Abstract
The systematic study of Super-Deformed (SD) bands in the mass region has been performed. We observed a large number of pairs of SD bands, with different mass numbers, having transition energies nearly equal (within 3 keV) and having identical dynamic moments of inertia. The bands having nearly equal transitions energies and other parameters are called identical bands. We have performed detailed analysis and found 16 pairs of Super-Deformed Identical Bands (SDIBs) whose energies and moment of inertia are in good agreement with each other. The modified Variable Moment of Inertia (VMI) model is applied to 16 pairs of SDIBs to estimate the band spins by fitting the two parameters and C. We found that out of 16 pairs, the band-head spin is consistent with moment of inertia and transition energies for four pairs. For another seven pairs, the transition energies and moment of inertia are identical, but originate from levels with different spins. The remaining five pairs have the identical energy but spins are either increasing or decreasing by one unit in the pair. Secondly, the scheme is applied to verify the existence of SDIBs. The parameters deduced from the scheme are also in good agreement for the mentioned case. The study indicates that each pair of conjugate nuclei have nearly identical spin, moment of inertia (dynamic) and gamma transition energy.
1. Introduction
Over the past two decades, the study of Super-Deformed (SD) nuclei has been one of the most important and exciting topics in nuclear structure studies. The discovery of multiple SD bands within one nucleus has opened up the possibility of learning the nuclear structure of SD nuclei in great details. Physicists performed a series of experiments to understand them, but only a general understanding of the Super-Deformed Rotational Bands (SDRBs) has been achieved. Although a large number of SD bands were studied in different mass regions, namely and 240 of the nuclear chart, there are still many open unexpected problems that exist. It is very surprising to note that from last decade, no new major experimental work has been reported in this area. Super deformation at high angular momentum is one of the most challenging and interesting topics for both theoreticians and experimentalists. The unexpected features observed in SD bands are used to estimate the band-head spin and level spins, which is still an open challenge. Several theoretical fitting procedures for spin assignment were proposed by many authors [1,2,3,4,5,6,7,8,9,10,11]. We have also developed a simple model in the same direction to predict the spins in different mass regions of SD nuclei in our previous works [12,13,14,15].
The fascinating phenomenon of Identical Bands (IBs) was first discovered in 1990 in Normal-Deformed (ND) bands, which initialized many experimental as well as theoretical studies [16,17,18]. The first pair of SD identical bands was an excited band in Tb, whose -ray energies were identical to the yrast band of Dy [18,19]. Later identical bands were found in Hg nuclei [20,21]. Since then, many IBs were observed at both low and high spins. In recent years, there have been a lot of work presented to observe IBs both in ND and SD nuclei [22,23,24,25,26,27,28,29]. During experimental investigation, it was noticed that the occurrence of IBs is much more frequent in SD nuclei as compared to ND nuclei, and the reason for this was attributed to the difference in pairing properties between SD and ND nuclei [30]. In 1997, an identical band in Hg is specifically given by Ref. [31]. The cranked Nilsson–Strutinsky model was used to study the occurrence of IBs [17] in Super-Deformed nuclei, but it has certain disadvantages. Later, the description of Super-Deformed identical bands of odd-A nuclei in the mass region has been investigated using a super symmetry approach [32]. Further, Reflection Asymmetric Shell Model (RASM) was used for theoretical simulation of IBs for both SD and ND nuclei [33]. Some of the identical SD band pairs are analysed using the Nuclear Softness (NS) formula [34]. The term identical band is defined using energy factor method as two different nuclei having nearly same transition energies within keV and a nearly identical (dynamic) moment of inertia [35,36]. We have also employed the same method to define IBs in the present study. The purpose of present study is to make a theoretical simulation for a systematic study of IBs by estimating the band-head and level spins, along with transition energies and (dynamic) moment of inertia in the mass region, which has not been obtained yet. We analysed the identical bands by using the modified Variable Moment of Inertia (VMI) model. Quantitatively good results of -ray energies, spins and moment of inertia are reported in this paper.
