Element Abundances in Impulsive Solar Energetic-Particle Events
Abstract
1. Introduction
2. 3He-Rich Events
2.1. Properties and Associations
2.2. Ionization States
2.3. Theory
2.4. Spatial Transport
3. Jets and Flares
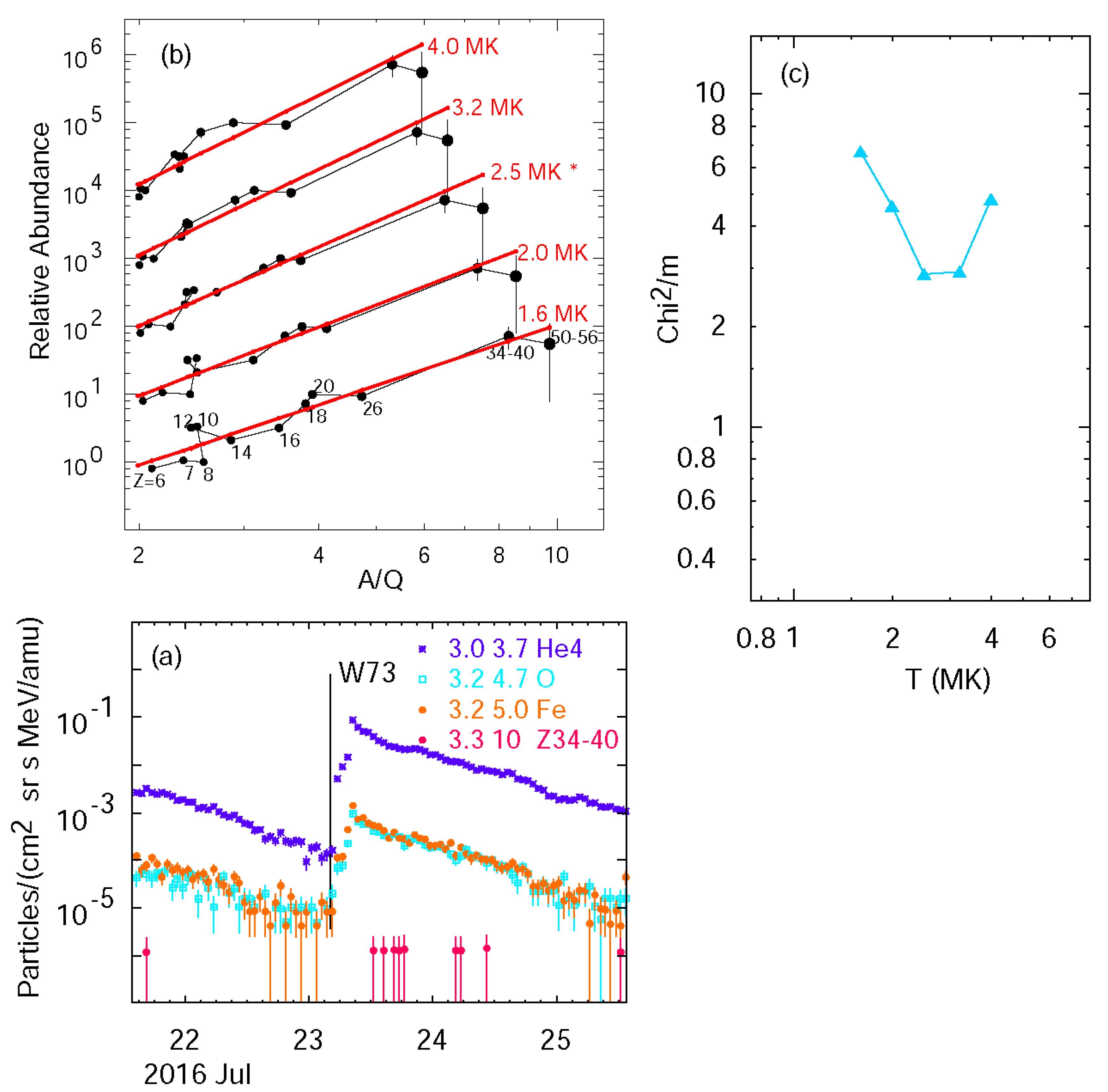
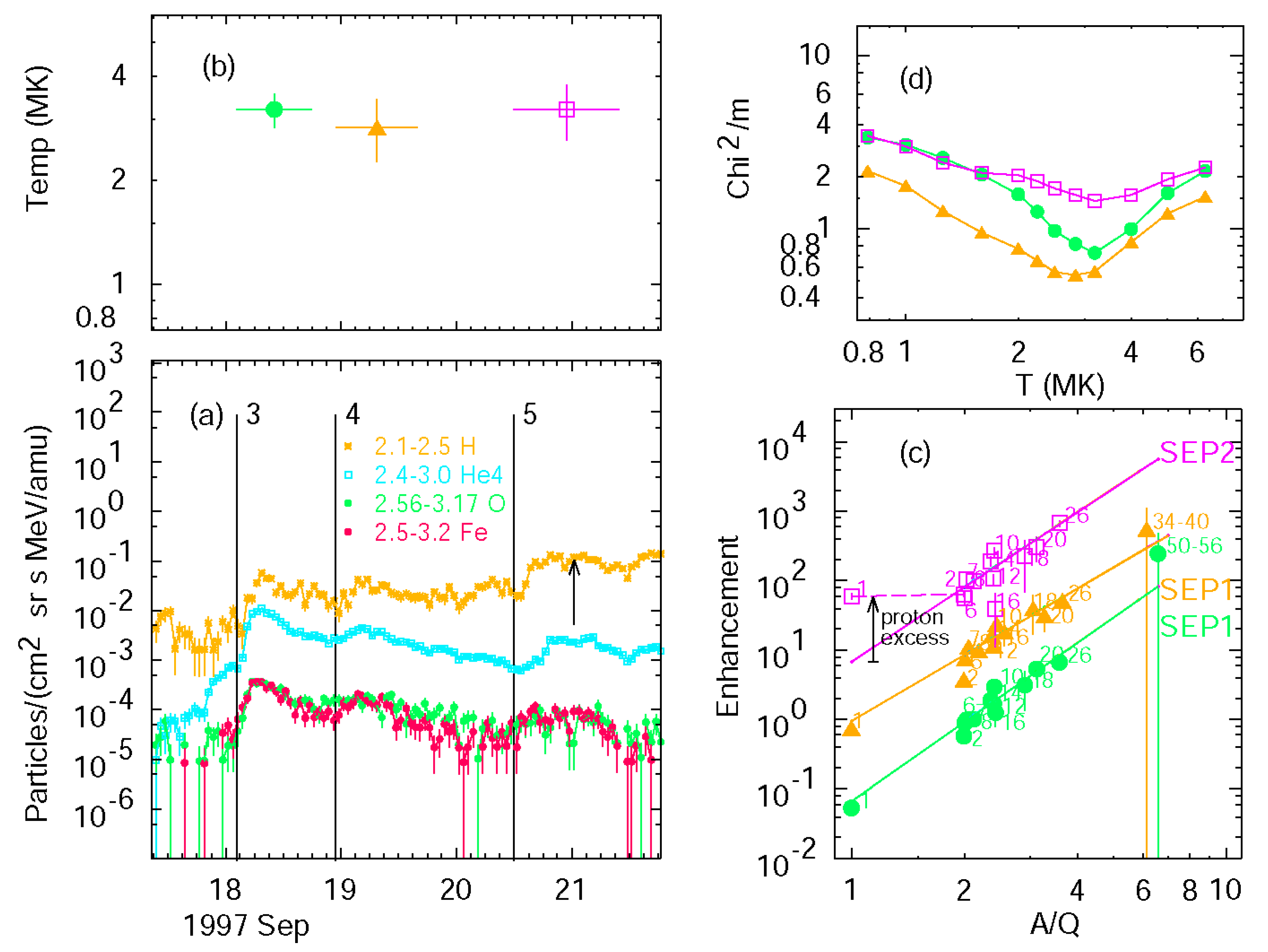
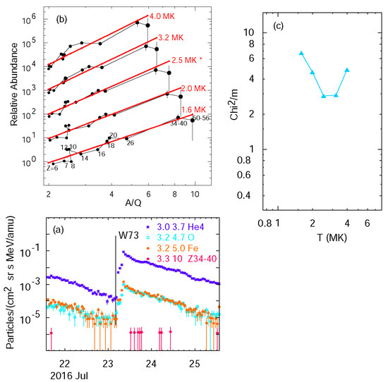
