Abstract
Cytochrome P450 monooxygenases (CYPs; P450s) are a superfamily of heme-containing enzymes that are recognized for their vast substrate range and oxidative multifunctionality. CYP107 family members perform hydroxylation and epoxidation processes, producing a variety of biotechnologically useful secondary metabolites. Despite their biotechnological importance, a thorough examination of CYP107 protein structures regarding active site cavity dynamics and key amino acids interacting with bound ligands has yet to be undertaken. To address this research knowledge gap, 44 CYP107 crystal structures were investigated in this study. We demonstrate that the CYP107 active site cavity is very flexible, with ligand binding reducing the volume of the active site in some situations and increasing volume size in other instances. Polar interactions between the substrate and active site residues result in crucial salt bridges and the formation of proton shuttling pathways. Hydrophobic interactions, however, anchor the substrate within the active site. The amino acid residues within the binding pocket influence substrate orientation and anchoring, determining the position of the hydroxylation site and hence direct CYP107’s catalytic activity. Additionally, the amino acid dynamics within and around the binding pocket determine CYP107’s multifunctionality. This study serves as a reference for understanding the structure–function analysis of CYP107 family members precisely and the structure–function analysis of P450 enzymes in general. Finally, this work will aid in the genetic engineering of CYP107 enzymes to produce novel molecules of biotechnological interest.
1. Introduction
Cytochrome P450 monooxygenases (CYPs/P450s) are a superfamily of heme-containing enzymes known for their broad substrate specificities and diverse catalytic activities. Genomic sequence analysis of P450s in Bacteria has shown that these enzymes are frequently located in operons and biosynthetic gene clusters (BGCs) [1,2,3,4], functioning as oxidative tailoring enzymes, leading to functional diversity in the generated secondary metabolites [5,6]. Due to their catalytic diversity with stereo- and regio-specific oxidation capabilities, P450 enzymes have been exploited for various applications, including biomedical and biotechnological applications [7,8,9,10,11,12].
Using an established nomenclature procedure, P450 enzymes are classified into different P450 families and subfamilies based upon their percentage amino acid sequence identities. If the shared P450 sequence is more than 40% identical, they belong to the same family, e.g., CYP1A1; if sequences share more than 55% identity, they belong to the same subfamily, e.g., CYP1A1, CYP1A2 [13]. Since their initial identification six decades ago, most P450s that have been identified have been grouped into different P450 families [14]. As of 2023, 1910 P450 families have been identified in Bacteria [14]. Among the Bacteria P450 families, the CYP107 family is found to be dominantly present in BGCs, such as in Streptomyces [15], Firmicutes [16], and Gamma- and Delta-proteobacteria [2], indicating key role(s) for CYP107 family members in the synthesis of many BGC-derived secondary metabolites. Streptomyces species produce two-thirds of all microbial-derived secondary metabolites, including antibiotics [17], and CYP107 is dominant in their BGCs [15].
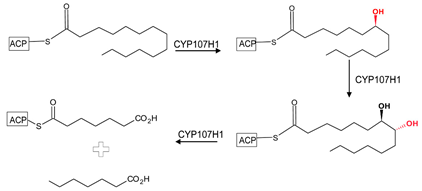
CYP107 family members perform hydroxylation and epoxidation reactions in a wide range of substrates, as summarized in Table 1. CYP107 family members can function as oxidative tailoring enzymes in macrolide antibiotic biosynthetic pathways, such as those generating erythromycin and mycinamicin [18,19]. In Streptomyces species, CYP107 family members are involved in the biosynthesis of many valuable human antibiotics, including pikromycin and rapamycin [20,21]. CYP107H1 (P450BioI), found in Bacillus subtilis, synthesizes pimelic acid, a major component of biotin (vitamin B7) [22]. This P450 catalyzes oxidative cleavage at the C7-C8 position of ACP-linked fatty acids (Table 1) [22]. CYP107BR1 (P450vdh) found in Pseudonocardia autotrophica biosynthesizes vitamin D3 by performing a two-step hydroxylation (Table 1) [23]. Due to their potential biotechnological value, many CYP107 proteins have been functionally characterized, and their role in synthesizing various secondary metabolites has been elucidated (Table 1).
Table 1.
Role of CYP107s in the synthesis of primary and secondary metabolites. Key reactions are shown, and metabolite(s) reaction sites are highlighted in red.
The CYP107 members studied to-date are soluble proteins, and their general overall structure is comparable to that of bacterial P450s [39,40]. Structural analysis of CYP107 members revealed characteristic P450 folds and conserved motifs in their structures [39,40]. The α/β structure of CYP107 members comprises two structural domains: a helical domain and random coils and β-sheets [18,22,41]. The conserved catalytic residues and characteristic P450 structure, which includes a kink in the I-helix where the highly conserved acid/alcohol residue pair controls the protonation of intermediate oxygen species during oxygen activation, are present in all CYP107 members’ active sites, except for CYP107A1 [18,26]. The proximal cysteine heme thiolate ligand is located in the N-terminal loop before the L-helix. It is often exposed to solvents via the substrate-binding pocket, which is covered by three domains, namely the F1, F2, and F3 loops [21,22] The active site contains various hydrophobic regions interacting with the substrate [22,35]. CYP107 members generally require endogenous ferredoxin and ferredoxin reductase partner proteins to perform their catalytic functions. Functional analysis of some CYP107 members in vitro revealed that exogenous ferredoxin and NADPH-ferredoxin reductase from spinach and reductase domain (RhFRED) from Rhodococcus in partnership with spinach ferredoxin can transfer the electrons [19,27,42].
Over the past few years, the resolved X-ray crystal structures of many CYP107 family members’ have been determined. To-date, 44 CYP107 family members’ crystal structures have been deposited and are available for use at the Research Collaboratory for Structural Bioinformatics (RCSB) Protein Data Bank (PDB) [43]. From the above data (Table 1), the structure–function analysis of individual CYP107 enzymes has been well established. However, these studies focus on CYP107 enzymes in isolation, oxidizing a specific substrate. A comprehensive comparative structure–function analysis of CYP107 family members, including amino acid dynamics, and their defined role(s) in catalysis has yet to be reported. The availability of 44 CYP107 family protein crystal structures allows us to decipher the detailed structure–function mechanics of these P450s, with a particular focus on amino acid dynamics. Herein, this study is aimed at addressing this research knowledge gap. We have analyzed 44 crystal structures and delineated the structure–function relationships between CYP107 family members.
2. Materials and Methods
2.1. Retrieving of CYP107 Member’s Structures
CYP107-member protein crystal structures were retrieved from RCSB PDB [43] and used in this study (Table 2). Of the 44 crystal structures, 3 of them, namely CYPTaml, P450Revl, and P450-sb21, had not been previously assigned classical P450 family and subfamily names (Table 2). Assigning the families and subfamilies for these P450s is reported here following the International P450 Nomenclature Committee rules [13].