The paper is organised as follows: a brief description of our approach to assign the band-head spin of SD bands is presented in Section 2. Section 3 is devoted to explaining the identical band parameters for the selected case. In Section 4, we present the calculations, results and discussion for IBs in the mass region for SD nuclei. Finally, a conclusion is given in Section 5.
2. A Brief Description of the VMI Model
The complete VMI model is described in Refs. [12,37,38]. The band energy levels of a rotational band are represented as:
where is the band-head energy of the rotational band and is the band-head spin. In the plot of RMS deviation versus spin, the smallest deviation for the particular spin is considered as the band-head spin . The energy level for , the ground-state bands in even–even nuclei, is represented as:
The cubic equation is taken from the VMI model. This cubic equation has one real root for any finite positive value of and C. The cubic equation is given as:
The transition energy for SD band is defined as [14]:
In this equation, the parameters and C are determined by fitting the experimentally known transition energies by using the Best-Fit Method (BFM).
The Root Mean Square Deviation (RMSD) of the calculated transition energies for different values are calculated. The RMSD value is lowest for the correct band-head spin value of a band. If shifts away from the correct value by , a rapid shift in RMSD is observed. The RMSD is defined as [13,14]:
where n is the total number of transitions involved in the fitting. If is known, then all the level spin values of the SD band can be determined easily. The purpose of estimating the spins is to identify the identical bands in a new way, i.e., on the basis of spin along with transition energies and dynamic moment of inertia in the mass region. A total of 16 SD pairs are reported in this paper.
For all 16 pairs, the transition energies and (dynamic) moment of inertia are identical, yet the challenge is the band-head spin, which is not identical in all 16 pairs and discussed as follows:
- (i)
- For the first four pairs, the band-head spin is consistent;
- (ii)
- For the next seven pairs, the bands originate from the levels with different spins, so band-head spin is different for two nuclei.
- (iii)
- For the last 5 pairs, the spins are either increasing or decreasing by one unit in the pair.
To find the rotational frequency , the kinematic and dynamic moment of inertia [12,37,38], we have differentiated Equations (2) and (3) with respect to . Using the chain rule, we can extract and from their definitions as:
The moment of inertia is a direct measure of the transition energies, while is obtained from differences in transitions energies (relative change in transition energies). The dynamic moment of inertia is plotted with () rotational frequency to confirm the identical bands for SD nuclei.
3. Identical Bands Parameters
The proton bosons and neutron bosons are assigned as an intrinsic quantum number on the basis of the concept of F-spin [39], , with projection for proton bosons and for neutron bosons.
Therefore, a certain nucleus is then characterized by two quantum numbers,
and
On squaring and subtracting, these yield
In nuclear structure, the product is used for the classification of the transitional region [24,40,41,42]. Saha and Sen [25] also considered that the moment of inertia has a simple dependence on the product of valence proton and neutron numbers written in the form:
where SF and SP are known as the structure factor and saturation parameter. They are given as:
and
computed by taking
Here, and are the valence nucleons, which are counted from the nearest closed shell. The low spin dynamic moment of inertia is also defined as:
where shows an approximate dependence on structure factor as,
The structure factor is not only related to the absolute value of the ground state moment of inertia, but also to its angular momentum. Furthermore, it was given [22,43,44,45] that the development of collectivity and deformation in medium and heavy nuclei is very smoothly parametrized by the P-factor. It is defined as:
The P-factor can be taken as the ratio of the number of valence n-p residual interactions to the number of valence like nucleon-pairing interactions, or, if the n-p and pairing interactions are orbit-independent, then P is proportional to the ratio of the integrated n-p interaction strength. With the help of all the above parameter calculations, the identical bands are verified for Super-Deformed nuclei.
4. Results
In the present paper, we have presented a total of 16 pairs of SDIBs bands in the mass region. The experimental data for SD bands in this region have been taken from the ENSDF and XUNDL databases [46]. One challenging and interesting study is to predict the correct band-head spin and transition energies. However, physicists proposed several theoretical procedures to estimate the band-head spin, and the reason for this is the absence of linkage with normal bands.