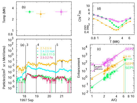
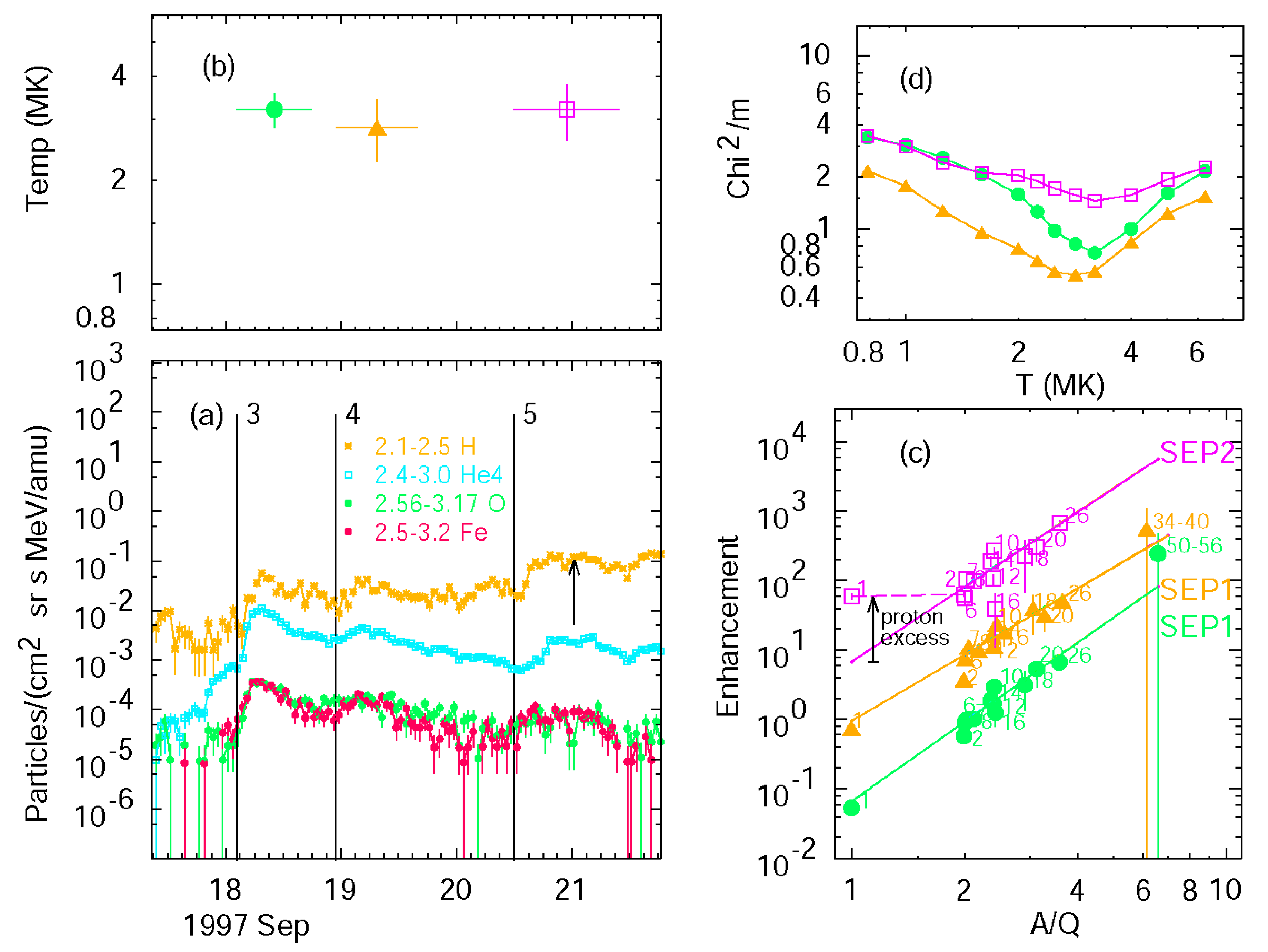
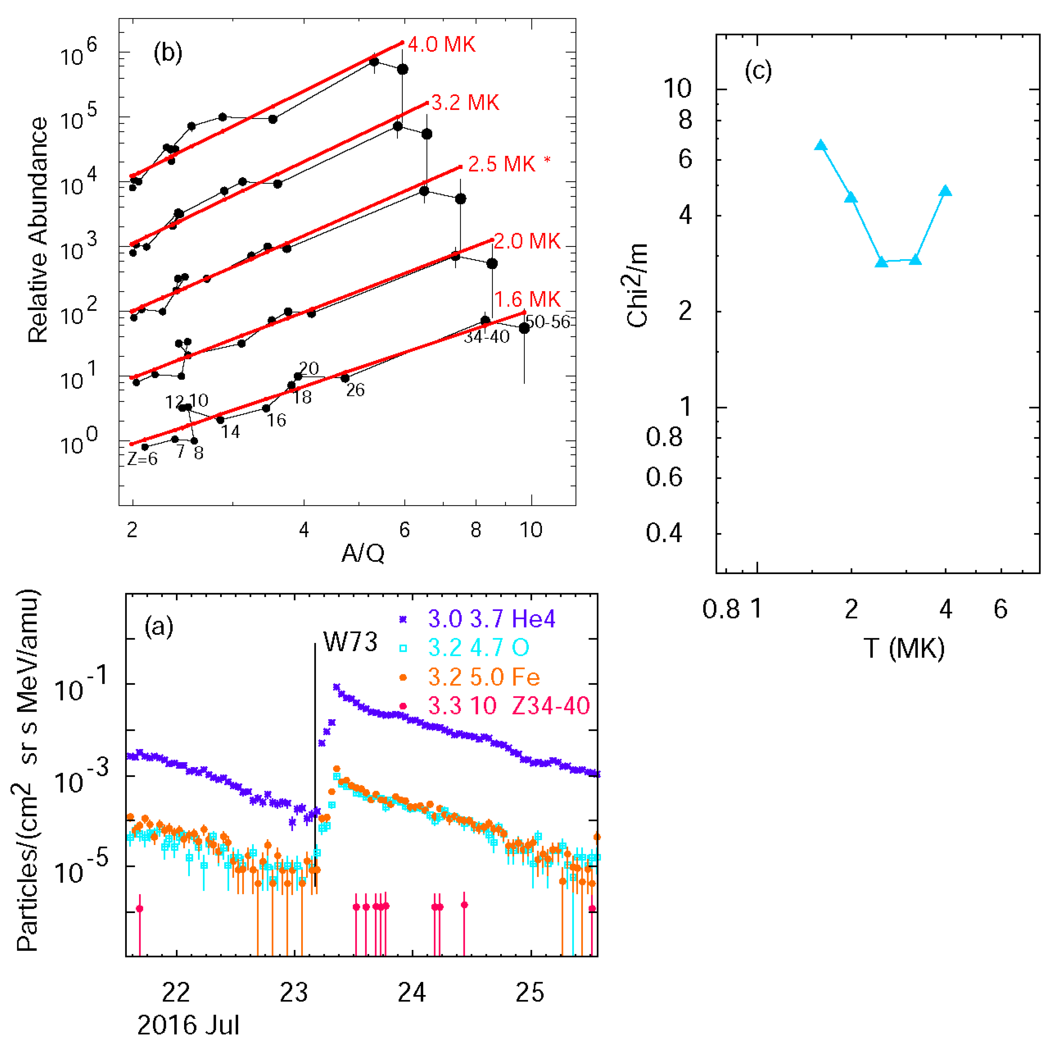
4. Abundance Power Laws, Temperature, and Shocks
- (1)
- A single power-law fit extends from H to high-Z elements (Events 3 and 4 in Figure 5). This is seen for many small impulsive SEP1 events.
