Quiescent and Active Galactic Nuclei as Factories of Merging Compact Objects in the Era of Gravitational Wave Astronomy
Abstract
1. Introduction
2. Observational Evidence of Binaries in Galactic Nuclei: The Milky Way Test Case
3. Environmental Effects on Binary Formation in Galactic Nuclei
3.1. Binaries in Galactic Nuclei: Primordial, Dynamical, or Hybrid?
3.2. Nuclear Cluster Formation Processes: In Situ Versus Dry Merger
The Impact of Nuclear Cluster Formation Scenarios on the Population of Compact Objects in Galactic Nuclei
4. Early Black Hole Dynamics in Nuclear Clusters and Galactic Nuclei
5. Dynamical Formation of Black Hole and Compact Object Binaries in Galactic Nuclei
5.1. Galactic Threats: What Binaries Can Survive around a Supermassive Black Hole?
5.2. Moving through a Swarm: Orbital Evolution of Compact Binaries in Galactic Nuclei
5.3. Multiple Encounters Make Bound Pairs: How Dynamical Processes Aid Binary Formation in Galactic Nuclei
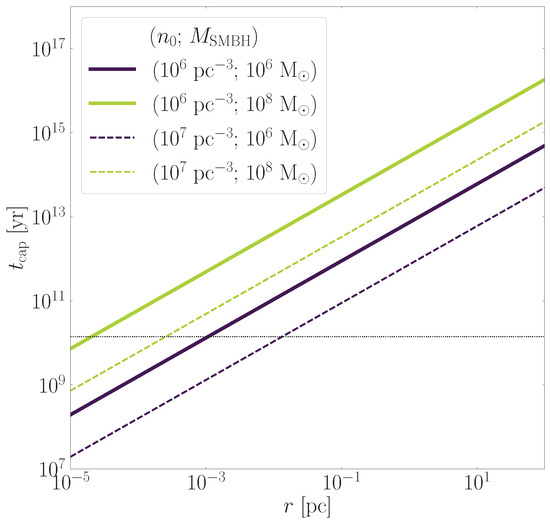
5.3.1. GW Capture Binary Formation
5.3.2. Three-Body Binary Formation
5.3.3. Binary–Single Scatterings
- If , the binary will harden or soften depending on the environment;
- If , the binary will exchange one component, most likely the least-massive one, if the perturber is heavier than the binary or its components, i.e., or at least .
- If , the perturber cannot recede to infinity and the three bodies undergo a resonant interaction that can culminate in the exchange of one binary component if:
- –
- ;
- –
- and .
- Either way, the perturber or the exchanged component recedes to infinity and possibly leaves the host system;
- If , , and , the system undergoes a resonant interaction, which generally leads to the ejection of the lighter component;
- If , the binary undergoes:
- –
- Component exchange if ;
- –
- Ionisation if .
6. Secular Dynamical Effects on Binary Evolution around a Supermassive Black Hole
6.1. Secular Perturbations on Black Hole Binaries in Galactic Nuclei: The Impact of a Supermassive Black Hole
- Three-Body Newtonian Limit
6.2. Other Physical Processes
- Tidal dissipation
- Stellar evolution
- General relativity precession, first pN
- Spin effects, 1.5pN
- GW, 2.5pN
- Resonant relaxation processes
- Resonant relaxation
- Vector resonant relaxation
6.3. Initial Conditions and Unknowns
7. Dynamics of Black Hole Binaries in Active Galactic Nuclei
8. Black Hole and Neutron Star Mergers around Supermassive Black Holes: Implications for Current and Future Gravitational Wave Detections
8.1. Population Properties: Masses, Mass Ratio, Spins, and Eccentricity
8.1.1. Gravitational Scatterings
8.1.2. Eccentric Kozai–Lidov Mechanism
8.1.3. Active Galactic Nuclei
8.2. Expected Merger Rate and Prediction
8.3. Imprint of Galactic Nuclei on the Gravitational Wave Emission from Merging Compact Objects
8.3.1. Eccentricity Variation Encoded in the Gravitational Wave Signal of Merging Compact Objects
8.3.2. Supermassive Black Hole Acceleration Encoded in the Gravitational Wave Signal of Merging Compact Objects
9. Summary
- The dynamics plays a crucial role in determining COB formation in galactic nuclei. Three-body scatterings, involving three initially unbound objects, are likely dominant in galaxies with a large NC-to-SMBH mass ratio, but become extremely inefficient close to the SMBH. Conversely, single–single interactions that form bound pairs via GW bremsstrahlung—or GW captures—are more efficient in the SMBH’s immediate vicinity and in the nuclei with the most-massive SMBHs. However, GW captures produce short-lived binaries that merge within days or hours from their formation and have a large chance of being highly eccentric when sweeping through high-frequency detectors.
- Galaxies dominated by a quiescent SMBH can efficiently replenish their population of COBs—particularly BHs—via the accretion of massive star clusters that undergo inward migration owing to dynamical friction.
- A substantial population of primordial binaries can also play a crucial role in determining the properties of COBs in galactic nuclei, although most of them are likely destroyed by the SMBH’s tidal field.
- Once binaries start forming in galactic nuclei, their further evolution is regulated mostly by binary–single interactions, which generally promote the formation of tighter and more massive binaries, but, depending on the binary properties, can lead to their evaporation well before GW emission starts dominating the binary evolution.
- Owing to dynamical friction, or mass segregation, and dynamical interactions, COBs are expected to move through regions of the nucleus with different velocity dispersions and densities. The variation of the environment structure can dramatically affect the COB’s fate: an initially hard binary moving inward can appear soft closer to the SMBH and eventually be disrupted by interactions with other stars and COs.
- Around 20–70% of COBs formed in galactic nuclei are expected to suffer the effect of the SMBH’s gravitational field, which can cause periodic oscillations of their eccentricity called eccentric Kozai–Lidov resonances. This mechanism can significantly shorten the COB’s lifetime, possibly affecting the delay time of merging COs. The development of EKL oscillations strongly depends on the binary properties (e.g., general relativistic precession can suppress EKL), the distance to the SMBH, and the eccentricity of the COB’s orbit about the SMBH.
- In AGNs, the formation of COBs is favoured by both gaseous torques and dynamical scatterings, whose efficiency is boosted by the nearly planar configuration. The possible existence of migration traps, where inward and outward torques cancel out, makes AGNs potential factories of multiple-generation COs mergers and IMBHs.
- Mergers occurring in galactic nuclei feature some peculiar traits: a significant fraction of mergers with one component in the upper mass-gap, a non-negligible fraction of multiple-generation mergers that can affect the high -end of the BH mass distribution, and fairly misaligned spins; although, in AGNs, a noticeable fraction of high-generation mergers might have mildly aligned spins and a quite significant probability to preserve an eccentricity whilst sweeping through the frequency bands of both low- and high-frequency detectors.
- The merger rate inferred for present-day GW detectors for BBH and NS–BH binary mergers in galactic nuclei is poorly constrained owing to the many model uncertainties. For BBH mergers, models for quiescent SMBHs and AGNs predict similar estimates, which generally fall in the range . For NS–BH mergers, instead, there are clear differences between the prediction for quiescent, , and active nuclei models, , partly owing to the relatively poor literature and the huge uncertainties.
- The presence of an SMBH in the vicinity of a merging COB can leave some imprints on the emitted GW signal that could, in principle, be detected with future detectors, among others a shift in the peak frequency for mergers occurring in the Milky Way centre, a variation in the measured redshift induced by the rapid motion of the binary around the SMBH, and the development of a GW echo produced by the scattering of the emitted GWs onto the SMBH.
- Initial conditions: Probably the most-important unknown that mostly affects all the models is the scarce knowledge of how stars form and pair in the extreme environment of a galactic nucleus. The initial binary fraction, the initial distribution of periods and masses, and the metallicity spread in the galactic nucleus are all factors that crucially determine the COB’s properties: semimajor axis, eccentricity, and component masses.
- Interplay of mechanisms: As we have seen throughout the review, COB formation is likely regulated by many mechanisms likely operating simultaneously. However, most theoretical models focus on one specific aspect at a time. Fully self-consistent N-body simulations capable of taking into account the stellar evolution of single and binary stars, the SMBH tidal field, and potentially, the effect of an AGN disc exist, but their resolution is still too low and their computational cost too large to permit a one-to-one representation of a Milky Way-like nucleus. Simpler models relying on semi-analytic assumptions or few-body (scattering) simulations represent valid alternatives, although they sometimes neglect potentially crucial elements, such as the importance of flybys on the evolution of COBs undergoing EKL oscillations, the development of EKL resonances in binaries formed in AGNs, and the role of star formation in the actual population of COBs around an SMBH.
- Observations: From an observational perspective, the observation of young massive binaries in galactic nuclei, a larger number of GW detections, a more precise localisation of GW sources, and the future detection of inspiralling binaries in the Milky Way centre can definitely help us improve our knowledge of the processes regulating COB formation in galactic nuclei.
Author Contributions
Funding
Institutional Review Board Statement
Informed Consent Statement
Data Availability Statement
Conflicts of Interest
References
- Georgiev, I.Y.; Böker, T.; Leigh, N.; Lützgendorf, N.; Neumayer, N. Masses and scaling relations for nuclear star clusters, and their co-existence with central black holes. Mon. Not. R. Astron. Soc. 2016, 457, 2122–2138. [Google Scholar] [CrossRef]
- Pechetti, R.; Seth, A.; Neumayer, N.; Georgiev, I.; Kacharov, N.; den Brok, M. Luminosity Models and Density Profiles for Nuclear Star Clusters for a Nearby Volume-limited Sample of 29 Galaxies. Astrophys. J. 2020, 900, 32. [Google Scholar] [CrossRef]
- Neumayer, N.; Seth, A.; Böker, T. Nuclear star clusters. Astron. Astrophys. Rev. 2020, 28, 4. [Google Scholar] [CrossRef]
- Gültekin, K.; Richstone, D.O.; Gebhardt, K.; Lauer, T.R.; Tremaine, S.; Aller, M.C.; Bender, R.; Dressler, A.; Faber, S.M.; Filippenko, A.V.; et al. The M-σ and M-L Relations in Galactic Bulges, and Determinations of Their Intrinsic Scatter. Astrophys. J. 2009, 698, 198–221. [Google Scholar] [CrossRef]
- Graham, A.W.; Scott, N. The MBH-Lspheroid Relation at High and Low Masses, the Quadratic Growth of Black Holes, and Intermediate-mass Black Hole Candidates. Astrophys. J. 2013, 764, 151. [Google Scholar] [CrossRef]
- Graham, A.W.; Spitler, L.R. Quantifying the coexistence of massive black holes and dense nuclear star clusters. Mon. Not. R. Astron. Soc. 2009, 397, 2148–2162. [Google Scholar] [CrossRef]
- Neumayer, N.; Walcher, C.J. Are Nuclear Star Clusters the Precursors of Massive Black Holes? Adv. Astron. 2012, 2012, 709038. [Google Scholar] [CrossRef]
- Nguyen, D.D.; Seth, A.C.; Neumayer, N.; Kamann, S.; Voggel, K.T.; Cappellari, M.; Picotti, A.; Nguyen, P.M.; Böker, T.; Debattista, V.; et al. Nearby Early-type Galactic Nuclei at High Resolution: Dynamical Black Hole and Nuclear Star Cluster Mass Measurements. Astrophys. J. 2018, 858, 118. [Google Scholar] [CrossRef]
- Sánchez-Janssen, R.; Côté, P.; Ferrarese, L.; Peng, E.W.; Roediger, J.; Blakeslee, J.P.; Emsellem, E.; Puzia, T.H.; Spengler, C.; Taylor, J.; et al. The Next Generation Virgo Cluster Survey. XXIII. Fundamentals of Nuclear Star Clusters over Seven Decades in Galaxy Mass. Astrophys. J. 2019, 878, 18. [Google Scholar] [CrossRef]
- Walcher, C.J.; van der Marel, R.P.; McLaughlin, D.; Rix, H.W.; Böker, T.; Häring, N.; Ho, L.C.; Sarzi, M.; Shields, J.C. Masses of Star Clusters in the Nuclei of Bulgeless Spiral Galaxies. Astrophys. J. 2005, 618, 237–246. [Google Scholar] [CrossRef]
- Goodman, J.; Hut, P. Binary–Single-Star Scattering. V. Steady State Binary Distribution in a Homogeneous Static Background of Single Stars. Astrophys. J. 1993, 403, 271. [Google Scholar] [CrossRef]
- Krabbe, A.; Genzel, R.; Eckart, A.; Najarro, F.; Lutz, D.; Cameron, M.; Kroker, H.; Tacconi-Garman, L.E.; Thatte, N.; Weitzel, L.; et al. The Nuclear Cluster of the Milky Way: Star Formation and Velocity Dispersion in the Central 0.5 Parsec. Astrophys. J. Lett. 1995, 447, L95. [Google Scholar] [CrossRef]
- Miller, M.C.; Lauburg, V.M. Mergers of Stellar-Mass Black Holes in Nuclear Star Clusters. Astrophys. J. 2009, 692, 917–923. [Google Scholar] [CrossRef]
- Kozai, Y. Secular perturbations of asteroids with high inclination and eccentricity. Astron. J. 1962, 67, 591–598. [Google Scholar] [CrossRef]
- Lidov, M.L. The evolution of orbits of artificial satellites of planets under the action of gravitational perturbations of external bodies. Planet. Space Sci. 1962, 9, 719–759. [Google Scholar] [CrossRef]
- Harrington, R.S. Dynamical evolution of triple stars. Astron. J. 1968, 73, 190–194. [Google Scholar] [CrossRef]
- Ford, E.B.; Kozinsky, B.; Rasio, F.A. Secular Evolution of Hierarchical Triple Star Systems. Astrophys. J. 2000, 535, 385–401. [Google Scholar] [CrossRef]
- Blaes, O.; Lee, M.H.; Socrates, A. The Kozai Mechanism and the Evolution of Binary Supermassive Black Holes. Astrophys. J. 2002, 578, 775–786. [Google Scholar] [CrossRef]
- Lithwick, Y.; Naoz, S. The Eccentric Kozai Mechanism for a Test Particle. Astrophys. J. 2011, 742, 94. [Google Scholar] [CrossRef]
- Naoz, S.; Kocsis, B.; Loeb, A.; Yunes, N. Resonant Post-Newtonian Eccentricity Excitation in Hierarchical Three-body Systems. Astrophys. J. 2013, 773, 187. [Google Scholar] [CrossRef]
- Naoz, S. The Eccentric Kozai–Lidov Effect and Its Applications. Annu. Rev. Astron. Astrophys. 2016, 54, 441–489. [Google Scholar] [CrossRef]
- Syer, D.; Clarke, C.J.; Rees, M.J. Star-disc interactions near a massive black hole. Mon. Not. R. Astron. Soc. 1991, 250, 505–512. [Google Scholar] [CrossRef]
- Šubr, L.; Karas, V. On highly eccentric stellar trajectories interacting with a self-gravitating disc in Sgr Astar. Astron. Astrophys. 2005, 433, 405–413. [Google Scholar] [CrossRef]
- McKernan, B.; Ford, K.E.S.; Lyra, W.; Perets, H.B.; Winter, L.M.; Yaqoob, T. On rapid migration and accretion within discs around supermassive black holes. Mon. Not. R. Astron. Soc. 2011, 417, L103–L107. [Google Scholar] [CrossRef]
- Baruteau, C.; Cuadra, J.; Lin, D.N.C. Binaries Migrating in a Gaseous Disk: Where are the Galactic Center Binaries? Astrophys. J. 2011, 726, 28. [Google Scholar] [CrossRef]
- McKernan, B.; Ford, K.E.S.; Lyra, W.; Perets, H.B. Intermediate mass black holes in AGN discs - I. Production and growth. Mon. Not. R. Astron. Soc. 2012, 425, 460–469. [Google Scholar] [CrossRef]
- Kennedy, G.F.; Meiron, Y.; Shukirgaliyev, B.; Panamarev, T.; Berczik, P.; Just, A.; Spurzem, R. Star-disc interaction in galactic nuclei: Orbits and rates of accreted stars. Mon. Not. R. Astron. Soc. 2016, 460, 240–255. [Google Scholar] [CrossRef]
- Bartos, I.; Kocsis, B.; Haiman, Z.; Márka, S. Rapid and Bright Stellar-mass Binary Black Hole Mergers in Active Galactic Nuclei. Astrophys. J. 2017, 835, 165. [Google Scholar] [CrossRef]
- Panamarev, T.; Shukirgaliyev, B.; Meiron, Y.; Berczik, P.; Just, A.; Spurzem, R.; Omarov, C.; Vilkoviskij, E. Star-disc interaction in galactic nuclei: Formation of a central stellar disc. Mon. Not. R. Astron. Soc. 2018, 476, 4224–4233. [Google Scholar] [CrossRef]
- Leigh, N.W.C.; Geller, A.M.; McKernan, B.; Ford, K.E.S.; Mac Low, M.M.; Bellovary, J.; Haiman, Z.; Lyra, W.; Samsing, J.; O’Dowd, M.; et al. On the rate of black hole binary mergers in galactic nuclei due to dynamical hardening. Mon. Not. R. Astron. Soc. 2018, 474, 5672–5683. [Google Scholar] [CrossRef]
- Yang, Y.; Bartos, I.; Haiman, Z.; Kocsis, B.; Márka, Z.; Stone, N.C.; Márka, S. AGN Disks Harden the Mass Distribution of Stellar-mass Binary Black Hole Mergers. Astrophys. J. 2019, 876, 122. [Google Scholar] [CrossRef]