We have also carried out the calculations to estimate the band-head spin for the SD bands in the mass region using a modified VMI model. The results are presented in Table 1. In Table 1, we reported the details of the two important parameters and C that are obtained after fitting the VMI equations. The last two columns give the experimental band-head spin and estimated band-head spin for the 16 pairs of SD bands in the mass region. It is surprising to note that the band-head spin for these 16 pairs of identical bands in SD nuclei are experimentally available.
Table 1.
Experimental and estimated band-head spin for identical bands in SD nuclei, along with the stiffness constant and band-head moment of inertia used in the fitting procedure, are given. A total of 16 SD band pairs for Hg, Pb, Tl, and Bi have been fitted by using the VMI equation, where b1, b2, b3, b4, b5 and b6 represent band1, band2, band3, band4, band5 and band6, respectively. The fitted parameters within a pair are the same, except for one or two cases.
We have plotted the RMS deviation versus spin, showing the smallest deviation for the particular spin called band-head spin . The results are encouraging and reflect the suitability of model in predicting the band-head spin for SD bands in the mass region. The plots are shown in Figure 1. In Figure 1, we have shown only two pairs as illustration one [Hg(b2),Pb(b3)] in which both the bands in the pair have same spin value, i.e., , which means that the band-head spin in a particular pair has identical value. The same is performed for another pair [Au(b2),Tl(b1)] where we found for [Au(b2)] and for [Tl(b1)], which depicts that band-head spins are in good agreement with the experimental value, although are inconsistent with each other within the pair. The band-head spin for all 16 pairs are thus calculated and verified with experimental values.
Figure 1.
The RMS deviation plots for spin assignments in the [, ] pair and the [, ] pair are shown. The band-head spins predicted using VMI equation is in agreement with the experimentally known band-head spins for both pairs. For the [, ] pair, the estimated band-head spin is consistent, while for the [, ] pair, the estimated band-head spin is different. is the spin value prescribed to the lowest level observed.
In Table 2, Table 3 and Table 4, we presented the detailed results of a model where all the known -transition energies, calculated transition energies, estimated spins along with moment of inertia of SD bands have been listed. We shall now present the main findings from our calculations:
Table 2.
A total of 4 pairs of SDIB are presented. Band-head moment of inertia, estimated spins, experimental transition energies and calculated transition energies for the mass region are given for the SDIB in which all the parameters are identical.
Table 3.
A total of 7 SDIB pairs are reported. The transition energies are identical for all the pairs, but the pairs originate from levels with different band-head spins. Furthermore, the difference in transition energies keeps on increasing with spins.
Table 4.
A total of 5 SDIBs are given in which band-head spins are not identical with each other. They differ by either one or two spins. The transition energies are consistent with each other in a pair along with band-head moment of inertia, but the energies matches either at one increasing or one decreasing spin.
(i) In Table 2, we first mention four pairs of SDIBs in which moment of inertia, spins and -transition energies, all are identical to each other within the pair. The important finding is that in our cases, the spins for the conjugate nuclei is also identical, not just the moment of inertia and -transition energies as mentioned by authors in earlier works to define identical bands [32,34]. Furthermore, it is noticeable that the experimental -energies are in good agreement with the calculated -energies;
(ii) In Table 3, next, seven pairs of SDIBs are reported, in which the moment of inertia and the -transition energies have good consistency with the same spin, although the band-head is different within the pair. For example, in Hg(b2), the estimated spin has energy 241 keV, which is compatible with the energy 242 keV at spin for Hg(b2), but the band-head spin for Hg(b2) is 10 while band-head spin for Hg(b2) is 12. These bands do not originate from the same spin value. On comparison of the transition energy from the identical spin, they are in good agreement with each other within the pair. For an identical band, the two different nuclei must have nearly same transition energies within keV, while the cases mentioned in Table 3 show that the transition energies for the two different nuclei are within keV initially, and the difference keeps on increasing as we go towards a higher spin in most cases;
(iii) In Table 4, we have presented the remaining five pairs of SDIBs in which the moment of inertia and experimental transition energies have good agreement with each other within the pair, but the band-head spins are not identical for the transition energies. For example, in the case of Au(b2), the band-head spin is at , while in Tl(b1) the band-head spin is at . There are two different band-head spin values, but if we compare the energies of these two bands, the energy at spin is 398 keV tentatively matches with the energy of 399 keV at spin , as shown in Figure 1. Thus, these are the cases where the spin values are not identical within the pair and are either increasing or decreasing by one unit; however, they can be considered identical on the basis of transition energies and moment of inertia.