- (2)
- A large proton excess, sometimes including an enhancement in 4He, with an associated fast CME, that shows a clear SEP2 event, with a fast CME-driven shock (Event 92 in Figure 6) that accelerates ions from both seed populations.
- (3)
5. Conclusions
Funding
Acknowledgments
Conflicts of Interest
References
- Wild, J.P.; Smerd, S.F.; Weiss, A.A. Solar Bursts. Annu. Rev. Astron. Astrophys. 1963, 1, 291. [Google Scholar] [CrossRef]
- Lin, R.P. The emission and propagation of 40 keV solar flare electrons. I: The relationship of 40 keV electron to energetic proton and relativistic electron emission by the sun. Sol. Phys. 1970, 12, 266. [Google Scholar] [CrossRef]
- Forbush, S.E. Three unusual cosmic ray increases possibly due to charged particles from the Sun. Phys. Rev. 1946, 70, 771. [Google Scholar] [CrossRef]
- Fichtel, C.E.; Guss, D.E. Heavy nuclei in solar cosmic rays. Phys. Rev. Lett. 1961, 6, 495. [Google Scholar] [CrossRef]
- Bertsch, D.L.; Fichtel, C.E.; Reames, D.V. Relative abundance of iron-group nuclei in solar cosmic rays. Astrophys. J. Lett. 1969, 157, L53. [Google Scholar] [CrossRef]
- Meyer, J.P. The baseline composition of solar energetic particles. Astrophys. J. Suppl. Ser. 1985, 57, 151. [Google Scholar] [CrossRef]
- Breneman, H.H.; Stone, E.C. Solar coronal and photospheric abundances from solar energetic particle measurements. Astrophys. J. Lett. 1985, 299, L57. [Google Scholar] [CrossRef]
- Reames, D.V. Coronal Abundances determined from energetic particles. Adv. Space Res. 1995, 15, 41. [Google Scholar] [CrossRef]
- Reames, D.V. Element abundances in solar energetic particles and the solar corona. Sol. Phys. 2014, 289, 977. [Google Scholar] [CrossRef]
- Reames, D.V. Solar Energetic Particles, 2nd ed.; Lecture Notes in Physics; Springer Nature: Cham, Switzerland, 2021. [Google Scholar] [CrossRef]
- Mewaldt, R.A.; Cohen, C.M.S.; Leske, R.A.; Christian, E.R.; Cummings, A.C.; Stone, E.C.; von Rosenvinge, T.T.; Wiedenbeck, M.E. Fractionation of solar energetic particles and solar wind according to first ionization potential. Adv. Space Res. 2002, 30, 79. [Google Scholar] [CrossRef]
- Reames, D.V. The “FIP effect” and the origins of solar energetic particles and of the solar wind. Sol. Phys. 2018, 293, 47. [Google Scholar] [CrossRef]
- Laming, J.M.; Vourlidas, A.; Korendyke, C.; Chua, D.; Cranmer, S.R.; Ko, Y.-K.; Kuroda, N.; Provornikova, E.; Raymond, J.C.; Raouafi, N.-E.; et al. Element abundances: A new diagnostic for the solar wind. Astrophys. J. 2019, 879, 124. [Google Scholar] [CrossRef] [PubMed]
- Laming, J.M. The FIP and inverse FIP effects in solar and stellar coronae. Living Rev. Sol. Phys. 2015, 12, 2. [Google Scholar] [CrossRef]
- Kahler, S.W.; Sheeley, N.R., Jr.; Howard, R.A.; Koomen, M.J.; Michels, D.J.; McGuire, R.E.; von Rosenvinge, T.T.; Reames, D.V. Associations between coronal mass ejections and solar energetic proton events. J. Geophys. Res. 1984, 89, 9683. [Google Scholar] [CrossRef]
