QCD Phase Structure and In-Medium Modifications of Meson Masses in Polyakov Linear-Sigma Model with Finite Isospin Asymmetry †
Abstract
1. Introduction
- How to properly include finite isospin asymmetry in the QCD-like effective model, PLSM;
- The thermodynamics and QCD phase structure in PLSM; and
- The in-medium modifications of the pseudoscalars (), scalars (), vectors (), and axial-vectors () meson states.
2. Formalism
2.1. PLSM with Finite Chemical Potentials and Vanishing Isospin Asymmetry
2.2. PLSM with Finite Chemical Potentials and Isospin Asymmetry
2.3. PLSM: In-Medium Modifications of Pseudoscalars, Scalars, Vectors, and Axial-Vectors Meson States
- The finite quark masses in the (pseudo)-scalar and (axial)-vector sectors,
- Breaking if , and
- Breaking if .
- The vacuum contributions, i.e., the meson masses are related to the strange and nonstrange sigma fields (the finite isospin asymmetry is then replaced by the distinguishable and ) and
- The in-medium modifications of the meson masses are given asfrom which the quark mass derivative with respect to the meson fields, , and the derivative with respect to the meson fields, , are listed in Table 1 in Ref. [5]. Then, the antiquark function , and . The parameter counts for the color degrees of freedom. The in-medium meson mass modifications can be determined from the quark-antiquark contributions to the potential, Equation (10), and the diagonalization of the resulting quark mass matrix [54],whereAs defined in Ref. [54], represents quarks and represents antiquarks.
3. Results
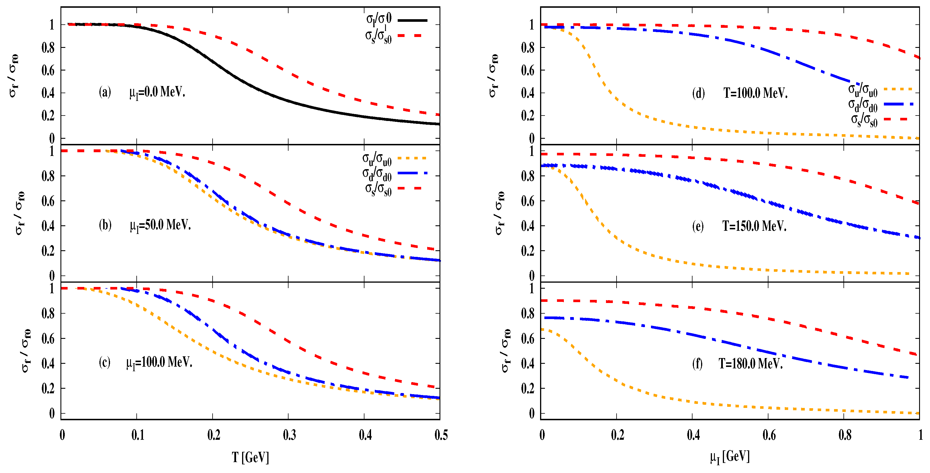
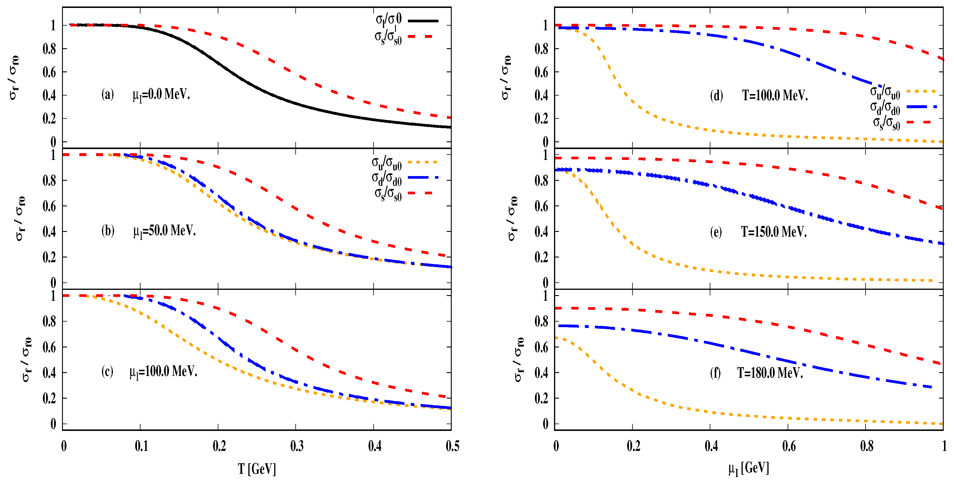
3.1. PLSM: Thermodynamics and QCD Phase Structure at Finite Isospin Asymmetry
- To each of the normalized chiral quark condensates, one could assign a critical isospin chemical potential so thatand this is also valid in both the hadronic and partonic phases, as well as in the region of the phase transition, and
- The increasing temperature allows the phase transition related to the increasing isospin chemical potential to take place earlier and
- PLSM pressure agrees well with the lattice QCD results in both the hadronic and partonic phases,
- Both types of the phase transition in PLSM and lattice QCD are apparently identical and rapid crossover, and
- PLSM and lattice QCD seem to have comparable critical temperatures characterizing the hadron-quark phase transition.
