-1-yl)-triphenylphosphane-gold(I). Dalton Trans. 2015, 44, 3043–3056. [Google Scholar] [CrossRef]
- Joo, M.K.; Shin, S.; Ye, D.J.; An, H.G.; Kwon, T.U.; Baek, H.S.; Kwon, Y.J.; Chun, Y.J. Combined treatment with auranofin and trametinib induces synergistic apoptosis in breast cancer cells. J. Toxicol. Environ. Health A 2021, 84, 84–94. [Google Scholar] [CrossRef]
- Langdon-Jones, E.E.; Pope, S.J.A. Recent developments in gold(I) coordination chemistry: Luminescence properties and bioimaging opportunities. Chem. Commun. 2014, 50, 10343–10354. [Google Scholar] [CrossRef]
- Favarin, L.R.V.; Laranjeira, G.B.; Teixeira, C.F.A.; Silva, H.; Micheletti, A.C.; Pizzuti, L.; Junior, A.M.; Caires, A.R.L.; Deflon, V.M.; Pesci, R.B.P.; et al. Harvesting greenish blue luminescence in gold(I) complexes and their application as promising bioactive molecules and cellular bioimaging agents. New J. Chem. 2020, 44, 6862–6871. [Google Scholar] [CrossRef]
Publisher’s Note: MDPI stays neutral with regard to jurisdictional claims in published maps and institutional affiliations. |
© 2022 by the authors. Licensee MDPI, Basel, Switzerland. This article is an open access article distributed under the terms and conditions of the Creative Commons Attribution (CC BY) license (https://creativecommons.org/licenses/by/4.0/).