- Yang, Y.; Bartos, I.; Gayathri, V.; Ford, K.E.S.; Haiman, Z.; Klimenko, S.; Kocsis, B.; Márka, S.; Márka, Z.; McKernan, B.; et al. Hierarchical Black Hole Mergers in Active Galactic Nuclei. Phys. Rev. Let. 2019, 123, 181101. [Google Scholar] [CrossRef] [PubMed]
- Tagawa, H.; Haiman, Z.; Kocsis, B. Formation and Evolution of Compact-object Binaries in AGN Disks. Astrophys. J. 2020, 898, 25. [Google Scholar] [CrossRef]
- Tagawa, H.; Kocsis, B.; Haiman, Z.; Bartos, I.; Omukai, K.; Samsing, J. Mass-gap Mergers in Active Galactic Nuclei. Astrophys. J. 2021, 908, 194. [Google Scholar] [CrossRef]
- Samsing, J.; Bartos, I.; D’Orazio, D.J.; Haiman, Z.; Kocsis, B.; Leigh, N.W.C.; Liu, B.; Pessah, M.E.; Tagawa, H. AGN as potential factories for eccentric black hole mergers. Nature 2022, 603, 237–240. [Google Scholar] [CrossRef] [PubMed]
- Ghez, A.M.; Salim, S.; Weinberg, N.N.; Lu, J.R.; Do, T.; Dunn, J.K.; Matthews, K.; Morris, M.R.; Yelda, S.; Becklin, E.E.; et al. Measuring Distance and Properties of the Milky Way’s Central Supermassive Black Hole with Stellar Orbits. Astrophys. J. 2008, 689, 1044–1062. [Google Scholar] [CrossRef]
- Gillessen, S.; Eisenhauer, F.; Trippe, S.; Alexander, T.; Genzel, R.; Martins, F.; Ott, T. Monitoring Stellar Orbits Around the Massive Black Hole in the Galactic Center. Astrophys. J. 2009, 692, 1075–1109. [Google Scholar] [CrossRef]
- Gillessen, S.; Plewa, P.M.; Eisenhauer, F.; Sari, R.; Waisberg, I.; Habibi, M.; Pfuhl, O.; George, E.; Dexter, J.; von Fellenberg, S.; et al. An Update on Monitoring Stellar Orbits in the Galactic Center. Astrophys. J. 2017, 837, 30. [Google Scholar] [CrossRef]
- Gravity Collaboration; Abuter, R.; Aimar, N.; Amorim, A.; Ball, J.; Bauböck, M.; Berger, J.P.; Bonnet, H.; Bourdarot, G.; Brandner, W.; et al. Mass distribution in the Galactic Center based on interferometric astrometry of multiple stellar orbits. Astron. Astrophys. 2022, 657, L12. [Google Scholar] [CrossRef]
- Pfuhl, O.; Fritz, T.K.; Zilka, M.; Maness, H.; Eisenhauer, F.; Genzel, R.; Gillessen, S.; Ott, T.; Dodds-Eden, K.; Sternberg, A. The Star Formation History of the Milky Way’s Nuclear Star Cluster. Astrophys. J. 2011, 741, 108. [Google Scholar] [CrossRef]
- Schödel, R.; Feldmeier, A.; Kunneriath, D.; Stolovy, S.; Neumayer, N.; Amaro-Seoane, P.; Nishiyama, S. Surface brightness profile of the Milky Way’s nuclear star cluster. Astron. Astrophys. 2014, 566, A47. [Google Scholar] [CrossRef]
- Fritz, T.K.; Chatzopoulos, S.; Gerhard, O.; Gillessen, S.; Genzel, R.; Pfuhl, O.; Tacchella, S.; Eisenhauer, F.; Ott, T. The Nuclear Cluster of the Milky Way: Total Mass and Luminosity. Astrophys. J. 2016, 821, 44. [Google Scholar] [CrossRef]
- Gravity Collaboration; Abuter, R.; Amorim, A.; Anugu, N.; Bauböck, M.; Benisty, M.; Berger, J.P.; Blind, N.; Bonnet, H.; Brandner, W.; et al. Detection of the gravitational redshift in the orbit of the star S2 near the Galactic centre massive black hole. Astron. Astrophys. 2018, 615, L15. [Google Scholar] [CrossRef]
- Do, T.; Hees, A.; Ghez, A.; Martinez, G.D.; Chu, D.S.; Jia, S.; Sakai, S.; Lu, J.R.; Gautam, A.K.; O’Neil, K.K.; et al. Relativistic redshift of the star S0-2 orbiting the Galactic Center supermassive black hole. Science 2019, 365, 664–668. [Google Scholar] [CrossRef]
- GRAVITY Collaboration; Abuter, R.; Amorim, A.; Bauböck, M.; Berger, J.P.; Bonnet, H.; Brandner, W.; Cardoso, V.; Clénet, Y.; de Zeeuw, P.T.; et al. Detection of the Schwarzschild precession in the orbit of the star S2 near the Galactic centre massive black hole. Astron. Astrophys. 2020, 636, L5. [Google Scholar] [CrossRef]
- Gualandris, A.; Merritt, D. Perturbations of Intermediate-mass Black Holes on Stellar Orbits in the Galactic Center. Astrophys. J. 2009, 705, 361–371. [Google Scholar] [CrossRef]
- Gualandris, A.; Gillessen, S.; Merritt, D. The Galactic Centre star S2 as a dynamical probe for intermediate-mass black holes. Mon. Not. R. Astron. Soc. 2010, 409, 1146–1154. [Google Scholar] [CrossRef]
- Arca-Sedda, M.; Gualandris, A. Gravitational wave sources from inspiralling globular clusters in the Galactic Centre and similar environments. Mon. Not. R. Astron. Soc. 2018, 477, 4423–4442. [Google Scholar] [CrossRef]
- Arca Sedda, M. The connection between stellar and nuclear clusters: Can an IMBH be sitting at the heart of the Milky Way? Proc. Int. Astron. Union 2020, 351, 51–55. [Google Scholar] [CrossRef]
- Naoz, S.; Will, C.M.; Ramirez-Ruiz, E.; Hees, A.; Ghez, A.M.; Do, T. A Hidden Friend for the Galactic Center Black Hole, Sgr A*. Astrophys. J. Lett. 2020, 888, L8. [Google Scholar] [CrossRef]
- Rose, S.C.; Naoz, S.; Sari, R.; Linial, I. The Formation of Intermediate-mass Black Holes in Galactic Nuclei. Astrophys. J. Lett. 2022, 929, L22. [Google Scholar] [CrossRef]
- Zhang, E.; Naoz, S.; Will, C.M. A Stability Timescale for Non-Hierarchical Three-Body Systems. arXiv 2023, arXiv:2301.08271. [Google Scholar]
- Hailey, C.J.; Mori, K.; Bauer, F.E.; Berkowitz, M.E.; Hong, J.; Hord, B.J. A density cusp of quiescent X-ray binaries in the central parsec of the Galaxy. Nature 2018, 556, 70–73. [Google Scholar] [CrossRef]
- Maccarone, T.J.; Degenaar, N.; Tetarenko, B.E.; Heinke, C.O.; Wijnands, R.; Sivakoff, G.R. On the recurrence times of neutron star X-ray binary transients and the nature of the Galactic Centre quiescent X-ray binaries. Mon. Not. R. Astron. Soc. 2022, 512, 2365–2370. [Google Scholar] [CrossRef]
- Antonini, F. On the Distribution of Stellar Remnants around Massive Black Holes: Slow Mass Segregation, Star Cluster Inspirals, and Correlated Orbits. Astrophys. J. 2014, 794, 106. [Google Scholar] [CrossRef]
- Arca-Sedda, M.; Kocsis, B.; Brandt, T.D. Gamma-ray and X-ray emission from the Galactic centre: Hints on the nuclear star cluster formation history. Mon. Not. R. Astron. Soc. 2018, 479, 900–916. [Google Scholar] [CrossRef]
- Generozov, A.; Stone, N.C.; Metzger, B.D.; Ostriker, J.P. An overabundance of black hole X-ray binaries in the Galactic Centre from tidal captures. Mon. Not. R. Astron. Soc. 2018, 478, 4030–4051. [Google Scholar] [CrossRef]
- Miralda-Escudé, J.; Gould, A. A Cluster of Black Holes at the Galactic Center. Astrophys. J. 2000, 545, 847–853. [Google Scholar] [CrossRef]
- Stephan, A.P.; Naoz, S.; Ghez, A.M.; Morris, M.R.; Ciurlo, A.; Do, T.; Breivik, K.; Coughlin, S.; Rodriguez, C.L. The Fate of Binaries in the Galactic Center: The Mundane and the Exotic. Astrophys. J. 2019, 878, 58. [Google Scholar] [CrossRef]
- Giesers, B.; Dreizler, S.; Husser, T.O.; Kamann, S.; Anglada Escudé, G.; Brinchmann, J.; Carollo, C.M.; Roth, M.M.; Weilbacher, P.M.; Wisotzki, L. A detached stellar-mass black hole candidate in the globular cluster NGC 3201. Mon. Not. R. Astron. Soc. 2018, 475, L15–L19. [Google Scholar] [CrossRef]
- Giesers, B.; Kamann, S.; Dreizler, S.; Husser, T.O.; Askar, A.; Göttgens, F.; Brinchmann, J.; Latour, M.; Weilbacher, P.M.; Wendt, M.; et al. A stellar census in globular clusters with MUSE: Binaries in NGC 3201. Astron. Astrophys. 2019, 632, A3. [Google Scholar] [CrossRef]
- El-Badry, K.; Rix, H.W.; Quataert, E.; Howard, A.W.; Isaacson, H.; Fuller, J.; Hawkins, K.; Breivik, K.; Wong, K.W.K.; Rodriguez, A.C.; et al. A Sun-like star orbiting a black hole. arXiv 2022, arXiv:2209.06833. [Google Scholar] [CrossRef]
- Maccarone, T.J.; Kundu, A.; Zepf, S.E.; Rhode, K.L. A black hole in a globular cluster. Nature 2007, 445, 183–185. [Google Scholar] [CrossRef]
- Strader, J.; Chomiuk, L.; Maccarone, T.J.; Miller-Jones, J.C.A.; Seth, A.C. Two stellar-mass black holes in the globular cluster M22. Nature 2012, 490, 71–73. [Google Scholar] [CrossRef]
- Abbott, B.P.; Abbott, R.; Abbott, T.D.; Abernathy, M.R.; Acernese, F.; Ackley, K.; Adams, C.; Adams, T.; Addesso, P.; Adhikari, R.X.; et al. Observation of Gravitational Waves from a Binary Black Hole Merger. Phys. Rev. Let. 2016, 116, 061102. [Google Scholar] [CrossRef] [PubMed]
- Abbott, B.P.; Abbott, R.; Abbott, T.D.; Acernese, F.; Ackley, K.; Adams, C.; Adams, T.; Addesso, P.; Adhikari, R.X.; Adya, V.B.; et al. GW170817: Observation of Gravitational Waves from a Binary Neutron Star Inspiral. Phys. Rev. Let. 2017, 119, 161101. [Google Scholar] [CrossRef]
- Abbott, B.P.; Abbott, R.; Abbott, T.D.; Abernathy, M.R.; Acernese, F.; Ackley, K.; Adams, C.; Adams, T.; Addesso, P.; Adhikari, R.X.; et al. GW151226: Observation of Gravitational Waves from a 22-Solar-Mass Binary Black Hole Coalescence. Phys. Rev. Let. 2016, 116, 241103. [Google Scholar] [CrossRef]
- Abbott, B.P.; Abbott, R.; Abbott, T.D.; Abraham, S.; Acernese, F.; Ackley, K.; Adams, C.; Adhikari, R.X.; Adya, V.B.; Affeldt, C.; et al. GWTC-1: A Gravitational-Wave Transient Catalog of Compact Binary Mergers Observed by LIGO and Virgo during the First and Second Observing Runs. Phys. Rev. X 2019, 9, 031040. [Google Scholar] [CrossRef]
- Abbott, B.P.; Abbott, R.; Abbott, T.D.; Acernese, F.; Ackley, K.; Adams, C.; Adams, T.; Addesso, P.; Adhikari, R.X.; Adya, V.B.; et al. GW170104: Observation of a 50-Solar-Mass Binary Black Hole Coalescence at Redshift 0.2. Phys. Rev. Let. 2017, 118, 221101. [Google Scholar] [CrossRef]
- Abbott, B.P.; Abbott, R.; Abbott, T.D.; Acernese, F.; Ackley, K.; Adams, C.; Adams, T.; Addesso, P.; Adhikari, R.X.; Adya, V.B.; et al. GW170814: A Three-Detector Observation of Gravitational Waves from a Binary Black Hole Coalescence. Phys. Rev. Let. 2017, 119, 141101. [Google Scholar] [CrossRef]
- Abbott, B.P.; Abbott, R.; Abbott, T.D.; Acernese, F.; Ackley, K.; Adams, C.; Adams, T.; Addesso, P.; Adhikari, R.X.; Adya, V.B.; et al. GW170608: Observation of a 19 Solar-mass Binary Black Hole Coalescence. Astrophys. J. Lett. 2017, 851, L35. [Google Scholar] [CrossRef]
- Abbott, R.; Abbott, T.D.; Abraham, S.; Acernese, F.; Ackley, K.; Adams, A.; Adams, C.; Adhikari, R.X.; Adya, V.B.; Affeldt, C.; et al. GWTC-2: Compact Binary Coalescences Observed by LIGO and Virgo during the First Half of the Third Observing Run. Phys. Rev. X 2021, 11, 021053. [Google Scholar] [CrossRef]
- Abbott, B.P.; Abbott, R.; Abbott, T.D.; Abraham, S.; Acernese, F.; Ackley, K.; Adams, C.; Adhikari, R.X.; Adya, V.B.; Affeldt, C.; et al. GW190425: Observation of a Compact Binary Coalescence with Total Mass ∼ 3.4 M⊙. Astrophys. J. Lett. 2020, 892, L3. [Google Scholar] [CrossRef]
- Abbott, R.; Abbott, T.D.; Abraham, S.; Acernese, F.; Ackley, K.; Adams, C.; Adhikari, R.X.; Adya, V.B.; Affeldt, C.; Agathos, M.; et al. GW190814: Gravitational Waves from the Coalescence of a 23 Solar Mass Black Hole with a 2.6 Solar Mass Compact Object. Astrophys. J. Lett. 2020, 896, L44. [Google Scholar] [CrossRef]
- Abbott, B.P.; Abbott, R.; Abbott, T.D.; Abraham, S.; Acernese, F.; Ackley, K.; Adams, C.; Adhikari, R.X.; Adya, V.B.; Affeldt, C.; et al. Binary Black Hole Population Properties Inferred from the First and Second Observing Runs of Advanced LIGO and Advanced Virgo. Astrophys. J. Lett. 2019, 882, L24. [Google Scholar] [CrossRef]
- Abbott, R.; Abbott, T.D.; Abraham, S.; Acernese, F.; Ackley, K.; Adams, C.; Adhikari, R.X.; Adya, V.B.; Affeldt, C.; Agathos, M.; et al. GW190521: A Binary Black Hole Merger with a Total Mass of 150 M⊙. Phys. Rev. Let. 2020, 125, 101102. [Google Scholar] [CrossRef]
- Abbott, R.; Abbott, T.D.; Abraham, S.; Acernese, F.; Ackley, K.; Adams, A.; Adams, C.; Adhikari, R.X.; Adya, V.B.; Affeldt, C.; et al. Population Properties of Compact Objects from the Second LIGO-Virgo Gravitational-Wave Transient Catalog. Astrophys. J. Lett. 2021, 913, L7. [Google Scholar] [CrossRef]
- Abbott, R.; Abbott, T.D.; Abraham, S.; Acernese, F.; Ackley, K.; Adams, C.; Adhikari, R.X.; Adya, V.B.; Affeldt, C.; Agathos, M.; et al. GW190412: Observation of a binary-black-hole coalescence with asymmetric masses. Phys. Rev. D 2020, 102, 043015. [Google Scholar] [CrossRef]
- Spera, M.; Trani, A.A.; Mencagli, M. Compact Binary Coalescences: Astrophysical Processes and Lessons Learned. Galaxies 2022, 10, 76. [Google Scholar] [CrossRef]
- Fryer, C.L.; Belczynski, K.; Wiktorowicz, G.; Dominik, M.; Kalogera, V.; Holz, D.E. Compact Remnant Mass Function: Dependence on the Explosion Mechanism and Metallicity. Astrophys. J. 2012, 749, 91. [Google Scholar] [CrossRef]
- Wyrzykowski, Ł.; Mandel, I. Constraining the masses of microlensing black holes and the mass-gap with Gaia DR2. Astron. Astrophys. 2020, 636, A20. [Google Scholar] [CrossRef]
- Lam, C.Y.; Lu, J.R.; Udalski, A.; Bond, I.; Bennett, D.P.; Skowron, J.; Mróz, P.; Poleski, R.; Sumi, T.; Szymański, M.K.; et al. An Isolated Mass-gap Black Hole or Neutron Star Detected with Astrometric Microlensing. Astrophys. J. Lett. 2022, 933, L23. [Google Scholar] [CrossRef]
- Fowler, W.A.; Hoyle, F. Neutrino Processes and Pair Formation in Massive Stars and Supernovae. Astrophys. J. Suppl. Ser. 1964, 9, 201. [Google Scholar] [CrossRef]
- Woosley, S.E.; Blinnikov, S.; Heger, A. Pulsational pair instability as an explanation for the most luminous supernovae. Nature 2007, 450, 390–392. [Google Scholar] [CrossRef] [PubMed]
- Woosley, S.E. Pulsational Pair-instability Supernovae. Astrophys. J. 2017, 836, 244. [Google Scholar] [CrossRef]
- Bellovary, J.M.; Mac Low, M.M.; McKernan, B.; Ford, K.E.S. Migration Traps in Disks around Supermassive Black Holes. Astrophys. J. Lett. 2016, 819, L17. [Google Scholar] [CrossRef]
- Spera, M.; Mapelli, M. Very massive stars, pair instability supernovae and intermediate-mass black holes with the sevn code. Mon. Not. R. Astron. Soc. 2017, 470, 4739–4749. [Google Scholar] [CrossRef]
- Farmer, R.; Renzo, M.; de Mink, S.E.; Marchant, P.; Justham, S. Mind the Gap: The Location of the Lower Edge of the Pair-instability Supernova Black Hole Mass Gap. Astrophys. J. 2019, 887, 53. [Google Scholar] [CrossRef]
- Woosley, S.E. The Evolution of Massive Helium Stars, Including Mass Loss. Astrophys. J. 2019, 878, 49. [Google Scholar] [CrossRef]
- Stevenson, S.; Sampson, M.; Powell, J.; Vigna-Gómez, A.; Neijssel, C.J.; Szécsi, D.; Mandel, I. The Impact of Pair-instability Mass Loss on the Binary Black Hole Mass Distribution. Astrophys. J. 2019, 882, 121. [Google Scholar] [CrossRef]
- Farmer, R.; Renzo, M.; de Mink, S.E.; Fishbach, M.; Justham, S. Constraints from Gravitational-wave Detections of Binary Black Hole Mergers on the 12C(α, γ)16O Rate. Astrophys. J. Lett. 2020, 902, L36. [Google Scholar] [CrossRef]
- Marchant, P.; Moriya, T.J. The impact of stellar rotation on the black hole mass-gap from pair instability supernovae. Astron. Astrophys. 2020, 640, L18. [Google Scholar] [CrossRef]
- Van Son, L.A.C.; De Mink, S.E.; Broekgaarden, F.S.; Renzo, M.; Justham, S.; Laplace, E.; Morán-Fraile, J.; Hendriks, D.D.; Farmer, R. Polluting the Pair-instability Mass Gap for Binary Black Holes through Super-Eddington Accretion in Isolated Binaries. Astrophys. J. 2020, 897, 100. [Google Scholar] [CrossRef]
- Costa, G.; Bressan, A.; Mapelli, M.; Marigo, P.; Iorio, G.; Spera, M. Formation of GW190521 from stellar evolution: The impact of the hydrogen-rich envelope, dredge-up, and 12C(α, γ)16O rate on the pair instability black hole mass gap. Mon. Not. R. Astron. Soc. 2021, 501, 4514–4533. [Google Scholar] [CrossRef]
- Vink, J.S.; Higgins, E.R.; Sander, A.A.C.; Sabhahit, G.N. Maximum black hole mass across cosmic time. Mon. Not. R. Astron. Soc. 2021, 504, 146–154. [Google Scholar] [CrossRef]
- Arca Sedda, M.; Benacquista, M. Using final black hole spins and masses to infer the formation history of the observed population of gravitational wave sources. Mon. Not. R. Astron. Soc. 2019, 482, 2991–3010. [Google Scholar] [CrossRef]
- Bavera, S.S.; Fragos, T.; Qin, Y.; Zapartas, E.; Neijssel, C.J.; Mandel, I.; Batta, A.; Gaebel, S.M.; Kimball, C.; Stevenson, S. The origin of spin in binary black holes. Predicting the distributions of the main observables of Advanced LIGO. Astron. Astrophys. 2020, 635, A97. [Google Scholar] [CrossRef]