3.2. In-Medium Modifications of , , , , , , , K, , , , , , , , and Meson States
3.3. QCD Phase Diagram at Finite Isospin Asymmetry
4. Conclusions
Funding
Data Availability Statement
Conflicts of Interest
References
- Diab, A.M.; Ahmadov, A.I.; Tawfik, A.N.; Dahab, E.A.E. SU(4) Polyakov linear-sigma model at finitetemperature and density. In Proceedings of the 38th International Conference on High Energy Physics (ICHEP2016), Chicago, IL, USA, 3–10 August 2016; p. 634. [Google Scholar] [CrossRef]
- Abdel Aal Diab, A.M.; Tawfik, A.N. Quark-hadron phase structure of QCD matter from SU(4) Polyakov linear sigma model. EPJ Web Conf. 2018, 177, 09005. [Google Scholar] [CrossRef]
- Tawfik, A.N.; Diab, A.M.; Hussein, M.T. Quark–hadron phase structure, thermodynamics, and magnetization of QCD matter. J. Phys. 2018, G45, 055008. [Google Scholar] [CrossRef]
- Tawfik, A.N.; Magdy, N. SU(3) Polyakov linear-simga model in magnetic fields: Thermodynamics, higher-order moments, chiral phase structure, and meson masses. Phys. Rev. 2015, C91, 015206. [Google Scholar] [CrossRef]
- Tawfik, A.N.; Diab, A.M. Polyakov SU(3) extended linear-sigma model: Sixteen mesonic states in chiral phase structure. Phys. Rev. 2015, C91, 015204. [Google Scholar] [CrossRef]
- Gasiorowicz, S.; Geffen, D.A. Effective Lagrangians and field algebras with chiral symmetry. Rev. Mod. Phys. 1969, 41, 531–573. [Google Scholar] [CrossRef]
- Son, D.T.; Stephanov, M.A. QCD at finite isospin density. Phys. Rev. Lett. 2001, 86, 592–595. [Google Scholar] [CrossRef]
- Adhikari, P.; Andersen, J.; Kneschke, P. Two-flavor chiral perturbation theory at nonzero isospin: Pion condensation at zero temperature. Eur. Phys. J. C 2019, 79, 874. [Google Scholar] [CrossRef]
- Adhikari, P.; Andersen, J.O. Quark and pion condensates at finite isospin density in chiral perturbation theory. Eur. Phys. J. C 2020, 80, 1028. [Google Scholar] [CrossRef]
- Adhikari, P.; Andersen, J.O. Pion and kaon condensation at zero temperature in three-flavor χPPT at nonzero isospin and strange chemical potentials at next-to-leading order. J. High Energy Phys. 2020, 06, 170. [Google Scholar] [CrossRef]
- Adhikari, P.; Andersen, J.O.; Mojahed, M.A. Condensates and pressure of two-flavor chiral perturbation theory at nonzero isospin and temperature. Eur. Phys. J. C 2021, 81, 173. [Google Scholar] [CrossRef]
- Nicola, A.G.; Vioque-Rodríguez, A. Effective Lagrangian at nonzero isospin chemical potential. Phys. Rev. D 2022, 114017. [Google Scholar] [CrossRef]
- Lu, Z.Y.; Xia, C.J.; Ruggieri, M. Thermodynamics and susceptibilities of isospin imbalanced QCD matter. Eur. Phys. J. C 2020, 80, 46. [Google Scholar] [CrossRef]
- Lopes, B.S.; Avancini, S.S.; Bandyopadhyay, A.; Duarte, D.C.; Farias, R.L. Hot QCD at finite isospin density: Confronting the SU(3) Nambu–Jona-Lasinio model with recent lattice data. Phys. Rev. D 2021, 103, 076023. [Google Scholar] [CrossRef]
- Tawfik, A.N. Equilibrium statistical-thermal models in high-energy physics. Int. J. Mod. Phys. A 2014, 29, 1430021. [Google Scholar] [CrossRef]
- Tawfik, A.N.; El-Bakry, M.Y.; Habashy, D.M.; Mohamed, M.T.; Abbas, E. Degree of chemical nonequilibrium in central Au–Au collisions at RHIC energies. Int. J. Mod. Phys. E 2015, 24, 1550067. [Google Scholar] [CrossRef]