Table 2.
CYP107 crystal structures used in the study. The PDB codes, P450 names, and their references are presented.
2.2. CYP107 Active Site Analysis
Individual CYP107 crystal structures were analyzed and assigned to either an open (non-ligand bound) or closed (ligand-bound) conformation. Each open and closed CYP107 crystal structure active site area and volume was analyzed by the Computed Atlas of Surface Topography of proteins (CASTp) [44]. For active site analysis, each PDB file was individually uploaded onto PyMOL software, Version 2.2.5 [45]. The active site cavities were selected using heme as the central point of the binding pocket, and amino acid residues within 5 Å were chosen. In cases where the ligand extended out of the selected binding pocket, 5 Å from the ligand was chosen instead. The amino acid residues were analyzed for both open and closed conformations. Active site amino acid dynamics were analyzed by choosing one PDB representative in the open and closed conformation for each CYP107 protein, if available. The amino acid residues and count for each PDB were then compared and analyzed for any changes in the amino acid composition of the active sites. Amino acid residues were represented as sticks and labelled using the three-letter amino acid codes.
2.3. Analysis of Ligand Interactions in Closed Conformation PDB Files Using PyMOL
Of the 44 crystal structures, 28 were in the closed conformation. Individual PDB files were uploaded onto PyMOL and the active site cavity was selected, as described above. The amino acids were represented as sticks and labelled according to their single letter amino acid code. Polar contacts with atoms were selected; if the ligand interactions with amino acid residues were present, dashed lines connect the ligand and the specific amino acid residue, water molecule, or solvent molecule. Using published data, the literature, hydrophobic residues within 5 Å were selected and represented as sticks. The amino acid residues that were not interacting with the ligand were removed.
3. Results
3.1. Enzyme Conformation Affects the Active Site Morphology in CYP107 Proteins
Most CYP107 crystal structures were in a closed conformation (63.6%) (Table 3). The area of the active site cavity of CYP107 proteins co-crystallized with a bound ligand ranged between 789 Å2 (CYP107FH5) and 2070 Å2 (CYP107G1), whereas the area of the active site in an open conformation ranged between 950 Å2 (CYP107Z14) and 2287 Å2 (CYP107G1) (Table 3). A similar pattern was noticed when comparing the volume of both conformations. The volume of the active site in a closed conformation ranged between 455 Å3 (CYP107FH5) and 2196 Å3 (CYP107G1) compared to 859 Å3 (CYP107Z14) and 2637 Å3 (CYP107G1) in an open conformation (Table 3). These data indicate the overall flexibility and spaciousness of the CYP107 active site cavity when no ligand is bound, allowing for the possible binding of large substrates. Based on the available crystal structures data, one can estimate that the change in active site area and volume from open to closed conformation is 276 Å2 and 494 Å3, respectively. In most cases, the area and volume of the active site decreased to bind the ligand, which causes a conformational shift from open to closed. These findings indicate a significant difference between the respective values, showing a dynamic change in the active site cavity when a ligand is bound.
Table 3.
The 41 CYP107 crystal structures’ active site cavity area, volume, and conformations.
A pattern was observed comparing a specific CYP107 subfamily’s active site cavity size (Table 3). The change in area and volume from open to closed conformation for CYP107FH5 was the highest compared to CYP107G1 and CYP107BR1, indicating that the active site cavity became smaller as its area and volume is decreased on binding ligand. In contrast, CYP107E1 and CYP107L1 have the highest area and volume when the ligand is bound (closed conformation), indicating that substrate binding increased the active site cavity area and volume size (Table 3). The molecular dynamics of amino acids were also flexible from open to closed, and vice versa for these CYP107 subfamilies (Table 4). To better understand these observations, we further quantified the amino acid dynamics using root-mean-square difference (RMSD) between the open and closed conformation of the CYP107 members belonging to the same subfamily (Table 4). RMSD analysis revealed a significant change in amino acid positions in CYP107BR1 and CYP107FH5 compared to CYP107L1, CYP107E1, and CYP107G1 (Table 4). CYP107BR1 and CYP107FH5 had the highest RMSD values of 2.5 Å and 3.0 Å (Table 4). These P450s were bound to elongated substrates, which may have contributed to the shift in the locations of amino acid residues in the open conformation. The RMSD values of CYP107L1, CYP107E1, and CYP107G1 were less than 1 Å, indicating that the amino acid’s position stayed relatively constant (Table 4). Compared to CYP107BR1 and CYP107FH5, the substrates bound to these P450s were not elongated and would not require as much shifting. The amino acids unique to closed or open confirmation for a given CYP107 subfamily are listed in Table 4. The amino acids uniquely present in either open or closed conformation that possibly play a key role in catalytic reaction are highlighted.
Table 4.
Analysis of amino acid dynamics for CYP107 subfamilies. The unique amino acid residues found within 5 Å of the heme in the active site cavities of five CYP107 proteins belonging to the same subfamily in open and closed conformations are presented in the table.
The active site cavity dynamics of CYP107 members are comparable with other P450s. In human CYP3A4 crystal structures complexed with ketoconazole and erythromycin, there was a similar significant shift in the active site volume; however, the active site volume expanded rather than decreased, increasing from 1173 Å3 to 2017 Å3 and 2682 Å3, respectively. The displacement of the protein backbone to accommodate such large substrates is the cause of this volume increase [46]. A similar pattern was shown in CYP2A6. The volume increased from 251 Å3 to 300 Å3 when bound with phenacetin; however, the volume decreased to 243 Å3 when bound with methoxsalen [47]. These findings highlight the overall flexibility of P450 active sites and the dynamic changes associated with ligand binding.
3.2. CYP107H1: Substrate Shape Change and Expulsion of Water Molecules as per Substrate Size
CYP107H1, often referred to as P450bioI, catalyzes the oxidative cleavage of C7–C8 in the acyl carrier protein (ACP)-linked fatty acids involved in pimelic acid synthesis, which makes up the majority of the carbon backbone skeleton of biotin [22]. This P450 interacts with the phosphopantetheine linker of the ACP molecule and forms various hydrogen bonds with active site residues. CYP107H1 has been crystallized with three different chain lengths of fatty acids, namely tetradecanoic acid (Figure 1A), hexadex-9z-enoic acid (Figure 1B), and octadec-9z-enoic acid (Figure 1C). All fatty acids were bound in a U-shaped conformation, bringing the oxidation site closer to the heme Fe [22]. Interestingly, as the fatty acid chain length increased, the number of water molecules interacting with active site residues decreased from 9 to 5, respectively (Figure 1). Met-283 formed a water-mediated hydrogen bond when the largest fatty acid was docked, possibly to provide protons for the oxidation reaction to occur. It has been observed that the larger the fatty acid chain, the closer it was to the heme, and more water molecules were expelled from the binding pocket to increase the space required to bind a larger substrate.