- Arca Sedda, M.; Mapelli, M.; Spera, M.; Benacquista, M.; Giacobbo, N. Fingerprints of Binary Black Hole Formation Channels Encoded in the Mass and Spin of Merger Remnants. Astrophys. J. 2020, 894, 133. [Google Scholar] [CrossRef]
- Arca Sedda, M.; Mapelli, M.; Benacquista, M.; Spera, M. Population synthesis of black hole mergers with B-POP: The impact of dynamics, natal spins, and intermediate-mass black holes on the population of gravitational wave sources. arXiv 2021, arXiv:2109.12119. [Google Scholar]
- Zevin, M.; Spera, M.; Berry, C.P.L.; Kalogera, V. Exploring the Lower Mass Gap and Unequal Mass Regime in Compact Binary Evolution. Astrophys. J. Lett. 2020, 899, L1. [Google Scholar] [CrossRef]
- Zevin, M.; Bavera, S.S.; Berry, C.P.L.; Kalogera, V.; Fragos, T.; Marchant, P.; Rodriguez, C.L.; Antonini, F.; Holz, D.E.; Pankow, C. One Channel to Rule Them All? Constraining the Origins of Binary Black Holes Using Multiple Formation Pathways. Astrophys. J. 2021, 910, 152. [Google Scholar] [CrossRef]
- Mapelli, M.; Bouffanais, Y.; Santoliquido, F.; Arca Sedda, M.; Artale, M.C. The cosmic evolution of binary black holes in young, globular, and nuclear star clusters: Rates, masses, spins, and mixing fractions. Mon. Not. R. Astron. Soc. 2022, 511, 5797–5816. [Google Scholar] [CrossRef]
- Spera, M.; Mapelli, M.; Giacobbo, N.; Trani, A.A.; Bressan, A.; Costa, G. Merging black hole binaries with the SEVN code. Mon. Not. R. Astron. Soc. 2019, 485, 889–907. [Google Scholar] [CrossRef]
- Di Carlo, U.N.; Mapelli, M.; Bouffanais, Y.; Giacobbo, N.; Santoliquido, F.; Bressan, A.; Spera, M.; Haardt, F. Binary black holes in the pair instability mass-gap. Mon. Not. R. Astron. Soc. 2020, 497, 1043–1049. [Google Scholar] [CrossRef]
- Arca-Sedda, M.; Rizzuto, F.P.; Naab, T.; Ostriker, J.; Giersz, M.; Spurzem, R. Breaching the Limit: Formation of GW190521-like and IMBH Mergers in Young Massive Clusters. Astrophys. J. 2021, 920, 128. [Google Scholar] [CrossRef]
- Rizzuto, F.P.; Naab, T.; Spurzem, R.; Arca-Sedda, M.; Giersz, M.; Ostriker, J.P.; Banerjee, S. Black hole mergers in compact star clusters and massive black hole formation beyond the mass-gap. Mon. Not. R. Astron. Soc. 2022, 512, 884–898. [Google Scholar] [CrossRef]
- Rizzuto, F.P.; Naab, T.; Spurzem, R.; Giersz, M.; Ostriker, J.P.; Stone, N.C.; Wang, L.; Berczik, P.; Rampp, M. Intermediate mass black hole formation in compact young massive star clusters. Mon. Not. R. Astron. Soc. 2021, 501, 5257–5273. [Google Scholar] [CrossRef]
- Kremer, K.; Spera, M.; Becker, D.; Chatterjee, S.; Di Carlo, U.N.; Fragione, G.; Rodriguez, C.L.; Ye, C.S.; Rasio, F.A. Populating the Upper Black Hole Mass Gap through Stellar Collisions in Young Star Clusters. Astrophys. J. 2020, 903, 45. [Google Scholar] [CrossRef]
- Costa, G.; Ballone, A.; Mapelli, M.; Bressan, A. Formation of black holes in the pair instability mass-gap: Evolution of a post-collision star. Mon. Not. R. Astron. Soc. 2022, 516, 1072–1080. [Google Scholar] [CrossRef]
- Ballone, A.; Costa, G.; Mapelli, M.; MacLeod, M. Formation of black holes in the pair instability mass-gap: Hydrodynamical simulation of a head-on massive star collision. arXiv 2022, arXiv:2204.03493. [Google Scholar] [CrossRef]
- O’Leary, R.M.; Meiron, Y.; Kocsis, B. Dynamical Formation Signatures of Black Hole Binaries in the First Detected Mergers by LIGO. Astrophys. J. Lett. 2016, 824, L12. [Google Scholar] [CrossRef]
- Gerosa, D.; Berti, E. Are merging black holes born from stellar collapse or previous mergers? Phys. Rev. D 2017, 95, 124046. [Google Scholar] [CrossRef]
- Rodriguez, C.L.; Zevin, M.; Amaro-Seoane, P.; Chatterjee, S.; Kremer, K.; Rasio, F.A.; Ye, C.S. Black holes: The next generation—repeated mergers in dense star clusters and their gravitational wave properties. Phys. Rev. D 2019, 100, 043027. [Google Scholar] [CrossRef]
- Antonini, F.; Gieles, M.; Gualandris, A. Black hole growth through hierarchical black hole mergers in dense star clusters: Implications for gravitational wave detections. Mon. Not. R. Astron. Soc. 2019, 486, 5008–5021. [Google Scholar] [CrossRef]
- Mapelli, M.; Santoliquido, F.; Bouffanais, Y.; Arca Sedda, M.A.; Artale, M.C.; Ballone, A. Mass and Rate of Hierarchical Black Hole Mergers in Young, Globular and Nuclear Star Clusters. Symmetry 2021, 13, 1678. [Google Scholar] [CrossRef]
- Mapelli, M.; Dall’Amico, M.; Bouffanais, Y.; Giacobbo, N.; Arca Sedda, M.; Artale, M.C.; Ballone, A.; Di Carlo, U.N.; Iorio, G.; Santoliquido, F.; et al. Hierarchical black hole mergers in young, globular and nuclear star clusters: The effect of metallicity, spin and cluster properties. Mon. Not. R. Astron. Soc. 2021, 505, 339–358. [Google Scholar] [CrossRef]
- Guillochon, J.; Ramirez-Ruiz, E. Hydrodynamical Simulations to Determine the Feeding Rate of Black Holes by the Tidal Disruption of Stars: The Importance of the Impact Parameter and Stellar Structure. Astrophys. J. 2013, 767, 25. [Google Scholar] [CrossRef]
- Glebbeek, E.; Gaburov, E.; de Mink, S.E.; Pols, O.R.; Portegies Zwart, S.F. The evolution of runaway stellar collision products. Astron. Astrophys. 2009, 497, 255–264. [Google Scholar] [CrossRef]
- Shiokawa, H.; Krolik, J.H.; Cheng, R.M.; Piran, T.; Noble, S.C. General Relativistic Hydrodynamic Simulation of Accretion Flow from a Stellar Tidal Disruption. Astrophys. J. 2015, 804, 85. [Google Scholar] [CrossRef]
- Law-Smith, J.; Guillochon, J.; Ramirez-Ruiz, E. The Tidal Disruption of Sun-like Stars by Massive Black Holes. Astrophys. J. Lett. 2019, 882, L25. [Google Scholar] [CrossRef]
- Schrøder, S.L.; MacLeod, M.; Loeb, A.; Vigna-Gómez, A.; Mandel, I. Explosions Driven by the Coalescence of a Compact Object with the Core of a Massive-star Companion inside a Common Envelope: Circumstellar Properties, Light Curves, and Population Statistics. Astrophys. J. 2020, 892, 13. [Google Scholar] [CrossRef]
- Cruz-Osorio, A.; Rezzolla, L. Common-envelope Dynamics of a Stellar-mass Black Hole: General Relativistic Simulations. Astrophys. J. 2020, 894, 147. [Google Scholar] [CrossRef]
- Campanelli, M.; Lousto, C.O.; Zlochower, Y.; Merritt, D. Maximum Gravitational Recoil. Phys. Rev. Let. 2007, 98, 231102. [Google Scholar] [CrossRef] [PubMed]
- Lousto, C.O.; Zlochower, Y. Further insight into gravitational recoil. Phys. Rev. D 2008, 77, 044028. [Google Scholar] [CrossRef]
- Lousto, C.O.; Zlochower, Y.; Dotti, M.; Volonteri, M. Gravitational recoil from accretion-aligned black-hole binaries. Phys. Rev. D 2012, 85, 084015. [Google Scholar] [CrossRef]
- Holley-Bockelmann, K.; Gültekin, K.; Shoemaker, D.; Yunes, N. Gravitational Wave Recoil and the Retention of Intermediate-Mass Black Holes. Astrophys. J. 2008, 686, 829–837. [Google Scholar] [CrossRef]
- Antonini, F.; Rasio, F.A. Merging Black Hole Binaries in Galactic Nuclei: Implications for Advanced-LIGO Detections. Astrophys. J. 2016, 831, 187. [Google Scholar] [CrossRef]
- Fragione, G.; Kocsis, B.; Rasio, F.A.; Silk, J. Repeated Mergers, Mass-gap Black Holes, and Formation of Intermediate-mass Black Holes in Dense Massive Star Clusters. Astrophys. J. 2022, 927, 231. [Google Scholar] [CrossRef]
- Arca Sedda, M.; Amaro Seoane, P.; Chen, X. Merging stellar and intermediate-mass black holes in dense clusters: Implications for LIGO, LISA, and the next generation of gravitational wave detectors. Astron. Astrophys. 2021, 652, A54. [Google Scholar] [CrossRef]
- Arca Sedda, M. Dissecting the properties of neutron star-black hole mergers originating in dense star clusters. Commun. Phys. 2020, 3, 43. [Google Scholar] [CrossRef]
- Gupta, A.; Gerosa, D.; Arun, K.G.; Berti, E.; Farr, W.M.; Sathyaprakash, B.S. Black holes in the low-mass-gap: Implications for gravitational wave observations. Phys. Rev. D 2020, 101, 103036. [Google Scholar] [CrossRef]
- Rastello, S.; Mapelli, M.; Di Carlo, U.N.; Giacobbo, N.; Santoliquido, F.; Spera, M.; Ballone, A.; Iorio, G. Dynamics of black hole-neutron star binaries in young star clusters. Mon. Not. R. Astron. Soc. 2020, 497, 1563–1570. [Google Scholar] [CrossRef]
- Ye, C.S.; Fong, W.F.; Kremer, K.; Rodriguez, C.L.; Chatterjee, S.; Fragione, G.; Rasio, F.A. On the Rate of Neutron Star Binary Mergers from Globular Clusters. Astrophys. J. Lett. 2020, 888, L10. [Google Scholar] [CrossRef]
- Yang, Y.; Gayathri, V.; Bartos, I.; Haiman, Z.; Safarzadeh, M.; Tagawa, H. Black Hole Formation in the Lower Mass Gap through Mergers and Accretion in AGN Disks. Astrophys. J. Lett. 2020, 901, L34. [Google Scholar] [CrossRef]
- Kritos, K.; Cholis, I. Black holes merging with low mass-gap objects inside globular clusters. Phys. Rev. D 2021, 104, 043004. [Google Scholar] [CrossRef]
- Arca Sedda, M. Dynamical Formation of the GW190814 Merger. Astrophys. J. Lett. 2021, 908, L38. [Google Scholar] [CrossRef]
- Mandel, I.; de Mink, S.E. Merging binary black holes formed through chemically homogeneous evolution in short-period stellar binaries. Mon. Not. R. Astron. Soc. 2016, 458, 2634–2647. [Google Scholar] [CrossRef]
- Rodriguez, C.L.; Zevin, M.; Pankow, C.; Kalogera, V.; Rasio, F.A. Illuminating Black Hole Binary Formation Channels with Spins in Advanced LIGO. Astrophys. J. Lett. 2016, 832, L2. [Google Scholar] [CrossRef]
- Gerosa, D.; Berti, E.; O’Shaughnessy, R.; Belczynski, K.; Kesden, M.; Wysocki, D.; Gladysz, W. Spin orientations of merging black holes formed from the evolution of stellar binaries. Phys. Rev. D 2018, 98, 084036. [Google Scholar] [CrossRef]
- Talbot, C.; Thrane, E. Determining the population properties of spinning black holes. Phys. Rev. D 2017, 96, 023012. [Google Scholar] [CrossRef]
- The LIGO Scientific Collaboration; The Virgo Collaboration; The KAGRA Collaboration; Abbott, R.; Abbott, T.D.; Acernese, F.; Ackley, K.; Adams, C.; Adhikari, N.; Adhikari, R.X.; et al. The population of merging compact binaries inferred using gravitational waves through GWTC-3. arXiv 2021, arXiv:2111.03634. [Google Scholar]
- Gerosa, D.; Fishbach, M. Hierarchical mergers of stellar-mass black holes and their gravitational wave signatures. Nat. Astron. 2021, 5, 749–760. [Google Scholar] [CrossRef]
- Damour, T.; Nagar, A. New effective-one-body description of coalescing nonprecessing spinning black-hole binaries. Phys. Rev. D 2014, 90, 044018. [Google Scholar] [CrossRef]
- Cao, Z.; Han, W.B. Waveform model for an eccentric binary black hole based on the effective-one-body-numerical-relativity formalism. Phys. Rev. D 2017, 96, 044028. [Google Scholar] [CrossRef]
- Liu, X.; Cao, Z.; Shao, L. Validating the effective-one-body numerical-relativity waveform models for spin-aligned binary black holes along eccentric orbits. Phys. Rev. D 2020, 101, 044049. [Google Scholar] [CrossRef]
- Knee, A.M.; Romero-Shaw, I.M.; Lasky, P.D.; McIver, J.; Thrane, E. A Rosetta Stone for Eccentric Gravitational Waveform Models. Astrophys. J. 2022, 936, 172. [Google Scholar] [CrossRef]
- Romero-Shaw, I.; Lasky, P.D.; Thrane, E.; Calderón Bustillo, J. GW190521: Orbital Eccentricity and Signatures of Dynamical Formation in a Binary Black Hole Merger Signal. Astrophys. J. Lett. 2020, 903, L5. [Google Scholar] [CrossRef]
- Romero-Shaw, I.; Lasky, P.D.; Thrane, E. Signs of Eccentricity in Two Gravitational-wave Signals May Indicate a Subpopulation of Dynamically Assembled Binary Black Holes. Astrophys. J. Lett. 2021, 921, L31. [Google Scholar] [CrossRef]
- Romero-Shaw, I.M.; Lasky, P.D.; Thrane, E. Four eccentric mergers increase the evidence that LIGO–Virgo–KAGRA’s binary black holes form dynamically. arXiv 2022, arXiv:2206.14695. [Google Scholar] [CrossRef]
- Gayathri, V.; Healy, J.; Lange, J.; O’Brien, B.; Szczepańczyk, M.; Bartos, I.; Campanelli, M.; Klimenko, S.; Lousto, C.O.; O’Shaughnessy, R. Eccentricity estimate for black hole mergers with numerical relativity simulations. Nat. Astron. 2022, 6, 344–349. [Google Scholar] [CrossRef]
- Gondán, L.; Kocsis, B.; Raffai, P.; Frei, Z. Accuracy of Estimating Highly Eccentric Binary Black Hole Parameters with Gravitational-wave Detections. Astrophys. J. 2018, 855, 34. [Google Scholar] [CrossRef]
- Gondán, L.; Kocsis, B. Measurement Accuracy of Inspiraling Eccentric Neutron Star and Black Hole Binaries Using Gravitational Waves. Astrophys. J. 2019, 871, 178. [Google Scholar] [CrossRef]
- Portegies Zwart, S.F.; Verbunt, F. Population synthesis of high-mass binaries. Astron. Astrophys. 1996, 309, 179–196. [Google Scholar]
- Hurley, J.R.; Tout, C.A.; Pols, O.R. Evolution of binary stars and the effect of tides on binary populations. Mon. Not. R. Astron. Soc. 2002, 329, 897–928. [Google Scholar] [CrossRef]
- Marchant, P.; Langer, N.; Podsiadlowski, P.; Tauris, T.M.; Moriya, T.J. A new route towards merging massive black holes. Astron. Astrophys. 2016, 588, A50. [Google Scholar] [CrossRef]
- Neijssel, C.J.; Vigna-Gómez, A.; Stevenson, S.; Barrett, J.W.; Gaebel, S.M.; Broekgaarden, F.S.; de Mink, S.E.; Szécsi, D.; Vinciguerra, S.; Mandel, I. The effect of the metallicity-specific star formation history on double compact object mergers. Mon. Not. R. Astron. Soc. 2019, 490, 3740–3759. [Google Scholar] [CrossRef]
- Dorozsmai, A.; Toonen, S. Importance of stable mass transfer and stellar winds for the formation of gravitational wave sources. arXiv 2022, arXiv:2207.08837. [Google Scholar]
- Trani, A.A.; Rieder, S.; Tanikawa, A.; Iorio, G.; Martini, R.; Karelin, G.; Glanz, H.; Portegies Zwart, S. Revisiting the common envelope evolution in binary stars: A new semianalytic model for N -body and population synthesis codes. Phys. Rev. D 2022, 106, 043014. [Google Scholar] [CrossRef]
- Zevin, M.; Samsing, J.; Rodriguez, C.; Haster, C.J.; Ramirez-Ruiz, E. Eccentric Black Hole Mergers in Dense Star Clusters: The Role of Binary-Binary Encounters. Astrophys. J. 2019, 871, 91. [Google Scholar] [CrossRef]
- Samsing, J.; Ramirez-Ruiz, E. On the Assembly Rate of Highly Eccentric Binary Black Hole Mergers. Astrophys. J. Lett. 2017, 840, L14. [Google Scholar] [CrossRef]
- Kocsis, B. Dynamical Formation of Merging Stellar-Mass Binary Black Holes. In Handbook of Gravitational Wave Astronomy; Bambi, C., Katsanevas, S., Kokkotas, K.D., Eds.; Springer: Singapore, 2022; p. 15. [Google Scholar] [CrossRef]
- Samsing, J.; D’Orazio, D.J. Black Hole Mergers From Globular Clusters Observable by LISA I: Eccentric Sources Originating From Relativistic N-body Dynamics. Mon. Not. R. Astron. Soc. 2018, 481, 5445–5450. [Google Scholar] [CrossRef]
- Arca Sedda, M.; Li, G.; Kocsis, B. Order in the chaos. Eccentric black hole binary mergers in triples formed via strong binary–binary scatterings. Astron. Astrophys. 2021, 650, A189. [Google Scholar] [CrossRef]
- Nishizawa, A.; Berti, E.; Klein, A.; Sesana, A. eLISA eccentricity measurements as tracers of binary black hole formation. Phys. Rev. D 2016, 94, 064020. [Google Scholar] [CrossRef]
- Arca-Sedda, M.; Capuzzo-Dolcetta, R. The MEGaN project II. Gravitational waves from intermediate-mass and binary black holes around a supermassive black hole. Mon. Not. R. Astron. Soc. 2019, 483, 152–171. [Google Scholar] [CrossRef]
- Raghavan, D.; McAlister, H.A.; Henry, T.J.; Latham, D.W.; Marcy, G.W.; Mason, B.D.; Gies, D.R.; White, R.J.; ten Brummelaar, T.A. A Survey of Stellar Families: Multiplicity of Solar-type Stars. Astrophys. J. Suppl. Ser. 2010, 190, 1–42. [Google Scholar] [CrossRef]
- Sana, H.; Evans, C.J. The multiplicity of massive stars. Proc. Int. Astron. Union 2011, 272, 474–485. [Google Scholar] [CrossRef]
- Sana, H.; de Mink, S.E.; de Koter, A.; Langer, N.; Evans, C.J.; Gieles, M.; Gosset, E.; Izzard, R.G.; Le Bouquin, J.B.; Schneider, F.R.N. Binary Interaction Dominates the Evolution of Massive Stars. Science 2012, 337, 444. [Google Scholar] [CrossRef]