- Mason, G.M.; Gloeckler, G.; Hovestadt, D. Temporal variations of nucleonic abundances in solar flare energetic particle events. II—Evidence for large-scale shock acceleration. Astrophys. J. 1984, 280, 902. [Google Scholar] [CrossRef]
- Gosling, J.T. The solar flare myth. J. Geophys. Res. 1993, 98, 18937. [Google Scholar] [CrossRef]
- Gosling, J.T. Corrections to “The solar flare myth”. J. Geophys. Res. 1994, 99, 4259. [Google Scholar] [CrossRef]
- Reames, D.V. Review and outlook of solar-energetic-particle measurements on multi-spacecraft missions. arXiv 2023, arXiv:2307.04182. [Google Scholar]
- Mason, G.M. 3He-rich solar energetic particle events. Space Sci. Rev. 2007, 130, 231. [Google Scholar] [CrossRef]
- Bučík, R. 3He-rich solar energetic particles: Solar sources. Space Sci. Rev. 2020, 216, 24. [Google Scholar] [CrossRef]
- Reames, D.V. Fifty Years of 3He-rich Events. Front. Astron. Space Sci. 2021, 8, 164. [Google Scholar] [CrossRef]
- Lee, M.A. Coupled hydromagnetic wave excitation and ion acceleration at interplanetary traveling shocks. J. Geophys. Res. 1983, 88, 6109. [Google Scholar] [CrossRef]
- Lee, M.A. Coupled hydromagnetic wave excitation and ion acceleration at an evolving coronal/interplanetary shock. Astrophys. J. Suppl. Ser. 2005, 158, 38. [Google Scholar] [CrossRef]
- Lee, M.A.; Mewaldt, R.A.; Giacalone, J. Shock acceleration of ions in the heliosphere. Space Sci. Rev. 2012, 173, 247. [Google Scholar] [CrossRef]
- Desai, M.I.; Giacalone, J. Large gradual solar energetic particle events. Living Rev. Sol. Phys. 2016, 13, 3. [Google Scholar] [CrossRef] [PubMed]
- Reames, D.V. How do shock waves define the space-time structure of gradual solar energetic-particle events? Space Sci. Rev. 2023, 219, 14. [Google Scholar] [CrossRef]
- Zank, G.P.; Rice, W.K.M.; Wu, C.C. Particle acceleration and coronal mass ejection driven shocks: A theoretical model. J. Geophys. Res. 2000, 105, 25079. [Google Scholar] [CrossRef]
- Reames, D.V. The dark side of the solar flare myth. Eos Trans. AGU 1995, 76, 401. [Google Scholar] [CrossRef]
- Reames, D.V. Solar energetic particles: A paradigm shift. Rev. Geophys. 1995, 33, 585. [Google Scholar] [CrossRef]
- Reames, D.V. Bimodal abundances in the energetic particles of solar and interplanetary origin. Astrophys. J. Lett. 1988, 330, L71. [Google Scholar] [CrossRef]
- Reames, D.V. Particle acceleration at the Sun and in the heliosphere. Space Sci. Rev. 1999, 90, 413. [Google Scholar] [CrossRef]
- Reames, D.V. The two sources of solar energetic particles. Space Sci. Rev. 2013, 175, 53. [Google Scholar] [CrossRef]
- Reames, D.V. Abundances, ionization states, temperatures, and FIP in solar energetic particles. Space Sci. Rev. 2018, 214, 61. [Google Scholar] [CrossRef]