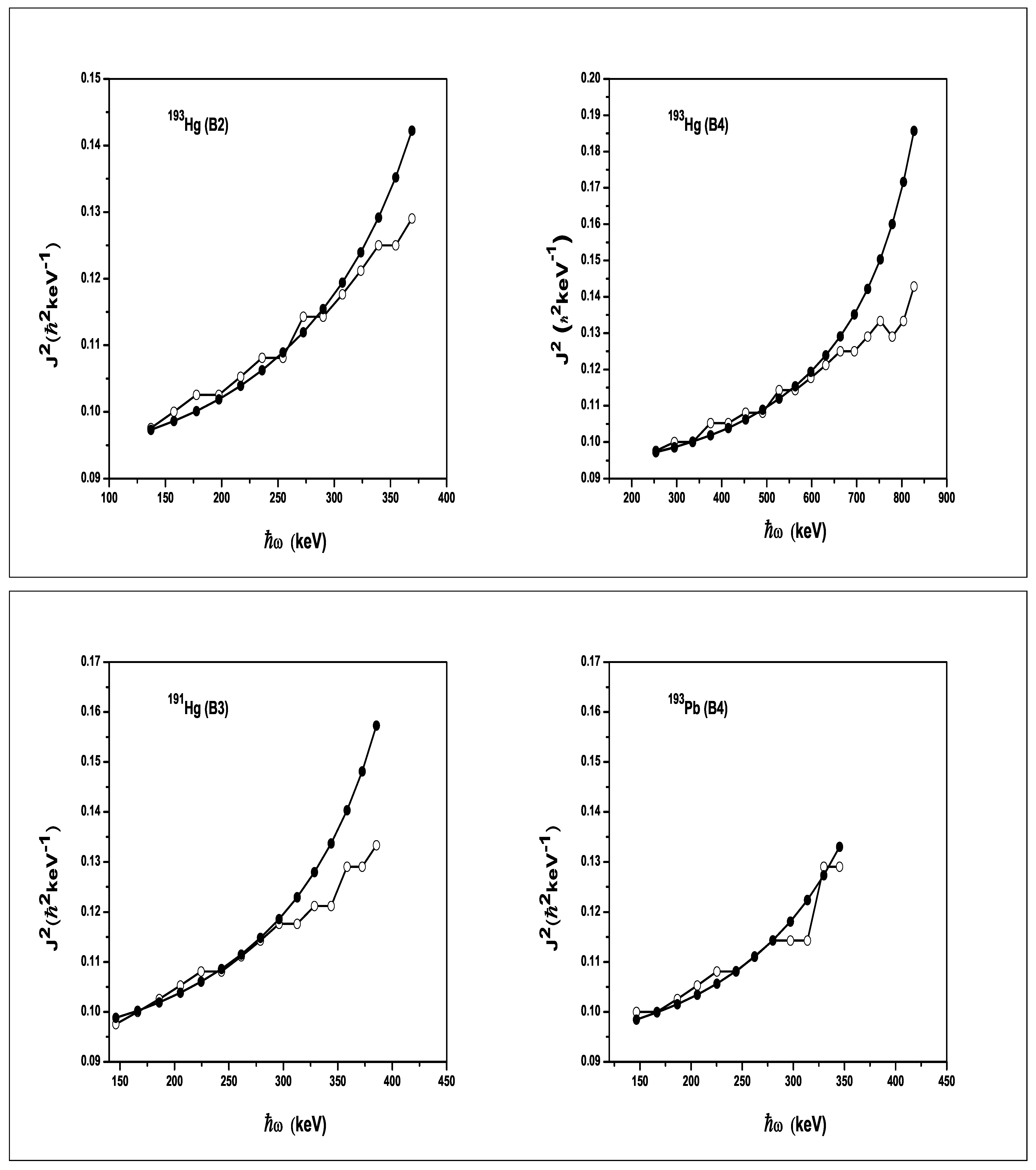
In Figure 2 and Figure 3, the dynamic moment of inertia is plotted with respect to the rotational frequency . From Figure 2, it is observed that, in most of the cases, there is a good agreement in experimental and calculated dynamic moment of inertia. Furthermore, the (calculated) dynamic moment of inertia shows the same behaviour within the pair.