- Abelev, B.; et al.; [STAR Collaboration] Near-side azimuthal and pseudorapidity correlations using neutral strange baryons and mesons in d + Au, Cu + Cu and Au + Au collisions at sNN = 200 GeV. Phys. Rev. C 2016, 94, 014910. [Google Scholar] [CrossRef]
- Tawfik, A.N.; Yassin, H.; Abo Elyazeed, E.R. Phenomenology of light- and strange-quark simultaneous production at high energies. Phys. Part. Nucl. Lett. 2017, 14, 843–848. [Google Scholar] [CrossRef]
- Tawfik, A.N.; Diab, A.M.; Ghoneim, M.T.; Anwer, H. SU(3) Polyakov Linear-Sigma Model with Finite Isospin Asymmetry: QCD Phase Diagram. Int. J. Mod. Phys. A 2019, 34, 1950199. [Google Scholar] [CrossRef]
- Tawfik, A.N. Isospin Symmetry Breaking in Non-Perturbative QCD. Phys. Sci. Forum 2023, 7, 22. [Google Scholar] [CrossRef]
- Asakawa, M.; Yazaki, K. Chiral Restoration at Finite Density and Temperature. Nucl. Phys. 1989, A504, 668–684. [Google Scholar] [CrossRef]
- Fukushima, K. Phase diagrams in the three-flavor Nambu-Jona-Lasinio model with the Polyakov loop. Phys. Rev. 2008, D77, 114028, Erratum in Phys. Rev. 2008, D78, 039902. [Google Scholar] [CrossRef]
- Ratti, C.; Thaler, M.A.; Weise, W. Phases of QCD: Lattice thermodynamics and a field theoretical model. Phys. Rev. 2006, D73, 014019. [Google Scholar] [CrossRef]
- Carignano, S.; Nickel, D.; Buballa, M. Influence of vector interaction and Polyakov loop dynamics on inhomogeneous chiral symmetry breaking phases. Phys. Rev. 2010, D82, 054009. [Google Scholar] [CrossRef]
- Bratovic, N.M.; Hatsuda, T.; Weise, W. Role of Vector Interaction and Axial Anomaly in the PNJL Modeling of the QCD Phase Diagram. Phys. Lett. 2013, B719, 131–135. [Google Scholar] [CrossRef]
- Rischke, D.H. The Quark gluon plasma in equilibrium. Prog. Part. Nucl. Phys. 2004, 52, 197–296. [Google Scholar] [CrossRef]
- Schaefer, B.J.; Wambach, J. Susceptibilities near the QCD (tri)critical point. Phys. Rev. 2007, D75, 085015. [Google Scholar] [CrossRef]
- Schaefer, B.J.; Pawlowski, J.M.; Wambach, J. The Phase Structure of the Polyakov–Quark-Meson Model. Phys. Rev. 2007, D76, 074023. [Google Scholar] [CrossRef]
- Schaefer, B.J.; Wagner, M. On the QCD phase structure from effective models. Prog. Part. Nucl. Phys. 2009, 62, 381. [Google Scholar] [CrossRef]
- Schaefer, B.J.; Wagner, M.; Wambach, J. QCD thermodynamics with effective models. PoS 2009, CPOD2009, 17. [Google Scholar] [CrossRef]
- Tawfik, A.; Magdy, N.; Diab, A. Polyakov linear SU(3) σ model: Features of higher-order moments in a dense and thermal hadronic medium. Phys. Rev. 2014, C89, 055210. [Google Scholar] [CrossRef]
- Tawfik, A.N.; Magdy, N. Thermodynamics and higher order moments in SU(3) linear σ-model with gluonic quasi-particles. J. Phys. G 2015, 42, 015004. [Google Scholar] [CrossRef]
- Tawfik, A.N.; Magdy, N. SU(3) Polyakov linear-σ model in an external magnetic field. Phys. Rev. C 2014, 90, 015204. [Google Scholar] [CrossRef]
- Ezzelarab, N.; Diab, A.M.; Tawfik, A.N. Equation of State in Non-Zero Magnetic Field. J. Phys. Conf. Ser. 2016, 668, 012102. [Google Scholar] [CrossRef]
- Tawfik, A.N.; Diab, A.M.; Ezzelarab, N.; Shalaby, A.G. QCD thermodynamics and magnetization in nonzero magnetic field. Adv. High Energy Phys. 2016, 2016, 1381479. [Google Scholar] [CrossRef]