Figure 1.
Analysis of CYP107H1 interactions with tetradecanoic acid (A), hexadec-9z-enoic acid (B), and octadec-9z-enoic acid (C). Information on the PDB codes for CYP107H1-fatty acid crystal structures is shown in the figure. Heme is shown in green, and substrates are shown in blue. Amino acid residues sharing a polar interaction with the substrate are shown in cyan, and residues sharing a hydrophobic interaction are shown in orange. Polar interactions are indicated as red dashed lines, water molecules are represented as red spheres, and amino acid residues are labelled according to their one-letter code. A list of all amino acid residues shown in this figure is described in Table 5.
3.3. CYP107A1
3.3.1. Perpendicular Binding of the Substrate
CYP107A1, also known as P450eryF, catalyzes C6-hydroxylation of the macrolide 6-deoxyerythronolide B (6-DEB) in erythromycin biosynthesis [18]. CYP107A1 has an enlarged binding site pocket for the substrate, indicating it can accommodate larger molecules [18]. The substrate (6-DEB) is orientated perpendicular to the heme and interacts with three water molecules (Figure 2). Three phenylalanine residues lie within 5 Å of the substrate and may aid in sequestering and orientating the substrate (Figure 2) [18]. CYP107A1 activates molecular oxygen by cleaving the oxygen bond and inserting one oxygen atom into the C6 position of the substrate [18].
Figure 2.
Analysis of CYP107A1 interactions with 6-deoxyerythronolide. Amino acid residues within 5 Å of the substrate are shown in cyan. Hydrophobic residues are shown in orange. Water molecules are represented as red spheres, heme is green, and the substrate is blue. Amino acid residues are labelled according to their one-letter code. PDB code is within brackets next to the respective P450 name. A list of all amino acid residues shown in this figure is represented in Table 5.
3.3.2. Homotropic Cooperativity
Many P450s show homotropic cooperativity to various substrates, including polycyclic aromatic hydrocarbons and steroids [24]. This trend was also demonstrated with CYP107A1 when bound to 9-aminophenanthrene and 4-androstene-3-17-dione (Figure 3). Spectral binding analysis revealed the presence of two binding sites. The data indicated that the binding of the second ligand reduced the overall size and increased the hydrophobicity of the active site, which in turn increased the first ligand’s binding affinity [24]. Two molecules of each substrate were bound jointly within the binding pocket of CYP107A1. 9-aminophenanthrene interacted with various hydrophobic residues; one molecule was buried within the binding pocket and was in direct contact with the heme, whereas the second molecule was bound towards the surface of the pocket (Figure 3A) [24]. One molecule of 4-androstene-3-17-dione was found deep in the binding pocket, and instead of direct contact with the heme it interacted with a water molecule. It formed hydrogen bonds with active site residues, namely Asn-89 and Ala-245 (Figure 3B). The second molecule was towards the surface of the binding pocket. It showed a hydrogen bond with Ser-171 (Figure 3B)—various hydrophobic amino acid residues surrounded all the substrates, which could be involved in substrate anchoring. These results establish that homotropic cooperativity in ligand binding can arise because of the binding of two substrate molecules within the P450 active site [24].
Figure 3.
Homotropic cooperativity of CYP107A1 with 9-aminophenanthrene (A) and 4-androstene-3-17-dione (B). Amino acid residues within 5 Å of each ligand are shown. Active site residues that have polar interactions with the ligand are colored cyan, and those that have hydrophobic interactions are colored orange. Heme is shown in green; substrates are shown in blue and magenta. Water molecules are represented as red spheres. Amino acid residues are labelled according to their one-letter code. PDB code is within brackets next to the respective P450 name. A list of all amino acid residues shown in this figure is represented in Table 5.
3.3.3. High Flexibility and Conformational Change of I-Helix Region
CYP107A1 can accommodate a large substrate, such as the azole P450 inhibitor ketoconazole, which is known to bind to many P450s [48]. Upon binding of this inhibitor, the I-helix of CYP107A1 was found to be unwound (Figure 4A) [25]. The flexibility of the I-helix cleft was also assessed by substituting the Ala-245 with a hydroxyl-containing residue, serine. Surprisingly, despite having a hydrogen-bonding amino acid (in the mutant), the I-helix was again found to unwind upon binding with ketoconazole (Figure 4B). However, when the natural substrate, 6-DEB, was added to the mutant, the I-helix reformed, revealing the flexibility of the active site of CYP107A1 [25].
Figure 4.
Analysis of interactions of native CYP107A1 (A) and mutant CYP107A1 (A245S) (B) bound with ketoconazole. Amino acids within 5 Å are shown in cyan. Substituted amino acid (Ala and Ser) is colored orange. Heme is shown in green, and substrate is shown in blue. Amino acid residues are labelled according to their one-letter code. PDB code is within brackets next to the respective P450 name. A list of all amino acid residues shown in this figure is represented in Table 5.
3.3.4. Ala-245 Is Critical to the Proton Shuttle
Thr-252 in the active site of numerous P450s has been proposed to participate in oxygen (O2) binding and its cleavage [49]. Interestingly, CYP107A1 has alanine instead of threonine [18,26]. The proton shuttle system in CYP107A1 was studied, and it was revealed that substituting Ala-245 to either serine or threonine led to an overall decrease in enzyme function. The substrate’s 5-OH is the only direct hydrogen bond donor to the iron-linked dioxygen and is probably a direct proton donor [26], as shown in Figure 5A. The wild-type CYP107A1 bound with 6-DEB and dioxygen revealed that one water molecule was expelled from the active site (Figure 5A). Introducing serine instead of alanine led to hydrogen bonding between the adjacent residue and the dioxygen molecule, breaking the proton shuttle pathway and decreasing enzyme activity (Figure 5B) [26]. The threonine mutant showed decreased enzyme activity as the hydroxyl group of threonine was too far away from the adjacent serine residue for any hydrogen bonds to form, disrupting the proton shuttling pathway (Figure 5C) [26]. These results show that Ala-245 plays a crucial role in CYP107A1, i.e., to increase the size of the active site cavity to accommodate larger substrates and for a functional proton shuttle system for the catalytic activity.
Figure 5.