Figure 2.
Experimental and theoretical dynamic moment of inertia plots with rotational frequency for the 4 pairs of SDIBs are presented. The plots show a good agreement between two isotopes in most of the cases. The circle represents the experimental values and the solid circle represents the theoretical values.



Figure 3.
Experimental and theoretical dynamic moments of inertia are plotted with rotational frequency for 7 pairs of SDIBs. The plots show inconsistency between two isotopes in most of the cases. The cases mentioned have a band-head spin difference of one or two spins. The circle represents the experimental values and the solid circle represents the theoretical values.
It is very clear from Figure 2 and Figure 3 that the model reproduces the experimental trend of the moment of inertia in the low frequency region; however, the trend deviates largely at the high frequency region with the theoretical trend of the moment of inertia . The modified VMI model is mainly composed of two term, the potential energy term and rotational energy term, and it does not contain any Coriolis effect in the calculations. Hence, the VMI model reproduces the generic rotational properties of identical SD bands very well. Since the band-head moment of inertia intimately depends upon the intrinsic structure of rotational bands, it was mentioned that for truly identical bands, it seems necessary that both bands must have the same moment of inertia. Thus, in Figure 2 and Figure 3, the theoretical values of the moment of inertia in the A = 190 mass region display the same smooth rise in the dynamic moment of inertia with an increasing rotational frequency, while the experimental plot shows a staggering pattern, and not a smooth rise, in most of the cases. The two plots (experimental and calculated) will have good matching when we consider the Coriolis effect due to nearby levels in calculations. The focus of the present work is to predict the spins of SD bands for which this model is significantly valid, and we can define identical bands on the basis of level spins, transition energies and (dynamic) moment of inertia, while the coriolis effect is required to explain the staggering in experimental data.
Khalaf et al. [29] mentioned three pairs of low spin identical bands in Normal Deformed nuclei using the NpNn scheme, which motivates us to apply the same scheme to SD bands. To verify our calculations, we have carried out the calculations of identical band correlation parameters using the NpNn scheme, and found one pair of SDIB [Tl(b1),Bi(b1)] in which all the parameters are identical, as shown in Table 5. In other cases, we also applied the same procedure, but the approach is unsuccessful. We observe that there is a difference in the NpNn values for the identical band pairs in the rest of the cases. Figure 3 gives the plot of the dynamic moment of inertia with rotational frequency for the mentioned pair. Overall, the problem of identical bands in Super-Deformed nuclei is treated successfully.
Table 5.
Correlation parameters for [ and ] using the NpNn Scheme.
5. Conclusions
To conclude, we have carried out an analysis of all the known SD bands in the mass region for the identical bands. A total of 16 pairs of SD bands have been analysed. The band-head spin is estimated for all cases in which the experimental data is available. We find that we are able to predict the spin in all cases successfully. We are also able to give the SDIBs on the basis of the spins of the level of SD band, along with the moment of inertia and transition energies, which was not mentioned in earlier studies.
By using the modified VMI model, we find agreement between experimental transition energies and the theoretical ones. Further, we tested the existence of identical bands using the NpNn scheme. We extracted all the IB symmetry parameters like P-factor, saturation factor , structure factor , etc. successfully, which all depends on the valence proton and neutron numbers in one case. Pb is a doubly magic nuclei (both neutron and proton are a magic number), which suggests that an NpNn of zero could be one of the possible reasons that we are not able to extract the IB symmetry parameters in all other cases. Furthermore, for nuclei with z ≥ 78 i.e., in case of Hg and Au, N breaks into N = 82–114 and N = 114–126. Thus, Hg and Au isotopes have lower valence neutron numbers, which could be another reason for the lack of success with the current approach.