- Tawfik, A.N.; Magdy, N. On SU(3) effective models and chiral phase-transition. Adv. High Energy Phys. 2015, 2015, 563428. [Google Scholar] [CrossRef]
- Tawfik, A.N.; Diab, A.M.; Hussein, T.M. SU(3) Polyakov linear-sigma model: Bulk and shear viscosity of QCD matter in finite magnetic field. Int. J. Adv. Res. Phys. Sci. 2016, 3, 4–14. [Google Scholar]
- Tawfik, A.N.; Diab, A.M.; Hussein, M.T. SU(3) Polyakov linear-sigma model: Conductivity and viscous properties of QCD matter in thermal medium. Int. J. Mod. Phys. 2016, A31, 1650175. [Google Scholar] [CrossRef]
- Tawfik, A.N.; Diab, A.M.; Hussein, M.T. SU(3) Polyakov linear-sigma model: Magnetic properties of QCD matter in thermal and dense medium. J. Exp. Theor. Phys. 2018, 126, 620–632. [Google Scholar] [CrossRef]
- Tawfik, A.N.; Diab, A.M. Chiral magnetic properties of QCD phase-diagram. Eur. Phys. J. A 2021, 57, 200. [Google Scholar] [CrossRef]
- Tawfik, A.N.; Diab, A.M.; Hussein, M.T. Chiral phase structure of the sixteen meson states in the SU(3) Polyakov linear-sigma model for finite temperature and chemical potential in a strong magnetic field. Chin. Phys. C 2019, 43, 034103. [Google Scholar] [CrossRef]
- Tawfik, A.N.; Greiner, C.; Diab, A.M.; Ghoneim, M.T.; Anwer, H. Polyakov linear-σ model in mean-field approximation and optimized perturbation theory. Phys. Rev. C 2020, 101, 035210. [Google Scholar] [CrossRef]
- Weinberg, S. Gravitation and Cosmology; John Wiley and Sons: New York, NY, USA, 1972. [Google Scholar]
- Schaefer, B.J.; Wagner, M. The Three-flavor chiral phase structure in hot and dense QCD matter. Phys. Rev. 2009, D79, 014018. [Google Scholar] [CrossRef]
- Roessner, S.; Ratti, C.; Weise, W. Polyakov loop, diquarks and the two-flavour phase diagram. Phys. Rev. 2007, D75, 034007. [Google Scholar] [CrossRef]
- Lo, P.M.; Friman, B.; Kaczmarek, O.; Redlich, K.; Sasaki, C. Polyakov loop fluctuations in SU(3) lattice gauge theory and an effective gluon potential. Phys. Rev. 2013, D88, 074502. [Google Scholar] [CrossRef]
- Kapusta, J.I.; Gale, C. Finite-Temperature Field Theory: Principles and Applications; Cambridge University Press: Cambridge, UK, 2006. [Google Scholar]
- Mao, H.; Jin, J.; Huang, M. Phase diagram and thermodynamics of the Polyakov linear sigma model with three quark flavors. J. Phys. 2010, G37, 035001. [Google Scholar] [CrossRef]
- Schaefer, B.J.; Wagner, M.; Wambach, J. Thermodynamics of (2 + 1)-flavor QCD: Confronting Models with Lattice Studies. Phys. Rev. 2010, D81, 074013. [Google Scholar] [CrossRef]
- Lenaghan, J.T.; Rischke, D.H.; Schaffner-Bielich, J. Chiral symmetry restoration at nonzero temperature in the SU(3)(r) × SU(3)(l) linear sigma model. Phys. Rev. 2000, D62, 085008. [Google Scholar] [CrossRef]
- Barnett, R.M.; Carone, C.D.; Groom, D.E.; Trippe, T.G.; Wohl, C.G.; Armstrong, B.; Gee, P.S.; Wagman, G.S.; James, F.; Mangano, M.; et al. Review of Particle Physics. Phys. Rev. D 1996, 54, 1–708. [Google Scholar] [CrossRef]
- Tanabashi, M.; Hagiwara, K.; Hikasa, K.; Nakamura, K.; Sumino, Y.; Takahashi, F.; Tanaka, J.; Agashe, K.; Aielli, G.; Amsle, C.; et al. Review of Particle Physics. Phys. Rev. D 2018, 98, 030001. [Google Scholar] [CrossRef]