- Moe, M.; Di Stefano, R. Mind Your Ps and Qs: The Interrelation between Period (P) and Mass-ratio (Q) Distributions of Binary Stars. Astrophys. J. Suppl. Ser. 2017, 230, 15. [Google Scholar] [CrossRef]
- Ott, T.; Eckart, A.; Genzel, R. Variable and Embedded Stars in the Galactic Center. Astrophys. J. 1999, 523, 248–264. [Google Scholar] [CrossRef]
- Martins, F.; Trippe, S.; Paumard, T.; Ott, T.; Genzel, R.; Rauw, G.; Eisenhauer, F.; Gillessen, S.; Maness, H.; Abuter, R. GCIRS 16SW: A Massive Eclipsing Binary in the Galactic Center. Astrophys. J. Lett. 2006, 649, L103–L106. [Google Scholar] [CrossRef]
- Rafelski, M.; Ghez, A.M.; Hornstein, S.D.; Lu, J.R.; Morris, M. Photometric Stellar Variability in the Galactic Center. Astrophys. J. 2007, 659, 1241–1256. [Google Scholar] [CrossRef]
- Pfuhl, O.; Alexander, T.; Gillessen, S.; Martins, F.; Genzel, R.; Eisenhauer, F.; Fritz, T.K.; Ott, T. Massive Binaries in the Vicinity of Sgr A. Astrophys. J. 2014, 782, 101. [Google Scholar] [CrossRef]
- Gautam, A.K.; Do, T.; Ghez, A.M.; Morris, M.R.; Martinez, G.D.; Hosek, M.W.; Lu, J.R.; Sakai, S.; Witzel, G.; Jia, S.; et al. An Adaptive Optics Survey of Stellar Variability at the Galactic Center. Astrophys. J. 2019, 871, 103. [Google Scholar] [CrossRef]
- Zhu, Z.; Li, Z.; Morris, M.R. An Ultradeep Chandra Catalog of X-ray Point Sources in the Galactic Center Star Cluster. Astrophys. J. Suppl. Ser. 2018, 235, 26. [Google Scholar] [CrossRef]
- Muno, M.P.; Lu, J.R.; Baganoff, F.K.; Brandt, W.N.; Garmire, G.P.; Ghez, A.M.; Hornstein, S.D.; Morris, M.R. A Remarkable Low-Mass X-ray Binary within 0.1 Parsecs of the Galactic Center. Astrophys. J. 2005, 633, 228–239. [Google Scholar] [CrossRef]
- Muno, M.P.; Bauer, F.E.; Bandyopadhyay, R.M.; Wang, Q.D. A Chandra Catalog of X-ray Sources in the Central 150 pc of the Galaxy. Astrophys. J. Suppl. Ser. 2006, 165, 173–187. [Google Scholar] [CrossRef]
- Muno, M.P.; Bauer, F.E.; Baganoff, F.K.; Bandyopadhyay, R.M.; Bower, G.C.; Brandt, W.N.; Broos, P.S.; Cotera, A.; Eikenberry, S.S.; Garmire, G.P.; et al. A Catalog of X-ray Point Sources from Two Megaseconds of Chandra Observations of the Galactic Center. Astrophys. J. Suppl. Ser. 2009, 181, 110–128. [Google Scholar] [CrossRef]
- Abazajian, K.N. The consistency of Fermi-LAT observations of the galactic center with a millisecond pulsar population in the central stellar cluster. J. Cosmol. Astropart. Phys. 2011, 2011, 10. [Google Scholar] [CrossRef]
- Bartels, R.; Krishnamurthy, S.; Weniger, C. Strong Support for the Millisecond Pulsar Origin of the Galactic Center GeV Excess. Phys. Rev. Lett. 2016, 116, 051102. [Google Scholar] [CrossRef]
- Hooper, D.; Goodenough, L. Dark matter annihilation in the Galactic Center as seen by the Fermi Gamma Ray Space Telescope. Phys. Lett. B 2011, 697, 412–428. [Google Scholar] [CrossRef]
- Macquart, J.P.; Kanekar, N. On Detecting Millisecond Pulsars at the Galactic Center. Astrophys. J. 2015, 805, 172. [Google Scholar] [CrossRef]
- Zhao, J.H.; Morris, M.R.; Goss, W.M. Detection of a Dense Group of Hypercompact Radio Sources in the Central Parsec of the Galaxy. Astrophys. J. Lett. 2022, 927, L6. [Google Scholar] [CrossRef]
- Bartels, R.; Calore, F.; Storm, E.; Weniger, C. Galactic binaries can explain the Fermi Galactic centre excess and 511 keV emission. Mon. Not. R. Astron. Soc. 2018, 480, 3826–3841. [Google Scholar] [CrossRef]
- Guépin, C.; Rinchiuso, L.; Kotera, K.; Moulin, E.; Pierog, T.; Silk, J. Pevatron at the Galactic Center: Multi-wavelength signatures from millisecond pulsars. J. Cosmol. Astropart. Phys. 2018, 2018, 42. [Google Scholar] [CrossRef]
- Eckner, C.; Hou, X.; Serpico, P.D.; Winter, M.; Zaharijas, G.; Martin, P.; di Mauro, M.; Mirabal, N.; Petrovic, J.; Prodanovic, T.; et al. Millisecond Pulsar Origin of the Galactic Center Excess and Extended Gamma-Ray Emission from Andromeda: A Closer Look. Astrophys. J. 2018, 862, 79. [Google Scholar] [CrossRef]
- Brandt, T.D.; Kocsis, B. Disrupted Globular Clusters Can Explain the Galactic Center Gamma-Ray Excess. Astrophys. J. 2015, 812, 15. [Google Scholar] [CrossRef]
- Naoz, S.; Fragos, T.; Geller, A.; Stephan, A.P.; Rasio, F.A. Formation of Black Hole Low-mass X-ray Binaries in Hierarchical Triple Systems. Astrophys. J. Lett. 2016, 822, L24. [Google Scholar] [CrossRef]
- Levin, Y. Starbursts near supermassive black holes: Young stars in the Galactic Centre, and gravitational waves in LISA band. Mon. Not. R. Astron. Soc. 2007, 374, 515–524. [Google Scholar] [CrossRef]
- Alexander, R.D.; Armitage, P.J.; Cuadra, J. Binary formation and mass function variations in fragmenting discs with short cooling times. Mon. Not. R. Astron. Soc. 2008, 389, 1655–1664. [Google Scholar] [CrossRef]
- Brown, W.R.; Geller, M.J.; Kenyon, S.J.; Kurtz, M.J. Discovery of an Unbound Hypervelocity Star in the Milky Way Halo. Astrophys. J. Lett. 2005, 622, L33–L36. [Google Scholar] [CrossRef]
- Brown, W.R.; Geller, M.J.; Kenyon, S.J.; Kurtz, M.J. Hypervelocity Stars. I. The Spectroscopic Survey. Astrophys. J. 2006, 647, 303–311. [Google Scholar] [CrossRef]
- Brown, W.R.; Geller, M.J.; Kenyon, S.J.; Kurtz, M.J.; Bromley, B.C. Hypervelocity Stars. III. The Space Density and Ejection History of Main-Sequence Stars from the Galactic Center. Astrophys. J. 2007, 671, 1708–1716. [Google Scholar] [CrossRef]
- Brown, W.R. Hypervelocity Stars. Annu. Rev. Astron. Astrophys. 2015, 53, 15–49. [Google Scholar] [CrossRef]
- Brown, W.R.; Lattanzi, M.G.; Kenyon, S.J.; Geller, M.J. Gaia and the Galactic Center Origin of Hypervelocity Stars. Astrophys. J. 2018, 866, 39. [Google Scholar] [CrossRef]
- Hills, J.G. Hyper-velocity and tidal stars from binaries disrupted by a massive Galactic black hole. Nature 1988, 331, 687–689. [Google Scholar] [CrossRef]
- Yu, Q.; Tremaine, S. Ejection of Hypervelocity Stars by the (Binary) Black Hole in the Galactic Center. Astrophys. J. 2003, 599, 1129–1138. [Google Scholar] [CrossRef]
- Gould, A.; Quillen, A.C. Sagittarius A* Companion S0-2: A Probe of Very High Mass Star Formation. Astrophys. J. 2003, 592, 935–940. [Google Scholar] [CrossRef]
- Perets, H.B.; Hopman, C.; Alexander, T. Massive Perturber-driven Interactions between Stars and a Massive Black Hole. Astrophys. J. 2007, 656, 709–720. [Google Scholar] [CrossRef]
- O’Leary, R.M.; Loeb, A. Production of hypervelocity stars through encounters with stellar-mass black holes in the Galactic Centre. Mon. Not. R. Astron. Soc. 2008, 383, 86–92. [Google Scholar] [CrossRef]
- Perets, H.B. Runaway and Hypervelocity Stars in the Galactic Halo: Binary Rejuvenation and Triple Disruption. Astrophys. J. 2009, 698, 1330–1340. [Google Scholar] [CrossRef]
- Brown, H.; Kobayashi, S.; Rossi, E.M.; Sari, R. Tidal disruption of inclined or eccentric binaries by massive black holes. Mon. Not. R. Astron. Soc. 2018, 477, 5682–5691. [Google Scholar] [CrossRef]
- Rose, S.C.; Naoz, S.; Gautam, A.K.; Ghez, A.M.; Do, T.; Chu, D.; Becklin, E. On Socially Distant Neighbors: Using Binaries to Constrain the Density of Objects in the Galactic Center. Astrophys. J. 2020, 904, 113. [Google Scholar] [CrossRef]
- Lu, J.R.; Do, T.; Ghez, A.M.; Morris, M.R.; Yelda, S.; Matthews, K. Stellar Populations in the Central 0.5 pc of the Galaxy. II. The Initial Mass Function. Astrophys. J. 2013, 764, 155. [Google Scholar] [CrossRef]
- Stephan, A.P.; Naoz, S.; Ghez, A.M.; Witzel, G.; Sitarski, B.N.; Do, T.; Kocsis, B. Merging binaries in the Galactic Center: The eccentric Kozai–Lidov mechanism with stellar evolution. Mon. Not. R. Astron. Soc. 2016, 460, 3494–3504. [Google Scholar] [CrossRef]
- Lu, J.R.; Ghez, A.M.; Hornstein, S.D.; Morris, M.R.; Becklin, E.E.; Matthews, K. A Disk of Young Stars at the Galactic Center as Determined by Individual Stellar Orbits. Astrophys. J. 2009, 690, 1463–1487. [Google Scholar] [CrossRef]
- Yelda, S.; Ghez, A.M.; Lu, J.R.; Do, T.; Meyer, L.; Morris, M.R.; Matthews, K. Properties of the Remnant Clockwise Disk of Young Stars in the Galactic Center. Astrophys. J. 2014, 783, 131. [Google Scholar] [CrossRef]
- Naoz, S.; Ghez, A.M.; Hees, A.; Do, T.; Witzel, G.; Lu, J.R. Confusing Binaries: The Role of Stellar Binaries in Biasing Disk Properties in the Galactic Center. Astrophys. J. Lett. 2018, 853, L24. [Google Scholar] [CrossRef]
- Spitzer, L. Dynamical Evolution of Globular Clusters; Princeton University Press: Princeton, NJ, USA, 1987. [Google Scholar]
- Binney, J.; Tremaine, S. Galactic Dynamics, 2nd ed.; Princeton University Press: Princeton, NJ, USA, 2008. [Google Scholar]
- Seth, A.C.; Dalcanton, J.J.; Hodge, P.W.; Debattista, V.P. Clues to Nuclear Star Cluster Formation from Edge-on Spirals. Astron. J. 2006, 132, 2539–2555. [Google Scholar] [CrossRef]
- Seth, A.C.; Blum, R.D.; Bastian, N.; Caldwell, N.; Debattista, V.P. The Rotating Nuclear Star Cluster in NGC 4244. Astrophys. J. 2008, 687, 997–1003. [Google Scholar] [CrossRef]
- Spengler, C.; Côté, P.; Roediger, J.; Ferrarese, L.; Sánchez-Janssen, R.; Toloba, E.; Liu, Y.; Guhathakurta, P.; Cuillandre, J.C.; Gwyn, S.; et al. Virgo Redux: The Masses and Stellar Content of Nuclei in Early-type Galaxies from Multiband Photometry and Spectroscopy. Astrophys. J. 2017, 849, 55. [Google Scholar] [CrossRef]
- Feldmeier, A.; Neumayer, N.; Seth, A.; Schödel, R.; Lützgendorf, N.; de Zeeuw, P.T.; Kissler-Patig, M.; Nishiyama, S.; Walcher, C.J. Large scale kinematics and dynamical modelling of the Milky Way nuclear star cluster. Astron. Astrophys. 2014, 570, A2. [Google Scholar] [CrossRef]
- Fahrion, K.; Lyubenova, M.; van de Ven, G.; Leaman, R.; Hilker, M.; Martín-Navarro, I.; Zhu, L.; Alfaro-Cuello, M.; Coccato, L.; Corsini, E.M.; et al. Constraining nuclear star cluster formation using MUSE-AO observations of the early-type galaxy FCC 47. Astron. Astrophys. 2019, 628, A92. [Google Scholar] [CrossRef]
- Rossa, J.; van der Marel, R.P.; Böker, T.; Gerssen, J.; Ho, L.C.; Rix, H.W.; Shields, J.C.; Walcher, C.J. Hubble Space Telescope STIS Spectra of Nuclear Star Clusters in Spiral Galaxies: Dependence of Age and Mass on Hubble Type. Astron. J. 2006, 132, 1074–1099. [Google Scholar] [CrossRef]
- Kacharov, N.; Neumayer, N.; Seth, A.C.; Cappellari, M.; McDermid, R.; Walcher, C.J.; Böker, T. Stellar populations and star formation histories of the nuclear star clusters in six nearby galaxies. Mon. Not. R. Astron. Soc. 2018, 480, 1973–1998. [Google Scholar] [CrossRef]
- Filippenko, A.V.; Ho, L.C. A Low-Mass Central Black Hole in the Bulgeless Seyfert 1 Galaxy NGC 4395. Astrophys. J. Lett. 2003, 588, L13–L16. [Google Scholar] [CrossRef]
- Hilker, M.; Infante, L.; Vieira, G.; Kissler-Patig, M.; Richtler, T. The central region of the Fornax cluster. II. Spectroscopy and radial velocities of member and background galaxies. Astron. Astrophys. Suppl. Ser. 1999, 134, 75–86. [Google Scholar] [CrossRef]
- Afanasiev, A.V.; Chilingarian, I.V.; Mieske, S.; Voggel, K.T.; Picotti, A.; Hilker, M.; Seth, A.; Neumayer, N.; Frank, M.; Romanowsky, A.J.; et al. A 3.5 million Solar masses black hole in the centre of the ultracompact dwarf galaxy fornax UCD3. Mon. Not. R. Astron. Soc. 2018, 477, 4856–4865. [Google Scholar] [CrossRef]
- Bekki, K.; Couch, W.J.; Drinkwater, M.J. Galaxy Threshing and the Formation of Ultracompact Dwarf Galaxies. Astrophys. J. Lett. 2001, 552, L105–L108. [Google Scholar] [CrossRef]
- Bekki, K.; Couch, W.J.; Drinkwater, M.J.; Shioya, Y. Galaxy threshing and the origin of ultra-compact dwarf galaxies in the Fornax cluster. Mon. Not. R. Astron. Soc. 2003, 344, 399–411. [Google Scholar] [CrossRef]
- Norris, M.A.; Kannappan, S.J.; Forbes, D.A.; Romanowsky, A.J.; Brodie, J.P.; Faifer, F.R.; Huxor, A.; Maraston, C.; Moffett, A.J.; Penny, S.J.; et al. The AIMSS Project—I. Bridging the star cluster-galaxy divide. Mon. Not. R. Astron. Soc. 2014, 443, 1151–1172. [Google Scholar] [CrossRef]
- Voggel, K.T.; Seth, A.C.; Sand, D.J.; Hughes, A.; Strader, J.; Crnojevic, D.; Caldwell, N. A Gaia-based Catalog of Candidate Stripped Nuclei and Luminous Globular Clusters in the Halo of Centaurus A. Astrophys. J. 2020, 899, 140. [Google Scholar] [CrossRef]
- Ferrarese, L.; Côté, P.; Dalla Bontà, E.; Peng, E.W.; Merritt, D.; Jordán, A.; Blakeslee, J.P.; Haşegan, M.; Mei, S.; Piatek, S.; et al. A Fundamental Relation between Compact Stellar Nuclei, Supermassive Black Holes, and Their Host Galaxies. Astrophys. J. Lett. 2006, 644, L21–L24. [Google Scholar] [CrossRef]
- Kormendy, J.; Ho, L.C. Coevolution (Or Not) of Supermassive Black Holes and Host Galaxies. Annu. Rev. Astron. Astrophys. 2013, 51, 511–653. [Google Scholar] [CrossRef]
- Loose, H.H.; Kruegel, E.; Tutukov, A. Bursts of star formation in the galactic centre. Astron. Astrophys. 1982, 105, 342–350. [Google Scholar]
- Milosavljević, M.; Merritt, D. Formation of Galactic Nuclei. Astrophys. J. 2001, 563, 34–62. [Google Scholar] [CrossRef]
- Milosavljević, M. On the Origin of Nuclear Star Clusters in Late-Type Spiral Galaxies. Astrophys. J. Lett. 2004, 605, L13–L16. [Google Scholar] [CrossRef]
- Bekki, K.; Couch, W.J.; Shioya, Y. Dissipative Transformation of Nonnucleated Dwarf Galaxies into Nucleated Systems. Astrophys. J. Lett. 2006, 642, L133–L136. [Google Scholar] [CrossRef]
- Schinnerer, E.; Böker, T.; Emsellem, E.; Downes, D. Bar-driven mass build-up within the central 50 pc of NGC 6946. Astron. Astrophys. 2007, 462, L27–L30. [Google Scholar] [CrossRef]
- Bekki, K. The Formation of Stellar Galactic Nuclei through Dissipative Gas Dynamics. Publ. Astron. Soc. Aust. 2007, 24, 77–94. [Google Scholar] [CrossRef]
- Nayakshin, S.; Wilkinson, M.I.; King, A. Competitive feedback in galaxy formation. Mon. Not. R. Astron. Soc. 2009, 398, L54–L57. [Google Scholar] [CrossRef]
- Emsellem, E.; Renaud, F.; Bournaud, F.; Elmegreen, B.; Combes, F.; Gabor, J.M. The interplay between a galactic bar and a supermassive black hole: Nuclear fuelling in a subparsec resolution galaxy simulation. Mon. Not. R. Astron. Soc. 2015, 446, 2468–2482. [Google Scholar] [CrossRef]
- Antonini, F.; Barausse, E.; Silk, J. The Coevolution of Nuclear Star Clusters, Massive Black Holes, and Their Host Galaxies. Astrophys. J. 2015, 812, 72. [Google Scholar] [CrossRef]
- Brown, G.; Gnedin, O.Y.; Li, H. Nuclear Star Clusters in Cosmological Simulations. Astrophys. J. 2018, 864, 94. [Google Scholar] [CrossRef]
- Tremaine, S.D.; Ostriker, J.P.; Spitzer, L., Jr. The formation of the nuclei of galaxies. I. M31. Astrophys. J. 1975, 196, 407–411. [Google Scholar] [CrossRef]
- Capuzzo-Dolcetta, R. The Evolution of the Globular Cluster System in a Triaxial Galaxy: Can a Galactic Nucleus Form by Globular Cluster Capture? Astrophys. J. 1993, 415, 616. [Google Scholar] [CrossRef]
- Antonini, F.; Capuzzo-Dolcetta, R.; Mastrobuono-Battisti, A.; Merritt, D. Dissipationless Formation and Evolution of the Milky Way Nuclear Star Cluster. Astrophys. J. 2012, 750, 111. [Google Scholar] [CrossRef]
- Agarwal, M.; Milosavljević, M. Nuclear Star Clusters from Clustered Star Formation. Astrophys. J. 2011, 729, 35. [Google Scholar] [CrossRef]
- Antonini, F. Origin and Growth of Nuclear Star Clusters around Massive Black Holes. Astrophys. J. 2013, 763, 62. [Google Scholar] [CrossRef]
- Arca-Sedda, M.; Capuzzo-Dolcetta, R. The globular cluster migratory origin of nuclear star clusters. Mon. Not. R. Astron. Soc. 2014, 444, 3738–3755. [Google Scholar] [CrossRef]
- Arca-Sedda, M.; Capuzzo-Dolcetta, R.; Antonini, F.; Seth, A. Henize 2-10: The Ongoing Formation of a Nuclear Star Cluster around a Massive Black Hole. Astrophys. J. 2015, 806, 220. [Google Scholar] [CrossRef]