SDIBs are very important to study the nuclear structure in heavy nuclei, in order to improve the fitting of dynamic moment of inertia. Our next step is to develop the VMI model with the Coriolis effect to explain the staggering observed in rotational bands of Super-Deformed nuclei. This analysis may help us in future work to improve the fit and the comparison between theoretical and experimental moments of inertia.
Author Contributions
Conceptualization, P.J.; Methodology, P.J.; Software, Y.K.; Formal analysis, P.B.; Writing—original draft, P.J.; Writing—review and editing, P.J. and P.B.; Supervision, V.K. All authors have read and agreed to the published version of the manuscript.
Funding
This research received no external funding.
Data Availability Statement
The authors confirm that the data supporting the findings of this study are available within the article.
Acknowledgments
We thank the anonymous reviewer for constructive inputs and useful comments that improved the quality of the manuscript.
Conflicts of Interest
The authors declare no conflict of interest.
References
- Ragnarsson, I.; Bengtsson, T.; Leander, G.; Aberg, S. Nilsson-Strutinsky model of very high spin states. Nucl. Phys. A 1980, 347, 287. [Google Scholar] [CrossRef]
- Singh, B.; Zywine, R.; Firestone, R.B. Table of Superdeformed Nuclear Bands and Fission Isomers. Nucl. Data Sheets 2002, 97, 241. [Google Scholar] [CrossRef]
- Ragnarsson, I.; Aberg, S. Interpretation of observed superdeformed and other collective bands in 152Dy. Phys. Lett. B 1986, 180, 191. [Google Scholar] [CrossRef]
- Koepf, W.; Ring, P. A relativistic theory of superdeformations in rapidly rotating nuclei. Nucl. Phys. A 1990, 511, 279. [Google Scholar] [CrossRef]
- Chasman, R.R. Configuration interaction effects in rotational bands of superdeformed nuclei. Phys. Lett. B 1993, 319, 41. [Google Scholar] [CrossRef]
- Girod, M.; Delaroche, J.P.; Berger, J.F.; Libert, J. Self-consistent cranking Hartree-Fock-Bogoliubov description of superdeformed rotational states in 194Hg with the Gogny force. Phys. Lett. B 1994, 325, 1. [Google Scholar] [CrossRef]
- Gall, B.; Bonche, P.; Dobaczewski, J.; Flocard, H.; Heenen, P.H. Superdeformed rotational bands in the mercury region. A cranked Skyrme-Hartree-Fock-Bogoliubov study. Z. Phys. A 1994, 348, 183. [Google Scholar] [CrossRef]
- Terasaki, J.; Heenen, P.H.; Bonche, P.; Dobaczewski, J.; Flocard, H. Superdeformed rotational bands with density dependent pairing interactions. Nucl. Phys. A 1995, 593, 1. [Google Scholar] [CrossRef]
- Afanasjev, A.V.; König, J.; Ring, P. Superdeformed rotational bands in the A ∼ 140–150 mass region: A cranked relativistic mean field description. Nucl. Phys. A 1996, 608, 107. [Google Scholar]
- Satula, W.; Wyss, R. Coherence of nucleonic motion in superdeformed nuclei: Towards an understanding of identical bands. Phys. Rev. C 1994, 50, 2888. [Google Scholar]
- Wyss, R.; Satula, W. Blocking effects at super-deformed shape. Phys. Lett. B 1995, 351, 393. [Google Scholar] [CrossRef]
- Jain, P.; Uma, V.S.; Goel, A.; Mandal, S.K. Prediction of band-head spin of triaxial super-deformed bands using the modified VMI model. Eur. Phys. J. Plus 2019, 134, 72. [Google Scholar]