Analysis of the effect of Ala-245 substitution on the interactions of CYP107A1 with 6-deoxyerythronolide B (6-DEB). Interactions of 6-DEB with Native (A), A245S (B), and A245T (C) CYP107A1 are shown in the figure. Amino acids within 5 Å are shown in cyan. Substituted amino acid is colored orange. Dioxygen is shown as magenta, and water molecules as red spheres. Heme is shown in green, and substrate is shown in blue. Polar interactions are shown as red dashed lines. Amino acid residues are labelled according to their one-letter code. PDB code is displayed within brackets next to the respective P450 name. A list of all amino acid residues shown in this figure is represented in Table 5.
3.4. CYP107L1: Asp-50, Glu-85, and Glu-94 Play Pivotal Roles in the Substrate Access, Orientation, and Relocation within the Active Site
CYP107L1 is known for its substrate tolerance and for performing multiple hydroxylation’s on structurally diverse macrolides with the deoxyamino sugar desosamine [20,28]. Two of these steps include the hydroxylation of YC-17 at C10/C12 and at C12/C14 of narbomycin (Table 1) [20]. Interestingly, both substrates bind to the active site in similar orientations. However, the narbomycin deoxysugar C3′dimethylamino group forms a salt bridge with Glu-85 (Figure 6A), and YC-17 desosamine moiety C3′ forms a salt bridge with Glu-94 (Figure 6B). Interestingly, a comparative analysis of amino acid residues within the binding pocket of both open and closed conformations of CYP107L1 revealed that Glu-94 is present in the closed conformation only (Table 4). This indicates that CYP107L1 active site dynamics change when a substrate is bound within the binding pocket and incorporates Glu-94 to form a salt bridge with the substrate. Both substrates are surrounded by hydrophobic interactions with YC-17, securing the substrate further within the binding pocket.
Figure 6.
Substrate orientation within the active site of CYP107L1. (A) represents narbomycin and (B) represents YC-17. Amino acid residues sharing hydrophobic interactions are shown in orange. Amino acid residues with polar interactions are shown in cyan. Heme is shown in green, and substrates are shown in blue. Polar interactions are shown as red dashed lines. Amino acid residues are labelled according to their one-letter code. PDB code is displayed within brackets next to the respective P450 name. A list of all amino acid residues shown in this figure is represented in Table 5.
To further investigate the importance of these negatively charged residues in substrate anchoring, these amino acid residues were substituted with neutral amino acid residues. Aspartic acid was substituted with asparagine, and glutamic acid was substituted with glutamine [28]. These site-directed mutants showed decreased catalytic function. These experiments proved the salt bridge formation is critical for substrate anchoring and catalytic function [20,28]. In these mutants, narbomycin was found deeper in the binding pocket, similar to YC-17 in the wild-type enzyme (Figure 7A). The orientation of YC-17 in the mutant and the wild-type were exactly the same (Figure 7B). Removing the negative charge of aspartic acid located near the entrance of the binding pocket resulted in narbomycin moving further into the binding pocket as the ionic bond formed in the wild-type was consequently removed [28]. This indicated a two-step substrate binding mechanism. The substrate first binds to the surface binding pocket and then moves to the buried binding pocket [28]. Asp-50 appears to function as a gate for substrate access, Glu-85 may play a role in substrate relocation, and Glu-94 plays a major role in substrate orientation for effective catalysis [28].
Figure 7.
Analysis of substrate interactions with double mutants of CYP107L1. (A) represents D50N/E85Q mutant and narbomycin, and (B) represents D50N/E94Q and YC-17. Hydrophobic amino acid residues are shown in orange; polar interaction residues are shown in cyan. Polar interactions are shown as red dashed lines. Water molecules are shown as red spheres. Heme is shown as green, and substrates are shown as blue. Amino acid residues are labelled according to their one-letter code. PDB code is displayed within brackets next to the respective P450 name. A list of all amino acid residues shown in this figure is represented in Table 5.
3.5. CYP107BR1: Distant Amino Acids Cause Conformational Change and Consequently Increase Enzymatic Activity
CYP107BR1 performs a two-step hydroxylation reaction in the vitamin D3 synthesis pathway (Table 1) [23]. A quadruple mutant (Vdh-K1) of this P450 showed that random amino acid substitutions of four distant amino acids, namely T70R/V156L/E216M/E384R, that are not part of the binding pocket, resulted in increased enzyme activity (Figure 8) [23]. These substitutions led to conformational changes and shifted the P450 to a closed conformation, increasing the binding efficiency to its redox ferredoxin partner and, thus, the substrate [30]. The structure of CYP107BR1 bound with vitamin D3 revealed that the C25 position of the substrate is positioned very close to the heme iron; once C25 is hydroxylated, 25-hydroxyvitamin D3 is then bound to CYP107BR1, where the 3β-OH group is orientated close to the heme iron, which enables the 1α-hydroxylation step, as shown in Figure 8 [23]. The anti-parallel orientation indicates that this mutant is not functionally specialized. Ile-88 and Ile-150 were present in the closed conformation only (Table 4). Isoleucine is an aliphatic and hydrophobic amino acid that prefers to be buried in protein hydrophobic cores [50]. This amino acid, amongst others, is known to surround the aliphatic side chain and CD-rings of vitamin D3, thus explaining its addition to the closed conformation of this P450 (Figure 8) [23].
Figure 8.
Analysis of substrate orientation in the active site cavity of a quadruple mutant of CYP107BR1 (Vdh-K1). (A) represents vitamin D3, and (B) represents 25(OH)VD3. Amino acid residues within 5 Å are shown in orange, and substituted amino acid residues are shown in cyan. Water molecules are represented as red spheres. Heme is shown in green, and substrates are shown in blue. Amino acid residues are labelled according to their one-letter code. PDB code is displayed within brackets next to the respective P450 name. A list of all amino acid residues shown in this figure is represented in Table 5.
3.6. CYP107E1: Orientation of Substrate Sugar Moieties Determines Catalytic Function
CYP107E1 is a multi-functional P450 in the mycinamycin synthesis pathway, performing sequential hydroxylation and epoxidation reactions (Table 1) [19]. Mycinamycin IV (M-IV) and mycinamycin V (M-V) are native substrates of this P450 as opposed to mycinamycin III (M-III), which is the biosynthetic precursor [19]. M-III contains the monomethoxy sugar javose instead of dimethoxylated mycinose. Both M-IV and M-V are bound orthogonally to the heme, following a pattern of “mycinose-in and desosamine-out” [19], and the C-12-C14 was near the heme iron (Figure 9A,B). Gly-81, Leu-84, Gly-230, and Val-233 are part of the active site cavity of CYP107E1 in the closed conformation only (Table 4). Gly-81 and Leu-84 form hydrogen bonds with mycinamycin IV (Figure 9A), and Gly-81, Leu-84, and Val-233 formed hydrogen bonds with the substrate, mycinamycin V (Figure 9B). These substrates are known to have multiple interactions with the BC loop, FC loop, and I-helix of the P450 structure. Gly-81 and Leu-84 are found within the BC loop, and Val-233 is located in the I-helix, thus explaining the hydrogen bond interactions [19]. M-III is bound parallel to the heme plane following a pattern of “desosamine-in and javose-out” [19] and is buried more deeply in the binding pocket. However, consistent with the poor functional turnover of M-III, the reactive centers C-14 and C12–C13 are not exposed to the heme iron (Figure 9C). This indicates that javose is less preferable than mycinose as an initial recognition marker. For the substrate to reach a catalytically productive mode, mycinose instead of desosamine should lead the way [19].