- Tsatsi, A.; Mastrobuono-Battisti, A.; van de Ven, G.; Perets, H.B.; Bianchini, P.; Neumayer, N. On the rotation of nuclear star clusters formed by cluster inspirals. Mon. Not. R. Astron. Soc. 2017, 464, 3720–3727. [Google Scholar] [CrossRef]
- Gnedin, O.Y.; Ostriker, J.P.; Tremaine, S. Co-evolution of Galactic Nuclei and Globular Cluster Systems. Astrophys. J. 2014, 785, 71. [Google Scholar] [CrossRef]
- Arca-Sedda, M.; Capuzzo-Dolcetta, R.; Spera, M. The dearth of nuclear star clusters in bright galaxies. Mon. Not. R. Astron. Soc. 2016, 456, 2457–2466. [Google Scholar] [CrossRef]
- Fahrion, K.; Lyubenova, M.; van de Ven, G.; Hilker, M.; Leaman, R.; Falcón-Barroso, J.; Bittner, A.; Coccato, L.; Corsini, E.M.; Gadotti, D.A.; et al. Diversity of nuclear star cluster formation mechanisms revealed by their star formation histories. Astron. Astrophys. 2021, 650, A137. [Google Scholar] [CrossRef]
- Fahrion, K.; Leaman, R.; Lyubenova, M.; van de Ven, G. Disentangling the formation mechanisms of nuclear star clusters. Astron. Astrophys. 2022, 658, A172. [Google Scholar] [CrossRef]
- Fahrion, K.; Bulichi, T.E.; Hilker, M.; Leaman, R.; Lyubenova, M.; Müller, O.; Neumayer, N.; Pinna, F.; Rejkuba, M.; van de Ven, G. Nuclear star cluster formation in star-forming dwarf galaxies. arXiv 2022, arXiv:2210.01556. [Google Scholar] [CrossRef]
- Bañados, E.; Venemans, B.P.; Mazzucchelli, C.; Farina, E.P.; Walter, F.; Wang, F.; Decarli, R.; Stern, D.; Fan, X.; Davies, F.B.; et al. An 800-million-solar-mass black hole in a significantly neutral Universe at a redshift of 7.5. Nature 2018, 553, 473–476. [Google Scholar] [CrossRef]
- Devecchi, B.; Volonteri, M.; Rossi, E.M.; Colpi, M.; Portegies Zwart, S. High-redshift formation and evolution of central massive objects - II. The census of BH seeds. Mon. Not. R. Astron. Soc. 2012, 421, 1465–1475. [Google Scholar] [CrossRef]
- Liu, B.; Bromm, V. Gravitational waves from the remnants of the first stars in nuclear star clusters. Mon. Not. R. Astron. Soc. 2021, 506, 5451–5467. [Google Scholar] [CrossRef]
- Stone, N.C.; Küpper, A.H.W.; Ostriker, J.P. Formation of massive black holes in galactic nuclei: Runaway tidal encounters. Mon. Not. R. Astron. Soc. 2017, 467, 4180–4199. [Google Scholar] [CrossRef]
- Kroupa, P.; Subr, L.; Jerabkova, T.; Wang, L. Very high redshift quasars and the rapid emergence of supermassive black holes. Mon. Not. R. Astron. Soc. 2020, 498, 5652–5683. [Google Scholar]
- Kroupa, P. On the variation of the initial mass function. Mon. Not. R. Astron. Soc. 2001, 322, 231–246. [Google Scholar] [CrossRef]
- Hobbs, G.; Lorimer, D.R.; Lyne, A.G.; Kramer, M. A statistical study of 233 pulsar proper motions. Mon. Not. R. Astron. Soc. 2005, 360, 974–992. [Google Scholar] [CrossRef]
- Verbunt, F.; Igoshev, A.; Cator, E. The observed velocity distribution of young pulsars. Astron. Astrophys. 2017, 608, A57. [Google Scholar] [CrossRef]
- Fryer, C.; Burrows, A.; Benz, W. Population Syntheses for Neutron Star Systems with Intrinsic Kicks. Astrophys. J. 1998, 496, 333–351. [Google Scholar] [CrossRef]
- Arzoumanian, Z.; Chernoff, D.F.; Cordes, J.M. The Velocity Distribution of Isolated Radio Pulsars. Astrophys. J. 2002, 568, 289–301. [Google Scholar] [CrossRef]
- Dessart, L.; Burrows, A.; Ott, C.D.; Livne, E.; Yoon, S.C.; Langer, N. Multidimensional Simulations of the Accretion-induced Collapse of White Dwarfs to Neutron Stars. Astrophys. J. 2006, 644, 1063–1084. [Google Scholar] [CrossRef]
- Giacobbo, N.; Mapelli, M. The impact of electron-capture supernovae on merging double neutron stars. Mon. Not. R. Astron. Soc. 2019, 482, 2234–2243. [Google Scholar] [CrossRef]
- Ivanova, N.; Heinke, C.O.; Rasio, F.A.; Belczynski, K.; Fregeau, J.M. Formation and evolution of compact binaries in globular clusters—II. Binaries with neutron stars. Mon. Not. R. Astron. Soc. 2008, 386, 553–576. [Google Scholar] [CrossRef]
- Arca-Sedda, M. On the formation of compact, massive subsystems in stellar clusters and its relation with intermediate-mass black holes. Mon. Not. R. Astron. Soc. 2016, 455, 35–50. [Google Scholar] [CrossRef]
- O’Leary, R.M.; Kocsis, B.; Loeb, A. Gravitational waves from scattering of stellar-mass black holes in galactic nuclei. Mon. Not. R. Astron. Soc. 2009, 395, 2127–2146. [Google Scholar] [CrossRef]
- Keshet, U.; Hopman, C.; Alexander, T. Analytic Study of Mass Segregation Around a Massive Black Hole. Astrophys. J. Lett. 2009, 698, L64–L67. [Google Scholar] [CrossRef]
- Freitag, M.; Amaro-Seoane, P.; Kalogera, V. Stellar Remnants in Galactic Nuclei: Mass Segregation. Astrophys. J. 2006, 649, 91–117. [Google Scholar] [CrossRef]
- Giacobbo, N.; Mapelli, M. Revising Natal Kick Prescriptions in Population Synthesis Simulations. Astrophys. J. 2020, 891, 141. [Google Scholar] [CrossRef]
- Faucher-Giguère, C.A.; Loeb, A. Pulsar-black hole binaries in the Galactic Centre. Mon. Not. R. Astron. Soc. 2011, 415, 3951–3961. [Google Scholar] [CrossRef]
- Arca-Sedda, M.; Capuzzo-Dolcetta, R. Dynamical Friction in Cuspy Galaxies. Astrophys. J. 2014, 785, 51. [Google Scholar] [CrossRef]
- Spitzer, L., Jr.; Hart, M.H. Random Gravitational Encounters and the Evolution of Spherical Systems. II. Models. Astrophys. J. 1971, 166, 483. [Google Scholar] [CrossRef]
- Chandrasekhar, S. Dynamical Friction. I. General Considerations: The Coefficient of Dynamical Friction. Astrophys. J. 1943, 97, 255. [Google Scholar] [CrossRef]
- Breen, P.G.; Heggie, D.C. Dynamical evolution of black hole subsystems in idealized star clusters. Mon. Not. R. Astron. Soc. 2013, 432, 2779–2797. [Google Scholar] [CrossRef]
- Arca Sedda, M.; Askar, A.; Giersz, M. MOCCA-Survey Database - I. Unravelling black hole subsystems in globular clusters. Mon. Not. R. Astron. Soc. 2018, 479, 4652–4664. [Google Scholar] [CrossRef]
- Portegies Zwart, S.F.; McMillan, S.L.W. The Runaway Growth of Intermediate-Mass Black Holes in Dense Star Clusters. Astrophys. J. 2002, 576, 899–907. [Google Scholar] [CrossRef]
- Giersz, M.; Leigh, N.; Hypki, A.; Lützgendorf, N.; Askar, A. MOCCA code for star cluster simulations—IV. A new scenario for intermediate mass black hole formation in globular clusters. Mon. Not. R. Astron. Soc. 2015, 454, 3150–3165. [Google Scholar] [CrossRef]
- Tagawa, H.; Haiman, Z.; Kocsis, B. Making a Supermassive Star by Stellar Bombardment. Astrophys. J. 2020, 892, 36. [Google Scholar] [CrossRef]
- Marks, M.; Kroupa, P. Inverse dynamical population synthesis. Constraining the initial conditions of young stellar clusters by studying their binary populations. Astron. Astrophys. 2012, 543, A8. [Google Scholar] [CrossRef]
- Arca Sedda, M. Birth, Life, and Death of Black Hole Binaries around Supermassive Black Holes: Dynamical Evolution of Gravitational Wave Sources. Astrophys. J. 2020, 891, 47. [Google Scholar] [CrossRef]
- Janka, H.T. Explosion Mechanisms of Core-Collapse Supernovae. Annu. Rev. Nucl. Part. Sci. 2012, 62, 407–451. [Google Scholar] [CrossRef]
- Giacobbo, N.; Mapelli, M.; Spera, M. Merging black hole binaries: The effects of progenitor’s metallicity, mass-loss rate and Eddington factor. Mon. Not. R. Astron. Soc. 2018, 474, 2959–2974. [Google Scholar] [CrossRef]
- Baumgardt, H.; Amaro-Seoane, P.; Schödel, R. The distribution of stars around the Milky Way’s central black hole. III. Comparison with simulations. Astron. Astrophys. 2018, 609, A28. [Google Scholar] [CrossRef]
- Panamarev, T.; Just, A.; Spurzem, R.; Berczik, P.; Wang, L.; Arca Sedda, M. Direct N-body simulation of the Galactic centre. Mon. Not. R. Astron. Soc. 2019, 484, 3279–3290. [Google Scholar] [CrossRef]
- Heggie, D.C. Binary evolution in stellar dynamics. Mon. Not. R. Astron. Soc. 1975, 173, 729–787. [Google Scholar] [CrossRef]
- Hills, J.G. Encounters between binary and single stars and their effect on the dynamical evolution of stellar systems. Astron. J. 1975, 80, 809–825. [Google Scholar] [CrossRef]
- Heggie, D.C.; Hut, P. Binary–Single-Star Scattering. IV. Analytic Approximations and Fitting Formulae for Cross Sections and Reaction Rates. Astrophys. J. Suppl. Ser. 1993, 85, 347. [Google Scholar] [CrossRef]
- Rasio, F.A.; Heggie, D.C. The Orbital Eccentricities of Binary Millisecond Pulsars in Globular Clusters. Astrophys. J. Lett. 1995, 445, L133. [Google Scholar] [CrossRef]
- Heggie, D.C.; Rasio, F.A. The Effect of Encounters on the Eccentricity of Binaries in Clusters. Mon. Not. R. Astron. Soc. 1996, 282, 1064–1084. [Google Scholar] [CrossRef]
- Leigh, N.W.C.; Antonini, F.; Stone, N.C.; Shara, M.M.; Merritt, D. On the origins of enigmatic stellar populations in Local Group galactic nuclei. Mon. Not. R. Astron. Soc. 2016, 463, 1605–1623. [Google Scholar] [CrossRef]
- Hamers, A.S.; Samsing, J. Analytic computation of the secular effects of encounters on a binary: Features arising from second-order perturbation theory. Mon. Not. R. Astron. Soc. 2019, 487, 5630–5648. [Google Scholar] [CrossRef]
- Alexander, T.; Pfuhl, O. Constraining the Dark Cusp in the Galactic Center by Long-period Binaries. Astrophys. J. 2014, 780, 148. [Google Scholar] [CrossRef]
- Fragione, G.; Loeb, A.; Kremer, K.; Rasio, F.A. Gravitational-wave Captures by Intermediate-mass Black Holes in Galactic Nuclei. Astrophys. J. 2020, 897, 46. [Google Scholar] [CrossRef]
- Hoang, B.M.; Naoz, S.; Kocsis, B.; Rasio, F.A.; Dosopoulou, F. Black Hole Mergers in Galactic Nuclei Induced by the Eccentric Kozai–Lidov Effect. Astrophys. J. 2018, 856, 140. [Google Scholar] [CrossRef]
- Duquennoy, A.; Mayor, M. Multiplicity among Solar Type Stars in the Solar Neighbourhood - Part Two - Distribution of the Orbital Elements in an Unbiased Sample. Astron. Astrophys. 1991, 248, 485. [Google Scholar]
- Ghez, A.M.; Duchêne, G.; Matthews, K.; Hornstein, S.D.; Tanner, A.; Larkin, J.; Morris, M.; Becklin, E.E.; Salim, S.; Kremenek, T.; et al. The First Measurement of Spectral Lines in a Short-Period Star Bound to the Galaxy’s Central Black Hole: A Paradox of Youth. Astrophys. J. Lett. 2003, 586, L127–L131. [Google Scholar] [CrossRef]
- Ghez, A.M.; Salim, S.; Hornstein, S.D.; Tanner, A.; Lu, J.R.; Morris, M.; Becklin, E.E.; Duchêne, G. Stellar Orbits around the Galactic Center Black Hole. Astrophys. J. 2005, 620, 744–757. [Google Scholar] [CrossRef]
- Do, T.; Lu, J.R.; Ghez, A.M.; Morris, M.R.; Yelda, S.; Martinez, G.D.; Wright, S.A.; Matthews, K. Stellar Populations in the Central 0.5 pc of the Galaxy. I. A New Method for Constructing Luminosity Functions and Surface-density Profiles. Astrophys. J. 2013, 764, 154. [Google Scholar] [CrossRef]
- Quinlan, G.D. The dynamical evolution of massive black hole binaries I. Hardening in a fixed stellar background. New Astron. 1996, 1, 35–56. [Google Scholar] [CrossRef]
- Merritt, D. Dynamics and Evolution of Galactic Nuclei; Princeton University Press: Princeton, NJ, USA, 2013. [Google Scholar]
- Alexander, T.; Hopman, C. Strong Mass Segregation Around a Massive Black Hole. Astrophys. J. 2009, 697, 1861–1869. [Google Scholar] [CrossRef]
- von Hoerner, S. Die numerische Integration des n-Körper-Problemes für Sternhaufen. I. Z. Astrophys. 1960, 50, 184–214. [Google Scholar]
- van Albada, T.S. Numerical integrations of the N-body problem. Bull. Astron. Inst. Neth. 1968, 19, 479. [Google Scholar]
- Aarseth, S.J.; Hills, J.G. The Dynamical Evolution of a Stellar Cluster with Initial Subclustering. Astron. Astrophys. 1972, 21, 255. [Google Scholar]
- Retterer, J.M. The binding-energy distribution of the binaries in a star cluster. I—Time-independent, homogeneous cluster models. Astron. J. 1980, 85, 249–264. [Google Scholar] [CrossRef]
- Hut, P. The topology of three-body scattering. Astron. J. 1983, 88, 1549–1559. [Google Scholar] [CrossRef]
- Goodman, J. Homologous evolution of stellar systems after core collapse. Astrophys. J. 1984, 280, 298–312. [Google Scholar] [CrossRef]
- Cohn, H.; Hut, P.; Wise, M. Gravothermal Oscillations after Core Collapse in Globular Cluster Evolution. Astrophys. J. 1989, 342, 814. [Google Scholar] [CrossRef]
- Murphy, B.W.; Cohn, H.N.; Hut, P. Realistic models for evolving globular clusters - II. POST core collapse with a mass spectrum. Mon. Not. R. Astron. Soc. 1990, 245, 335. [Google Scholar]
- Valtonen, M.; Mikkola, S. The few-body problem in astrophysics. Annu. Rev. Astron. Astrophys. 1991, 29, 9–29. [Google Scholar] [CrossRef]
- Hut, P.; McMillan, S.; Goodman, J.; Mateo, M.; Phinney, E.S.; Pryor, C.; Richer, H.B.; Verbunt, F.; Weinberg, M. Binaries in Globular Clusters. Publ. Astron. Soc. Pac. 1992, 104, 981. [Google Scholar] [CrossRef]
- Lee, M.H. N-Body Evolution of Dense Clusters of Compact Stars. Astrophys. J. 1993, 418, 147. [Google Scholar] [CrossRef]
- Hoang, B.M.; Naoz, S.; Kremer, K. Neutron Star-Black Hole Mergers from Gravitational-wave Captures. Astrophys. J. 2020, 903, 8. [Google Scholar] [CrossRef]
- Lee, H.M. Evolution of galactic nuclei with 10-M_ black holes. Mon. Not. R. Astron. Soc. 1995, 272, 605–617. [Google Scholar] [CrossRef]
- Quinlan, G.D.; Shapiro, S.L. The Collapse of Dense Star Clusters to Supermassive Black Holes: Binaries and Gravitational Radiation. Astrophys. J. 1987, 321, 199. [Google Scholar] [CrossRef]
- Bahcall, J.N.; Wolf, R.A. Star distribution around a massive black hole in a globular cluster. Astrophys. J. 1976, 209, 214–232. [Google Scholar] [CrossRef]
- Lightman, A.P.; Shapiro, S.L. The distribution and consumption rate of stars around a massive, collapsed object. Astrophys. J. 1977, 211, 244–262. [Google Scholar] [CrossRef]
- Cohn, H.; Kulsrud, R.M. The stellar distribution around a black hole: Numerical integration of the Fokker-Planck equation. Astrophys. J. 1978, 226, 1087–1108. [Google Scholar] [CrossRef]
- Duncan, M.J.; Shapiro, S.L. Monte Carlo simulations of the evolution of galactic nuclei containing massive, central black holes. Astrophys. J. 1983, 268, 565–581. [Google Scholar] [CrossRef]
- Alexander, T. Stellar processes near the massive black hole in the Galactic center [review article]. Phys. Rep. 2005, 419, 65–142. [Google Scholar] [CrossRef]
- Preto, M.; Amaro-Seoane, P. On Strong Mass Segregation Around a Massive Black Hole: Implications for Lower-Frequency Gravitational-Wave Astrophysics. Astrophys. J. Lett. 2010, 708, L42–L46. [Google Scholar] [CrossRef]
- Bahcall, J.N.; Wolf, R.A. The star distribution around a massive black hole in a globular cluster. II. Unequal star masses. Astrophys. J. 1977, 216, 883–907. [Google Scholar] [CrossRef]
- Gürkan, M.A.; Freitag, M.; Rasio, F.A. Formation of Massive Black Holes in Dense Star Clusters. I. Mass Segregation and Core Collapse. Astrophys. J. 2004, 604, 632–652. [Google Scholar] [CrossRef]
- Trenti, M.; van der Marel, R. No energy equipartition in globular clusters. Mon. Not. R. Astron. Soc. 2013, 435, 3272–3282. [Google Scholar] [CrossRef]
- Schödel, R.; Eckart, A.; Alexander, T.; Merritt, D.; Genzel, R.; Sternberg, A.; Meyer, L.; Kul, F.; Moultaka, J.; Ott, T.; et al. The structure of the nuclear stellar cluster of the Milky Way. Astron. Astrophys. 2007, 469, 125–146. [Google Scholar] [CrossRef]
- Dehnen, W. A Family of Potential-Density Pairs for Spherical Galaxies and Bulges. Mon. Not. R. Astron. Soc. 1993, 265, 250. [Google Scholar] [CrossRef]
- Mikkola, S. Encounters of binaries. I - Equal energies. Mon. Not. R. Astron. Soc. 1983, 203, 1107–1121. [Google Scholar] [CrossRef]
- Trani, A.A.; Spera, M.; Leigh, N.W.C.; Fujii, M.S. The Keplerian Three-body Encounter. II. Comparisons with Isolated Encounters and Impact on Gravitational Wave Merger Timescales. Astrophys. J. 2019, 885, 135. [Google Scholar] [CrossRef]
- Fragione, G.; Leigh, N.W.C.; Perna, R. Black hole and neutron star mergers in galactic nuclei: The role of triples. Mon. Not. R. Astron. Soc. 2019, 488, 2825–2835. [Google Scholar] [CrossRef]