- Goel, A.; Nair, U.; Yadav, A. Band head spin assignment of Tl isotopes of superdeformed rotational bands. Cent. Eur. J. Phys. 2014, 12, 693. [Google Scholar]
- Uma, V.S.; Goel, A.; Yadav, A.; Jain, A.K. Predicting superdeformed rotational band-head spin in A ∼ 190 mass region using variable moment of inertia model. Pram. J. Phys. 2016, 86, 185. [Google Scholar]
- Uma, V.S.; Goel, A. △ I = 1 staggering in signature partner pairs of super-deformed rotational bands in the A = 190 mass region. Eur. Phys. J. Plus 2015, 130, 117. [Google Scholar] [CrossRef]
- Baktash, C.; Haas, B.; Nazarewicz, W. Identical bands in deformed and superdeformed nuclei. Annu. Rev. Nucl. Part. Sci. 1995, 45, 485. [Google Scholar]
- Karlsson, L.B.; Ragnarsson, I.; Aberg, S. Identical bands in superdeformed nuclei. Phys. Lett. B 1998, 416, 16. [Google Scholar] [CrossRef]
- Byrski, T.; Beck, F.A.; Curien, D.; Schuck, C.; Fallon, P.; Alderson, A.; Ali, I.; Bentley, M.A.; Bruce, A.M.; Forsyth, P.D.; et al. Observation of identical superdeformed bands in N = 86 nuclei. Phys. Rev. Lett. 1990, 64, 1650. [Google Scholar] [CrossRef]
- Azaiez, F.; Kelly, W.H.; Korten, W.; Stephens, F.S.; Deleplanque, M.A.; Diamond, R.M.; Macchiavelli, A.O.; Draper, J.E.; Rubel, E.C.; Beausang, C.W.; et al. Six “identical” superdeformed bands in 194Tl. Phys. Rev. Lett. 1991, 66, 1030. [Google Scholar] [CrossRef]
- Stephens, F.S. Spin alignment in superdeformed Hg nuclei. Phys. Rev. Lett. 1990, 64, 2623. [Google Scholar]
- Stephens, F.S. Pseudospin symmetry and quantized alignment in nuclei. Phys. Rev. Lett. 1990, 65, 301. [Google Scholar]
- Ahmad, I.; Carpenter, M.P.; Chasman, R.R.; Janssens, R.V.F.; Khoo, T.L. Rotational bands with identical transition energies in actinide nuclei. Phys. Rev. C 1991, 44, 1204. [Google Scholar] [CrossRef] [PubMed]
- Baktash, C.; Garrett, J.D. Low-spin indentical bands in neighboring odd-A and even-even nuclei: A challenge to mean-field theories. Phys. Rev. Lett. 1992, 69, 1500. [Google Scholar] [PubMed]
- Casten, R.F.; Zamfir, N.V.; Von, P.B.; Chou, W.T. Identical bands in widely dispersed nuclei. Phys. Rev. C 1992, 45, R1413. [Google Scholar] [CrossRef] [PubMed]
- Saha, M.; Sen, S. Low-spin identical bands in the NpNn scheme. Phys. Rev. C 1992, 46, R1587. [Google Scholar] [CrossRef]
- Zeng, J.Y.; Liu, S.X.; Lei, Y.A.; Yu, L. Microscopic mechanism of normally deformed identical bands at low spin in the rare-earth nuclei. Phys. Rev. C 2001, 63, 024305. [Google Scholar] [CrossRef]
- Baktash, C.; Winchell, D.F.; Garrett, J.D.; Smith, A. Low-spin identical bands in neighboring odd-A and even-even nuclei. Nucl. Phys. A 1993, 557, 145. [Google Scholar]
- Saha, M.; Sen, S. Simple phenomenology for the ground-state bands of even-even nuclei. Phys. Rev. C 1994, 50, 2794. [Google Scholar]
- Khalaf, A.M.; Okasha, M.D.; Abdelbased, K.M. Occurrence and Properties of Low Spin Identical Bands in Normal-DeformedEven-Even Nuclei. Prog. Phys. 2017, 13, 50. [Google Scholar]
- France, G.D.; Baktash, C.; Haas, B.; Nazarewicz, W. Rotational inertia of superdeformed nuclei: Intruder orbitals, pairing, and identical bands. Phys. Rev. C 1996, 53, R1070(R). [Google Scholar]