- Reames, D.V. Four distinct pathways to the element abundances in solar energetic particles. Space Sci. Rev. 2020, 216, 20. [Google Scholar] [CrossRef]
- Reames, D.V. Sixty years of element abundance measurements in solar energetic particles. Space Sci. Rev. 2021, 217, 72. [Google Scholar] [CrossRef]
- Hsieh, K.C.; Simpson, J.A. Galactic 3He above 10 MeV per nucleon and the solar contributions of hydrogen and Helium. Astrophys. J. Lett. 1970, 162, L197. [Google Scholar] [CrossRef]
- Serlemitsos, A.T.; Balasubrahmanyan, V.K. Solar particle events with anomalously large relative abundance of 3He. Astrophys. J. 1975, 198, 195. [Google Scholar] [CrossRef]
- McGuire, R.E.; von Rosenvinge, T.T.; McDonald, F.B. A survey of solar cosmic ray composition. In Proceedings of the 16th International Cosmic Ray Conference, Kyoto, Japan, 6–18 August 1979; Volume 5, p. 61. [Google Scholar]
- Cook, W.R.; Stone, E.C.; Vogt, R.E. Elemental composition of solar energetic particles. Astrophys. J. 1984, 279, 827. [Google Scholar] [CrossRef]
- Mason, G.M.; Reames, D.V.; Klecker, B.; Hovestadt, D.; von Rosenvinge, T.T. The heavy-ion compositional signature in He-3-rich solar particle events. Astrophys. J. 1986, 303, 849. [Google Scholar] [CrossRef]
- Reames, D.V.; Meyer, J.P.; von Rosenvinge, T.T. Energetic-particle abundances in impulsive solar flare events. Astrophys. J. Suppl. Ser. 1994, 90, 649. [Google Scholar] [CrossRef]
- Reames, D.V. Abundances of trans-iron elements in solar energetic particle events. Astrophys. J. Lett. 2000, 540, L111. [Google Scholar] [CrossRef]
- Reames, D.V.; Ng, C.K. Heavy-element abundances in solar energetic particle events. Astrophys. J. 2004, 610, 510. [Google Scholar] [CrossRef]
- Mason, G.M.; Mazur, J.E.; Dwyer, J.R.; Jokippi, J.R.; Gold, R.E.; Krimigis, S.M. Abundances of heavy and ultraheavy ions in 3He-rich solar flares. Astrophys. J. 2004, 606, 555. [Google Scholar] [CrossRef]
- Reames, D.V.; Cliver, E.W.; Kahler, S.W. Abundance enhancements in impulsive solar energetic-particle events with associated coronal mass ejections. Sol. Phys. 2014, 289, 3817. [Google Scholar] [CrossRef]
- Reames, D.V.; von Rosenvinge, T.T.; Lin, R.P. Solar 3He-rich events and nonrelativistic electron events—A new association. Astrophys. J. 1985, 292, 716. [Google Scholar] [CrossRef]
- Reames, D.V.; Stone, R.G. The identification of solar 3He-rich events and the study of particle acceleration at the sun. Astrophys. J. 1986, 308, 902. [Google Scholar] [CrossRef]
- Nitta, N.V.; Reames, D.V.; DeRosa, M.L.; Yashiro, S.; Gopalswamy, N. Solar sources of impulsive solar energetic particle events and their magnetic field connection to the earth. Astrophys. J. 2006, 650, 438. [Google Scholar] [CrossRef]
- Ho, G.C.; Roelof, E.C.; Mason, G.M. The upper limit on 3He fluence in solar energetic particle events. Atrophys. J. Lett. 2005, 621, L141. [Google Scholar] [CrossRef]