Figure 9.
Substrate orientation within the active site of CYP107E1. (A) represents mycinamicin IV, (B) represents mycinamicin V, and (C) represents mycinamicin III. Amino acid residues within 5 Å are shown in orange, and amino acid residues sharing a polar interaction with the substrate are shown in cyan. Water molecules are represented as red spheres. Heme is shown in green, and substrates are shown in blue. Polar interactions are shown as red dashed lines. Amino acid residues are labelled according to their one-letter code. PDB code is displayed within brackets next to the respective P450 name. A list of all amino acid residues shown in this figure is represented in Table 5.
3.7. CYP107G1: Ala-241 and Gly-242 Are Involved in Substrate Anchoring
CYP107G1 can catalyze the specific oxidation C-27 in the pre-rapamycin macrolide molecule (Table 1) [21]. Everolimus is a clinical derivative of rapamycin; this substrate is bound compressed and perpendicular to the heme (Figure 10). Ala-241 and Gly-242 were found to be involved in anchoring the substrate to ensure the correct orientation for the reaction [21]. Leu-109 and Ile-154 were present in the closed conformation of this enzyme (Table 4). These hydrophobic residues may aid in anchoring the substrate once bound.
Figure 10.
Analysis of interaction of CYP107G1 with everolimus. Residues within 5 Å are shown in orange. Amino acid residues sharing a polar interaction with the substrate are shown in cyan. Amino acid residues involved in substrate anchoring are shown in magenta. The heme is shown in green, and the substrate is shown in blue. Amino acid residues are labelled according to their one-letter code. The polar interaction between substrate and amino acid residue is shown with red dashed lines. PDB code is displayed within brackets next to the respective P450 name. A list of all amino acid residues shown in this figure is represented in Table 5.
3.8. CYP107E6: Arg-81 and Arg-190 Play a Role in Substrate Orientation
CYP107E6, commonly known as P450revI, catalyzes the C18-hydroxylation of reveromycin T in the biosynthetic pathway of reveromycin A (RM-A), a promising lead compound with anti-osteoclastic activity (Table 1) [34]. The substrate binds to the active site where Arg-190 forms a salt bridge with the C1 carboxyl group, and Arg-81, which is located at the entrance of the binding pocket, forms a bifurcated hydrogen bond with the C5 hydroxyl and C24 carboxyl groups of the substrate (Figure 11) [34]. The oxygen atom of reveromycin T forms a water-mediated hydrogen bond (Figure 11) [34]. These interactions enable the correct substrate orientation, where C18 is positioned near the heme iron ready for catalysis to occur.
Figure 11.
Analysis of CYP107E6 interactions with reveromycin T. Amino acid residues sharing a hydrophobic interaction are shown in orange. Amino acid residues sharing a polar interaction with the substrate are shown in cyan. Water molecules are represented as red spheres. The heme is shown in green, and the substrate is shown in blue. Polar interactions are shown as red dashed lines. Amino acid residues are labelled according to their one-letter code. PDB code is displayed within brackets next to the respective P450 name. A list of all amino acid residues shown in this figure is represented in Table 5.
3.9. CYP107FH5: Steric and Hydrophobic Interactions with Phe-92, Leu-399, and Ile-400 Are Critical for the C-10 Hydroxylation Step in the Tirandamycin Pathway
CYP107FH5, commonly known as TamI, is a multi-functional P450 involved in the hydroxylation and epoxidation steps in the tirandamycin biosynthetic pathway (Table 1) [36]. This P450 performs a C10 hydroxylation, converting tirandamycin C to tirandamycin E, followed by a C11/C12 epoxidation, converting tirandamycin D to tirandamycin A, and finally, a C18 hydroxylation, converting tirandamycin A to tirandamycin B (Table 1) [36]. The second step of the pathway, i.e., conversion of tirandamycin E to tirandamycin D, is performed by the FAD-dependent oxidase, TamL [36].
CYP107FH5 performs the initial hydroxylation step on tirandamycin C to produce tirandamycin E. This substrate comfortably binds within the active site pocket with the oxidation site near the heme, surrounded by hydrophobic residues such as Val-42, Pro-43, Val-44, Phe-92, Val-185, and Ile-400 (Figure 12). Ser-397, Thr-398, and Leu-399 form hydrogen bonds with the substrate (Figure 12). Interestingly, substituting Ser-397 and Thr-398 resulted in no change in the substrate recognition or binding, proving that these polar interactions with the substrate were not responsible for substrate anchoring [36]. However, the mutation of Leu-399 along with Phe-92 and Ile-400, which are near the substrate’s polyene chain, resulted in decreased or complete loss of enzymatic activity due to a disturbance in substrate binding [36]. These data indicated that non-polar and steric interactions with the aromatic and hydrophobic residues Leu-399, Ile-400, and Phe-92 are required for the correct orientation of the substrate in relation to the heme-iron and are thus essential for the C-10 hydroxylation reaction to occur [36].
Figure 12.
Analysis of CYP107FH5 interactions with tirandamycin C. Amino acid residues sharing a hydrophobic interaction are shown in orange. Amino acid residues sharing a polar interaction with the substrate are shown in cyan. Heme is shown in green, and substrate is shown in blue. Polar interactions are shown as red dashed lines. Amino acid residues are labelled according to their one-letter code. PDB code is displayed within brackets next to the respective P450 name. A list of all amino acid residues shown in this figure is represented in Table 5.
4. Conclusions
Understanding the structure–function relationship between a protein and its ligands is critical in designing novel enzymes with potential biotechnological applications. The availability of numerous protein crystal structures with many bound ligands is ideal for achieving this goal. The present study attempts to apply this strategy to the P450 superfamily, focusing on multifunctional and catalytically diverse P450 family CYP107.