- Hackman, G.; Khoo, T.L.; Carpenter, M.P.; Lauritsen, T.; Lopez-Martens, A.; Calderin, I.J.; Janssens, R.V.F.; Ackermann, D.; Ahmad, I.; Agarwala, S.; et al. Spins, Parity, Excitation Energies, and Octupole Structure of an Excited Superdeformed Band in 194Hg and Implications for Identical Bands. Phys. Rev. Lett. 1997, 79, 4100. [Google Scholar] [CrossRef]
- Liu, Y.X.; Sun, D.; Wang, J.J.; Zhao, E.G. Description of superdeformed identical bands of odd-A nuclei in the A ∼ 190 mass region. Phys. Rev. C 2001, 63, 054314. [Google Scholar] [CrossRef]
- Chen, Y.J.; Chen, Y.S.; Shen, C.W.; Gao, Z.C.; Zhu, S.J.; Tu, Y. Theoretical simulation for identical bands. Eur. Phys. J. A 2005, 24, 185. [Google Scholar] [CrossRef]
- Dadwal, A.; Mittal, H.M. Description of identical superdeformed bands of the A ∼ 190 mass region. Eur. Phys. J. A 2017, 53, 132. [Google Scholar] [CrossRef]
- Shen, C.W.; Luo, W.D.; Chen, Y.S. Identical bands and quantized alignments in superdeformed nuclei. Phys. Rev. C 1997, 55, 1762. [Google Scholar] [CrossRef]
- Shen, C.W.; Chen, Y.S. Identical bands and incremental alignments in normal deformed nuclei. Phys. Rev. C 1998, 58, 2081. [Google Scholar] [CrossRef]
- Mariscotti, M.A.J.; Scharff-Goldhaber, G.; Buck, B. Phenomenological Analysis of Ground-State Bands in Even-Even Nuclei. Phys. Rev. 1969, 178, 1864. [Google Scholar] [CrossRef]
- Jain, A.K.; Goel, A. The Vmi-Model Revisited in the Odd-Odd Rare-Earth Nuclei. Int. J. Mod. Phys. E 1993, 02, 451. [Google Scholar] [CrossRef]
- Otsuka, T.; Arima, A.; Iachello, F.; Talmi, I. Shell model description of interacting bosons. Phys. Lett. B 1978, 76, 139. [Google Scholar] [CrossRef]
- Casten, R.F. A simple approach to nuclear transition regions Author links open overlay panel. Phys. Lett. B 1985, 152, 145. [Google Scholar] [CrossRef]
- Casten, R.F. Possible Unified Interpretation of Heavy Nuclei. Phys. Rev. Lett. 1985, 54, 1991. [Google Scholar] [CrossRef] [PubMed]
- Casten, R.F. NpNn systematics in heavy nuclei. Nucl. Phys. A 1985, 443, 1. [Google Scholar] [CrossRef]
- Zhang, J.Y.; Casten, R.F.; Chou, W.T.; Brenner, D.S.; Zamfir, N.V.; von Brentano, P. Identical bands and the varieties of rotational behavior. Phys. Rev. Lett. 1992, 69, 1160. [Google Scholar] [CrossRef]
- Foy, B.D.; Casten, R.F.; Zamfir, N.V.; Brenner, D.S. Correlation between ε/Δ and the P factor. Phys. Rev. C 1994, 49, 1224. [Google Scholar] [CrossRef]
- Casten, R.F.; Brenner, D.S.; Haustein, P.E. Valence p-n interactions and the development of collectivity in heavy nuclei. Phys. Rev. Lett. 1987, 58, 658. [Google Scholar] [CrossRef]
- The ENSDF and XUNDL Database. 2020. Available online: http://www.nndc.bnl.gov (accessed on 8 July 2023).
Disclaimer/Publisher’s Note: The statements, opinions and data contained in all publications are solely those of the individual author(s) and contributor(s) and not of MDPI and/or the editor(s). MDPI and/or the editor(s) disclaim responsibility for any injury to people or property resulting from any ideas, methods, instructions or products referred to in the content. |
© 2023 by the authors. Licensee MDPI, Basel, Switzerland. This article is an open access article distributed under the terms and conditions of the Creative Commons Attribution (CC BY) license (https://creativecommons.org/licenses/by/4.0/).