- Fishbach, M.; Holz, D.E. Where Are LIGO’s Big Black Holes? Astrophys. J. Lett. 2017, 851, L25. [Google Scholar] [CrossRef]
- Sigurdsson, S.; Phinney, E.S. Binary–Single Star Interactions in Globular Clusters. Astrophys. J. 1993, 415, 631. [Google Scholar] [CrossRef]
- Hut, P.; Bahcall, J.N. Binary-single star scattering. I—Numerical experiments for equal masses. Astrophys. J. 1983, 268, 319–341. [Google Scholar] [CrossRef]
- Harrington, R.S. The Stellar Three-Body Problem. Celest. Mech. 1969, 1, 200–209. [Google Scholar] [CrossRef]
- Naoz, S.; Farr, W.M.; Lithwick, Y.; Rasio, F.A.; Teyssandier, J. Secular dynamics in hierarchical three-body systems. Mon. Not. R. Astron. Soc. 2013, 431, 2155–2171. [Google Scholar] [CrossRef]
- Katz, B.; Dong, S.; Malhotra, R. Long-Term Cycling of Kozai–Lidov Cycles: Extreme Eccentricities and Inclinations Excited by a Distant Eccentric Perturber. Phys. Rev. Let. 2011, 107, 181101. [Google Scholar] [CrossRef]
- Antognini, J.M.O. Timescales of Kozai–Lidov oscillations at quadrupole and octupole order in the test particle limit. Mon. Not. R. Astron. Soc. 2015, 452, 3610–3619. [Google Scholar] [CrossRef]
- Naoz, S.; Farr, W.M.; Lithwick, Y.; Rasio, F.A.; Teyssandier, J. Hot Jupiters from secular planet-planet interactions. Nature 2011, 473, 187–189. [Google Scholar] [CrossRef] [PubMed]
- Thompson, T.A. Accelerating Compact Object Mergers in Triple Systems with the Kozai Resonance: A Mechanism for “Prompt” Type Ia Supernovae, Gamma-Ray Bursts, and Other Exotica. Astrophys. J. 2011, 741, 82. [Google Scholar] [CrossRef]
- Naoz, S.; Farr, W.M.; Rasio, F.A. On the Formation of Hot Jupiters in Stellar Binaries. Astrophys. J. Lett. 2012, 754, L36. [Google Scholar] [CrossRef]
- Shappee, B.J.; Thompson, T.A. The Mass-loss-induced Eccentric Kozai Mechanism: A New Channel for the Production of Close Compact Object-Stellar Binaries. Astrophys. J. 2013, 766, 64. [Google Scholar] [CrossRef]
- Prodan, S.; Antonini, F.; Perets, H.B. Secular Evolution of Binaries near Massive Black Holes: Formation of Compact Binaries, Merger/Collision Products and G2-like Objects. Astrophys. J. 2015, 799, 118. [Google Scholar] [CrossRef]
- Naoz, S.; Fabrycky, D.C. Mergers and Obliquities in Stellar Triples. Astrophys. J. 2014, 793, 137. [Google Scholar] [CrossRef]
- Li, G.; Naoz, S.; Kocsis, B.; Loeb, A. Implications of the eccentric Kozai–Lidov mechanism for stars surrounding supermassive black hole binaries. Mon. Not. R. Astron. Soc. 2015, 451, 1341–1349. [Google Scholar] [CrossRef]
- Stephan, A.P.; Naoz, S.; Gaudi, B.S. A-type Stars, the Destroyers of Worlds: The Lives and Deaths of Jupiters in Evolving Stellar Binaries. Astron. J. 2018, 156, 128. [Google Scholar] [CrossRef]
- Cheng, S.J.; Vinson, A.M.; Naoz, S. Interacting young M-dwarfs in triple system—Par 1802 binary system case study. Mon. Not. R. Astron. Soc. 2019, 489, 2298–2306. [Google Scholar] [CrossRef]
- Rose, S.C.; Naoz, S.; Geller, A.M. Companion-driven evolution of massive stellar binaries. Mon. Not. R. Astron. Soc. 2019, 488, 2480–2492. [Google Scholar] [CrossRef]
- Teyssandier, J.; Naoz, S.; Lizarraga, I.; Rasio, F.A. Extreme Orbital Evolution from Hierarchical Secular Coupling of Two Giant Planets. Astrophys. J. 2013, 779, 166. [Google Scholar] [CrossRef]
- Li, G.; Naoz, S.; Kocsis, B.; Loeb, A. Eccentricity Growth and Orbit Flip in Near-coplanar Hierarchical Three-body Systems. Astrophys. J. 2014, 785, 116. [Google Scholar] [CrossRef]
- Li, G.; Naoz, S.; Holman, M.; Loeb, A. Chaos in the Test Particle Eccentric Kozai–Lidov Mechanism. Astrophys. J. 2014, 791, 86. [Google Scholar] [CrossRef]
- Naoz, S.; Li, G.; Zanardi, M.; de Elía, G.C.; Di Sisto, R.P. The Eccentric Kozai–Lidov Mechanism for Outer Test Particle. Astron. J. 2017, 154, 18. [Google Scholar] [CrossRef]
- Hansen, B.M.S.; Naoz, S. The stationary points of the hierarchical three-body problem. Mon. Not. R. Astron. Soc. 2020, 499, 1682–1700. [Google Scholar] [CrossRef]
- Fabrycky, D.; Tremaine, S. Shrinking Binary and Planetary Orbits by Kozai Cycles with Tidal Friction. Astrophys. J. 2007, 669, 1298–1315. [Google Scholar] [CrossRef]
- Kuntz, A. Precession resonances in hierarchical triple systems. Phys. Rev. D 2022, 105, 024017. [Google Scholar] [CrossRef]
- Liu, B.; Muñoz, D.J.; Lai, D. Suppression of extreme orbital evolution in triple systems with short-range forces. Mon. Not. R. Astron. Soc. 2015, 447, 747–764. [Google Scholar] [CrossRef]
- Hut, P. Stability of tidal equilibrium. Astron. Astrophys. 1980, 92, 167–170. [Google Scholar]
- Eggleton, P.P.; Kiseleva, L.G.; Hut, P. The Equilibrium Tide Model for Tidal Friction. Astrophys. J. 1998, 499, 853. [Google Scholar] [CrossRef]
- Wu, Y. Diffusive Tidal Evolution for Migrating Hot Jupiters. Astron. J. 2018, 155, 118. [Google Scholar] [CrossRef]
- Vick, M.; Lai, D.; Anderson, K.R. Chaotic tides in migrating gas giants: Forming hot and transient warm Jupiters via Lidov–Kozai migration. Mon. Not. R. Astron. Soc. 2019, 484, 5645–5668. [Google Scholar] [CrossRef]
- Zahn, J.P. Tidal friction in close binary systems. Astron. Astrophys. 1977, 57, 383–394. [Google Scholar]
- Claret, A.; Cunha, N.C.S. Circularization and synchronization times in Main-Sequence of detached eclipsing binaries II. Using the formalisms by Zahn. Astron. Astrophys. 1997, 318, 187–197. [Google Scholar]
- Wang, H.; Stephan, A.P.; Naoz, S.; Hoang, B.M.; Breivik, K. Gravitational-wave Signatures from Compact Object Binaries in the Galactic Center. Astrophys. J. 2021, 917, 76. [Google Scholar] [CrossRef]
- Stegmann, J.; Antonini, F.; Moe, M. Evolution of massive stellar triples and implications for compact object binary formation. arXiv 2021, arXiv:2112.10786. [Google Scholar] [CrossRef]
- Hopman, C. Binary Dynamics Near a Massive Black Hole. Astrophys. J. 2009, 700, 1933–1951. [Google Scholar] [CrossRef]
- Antognini, J.M.; Shappee, B.J.; Thompson, T.A.; Amaro-Seoane, P. Rapid eccentricity oscillations and the mergers of compact objects in hierarchical triples. Mon. Not. R. Astron. Soc. 2014, 439, 1079–1091. [Google Scholar] [CrossRef]
- Ciurlo, A.; Campbell, R.D.; Morris, M.R.; Do, T.; Ghez, A.M.; Hees, A.; Sitarski, B.N.; Kosmo O’Neil, K.; Chu, D.S.; Martinez, G.D.; et al. A population of dust-enshrouded objects orbiting the Galactic black hole. Nature 2020, 577, 337–340. [Google Scholar] [CrossRef]
- Perets, H.B.; Kratter, K.M. The triple evolution dynamical instability: Stellar collisions in the field and the formation of exotic binaries. arXiv 2012, arXiv:1203.2914. [Google Scholar] [CrossRef]
- Michaely, E.; Perets, H.B. Secular Dynamics in Hierarchical Three-body Systems with Mass Loss and Mass Transfer. Astrophys. J. 2014, 794, 122. [Google Scholar] [CrossRef]
- Toonen, S.; Hamers, A.; Portegies Zwart, S. The evolution of hierarchical triple star-systems. Comput. Astrophys. Cosmol. 2016, 3, 6. [Google Scholar] [CrossRef]
- Toonen, S.; Perets, H.B.; Hamers, A.S. Rate of WD-WD head-on collisions in isolated triples is too low to explain standard type Ia supernovae. Astron. Astrophys. 2018, 610, A22. [Google Scholar] [CrossRef]
- Stephan, A.P.; Naoz, S.; Zuckerman, B. Throwing Icebergs at White Dwarfs. arXiv 2017, arXiv:1704.08701. [Google Scholar] [CrossRef]
- Paxton, B.; Bildsten, L.; Dotter, A.; Herwig, F.; Lesaffre, P.; Timmes, F. Modules for Experiments in Stellar Astrophysics (MESA). Astrophys. J. Suppl. Ser. 2011, 192, 3. [Google Scholar] [CrossRef]
- Breivik, K.; Coughlin, S.; Zevin, M.; Rodriguez, C.L.; Kremer, K.; Ye, C.S.; Andrews, J.J.; Kurkowski, M.; Digman, M.C.; Larson, S.L.; et al. COSMIC Variance in Binary Population Synthesis. Astrophys. J. 2020, 898, 71. [Google Scholar] [CrossRef]
- Hansen, B.M.S.; Phinney, E.S. The pulsar kick velocity distribution. Mon. Not. R. Astron. Soc. 1997, 291, 569. [Google Scholar] [CrossRef]
- Hobbs, G.; Lyne, A.G.; Kramer, M.; Martin, C.E.; Jordan, C. Long-term timing observations of 374 pulsars. Mon. Not. R. Astron. Soc. 2004, 353, 1311–1344. [Google Scholar] [CrossRef]
- Kalogera, V. Spin-Orbit Misalignment in Close Binaries with Two Compact Objects. Astrophys. J. 2000, 541, 319–328. [Google Scholar] [CrossRef]
- Pijloo, J.T.; Caputo, D.P.; Portegies Zwart, S.F. Asymmetric supernova in hierarchical multiple star systems and application to J1903+0327. Mon. Not. R. Astron. Soc. 2012, 424, 2914–2925. [Google Scholar] [CrossRef]
- Lu, C.X.; Naoz, S. Supernovae kicks in hierarchical triple systems. Mon. Not. R. Astron. Soc. 2019, 484, 1506–1525. [Google Scholar] [CrossRef]
- Hamers, A.S. Secular dynamics of hierarchical multiple systems composed of nested binaries, with an arbitrary number of bodies and arbitrary hierarchical structure—II. External perturbations: Flybys and supernovae. Mon. Not. R. Astron. Soc. 2018, 476, 4139–4161. [Google Scholar] [CrossRef]
- Bortolas, E.; Mapelli, M.; Spera, M. Supernova kicks and dynamics of compact remnants in the Galactic Centre. Mon. Not. R. Astron. Soc. 2017, 469, 1510–1520. [Google Scholar] [CrossRef]
- Hoang, B.M.; Naoz, S.; Sloneker, M. Binary Natal Kicks in the Galactic Center: X-ray Binaries, Hypervelocity Stars, and Gravitational Waves. Astrophys. J. 2022, 934, 54. [Google Scholar] [CrossRef]
- Antonini, F.; Perets, H.B. Secular Evolution of Compact Binaries near Massive Black Holes: Gravitational Wave Sources and Other Exotica. Astrophys. J. 2012, 757, 27. [Google Scholar] [CrossRef]
- Will, C.M. Post-Newtonian effects in N-body dynamics: Conserved quantities in hierarchical triple systems. Class. Quantum Gravity 2014, 31, 244001. [Google Scholar] [CrossRef]
- Kuntz, A.; Serra, F.; Trincherini, E. Effective two-body approach to the hierarchical three-body problem: Quadrupole to 1PN. Phys. Rev. D 2023, 107, 044011. [Google Scholar] [CrossRef]
- Lim, H.; Rodriguez, C.L. Relativistic three-body effects in hierarchical triples. Phys. Rev. D 2020, 102, 064033. [Google Scholar] [CrossRef]
- Will, C.M. Orbital flips in hierarchical triple systems: Relativistic effects and third-body effects to hexadecapole order. Phys. Rev. D 2017, 96, 023017. [Google Scholar] [CrossRef]
- Barker, B.M.; O’Connell, R.F. Gravitational two-body problem with arbitrary masses, spins, and quadrupole moments. Phys. Rev. D 1975, 12, 329–335. [Google Scholar] [CrossRef]
- Storch, N.I.; Anderson, K.R.; Lai, D. Chaotic dynamics of stellar spin in binaries and the production of misaligned hot Jupiters. Science 2014, 345, 1317–1321. [Google Scholar] [CrossRef]
- Storch, N.I.; Lai, D. Chaotic dynamics of stellar spin driven by planets undergoing Lidov–Kozai oscillations: Resonances and origin of chaos. Mon. Not. R. Astron. Soc. 2015, 448, 1821–1834. [Google Scholar] [CrossRef]
- Liu, B.; Lai, D.; Wang, Y.H. Binary Mergers near a Supermassive Black Hole: Relativistic Effects in Triples. Astrophys. J. Lett. 2019, 883, L7. [Google Scholar] [CrossRef]
- Peters, P.C. Gravitational Radiation and the Motion of Two Point Masses. Phys. Rev. 1964, 136, 1224–1232. [Google Scholar] [CrossRef]
- Gould, A. Gravitational Pulse Astronomy. Astrophys. J. Lett. 2011, 729, L23. [Google Scholar] [CrossRef]
- Seto, N. Highly Eccentric Kozai Mechanism and Gravitational-Wave Observation for Neutron-Star Binaries. Phys. Rev. Lett. 2013, 111, 061106. [Google Scholar] [CrossRef]
- Rauch, K.P.; Tremaine, S. Resonant relaxation in stellar systems. New Astron. 1996, 1, 149–170. [Google Scholar] [CrossRef]
- Madigan, A.M.; Levin, Y.; Hopman, C. A New Secular Instability of Eccentric Stellar Disks around Supermassive Black Holes, with Application to the Galactic Center. Astrophys. J. Lett. 2009, 697, L44–L48. [Google Scholar] [CrossRef]
- Kocsis, B.; Tremaine, S. A numerical study of vector resonant relaxation. Mon. Not. R. Astron. Soc. 2015, 448, 3265–3296. [Google Scholar] [CrossRef]
- Petrovich, C.; Antonini, F. Greatly Enhanced Merger Rates of Compact-object Binaries in Non-spherical Nuclear Star Clusters. Astrophys. J. 2017, 846, 146. [Google Scholar] [CrossRef]
- Hopman, C.; Alexander, T. Resonant Relaxation near a Massive Black Hole: The Stellar Distribution and Gravitational Wave Sources. Astrophys. J. 2006, 645, 1152–1163. [Google Scholar] [CrossRef]
- Kocsis, B.; Tremaine, S. Resonant relaxation and the warp of the stellar disc in the Galactic Centre. Mon. Not. R. Astron. Soc. 2011, 412, 187–207. [Google Scholar] [CrossRef]
- Bar-Or, B.; Alexander, T. The statistical mechanics of relativistic orbits around a massive black hole. Class. Quantum Gravity 2014, 31, 244003. [Google Scholar] [CrossRef]
- Sridhar, S.; Touma, J.R. Stellar dynamics around a massive black hole—II. Resonant relaxation. Mon. Not. R. Astron. Soc. 2016, 458, 4143–4161. [Google Scholar] [CrossRef]
- Fouvry, J.B.; Pichon, C.; Magorrian, J. The secular evolution of discrete quasi-Keplerian systems. I. Kinetic theory of stellar clusters near black holes. Astron. Astrophys. 2017, 598, A71. [Google Scholar] [CrossRef]
- Bar-Or, B.; Fouvry, J.B. Scalar Resonant Relaxation of Stars around a Massive Black Hole. Astrophys. J. Lett. 2018, 860, L23. [Google Scholar] [CrossRef]
- Fragione, G.; Grishin, E.; Leigh, N.W.C.; Perets, H.B.; Perna, R. Black hole and neutron star mergers in galactic nuclei. Mon. Not. R. Astron. Soc. 2019, 488, 47–63. [Google Scholar] [CrossRef]
- Hamers, A.S.; Bar-Or, B.; Petrovich, C.; Antonini, F. The Impact of Vector Resonant Relaxation on the Evolution of Binaries near a Massive Black Hole: Implications for Gravitational-wave Sources. Astrophys. J. 2018, 865, 2. [Google Scholar] [CrossRef]
- Genzel, R.; Schödel, R.; Ott, T.; Eisenhauer, F.; Hofmann, R.; Lehnert, M.; Eckart, A.; Alexander, T.; Sternberg, A.; Lenzen, R.; et al. The Stellar Cusp around the Supermassive Black Hole in the Galactic Center. Astrophys. J. 2003, 594, 812–832. [Google Scholar] [CrossRef]
- Schödel, R.; Ott, T.; Genzel, R.; Eckart, A.; Mouawad, N.; Alexander, T. Stellar Dynamics in the Central Arcsecond of Our Galaxy. Astrophys. J. 2003, 596, 1015–1034. [Google Scholar] [CrossRef]
- Löckmann, U.; Baumgardt, H.; Kroupa, P. Constraining the initial mass function of stars in the Galactic Centre. Mon. Not. R. Astron. Soc. 2010, 402, 519–525. [Google Scholar] [CrossRef]
- Shakura, N.I.; Sunyaev, R.A. Black holes in binary systems. Observational appearance. Astron. Astrophys. 1973, 24, 337–355. [Google Scholar]
- Novikov, I.D.; Thorne, K.S. Astrophysics of black holes. Black Holes 1973, 1, 343–450. [Google Scholar]
- Artymowicz, P.; Lin, D.N.C.; Wampler, E.J. Star Trapping and Metallicity Enrichment in Quasars and Active Galactic Nuclei. Astrophys. J. 1993, 409, 592. [Google Scholar] [CrossRef]
- Rauch, K.P. Dynamical evolution of star clusters around a rotating black hole with an accretion disc. Mon. Not. R. Astron. Soc. 1995, 275, 628–640. [Google Scholar] [CrossRef]
- Rauch, K.P. Collisional Stellar Dynamics around Massive Black Holes in Active Galactic Nuclei. Astrophys. J. 1999, 514, 725–745. [Google Scholar] [CrossRef]
- Šubr, L.; Karas, V.; Huré, J.M. Star-disc interactions in a galactic centre and oblateness of the inner stellar cluster. Mon. Not. R. Astron. Soc. 2004, 354, 1177–1188. [Google Scholar] [CrossRef]
- Vilkoviskij, E.Y.; Czerny, B. The role of the central stellar cluster in active galactic nuclei. I. Semi-analytical model. Astron. Astrophys. 2002, 387, 804–817. [Google Scholar] [CrossRef]
- Just, A.; Yurin, D.; Makukov, M.; Berczik, P.; Omarov, C.; Spurzem, R.; Vilkoviskij, E.Y. Enhanced Accretion Rates of Stars on Supermassive Black Holes by Star-Disk Interactions in Galactic Nuclei. Astrophys. J. 2012, 758, 51. [Google Scholar] [CrossRef]
- Tagawa, H.; Kimura, S.S.; Haiman, Z.; Perna, R.; Tanaka, H.; Bartos, I. Can Stellar-mass Black Hole Growth Disrupt Disks of Active Galactic Nuclei? The Role of Mechanical Feedback. Astrophys. J. 2022, 927, 41. [Google Scholar] [CrossRef]