Members of the CYP107 family are well-known for their capacity to perform oxidation and epoxidation reactions on various substrates of pharmaceutical and biotechnological importance. These multifunctional P450s are typically integrated into natural metabolite biosynthetic gene clusters, particularly in macrolide antibiotic gene clusters, and undertake oxidative tailoring processes to increase efficacy or attribute structural diversity to natural metabolites. The CYP107 proteins studied typically have a large and flexible active site to handle larger and multiple substrates. Structure–function analysis revealed that the size of the substrate carbon skeleton can eject water molecules from the active site, potentially making room for a larger substrate. Additionally, the type of sugar moiety attached to the substrate backbone determines the correct orientation within the binding pocket and impacts catalytic performance. Furthermore, homotropic cooperativity for steroids and PAH and I-helix flexibility is observed for CYP107 enzymes. Amino acids within the binding pocket are shown to be involved in substrate anchoring and orientation. Finally, some residues formed critical salt bridges or hydrophobic interactions, or were engaged in proton shuttle systems in specific CYP107s to ensure that catalysis could occur. These polar and hydrophobic interactions forced the substrate to remain in a specific location within the binding pocket. They ensured that the oxidation site of the substrate was placed near the heme iron for the catalytic reaction to proceed. Amino acid dynamics and site-directed mutagenesis work revealed critical amino acid substitutions that interacted with the substrate.
Interestingly, research on CYP107BR1 found that distant amino acid residues not located within the substrate binding region may also alter P450 function. To our knowledge, CYP107A1 is still the only P450 in the 107 family that lacks the conserved threonine residue. Instead, it has an alanine residue, which has been proven critical in the function of CYP107A1. CYP107 members were found to be highly flexible concerning their adaptable and large active site that allows access to various substrates. When various-sized substrates were bound, the hydrophobic regions inside the active site changed to accommodate the particular substrate, demonstrating their flexibility and tendency to interact with it. RMSD values between open and closed conformations revealed that the amino acid residues considerably shifted when an elongated substrate was bound within the active site. Its dynamic behavior is comparable to well-studied P450s such as CYP102 and CYP109.
This study provides comprehensive information on CYP107 family members’ structure–function analysis and highlights the active site cavity dynamics and amino acids’ role in catalysis. This work will act as a further guide to future genetic engineering of CYP107 enzymes to produce novel molecules of medical and biotechnological interest.
Author Contributions
Conceptualization, K.S.; methodology, T.P., D.C.L., D.R.N. and K.S.; software, T.P., D.C.L., D.R.N. and K.S.; validation, T.P., D.C.L., D.R.N. and K.S.; formal analysis, T.P., D.C.L., D.R.N. and K.S.; investigation, T.P., D.C.L., D.R.N. and K.S.; resources, T.P., D.C.L., D.R.N. and K.S.; data curation, T.P., D.C.L., D.R.N. and K.S.; writing—original draft preparation, T.P., D.C.L., D.R.N. and K.S.; writing—review and editing, T.P., D.C.L., D.R.N. and K.S.; visualization, T.P., D.C.L., D.R.N. and K.S.; supervision, K.S.; project administration, K.S.; funding acquisition, K.S. All authors have read and agreed to the published version of the manuscript.
Funding
Khajamohiddin Syed expresses sincere gratitude to the University of Zululand (Grant number P419), and Tiara Padayachee thanks the National Research Foundation (NRF), South Africa, for postgraduate scholarships (grant number MND210504599108).
Institutional Review Board Statement
Not applicable.
Informed Consent Statement
Not applicable.
Data Availability Statement
Data are contained within the article.
Conflicts of Interest
The authors declare no conflict of interest, and the funders had no role in the study’s design; in the collection, analyses, or interpretation of data; in the writing of the manuscript; or in the decision to publish the results.
References
- Zondo, N.M.; Padayachee, T.; Nelson, D.R.; Syed, K. Saprophytic to pathogenic mycobacteria: Loss of cytochrome P450s vis a vis their prominent involvement in natural metabolite biosynthesis. Int. J. Mol. Sci. 2022, 24, 149. [Google Scholar] [CrossRef]
- Msweli, S.; Chonco, A.; Msweli, L.; Syed, P.R.; Karpoormath, R.; Chen, W.; Gront, D.; Nkosi, B.V.Z.; Nelson, D.R.; Syed, K. Lifestyles shape the cytochrome P450 repertoire of the Bacterial phylum Proteobacteria. Int. J. Mol. Sci. 2022, 23, 5821. [Google Scholar] [CrossRef] [PubMed]
- Nkosi, B.V.Z.; Padayachee, T.; Gront, D.; Nelson, D.R.; Syed, K. Contrasting health effects of Bacteroidetes and Firmicutes lies in their genomes: Analysis of P450s, ferredoxins, and secondary metabolite clusters. Int. J. Mol. Sci. 2022, 23, 5057. [Google Scholar] [CrossRef]
- Malinga, N.A.; Nzuza, N.; Padayachee, T.; Syed, P.R.; Karpoormath, R.; Gront, D.; Nelson, D.R.; Syed, K. An unprecedented number of cytochrome P450s are involved in secondary metabolism in Salinispora Species. Microorganisms 2022, 10, 871. [Google Scholar] [CrossRef] [PubMed]
- Podust, L.M.; Sherman, D.H. Diversity of P450 enzymes in the biosynthesis of natural products. Nat. Prod. Rep. 2012, 29, 1251–1266. [Google Scholar] [CrossRef]