- Aoki, S.; Aoki, Y.; Bernard, C.; Blum, T.; Colangelo, G.; Della Morte, M.; Dürr, S.; El-Khadra, A.X.; Fukaya, H.; Horsley, R. Review of lattice results concerning low-energy particle physics. Eur. Phys. J. C 2017, 77, 112. [Google Scholar] [CrossRef] [PubMed]
- Gupta, U.S.; Tiwari, V.K. Meson Masses and Mixing Angles in 2 + 1 Flavor Polyakov Quark Meson Sigma Model and Symmetry Restoration Effects. Phys. Rev. D 2010, 81, 054019. [Google Scholar] [CrossRef]
- Borsanyi, S.; Fodor, Z.; Guenther, J.; Kampert, K.H.; Katz, S.D.; Kawanai, T.; Kovacs, T.G.; Mages, S.W.; Pasztor, A.; Pittler, F.; et al. Calculation of the axion mass based on high-temperature lattice quantum chromodynamics. Nature 2016, 539, 69–71. [Google Scholar] [CrossRef]
- Brandt, B.B.; Endrodi, G.; Schmalzbauer, S. QCD phase diagram for nonzero isospin-asymmetry. Phys. Rev. 2018, D97, 054514. [Google Scholar] [CrossRef]
- Cea, P.; Cosmai, L.; D’Elia, M.; Papa, A.; Sanfilippo, F. The critical line of two-flavor QCD at finite isospin or baryon densities from imaginary chemical potentials. Phys. Rev. 2012, D85, 094512. [Google Scholar] [CrossRef]
- Brandt, B.B.; Cuteri, F.; Endrodi, G. Equation of state and speed of sound of isospin-asymmetric QCD on the lattice. arXiv 2022, arXiv:2212.14016. [Google Scholar]
- Schaffner-Bielich, J.; Stiele, R. The QCD Phase Transition at finite Isospin. PoS 2012, Confinement X, 333. [Google Scholar] [CrossRef]
- Beisitzer, T.; Stiele, R.; Schaffner-Bielich, J. Supernova Equation of State with an extended SU(3) Quark-Meson Model. Phys. Rev. 2014, D90, 085001. [Google Scholar] [CrossRef]





| [MeV] | c [MeV] | [MeV] | [MeV] | [MeV] | [MeV] | ||
|---|---|---|---|---|---|---|---|
| 800 | 0 |
Disclaimer/Publisher’s Note: The statements, opinions and data contained in all publications are solely those of the individual author(s) and contributor(s) and not of MDPI and/or the editor(s). MDPI and/or the editor(s) disclaim responsibility for any injury to people or property resulting from any ideas, methods, instructions or products referred to in the content. |
© 2023 by the author. Licensee MDPI, Basel, Switzerland. This article is an open access article distributed under the terms and conditions of the Creative Commons Attribution (CC BY) license (https://creativecommons.org/licenses/by/4.0/).
Share and Cite
Tawfik, A.N. QCD Phase Structure and In-Medium Modifications of Meson Masses in Polyakov Linear-Sigma Model with Finite Isospin Asymmetry. Universe 2023, 9, 276. https://doi.org/10.3390/universe9060276
Tawfik AN. QCD Phase Structure and In-Medium Modifications of Meson Masses in Polyakov Linear-Sigma Model with Finite Isospin Asymmetry. Universe. 2023; 9(6):276. https://doi.org/10.3390/universe9060276
Chicago/Turabian StyleTawfik, Abdel Nasser. 2023. "QCD Phase Structure and In-Medium Modifications of Meson Masses in Polyakov Linear-Sigma Model with Finite Isospin Asymmetry" Universe 9, no. 6: 276. https://doi.org/10.3390/universe9060276
APA StyleTawfik, A. N. (2023). QCD Phase Structure and In-Medium Modifications of Meson Masses in Polyakov Linear-Sigma Model with Finite Isospin Asymmetry. Universe, 9(6), 276. https://doi.org/10.3390/universe9060276