- Papaloizou, J.C.B.; Larwood, J.D. On the orbital evolution and growth of protoplanets embedded in a gaseous disc. Mon. Not. R. Astron. Soc. 2000, 315, 823–833. [Google Scholar] [CrossRef]
- Goldreich, P.; Tremaine, S. Disk-satellite interactions. Astrophys. J. 1980, 241, 425–441. [Google Scholar] [CrossRef]
- Ward, W.R. Protoplanet Migration by Nebula Tides. Icarus 1997, 126, 261–281. [Google Scholar] [CrossRef]
- Tanaka, H.; Takeuchi, T.; Ward, W.R. Three-Dimensional Interaction between a Planet and an Isothermal Gaseous Disk. I. Corotation and Lindblad Torques and Planet Migration. Astrophys. J. 2002, 565, 1257–1274. [Google Scholar] [CrossRef]
- Lin, D.N.C.; Papaloizou, J. On the Tidal Interaction between Protoplanets and the Protoplanetary Disk. III. Orbital Migration of Protoplanets. Astrophys. J. 1986, 309, 846. [Google Scholar] [CrossRef]
- Haiman, Z.; Kocsis, B.; Menou, K. The Population of Viscosity- and Gravitational Wave-driven Supermassive Black Hole Binaries Among Luminous Active Galactic Nuclei. Astrophys. J. 2009, 700, 1952–1969. [Google Scholar] [CrossRef]
- Duffell, P.C.; Haiman, Z.; MacFadyen, A.I.; D’Orazio, D.J.; Farris, B.D. The Migration of Gap-opening Planets is Not Locked to Viscous Disk Evolution. Astrophys. J. Lett. 2014, 792, L10. [Google Scholar] [CrossRef]
- Kanagawa, K.D.; Tanaka, H.; Szuszkiewicz, E. Radial Migration of Gap-opening Planets in Protoplanetary Disks. I. The Case of a Single Planet. Astrophys. J. 2018, 861, 140. [Google Scholar] [CrossRef]
- Paardekooper, S.J.; Mellema, G. Halting type I planet migration in non-isothermal disks. Astron. Astrophys. 2006, 459, L17–L20. [Google Scholar] [CrossRef]
- Pepliński, A.; Artymowicz, P.; Mellema, G. Numerical simulations of type III planetary migration—I. Disc model and convergence tests. Mon. Not. R. Astron. Soc. 2008, 386, 164–178. [Google Scholar] [CrossRef]
- Lyra, W.; Paardekooper, S.J.; Mac Low, M.M. Orbital Migration of Low-mass Planets in Evolutionary Radiative Models: Avoiding Catastrophic Infall. Astrophys. J. Lett. 2010, 715, L68–L73. [Google Scholar] [CrossRef]
- Horn, B.; Lyra, W.; Mac Low, M.M.; Sándor, Z. Orbital Migration of Interacting Low-mass Planets in Evolutionary Radiative Turbulent Models. Astrophys. J. 2012, 750, 34. [Google Scholar] [CrossRef]
- Paardekooper, S.J.; Baruteau, C.; Kley, W. A torque formula for non-isothermal Type I planetary migration—II. Effects of diffusion. Mon. Not. R. Astron. Soc. 2011, 410, 293–303. [Google Scholar] [CrossRef]
- Hellary, P.; Nelson, R.P. Global models of planetary system formation in radiatively-inefficient protoplanetary discs. Mon. Not. R. Astron. Soc. 2012, 419, 2737–2757. [Google Scholar] [CrossRef]
- Coleman, G.A.L.; Nelson, R.P. On the formation of planetary systems via oligarchic growth in thermally evolving viscous discs. Mon. Not. R. Astron. Soc. 2014, 445, 479–499. [Google Scholar] [CrossRef]
- Dittkrist, K.M.; Mordasini, C.; Klahr, H.; Alibert, Y.; Henning, T. Impacts of planet migration models on planetary populations. Effects of saturation, cooling and stellar irradiation. Astron. Astrophys. 2014, 567, A121. [Google Scholar] [CrossRef]
- Paardekooper, S.J. Dynamical corotation torques on low-mass planets. Mon. Not. R. Astron. Soc. 2014, 444, 2031–2042. [Google Scholar] [CrossRef]
- Pierens, A. Fast migration of low-mass planets in radiative discs. Mon. Not. R. Astron. Soc. 2015, 454, 2003–2014. [Google Scholar] [CrossRef]
- Benítez-Llambay, P.; Masset, F.; Koenigsberger, G.; Szulágyi, J. Planet heating prevents inward migration of planetary cores. Nature 2015, 520, 63–65. [Google Scholar] [CrossRef]
- Masset, F.S. Coorbital thermal torques on low-mass protoplanets. Mon. Not. R. Astron. Soc. 2017, 472, 4204–4219. [Google Scholar] [CrossRef]
- Eklund, H.; Masset, F.S. Evolution of eccentricity and inclination of hot protoplanets embedded in radiative discs. Mon. Not. R. Astron. Soc. 2017, 469, 206–217. [Google Scholar] [CrossRef]
- Secunda, A.; Bellovary, J.; Mac Low, M.M.; Ford, K.E.S.; McKernan, B.; Leigh, N.W.C.; Lyra, W.; Sándor, Z. Orbital Migration of Interacting Stellar Mass Black Holes in Disks around Supermassive Black Holes. Astrophys. J. 2019, 878, 85. [Google Scholar] [CrossRef]
- Pan, Z.; Yang, H. Formation rate of extreme mass ratio inspirals in active galactic nuclei. Phys. Rev. D 2021, 103, 103018. [Google Scholar] [CrossRef]
- Goldreich, P.; Lithwick, Y.; Sari, R. Formation of Kuiper-belt binaries by dynamical friction and three-body encounters. Nature 2002, 420, 643–646. [Google Scholar] [CrossRef] [PubMed]
- McKernan, B.; Ford, K.E.S.; Kocsis, B.; Lyra, W.; Winter, L.M. Intermediate-mass black holes in AGN discs—II. Model predictions and observational constraints. Mon. Not. R. Astron. Soc. 2014, 441, 900–909. [Google Scholar] [CrossRef]
- Tagawa, H.; Kocsis, B.; Haiman, Z.; Bartos, I.; Omukai, K.; Samsing, J. Eccentric Black Hole Mergers in Active Galactic Nuclei. Astrophys. J. Lett. 2021, 907, L20. [Google Scholar] [CrossRef]
- Tiede, C.; Zrake, J.; MacFadyen, A.; Haiman, Z. Gas-driven Inspiral of Binaries in Thin Accretion Disks. Astrophys. J. 2020, 900, 43. [Google Scholar] [CrossRef]
- Stone, N.C.; Metzger, B.D.; Haiman, Z. Assisted inspirals of stellar mass black holes embedded in AGN discs: Solving the ‘final au problem’. Mon. Not. R. Astron. Soc. 2017, 464, 946–954. [Google Scholar] [CrossRef]
- Duffell, P.C.; D’Orazio, D.; Derdzinski, A.; Haiman, Z.; MacFadyen, A.; Rosen, A.L.; Zrake, J. Circumbinary Disks: Accretion and Torque as a Function of Mass Ratio and Disk Viscosity. Astrophys. J. 2020, 901, 25. [Google Scholar] [CrossRef]
- Wen, L. On the Eccentricity Distribution of Coalescing Black Hole Binaries Driven by the Kozai Mechanism in Globular Clusters. Astrophys. J. 2003, 598, 419–430. [Google Scholar] [CrossRef]
- Sesana, A. Prospects for Multiband Gravitational-Wave Astronomy after GW150914. Phys. Rev. Let. 2016, 116, 231102. [Google Scholar] [CrossRef] [PubMed]
- Amaro-Seoane, P.; Aoudia, S.; Babak, S.; Binétruy, P.; Berti, E.; Bohé, A.; Caprini, C.; Colpi, M.; Cornish, N.J.; Danzmann, K.; et al. eLISA: Astrophysics and cosmology in the millihertz regime. GW Notes 2013, 6, 4–110. [Google Scholar]
- Amaro-Seoane, P.; Audley, H.; Babak, S.; Baker, J.; Barausse, E.; Bender, P.; Berti, E.; Binetruy, P.; Born, M.; Bortoluzzi, D.; et al. Laser Interferometer Space Antenna. arXiv 2017, arXiv:1702.00786. [Google Scholar]
- Amaro-Seoane, P.; Andrews, J.; Arca Sedda, M.; Askar, A.; Balasov, R.; Bartos, I.; Bavera, S.S.; Bellovary, J.; Berry, C.P.L.; Berti, E.; et al. Astrophysics with the Laser Interferometer Space Antenna. arXiv 2022, arXiv:2203.06016. [Google Scholar]
- Luo, J.; Chen, L.S.; Duan, H.Z.; Gong, Y.G.; Hu, S.; Ji, J.; Liu, Q.; Mei, J.; Milyukov, V.; Sazhin, M.; et al. TianQin: A space-borne gravitational wave detector. Class. Quantum Gravity 2016, 33, 035010. [Google Scholar] [CrossRef]
- Luo, Z.; Wang, Y.; Wu, Y.; Hu, W.; Jin, G. The Taiji program: A concise overview. Prog. Theor. Exp. Phys. 2021, 2021, 05A108. [Google Scholar] [CrossRef]
- Gong, Y.; Luo, J.; Wang, B. Concepts and status of Chinese space gravitational wave detection projects. Nat. Astron. 2021, 5, 881–889. [Google Scholar] [CrossRef]
- Bender, P.L.; Begelman, M.C.; Gair, J.R. Possible LISA follow-on mission scientific objectives. Class. Quantum Gravity 2013, 30, 165017. [Google Scholar] [CrossRef]
- Kawamura, S.; Ando, M.; Seto, N.; Sato, S.; Nakamura, T.; Tsubono, K.; Kanda, N.; Tanaka, T.; Yokoyama, J.; Funaki, I.; et al. The Japanese space gravitational wave antenna: DECIGO. Class. Quantum Gravity 2011, 28, 094011. [Google Scholar] [CrossRef]
- Kawamura, S.; Ando, M.; Seto, N.; Sato, S.; Musha, M.; Kawano, I.; Yokoyama, J.; Tanaka, T.; Ioka, K.; Akutsu, T.; et al. Current status of space gravitational wave antenna DECIGO and B-DECIGO. Prog. Theor. Exp. Phys. 2021, 2021, 05A105. [Google Scholar] [CrossRef]
- Arca Sedda, M.; Berry, C.P.L.; Jani, K.; Amaro-Seoane, P.; Auclair, P.; Baird, J.; Baker, T.; Berti, E.; Breivik, K.; Burrows, A.; et al. The missing link in gravitational wave astronomy: Discoveries waiting in the decihertz range. Class. Quantum Gravity 2020, 37, 215011. [Google Scholar] [CrossRef]
- Jani, K.; Loeb, A. Gravitational-Wave Lunar Observatory for Cosmology. arXiv 2020, arXiv:2007.08550. [Google Scholar] [CrossRef]
- Harms, J.; Ambrosino, F.; Angelini, L.; Braito, V.; Branchesi, M.; Brocato, E.; Cappellaro, E.; Coccia, E.; Coughlin, M.; Della Ceca, R.; et al. Lunar Gravitational-wave Antenna. Astrophys. J. 2021, 910, 1. [Google Scholar] [CrossRef]
- Acernese, F.; Agathos, M.; Agatsuma, K.; Aisa, D.; Allemandou, N.; Allocca, A.; Amarni, J.; Astone, P.; Balestri, G.; Ballardin, G.; et al. Advanced Virgo: A second-generation interferometric gravitational wave detector. Class. Quantum Gravity 2015, 32, 024001. [Google Scholar] [CrossRef]
- Abbott, B.P.; Abbott, R.; Abbott, T.D.; Abernathy, M.R.; Acernese, F.; Ackley, K.; Adams, C.; Adams, T.; Addesso, P.; Adhikari, R.X.; et al. Prospects for observing and localizing gravitational wave transients with Advanced LIGO, Advanced Virgo and KAGRA. Living Rev. Relativ. 2018, 21, 3. [Google Scholar] [CrossRef]
- Punturo, M.; Abernathy, M.; Acernese, F.; Allen, B.; Andersson, N.; Arun, K.; Barone, F.; Barr, B.; Barsuglia, M.; Beker, M.; et al. The Einstein Telescope: A third-generation gravitational wave observatory. Class. Quantum Gravity 2010, 27, 194002. [Google Scholar] [CrossRef]
- Sathyaprakash, B.; Abernathy, M.; Acernese, F.; Ajith, P.; Allen, B.; Amaro-Seoane, P.; Andersson, N.; Aoudia, S.; Arun, K.; Astone, P.; et al. Corrigendum: Scientific objectives of Einstein telescope. Class. Quantum Gravity 2013, 30, 079501. [Google Scholar] [CrossRef]
- Abbott, B.P.; Abbott, R.; Abbott, T.D.; Abernathy, M.R.; Ackley, K.; Adams, C.; Addesso, P.; Adhikari, R.X.; Adya, V.B.; Affeldt, C.; et al. Exploring the sensitivity of next generation gravitational wave detectors. Class. Quantum Gravity 2017, 34, 044001. [Google Scholar] [CrossRef]
- Reitze, D.; Adhikari, R.X.; Ballmer, S.; Barish, B.; Barsotti, L.; Billingsley, G.; Brown, D.A.; Chen, Y.; Coyne, D.; Eisenstein, R.; et al. Cosmic Explorer: The U.S. Contribution to Gravitational-Wave Astronomy beyond LIGO. Bull. Am. Astron. Soc. 2019, 51, 35. [Google Scholar]
- Cutler, C.; Flanagan, É.E. Gravitational waves from merging compact binaries: How accurately can one extract the binary’s parameters from the inspiral waveform? Phys. Rev. D 1994, 49, 2658–2697. [Google Scholar] [CrossRef]
- Toubiana, A.; Marsat, S.; Babak, S.; Baker, J.; Dal Canton, T. Parameter estimation of stellar-mass black hole binaries with LISA. Phys. Rev. D 2020, 102, 124037. [Google Scholar] [CrossRef]
- Buscicchio, R.; Klein, A.; Roebber, E.; Moore, C.J.; Gerosa, D.; Finch, E.; Vecchio, A. Bayesian parameter estimation of stellar-mass black-hole binaries with LISA. Phys. Rev. D 2021, 104, 044065. [Google Scholar] [CrossRef]
- Pürrer, M.; Hannam, M.; Ajith, P.; Husa, S. Testing the validity of the single-spin approximation in inspiral-merger-ringdown waveforms. Phys. Rev. D 2013, 88, 064007. [Google Scholar] [CrossRef]
- Pürrer, M.; Hannam, M.; Ohme, F. Can we measure individual black-hole spins from gravitational wave observations? Phys. Rev. D 2016, 93, 084042. [Google Scholar] [CrossRef]
- Racine, E. Analysis of spin precession in binary black hole systems including quadrupole-monopole interaction. Phys. Rev. D 2008, 78, 044021. [Google Scholar] [CrossRef]
- Ajith, P.; Hannam, M.; Husa, S.; Chen, Y.; Brügmann, B.; Dorband, N.; Müller, D.; Ohme, F.; Pollney, D.; Reisswig, C.; et al. Inspiral-Merger-Ringdown Waveforms for Black-Hole Binaries with Nonprecessing Spins. Phys. Rev. Lett. 2011, 106, 241101. [Google Scholar] [CrossRef]
- Santamaría, L.; Ohme, F.; Ajith, P.; Brügmann, B.; Dorband, N.; Hannam, M.; Husa, S.; Mösta, P.; Pollney, D.; Reisswig, C.; et al. Matching post-Newtonian and numerical relativity waveforms: Systematic errors and a new phenomenological model for nonprecessing black hole binaries. Phys. Rev. D 2010, 82, 064016. [Google Scholar] [CrossRef]
- Damour, T. Coalescence of two spinning black holes: An effective one-body approach. Phys. Rev. D 2001, 64, 124013. [Google Scholar] [CrossRef]
- Ajith, P. Addressing the spin question in gravitational wave searches: Waveform templates for inspiralling compact binaries with nonprecessing spins. Phys. Rev. D 2011, 84, 084037. [Google Scholar] [CrossRef]
- Miller, S.; Callister, T.A.; Farr, W.M. The Low Effective Spin of Binary Black Holes and Implications for Individual Gravitational-wave Events. Astrophys. J. 2020, 895, 128. [Google Scholar] [CrossRef]
- Biscoveanu, S.; Isi, M.; Varma, V.; Vitale, S. Measuring the spins of heavy binary black holes. Phys. Rev. D 2021, 104, 103018. [Google Scholar] [CrossRef]
- Biscoveanu, S.; Callister, T.A.; Haster, C.J.; Ng, K.K.Y.; Vitale, S.; Farr, W.M. The Binary Black Hole Spin Distribution Likely Broadens with Redshift. Astrophys. J. Lett. 2022, 932, L19. [Google Scholar] [CrossRef]
- Fishbach, M.; Kalogera, V. Apples and Oranges: Comparing Black Holes in X-ray Binaries and Gravitational-wave Sources. Astrophys. J. Lett. 2022, 929, L26. [Google Scholar] [CrossRef]
- Fishbach, M.; Kimball, C.; Kalogera, V. Limits on Hierarchical Black Hole Mergers from the Most Negative χeff Systems. Astrophys. J. Lett. 2022, 935, L26. [Google Scholar] [CrossRef]
- Schmidt, P.; Ohme, F.; Hannam, M. Towards models of gravitational waveforms from generic binaries: II. Modelling precession effects with a single effective precession parameter. Phys. Rev. D 2015, 91, 024043. [Google Scholar] [CrossRef]
- Wysocki, D.; Lange, J.; O’Shaughnessy, R. Reconstructing phenomenological distributions of compact binaries via gravitational wave observations. Phys. Rev. D 2019, 100, 043012. [Google Scholar] [CrossRef]
- Hinder, I.; Kidder, L.E.; Pfeiffer, H.P. Eccentric binary black hole inspiral-merger-ringdown gravitational waveform model from numerical relativity and post-Newtonian theory. Phys. Rev. D 2018, 98, 044015. [Google Scholar] [CrossRef]
- Payne, E.; Talbot, C.; Thrane, E. Higher order gravitational wave modes with likelihood reweighting. Phys. Rev. D 2019, 100, 123017. [Google Scholar] [CrossRef]
- Romero-Shaw, I.M.; Lasky, P.D.; Thrane, E. Searching for eccentricity: Signatures of dynamical formation in the first gravitational wave transient catalogue of LIGO and Virgo. Mon. Not. R. Astron. Soc. 2019, 490, 5210–5216. [Google Scholar] [CrossRef]
- Abbott, B.P.; Abbott, R.; Abbott, T.D.; Abernathy, M.R.; Acernese, F.; Ackley, K.; Adams, C.; Adams, T.; Addesso, P.; Adhikari, R.X.; et al. Binary Black Hole Mergers in the First Advanced LIGO Observing Run. Phys. Rev. X 2016, 6, 041015. [Google Scholar] [CrossRef]
- Gerosa, D.; Berti, E. Escape speed of stellar clusters from multiple-generation black-hole mergers in the upper mass-gap. Phys. Rev. D 2019, 100, 041301. [Google Scholar] [CrossRef]
- Fragione, G.; Silk, J. Repeated mergers and ejection of black holes within nuclear star clusters. Mon. Not. R. Astron. Soc. 2020, 498, 4591–4604. [Google Scholar] [CrossRef]
- Zhang, F.; Shao, L.; Zhu, W. Gravitational-wave Merging Events from the Dynamics of Stellar-mass Binary Black Holes around the Massive Black Hole in a Galactic Nucleus. Astrophys. J. 2019, 877, 87. [Google Scholar] [CrossRef]
- Rasskazov, A.; Kocsis, B. The Rate of Stellar Mass Black Hole Scattering in Galactic Nuclei. Astrophys. J. 2019, 881, 20. [Google Scholar] [CrossRef]
- Moore, C.J.; Gerosa, D.; Klein, A. Are stellar-mass black-hole binaries too quiet for LISA? Mon. Not. R. Astron. Soc. 2019, 488, L94–L98. [Google Scholar] [CrossRef]