- Greule, A.; Stok, J.E.; De Voss, J.J.; Cryle, M.J. Unrivalled diversity: The many roles and reactions of bacterial cytochromes P450 in secondary metabolism. Nat. Prod. Rep. 2018, 35, 757–791. [Google Scholar] [CrossRef] [PubMed]
- Li, Z.; Jiang, Y.; Guengerich, F.P.; Ma, L.; Li, S.; Zhang, W. Engineering cytochrome P450 enzyme systems for biomedical and biotechnological applications. J. Biol. Chem. 2020, 295, 833–849. [Google Scholar] [CrossRef]
- Urlacher, V.B.; Girhard, M. Cytochrome P450 monooxygenases in biotechnology and synthetic biology. Trends Biotechnol. 2019, 37, 882–897. [Google Scholar] [CrossRef]
- Girvan, H.M.; Munro, A.W. Applications of microbial cytochrome P450 enzymes in biotechnology and synthetic biology. Curr. Opin. Chem. Biol. 2016, 31, 136–145. [Google Scholar] [CrossRef]
- Kelly, S.L.; Kelly, D.E. Microbial cytochromes P450: Biodiversity and biotechnology. Where do cytochromes P450 come from, what do they do and what can they do for us? Philos. Trans. R. Soc. London. Ser. B Biol. Sci. 2013, 368, 20120476. [Google Scholar] [CrossRef]
- Lepesheva, G.I.; Friggeri, L.; Waterman, M.R. CYP51 as drug targets for fungi and protozoan parasites: Past, present and future. Parasitology 2018, 145, 1820–1836. [Google Scholar] [CrossRef] [PubMed]
- Jawallapersand, P.; Mashele, S.S.; Kovacic, L.; Stojan, J.; Komel, R.; Pakala, S.B.; Krasevec, N.; Syed, K. Cytochrome P450 monooxygenase CYP53 family in fungi: Comparative structural and evolutionary analysis and its role as a common alternative anti-fungal drug target. PLoS ONE 2014, 9, e107209. [Google Scholar] [CrossRef] [PubMed]
- Nelson, D.R. Cytochrome P450 nomenclature, 2004. In Methods in Molecular Biology; Spring: Berlin/Heidelberg, Germany, 2006; Volume 320, pp. 1–10. [Google Scholar] [CrossRef]
- Ngcobo, P.E.; Nkosi, B.V.Z.; Chen, W.; Nelson, D.R.; Syed, K. Evolution of cytochrome P450 enzymes and their redox partners in Archaea. Int. J. Mol. Sci. 2023, 24, 4161. [Google Scholar] [CrossRef] [PubMed]
- Mnguni, F.C.; Padayachee, T.; Chen, W.; Gront, D.; Yu, J.-H.; Nelson, D.R.; Syed, K. More P450s are involved in secondary metabolite biosynthesis in Streptomyces compared to Bacillus, Cyanobacteria and Mycobacterium. Int. J. Mol. Sci. 2020, 21, 4814. [Google Scholar] [CrossRef] [PubMed]
- Padayachee, T.; Nzuza, N.; Chen, W.; Nelson, D.R.; Syed, K. impact of lifestyle on cytochrome P450 monooxygenase repertoire is clearly evident in the bacterial phylum Firmicutes. Sci. Rep. 2020, 10, 13982. [Google Scholar] [CrossRef] [PubMed]
- de Lima Procópio, R.E.; da Silva, I.R.; Martins, M.K.; de Azevedo, J.L.; de Araújo, J.M. Antibiotics produced by Streptomyces. Braz. J. Infect. Dis. 2012, 16, 466–471. [Google Scholar] [CrossRef] [PubMed]
- Cupp-Vickery, J.R.; Poulos, T.L. Structure of cytochrome P450eryF involved in erythromycin biosynthesis. Nat. Struct. Biol. 1995, 2, 144–153. [Google Scholar] [CrossRef]
- Li, S.; Tietz, D.R.; Rutaganira, F.U.; Kells, P.M.; Anzai, Y.; Kato, F.; Pochapsky, T.C.; Sherman, D.H.; Podust, L.M. Substrate recognition by the multifunctional cytochrome P450 MycG in mycinamicin hydroxylation and epoxidation reactions. J. Biol. Chem. 2012, 287, 37880–37890. [Google Scholar] [CrossRef]
- Sherman, D.H.; Li, S.; Yermalitskaya, L.V.; Kim, Y.; Smith, J.A.; Waterman, M.R.; Podust, L.M. The structural basis for substrate anchoring, active site selectivity, and product formation by P450 PikC from Streptomyces venezuelae. J. Biol. Chem. 2006, 281, 26289–26297. [Google Scholar] [CrossRef]
- Kim, V.; Lim, Y.R.; Lee, I.; Lee, J.H.; Han, S.; Pham, T.V.; Kim, H.; Lee, R.; Kang, L.W.; Kim, D. Structural insights into CYP107G1 from rapamycin-producing Streptomyces rapamycinicus. Arch. Biochem. Biophys. 2020, 692, 108544. [Google Scholar] [CrossRef]
- Cryle, M.J.; Schlichting, I. Structural insights from a P450 Carrier Protein complex reveal how specificity is achieved in the P450(BioI) ACP complex. Proc. Natl. Acad. Sci. USA 2008, 105, 15696–15701. [Google Scholar] [CrossRef] [PubMed]
- Yasutake, Y.; Fujii, Y.; Nishioka, T.; Cheon, W.K.; Arisawa, A.; Tamura, T. Structural evidence for enhancement of sequential vitamin D3 hydroxylation activities by directed evolution of cytochrome P450 vitamin D3 hydroxylase. J. Biol. Chem. 2010, 285, 31193–31201. [Google Scholar] [CrossRef] [PubMed]
- Cupp-Vickery, J.; Anderson, R.; Hatziris, Z. Crystal structures of ligand complexes of P450eryF exhibiting homotropic cooperativity. Proc. Natl. Acad. Sci. USA 2000, 97, 3050–3055. [Google Scholar] [CrossRef] [PubMed]
- Cupp-Vickery, J.R.; Garcia, C.; Hofacre, A.; McGee-Estrada, K. Ketoconazole-induced conformational changes in the active site of cytochrome P450eryF. J. Mol. Biol. 2001, 311, 101–110. [Google Scholar] [CrossRef] [PubMed]
- Nagano, S.; Cupp-Vickery, J.R.; Poulos, T.L. Crystal structures of the ferrous dioxygen complex of wild-type cytochrome P450eryF and its mutants, A245S and A245T: Investigation of the proton transfer system in P450eryF. J. Biol. Chem. 2005, 280, 22102–22107. [Google Scholar] [CrossRef]
- Tian, Z.; Cheng, Q.; Yoshimoto, F.K.; Lei, L.; Lamb, D.C.; Guengerich, F.P. Cytochrome P450 107U1 is required for sporulation and antibiotic production in Streptomyces coelicolor. Arch. Biochem. Biophys. 2013, 530, 101–107. [Google Scholar] [CrossRef]
- Li, S.; Ouellet, H.; Sherman, D.H.; Podust, L.M. Analysis of transient and catalytic desosamine-binding pockets in cytochrome P-450 PikC from Streptomyces venezuelae. J. Biol. Chem. 2009, 284, 5723–5730. [Google Scholar] [CrossRef]
- Yasutake, Y.; Nishioka, T.; Imoto, N.; Tamura, T. A single mutation at the ferredoxin binding site of P450 Vdh enables efficient biocatalytic production of 25-hydroxyvitamin D(3). Chembiochem 2013, 14, 2284–2291. [Google Scholar] [CrossRef]