- Hoang, B.M.; Naoz, S.; Kocsis, B.; Farr, W.M.; McIver, J. Detecting Supermassive Black Hole-induced Binary Eccentricity Oscillations with LISA. Astrophys. J. Lett. 2019, 875, L31. [Google Scholar] [CrossRef]
- Liu, B.; Lai, D. Spin-Orbit Misalignment of Merging Black Hole Binaries with Tertiary Companions. Astrophys. J. Lett. 2017, 846, L11. [Google Scholar] [CrossRef]
- Liu, B.; Lai, D. Black Hole and Neutron Star Binary Mergers in Triple Systems: Merger Fraction and Spin-Orbit Misalignment. Astrophys. J. 2018, 863, 68. [Google Scholar] [CrossRef]
- Reynolds, C.S. The spin of supermassive black holes. Class. Quantum Gravity 2013, 30, 244004. [Google Scholar] [CrossRef]
- Reynolds, C.S. Observational Constraints on Black Hole Spin. Annu. Rev. Astron. Astrophys. 2021, 59, 117–154. [Google Scholar] [CrossRef]
- Liu, B.; Lai, D. Merging compact binaries near a rotating supermassive black hole: Eccentricity excitation due to apsidal precession resonance. Phys. Rev. D 2020, 102, 023020. [Google Scholar] [CrossRef]
- Fang, Y.; Chen, X.; Huang, Q.G. Impact of a Spinning Supermassive Black Hole on the Orbit and Gravitational Waves of a Nearby Compact Binary. Astrophys. J. 2019, 887, 210. [Google Scholar] [CrossRef]
- Fang, Y.; Huang, Q.G. Secular evolution of compact binaries revolving around a spinning massive black hole. Phys. Rev. D 2019, 99, 103005. [Google Scholar] [CrossRef]
- Fang, Y.; Huang, Q.G. Three body first post-Newtonian effects on the secular dynamics of a compact binary near a spinning supermassive black hole. Phys. Rev. D 2020, 102, 104002. [Google Scholar] [CrossRef]
- Yu, H.; Chen, Y. Direct Determination of Supermassive Black Hole Properties with Gravitational-Wave Radiation from Surrounding Stellar-Mass Black Hole Binaries. Phys. Rev. Lett. 2021, 126, 021101. [Google Scholar] [CrossRef] [PubMed]
- Liu, B.; Lai, D. Probing the Spins of Supermassive Black Holes with Gravitational Waves from Surrounding Compact Binaries. Astrophys. J. 2022, 924, 127. [Google Scholar] [CrossRef]
- Antonini, F.; Rodriguez, C.L.; Petrovich, C.; Fischer, C.L. Precessional dynamics of black hole triples: Binary mergers with near-zero effective spin. Mon. Not. R. Astron. Soc. 2018, 480, L58–L62. [Google Scholar] [CrossRef]
- Su, Y.; Lai, D.; Liu, B. Spin-orbit misalignments in tertiary-induced binary black-hole mergers: Theoretical analysis. Phys. Rev. D 2021, 103, 063040. [Google Scholar] [CrossRef]
- McKernan, B.; Ford, K.E.S.; O’Shaugnessy, R.; Wysocki, D. Monte Carlo simulations of black hole mergers in AGN discs: Low χeff mergers and predictions for LIGO. Mon. Not. R. Astron. Soc. 2020, 494, 1203–1216. [Google Scholar] [CrossRef]
- Bogdanović, T.; Reynolds, C.S.; Miller, M.C. Alignment of the Spins of Supermassive Black Holes Prior to Coalescence. Astrophys. J. Lett. 2007, 661, L147–L150. [Google Scholar] [CrossRef]
- Tagawa, H.; Haiman, Z.; Bartos, I.; Kocsis, B. Spin Evolution of Stellar-mass Black Hole Binaries in Active Galactic Nuclei. Astrophys. J. 2020, 899, 26. [Google Scholar] [CrossRef]
- Tagawa, H.; Haiman, Z.; Bartos, I.; Kocsis, B.; Omukai, K. Signatures of hierarchical mergers in black hole spin and mass distribution. Mon. Not. R. Astron. Soc. 2021, 507, 3362–3380. [Google Scholar] [CrossRef]
- Graham, M.J.; Ford, K.E.S.; McKernan, B.; Ross, N.P.; Stern, D.; Burdge, K.; Coughlin, M.; Djorgovski, S.G.; Drake, A.J.; Duev, D.; et al. Candidate Electromagnetic Counterpart to the Binary Black Hole Merger Gravitational-Wave Event S190521g. Phys. Rev. Let. 2020, 124, 251102. [Google Scholar] [CrossRef]
- Ashton, G.; Ackley, K.; Hernandez, I.M.; Piotrzkowski, B. Current observations are insufficient to confidently associate the binary black hole merger GW190521 with AGN J124942.3 + 344929. Class. Quantum Gravity 2021, 38, 235004. [Google Scholar] [CrossRef]
- Estellés, H.; Husa, S.; Colleoni, M.; Mateu-Lucena, M.; Planas, M.d.L.; García-Quirós, C.; Keitel, D.; Ramos-Buades, A.; Mehta, A.K.; Buonanno, A.; et al. A Detailed Analysis of GW190521 with Phenomenological Waveform Models. Astrophys. J. 2022, 924, 79. [Google Scholar] [CrossRef]
- Palmese, A.; Fishbach, M.; Burke, C.J.; Annis, J.; Liu, X. Do LIGO/Virgo Black Hole Mergers Produce AGN Flares? The Case of GW190521 and Prospects for Reaching a Confident Association. Astrophys. J. Lett. 2021, 914, L34. [Google Scholar] [CrossRef]
- Bartos, I.; Haiman, Z.; Marka, Z.; Metzger, B.D.; Stone, N.C.; Marka, S. Gravitational-wave localization alone can probe origin of stellar-mass black hole mergers. Nat. Commun. 2017, 8, 831. [Google Scholar] [CrossRef]
- Kopparapu, R.K.; Hanna, C.; Kalogera, V.; O’Shaughnessy, R.; González, G.; Brady, P.R.; Fairhurst, S. Host Galaxies Catalog Used in LIGO Searches for Compact Binary Coalescence Events. Astrophys. J. 2008, 675, 1459–1467. [Google Scholar] [CrossRef]
- Abadie, J.; Abbott, B.P.; Abbott, R.; Abernathy, M.; Accadia, T.; Acernese, F.; Adams, C.; Adhikari, R.; Ajith, P.; Allen, B.; et al. TOPICAL REVIEW: Predictions for the rates of compact binary coalescences observable by ground-based gravitational wave detectors. Class. Quantum Gravity 2010, 27, 173001. [Google Scholar] [CrossRef]
- McKernan, B.; Ford, K.E.S.; Bellovary, J.; Leigh, N.W.C.; Haiman, Z.; Kocsis, B.; Lyra, W.; Mac Low, M.M.; Metzger, B.; O’Dowd, M.; et al. Constraining Stellar-mass Black Hole Mergers in AGN Disks Detectable with LIGO. Astrophys. J. 2018, 866, 66. [Google Scholar] [CrossRef]
- Baldry, I.K.; Driver, S.P.; Loveday, J.; Taylor, E.N.; Kelvin, L.S.; Liske, J.; Norberg, P.; Robotham, A.S.G.; Brough, S.; Hopkins, A.M.; et al. Galaxy And Mass Assembly (GAMA): The galaxy stellar mass function at z < 0.06. Mon. Not. R. Astron. Soc. 2012, 421, 621–634. [Google Scholar] [CrossRef]
- Ho, L.C. Nuclear activity in nearby galaxies. Annu. Rev. Astron. Astrophys. 2008, 46, 475–539. [Google Scholar] [CrossRef]
- Miller, M.C.; Davies, M.B. An Upper Limit to the Velocity Dispersion of Relaxed Stellar Systems without Massive Black Holes. Astrophys. J. 2012, 755, 81. [Google Scholar] [CrossRef]
- Haehnelt, M.G.; Rees, M.J. The formation of nuclei in newly formed galaxies and the evolution of the quasar population. Mon. Not. R. Astron. Soc. 1993, 263, 168–178. [Google Scholar] [CrossRef]
- King, A.; Nixon, C. AGN flickering and chaotic accretion. Mon. Not. R. Astron. Soc. 2015, 453, L46–L47. [Google Scholar] [CrossRef]
- Schawinski, K.; Koss, M.; Berney, S.; Sartori, L.F. Active galactic nuclei flicker: An observational estimate of the duration of black hole growth phases of ∼105 yr. Mon. Not. R. Astron. Soc. 2015, 451, 2517–2523. [Google Scholar] [CrossRef]
- McKernan, B.; Ford, K.E.S.; O’Shaughnessy, R. Black hole, neutron star, and white dwarf merger rates in AGN discs. Mon. Not. R. Astron. Soc. 2020, 498, 4088–4094. [Google Scholar] [CrossRef]
- VanLandingham, J.H.; Miller, M.C.; Hamilton, D.P.; Richardson, D.C. The Role of the Kozai–Lidov Mechanism in Black Hole Binary Mergers in Galactic Centers. Astrophys. J. 2016, 828, 77. [Google Scholar] [CrossRef]
- Li, G.P. Time-dependent stellar-mass binary black hole mergers in AGN disks: Mass distribution of hierarchical mergers. Phys. Rev. D 2022, 105, 063006. [Google Scholar] [CrossRef]
- Ford, K.E.S.; McKernan, B. Binary Black Hole Merger Rates in AGN Disks versus Nuclear Star Clusters: Loud beats Quiet. arXiv 2021, arXiv:2109.03212. [Google Scholar]
- Secunda, A.; Bellovary, J.; Mac Low, M.M.; Ford, K.E.S.; McKernan, B.; Leigh, N.W.C.; Lyra, W.; Sándor, Z.; Adorno, J.I. Orbital Migration of Interacting Stellar Mass Black Holes in Disks around Supermassive Black Holes. II. Spins and Incoming Objects. Astrophys. J. 2020, 903, 133. [Google Scholar] [CrossRef]
- Gröbner, M.; Ishibashi, W.; Tiwari, S.; Haney, M.; Jetzer, P. Binary black hole mergers in AGN accretion discs: Gravitational wave rate density estimates. Astron. Astrophys. 2020, 638, A119. [Google Scholar] [CrossRef]
- Mandel, I.; Broekgaarden, F.S. Rates of compact object coalescences. Living Rev. Relativ. 2022, 25, 1. [Google Scholar] [CrossRef]
- Gerosa, D.; Ma, S.; Wong, K.W.K.; Berti, E.; O’Shaughnessy, R.; Chen, Y.; Belczynski, K. Multiband gravitational wave event rates and stellar physics. Phys. Rev. D 2019, 99, 103004. [Google Scholar] [CrossRef]
- Amaro Seoane, P.; Arca Sedda, M.; Babak, S.; Berry, C.P.L.; Berti, E.; Bertone, G.; Blas, D.; Bogdanović, T.; Bonetti, M.; Breivik, K.; et al. The effect of mission duration on LISA science objectives. Gen. Relativ. Gravit. 2022, 54, 3. [Google Scholar] [CrossRef]
- Randall, L.; Xianyu, Z.Z. Observing Eccentricity Oscillations of Binary Black Holes in LISA. arXiv 2019, arXiv:1902.08604. [Google Scholar]
- Gupta, P.; Suzuki, H.; Okawa, H.; Maeda, K.i. Gravitational waves from hierarchical triple systems with Kozai–Lidov oscillation. Phys. Rev. D 2020, 101, 104053. [Google Scholar] [CrossRef]
- Emami, R.; Loeb, A. Probingintermediate-mass black holes in M87 through multiwavelength gravitational wave observations. Mon. Not. R. Astron. Soc. 2020, 495, 536–543. [Google Scholar] [CrossRef]
- Deme, B.; Hoang, B.M.; Naoz, S.; Kocsis, B. Detecting Kozai–Lidov Imprints on the Gravitational Waves of Intermediate-mass Black Holes in Galactic Nuclei. Astrophys. J. 2020, 901, 125. [Google Scholar] [CrossRef]
- Damour, T.; Deruelle, N. Radiation reaction and angular momentum loss in small angle gravitational scattering. Phys. Lett. A 1981, 87, 81–84. [Google Scholar] [CrossRef]
- Inayoshi, K.; Tamanini, N.; Caprini, C.; Haiman, Z. Probing stellar binary black hole formation in galactic nuclei via the imprint of their center of mass acceleration on their gravitational wave signal. Phys. Rev. D 2017, 96, 063014. [Google Scholar] [CrossRef]
- Tamanini, N.; Klein, A.; Bonvin, C.; Barausse, E.; Caprini, C. Peculiar acceleration of stellar-origin black hole binaries: Measurement and biases with LISA. Phys. Rev. D 2020, 101, 063002. [Google Scholar] [CrossRef]
- Wong, K.W.K.; Baibhav, V.; Berti, E. Binary radial velocity measurements with space-based gravitational wave detectors. Mon. Not. R. Astron. Soc. 2019, 488, 5665–5670. [Google Scholar] [CrossRef]
- Zhang, F.; Chen, X.; Shao, L.; Inayoshi, K. The Eccentric and Accelerating Stellar Binary Black Hole Mergers in Galactic Nuclei: Observing in Ground and Space Gravitational-wave Observatories. Astrophys. J. 2021, 923, 139. [Google Scholar] [CrossRef]
- Yu, H.; Wang, Y.; Seymour, B.; Chen, Y. Detecting gravitational lensing in hierarchical triples in galactic nuclei with space-borne gravitational wave observatories. Phys. Rev. D 2021, 104, 103011. [Google Scholar] [CrossRef]
- Sberna, L.; Babak, S.; Marsat, S.; Caputo, A.; Cusin, G.; Toubiana, A.; Barausse, E.; Caprini, C.; Dal Canton, T.; Sesana, A.; et al. Observing GW190521-like binary black holes and their environment with LISA. arXiv 2022, arXiv:2205.08550. [Google Scholar] [CrossRef]
- Meiron, Y.; Kocsis, B.; Loeb, A. Detecting Triple Systems with Gravitational Wave Observations. Astrophys. J. 2017, 834, 200. [Google Scholar] [CrossRef]
- Chen, X.; Li, S.; Cao, Z. Mass-redshift degeneracy for the gravitational wave sources in the vicinity of supermassive black holes. Mon. Not. R. Astron. Soc. 2019, 485, L141–L145. [Google Scholar] [CrossRef]
- D’Orazio, D.J.; Loeb, A. Repeated gravitational lensing of gravitational waves in hierarchical black hole triples. Phys. Rev. D 2020, 101, 083031. [Google Scholar] [CrossRef]
- Torres-Orjuela, A.; Chen, X.; Amaro-Seoane, P. Phase shift of gravitational waves induced by aberration. Phys. Rev. D 2020, 101, 083028. [Google Scholar] [CrossRef]
- Kuntz, A.; Leyde, K. Transverse Doppler effect and parameter estimation of LISA three-body systems. arXiv 2022, arXiv:2212.09753. [Google Scholar]
- Takahashi, R.; Nakamura, T. Wave Effects in the Gravitational Lensing of Gravitational Waves from Chirping Binaries. Astrophys. J. 2003, 595, 1039–1051. [Google Scholar] [CrossRef]
- Gondán, L.; Kocsis, B. Astrophysical gravitational wave echoes from galactic nuclei. Mon. Not. R. Astron. Soc. 2022, 515, 3299–3318. [Google Scholar] [CrossRef]
- Will, C.M. Incorporating post-Newtonian effects in N-body dynamics. Phys. Rev. D 2014, 89, 044043. [Google Scholar] [CrossRef]
- Pechetti, R.; Seth, A.; Kamann, S.; Caldwell, N.; Strader, J.; den Brok, M.; Luetzgendorf, N.; Neumayer, N.; Voggel, K. Detection of a 100,000 M⊙ black hole in M31’s Most Massive Globular Cluster: A Tidally Stripped Nucleus. Astrophys. J. 2022, 924, 48. [Google Scholar] [CrossRef]
- Chen, X.; Xuan, Z.Y.; Peng, P. Fake Massive Black Holes in the Milli-Hertz Gravitational-wave Band. Astrophys. J. 2020, 896, 171. [Google Scholar] [CrossRef]
















| BBH Merger Rates | ||
|---|---|---|
| Process | () | Ref. |
| GWTC-3 | ||
| - | 17.9–44 | The LIGO Scientific Collaboration et al. [141] |
| Quiescent SMBH | ||
| EKL+SEV | 4–24 | Wang et al. [359] |
| EKL+DYN | 3–8 | Arca Sedda [278] |
| EKL+DYN | 6–20 | Arca Sedda [278] |
| EKL+SEV | 10–20 | Stephan et al. [59] |
| EKL | 0.17–0.52 | Fragione et al. [401] |
| EKL+DYN | 1–10 | Zhang et al. [487] |
| EKL | 1–3 | Hoang et al. [292] |
| DYN | – | Leigh et al. [30] |
| EKL | 0.6–15 | Petrovich and Antonini [394] |
| EKL | <100 | VanLandingham et al. [522] |
| EKL | 0.1–48 | Antonini and Perets [379] |
| DYN | 0.21 | O’Leary et al. [264] |
| AGN | ||
| GAS+TRP | 27–37 | Li [523] |
| DYN+GAS | 6–19 | Ford and McKernan [524] |
| MIG+TRP | 0.66–120 | Secunda et al. [525] |
| GAS | 0.002–18 | Gröbner et al. [526] |
| DYN+GAS | 0.02–60 | Tagawa et al. [33] |
| DYN+TRP | 4 | Yang et al. [31] |
| MIG | – | McKernan et al. [514] |
| TRP | – | Leigh et al. [30] |
| DYN+GAS | 3 | Stone et al. [442] |
| NS–BH Merger Rates | ||
|---|---|---|
| Process | () | Ref. |
| GWTC-3 | ||
| - | 7.8–140 | The LIGO Scientific Collaboration et al. [141] |
| Quiescent SMBH | ||
| DYN | –0.006 | Arca Sedda [136] |
| EKL+SEV | 0.025–0.3 | Wang et al. [359] |
| EKL | 0.06–1 | Fragione et al. [401] |
| DYN | –0.015 | Arca Sedda [130] |
| DYN | 0.001–0.06 | Hoang et al. [311] |
| AGN | ||
| MIG+TRP | 10–300 | McKernan et al. [521] |
| DYN+GAS | 1.1–6.3 | Yang et al. [134] |
Disclaimer/Publisher’s Note: The statements, opinions and data contained in all publications are solely those of the individual author(s) and contributor(s) and not of MDPI and/or the editor(s). MDPI and/or the editor(s) disclaim responsibility for any injury to people or property resulting from any ideas, methods, instructions or products referred to in the content. |
© 2023 by the authors. Licensee MDPI, Basel, Switzerland. This article is an open access article distributed under the terms and conditions of the Creative Commons Attribution (CC BY) license (https://creativecommons.org/licenses/by/4.0/).
Share and Cite
Arca Sedda, M.; Naoz, S.; Kocsis, B. Quiescent and Active Galactic Nuclei as Factories of Merging Compact Objects in the Era of Gravitational Wave Astronomy. Universe 2023, 9, 138. https://doi.org/10.3390/universe9030138
Arca Sedda M, Naoz S, Kocsis B. Quiescent and Active Galactic Nuclei as Factories of Merging Compact Objects in the Era of Gravitational Wave Astronomy. Universe. 2023; 9(3):138. https://doi.org/10.3390/universe9030138
Chicago/Turabian StyleArca Sedda, Manuel, Smadar Naoz, and Bence Kocsis. 2023. "Quiescent and Active Galactic Nuclei as Factories of Merging Compact Objects in the Era of Gravitational Wave Astronomy" Universe 9, no. 3: 138. https://doi.org/10.3390/universe9030138
APA StyleArca Sedda, M., Naoz, S., & Kocsis, B. (2023). Quiescent and Active Galactic Nuclei as Factories of Merging Compact Objects in the Era of Gravitational Wave Astronomy. Universe, 9(3), 138. https://doi.org/10.3390/universe9030138