- Yasutake, Y.; Kameda, T.; Tamura, T. Structural insights into the mechanism of the drastic changes in enzymatic activity of the cytochrome P450 vitamin D(3) hydroxylase (CYP107BR1) caused by a mutation distant from the active site. Acta Crystallogr. Sect. F Struct. Biol. Commun. 2017, 73, 266–275. [Google Scholar] [CrossRef]
- Zhang, H.; Chen, J.; Wang, H.; Xie, Y.; Ju, J.; Yan, Y.; Zhang, H. Structural analysis of HmtT and HmtN involved in the tailoring steps of himastatin biosynthesis. FEBS Lett. 2013, 587, 1675–1680. [Google Scholar] [CrossRef]
- Arisawa, A.; Tsunekawa, H.; Okamura, K.; Okamoto, R. Nucleotide sequence analysis of the carbomycin biosynthetic genes including the 3-O-acyltransferase gene from Streptomyces thermotolerans. Biosci. Biotechnol. Biochem. 1995, 59, 582–588. [Google Scholar] [CrossRef] [PubMed]
- Ashy, M.A.; Khalil, A.E.; Abou-Zeid, A.A. Carbomycin, a macrolide antibiotic. Zentralblatt Bakteriol.Parasitenkd. Infekt. Hygiene. Zweite Naturwissenschaftliche Abt. Mikrobiol. Landwirtsch. Technol. Umweltschutzes 1980, 135, 541–551. [Google Scholar] [CrossRef] [PubMed]
- Takahashi, S.; Nagano, S.; Nogawa, T.; Kanoh, N.; Uramoto, M.; Kawatani, M.; Shimizu, T.; Miyazawa, T.; Shiro, Y.; Osada, H. Structure-function analyses of cytochrome P450revI involved in reveromycin A biosynthesis and evaluation of the biological activity of its substrate, reveromycin T. J. Biol. Chem. 2014, 289, 32446–32458. [Google Scholar] [CrossRef] [PubMed]
- Han, S.; Pham, T.V.; Kim, J.H.; Lim, Y.R.; Park, H.G.; Cha, G.S.; Yun, C.H.; Chun, Y.J.; Kang, L.W.; Kim, D. Functional characterization of CYP107W1 from Streptomyces avermitilis and biosynthesis of macrolide oligomycin A. Arch. Biochem. Biophys. 2015, 575, 1–7. [Google Scholar] [CrossRef]
- Newmister, S.A.; Srivastava, K.R.; Espinoza, R.V.; Haatveit, K.C.; Khatri, Y.; Martini, R.M.; Garcia-Borràs, M.; Podust, L.M.; Houk, K.N.; Sherman, D.H. Molecular Basis of Iterative C─H Oxidation by TamI, a Multifunctional P450 monooxygenase from the Tirandamycin Biosynthetic Pathway. ACS Catal. 2020, 10, 13445–13454. [Google Scholar] [CrossRef]
- Li, F.; Ma, L.; Zhang, X.; Chen, J.; Qi, F.; Huang, Y.; Qu, Z.; Yao, L.; Zhang, W.; Kim, E.S.; et al. Structure-guided manipulation of the regioselectivity of the cyclosporine A hydroxylase CYP-sb21 from Sebekia benihana. Synth. Syst. Biotechnol. 2020, 5, 236–243. [Google Scholar] [CrossRef]
- Lin, S.; Ma, B.; Gao, Q.; Yang, J.; Lai, G.; Lin, R.; Yang, B.; Han, B.N.; Xu, L.H. The 16α-Hydroxylation of Progesterone by Cytochrome P450 107X1 from Streptomyces avermitilis. Chem. Biodivers. 2022, 19, e202200177. [Google Scholar] [CrossRef]
- Sirim, D.; Widmann, M.; Wagner, F.; Pleiss, J. Prediction and analysis of the modular structure of cytochrome P450 monooxygenases. BMC Struct. Biol. 2010, 10, 34. [Google Scholar] [CrossRef]
- Gotoh, O. Substrate recognition sites in cytochrome P450 family 2 (CYP2) proteins inferred from comparative analyses of amino acid and coding nucleotide sequences. J. Biol. Chem. 1992, 267, 83–90. [Google Scholar] [CrossRef]
- Denisov, I.G.; Frank, D.J.; Sligar, S.G. Cooperative properties of cytochromes P450. Pharmacol. Ther. 2009, 124, 151–167. [Google Scholar] [CrossRef]
- Zhang, W.; Liu, Y.; Yan, J.; Cao, S.; Bai, F.; Yang, Y.; Huang, S.; Yao, L.; Anzai, Y.; Kato, F.; et al. New reactions and products resulting from alternative interactions between the P450 enzyme and redox partners. J. Am. Chem. Soc. 2014, 136, 3640–3646. [Google Scholar] [CrossRef] [PubMed]
- Berman, H.M.; Westbrook, J.; Feng, Z.; Gilliland, G.; Bhat, T.N.; Weissig, H.; Shindyalov, I.N.; Bourne, P.E. The Protein Data Bank. Nucleic Acids Res. 2000, 28, 235–242. [Google Scholar] [CrossRef] [PubMed]
- Binkowski, T.A.; Naghibzadeh, S.; Liang, J. CASTp: Computed Atlas of Surface Topography of proteins. Nucleic Acids Res. 2003, 31, 3352–3355. [Google Scholar] [CrossRef] [PubMed]
- Schrödinger, L.D. The PyMOL Molecular Graphics System, Version 2.0; Schrödinger, LLC.: New York, NY, USA, 2020. [Google Scholar]
- Urban, P.; Lautier, T.; Pompon, D.; Truan, G. Ligand Access Channels in Cytochrome P450 Enzymes: A Review. Int. J. Mol. Sci. 2018, 19, 1617. [Google Scholar] [CrossRef] [PubMed]
- Gay, S.C.; Roberts, A.G.; Halpert, J.R. Structural features of cytochromes P450 and ligands that affect drug metabolism as revealed by X-ray crystallography and NMR. Future Med. Chem. 2010, 2, 1451–1468. [Google Scholar] [CrossRef]
- Ahmed, S.; Smith, J.H.; Nicholls, P.J.; Whomsley, R.; Cariuk, P. Synthesis and biological evaluation of imidazole based compounds as cytochrome P-450 inhibitors. Drug Des. Discov. 1995, 13, 27–41. [Google Scholar]
- Gerber, N.C.; Sligar, S.G. A role for Asp-251 in cytochrome P-450cam oxygen activation. J. Biol. Chem. 1994, 269, 4260–4266. [Google Scholar] [CrossRef]
- Betts, M.J.; Russell, R.B. Amino Acid Properties and Consequences of Substitutions. In Bioinformatics for Geneticists; Barnes, M.R., Gray, I.C., Eds.; John Wiley & Sons, Ltd.: Hoboken, NJ, USA, 2003; pp. 289–316. [Google Scholar]
Disclaimer/Publisher’s Note: The statements, opinions and data contained in all publications are solely those of the individual author(s) and contributor(s) and not of MDPI and/or the editor(s). MDPI and/or the editor(s) disclaim responsibility for any injury to people or property resulting from any ideas, methods, instructions or products referred to in the content. |
© 2023 by the authors. Licensee MDPI, Basel, Switzerland. This article is an open access article distributed under the terms and conditions of the Creative Commons Attribution (CC BY) license (https://creativecommons.org/licenses/by/4.0/).


