- Liu, S.; Petrosian, V.; Mason, G.M. Stochastic acceleration of 3He and 4He in solar flares by parallel-propagating plasma waves. Astrophys. J. Lett. 2004, 613, L13. [Google Scholar] [CrossRef]
- Liu, S.; Petrosian, V.; Mason, G.M. Stochastic acceleration of 3He and 4He in solar flares by parallel-propagating plasma waves: General results. Astrophys. J. 2006, 636, 462. [Google Scholar] [CrossRef]
- Petrosian, V.; Jiang, Y.W.; Liu, S.; Ho, G.C.; Mason, G.M. Relative distributions of fluences of 3He and 4He in solar energetic particles. Astrophys. J. 2009, 701, 1–7. [Google Scholar] [CrossRef]
- Tylka, A.J.; Cohen, C.M.S.; Dietrich, W.F.; Maclennan, C.G.; McGuire, R.E.; Ng, C.K.; Reames, D.V. Evidence for remnant flare suprathermals in the source population of solar energetic particles in the 2000 bastille day event. Astrophys. J. Lett. 2001, 558, L59. [Google Scholar] [CrossRef][Green Version]
- Tylka, A.J.; Cohen, C.M.S.; Dietrich, W.F.; Lee, M.A.; Maclennan, C.G.; Mewaldt, R.A.; Ng, C.K.; Reames, D.V. Shock geometry, seed populations, and the origin of variable elemental composition at high energies in large gradual solar particle events. Astrophys. J. 2005, 625, 474. [Google Scholar] [CrossRef]
- Tylka, A.J.; Lee, M.A. Spectral and compositional characteristics of gradual and impulsive solar energetic particle events. Astrophys. J. 2006, 646, 1319. [Google Scholar] [CrossRef]
- Desai, M.I.; Mason, G.M.; Dwyer, J.R.; Mazur, J.E.; Gold, R.E.; Krimigis, S.M.; Smith, C.W.; Skoug, R.M. Evidence for a suprathermal seed population of heavy ions accelerated by interplanetary shocks near 1 AU. Astrophys. J. 2003, 588, 1149. [Google Scholar] [CrossRef]
- Wiedenbeck, M.E.; Cohen, C.M.S.; Cummings, A.C.; de Nolfo, G.A.; Leske, R.A.; Mewaldt, R.A.; Stone, E.C.; von Rosenvinge, T.T. Persistent energetic 3He in the inner heliosphere. In Proceedings of the 30th International Cosmic Ray Conference, Merida, Mexico, 3–11 July 2008; Volume 1, p. 91. [Google Scholar]
- Bučík, R.; Innes, D.E.; Mall, U.; Korth, A.; Mason, G.M.; Gómez-Herrero, R. Multi-spacecraft observations of recurrent 3He-rich solar energetic particles. Astrophys. J. 2014, 786, 71. [Google Scholar] [CrossRef]
- Bučík, R.; Innes, D.E.; Chen, N.H.; Mason, G.M.; Gómez-Herrero, R.; Wiedenbeck, M.E. Long-lived energetic particle source regions on the Sun. J. Phys. Conf. Ser. 2015, 642, 012002. [Google Scholar] [CrossRef]
- Chen, N.H.; Bučík, R.; Innes, D.E.; Mason, G.M. Case studies of multi-day 3He-rich solar energetic particle periods. Astron. Astrophys. 2015, 580, 16. [Google Scholar] [CrossRef][Green Version]
- Luhn, A.; Klecker, B.; Hovestadt, D.; Gloeckler, G.; Ipavich, F.M.; Scholer, M.; Fan, C.Y.; Fisk, L.A. Ionic charge states of N, Ne, Mg, Si and S in solar energetic particle events. Adv. Space Res. 1984, 4, 161. [Google Scholar] [CrossRef]
- Luhn, A.; Klecker, B.; Hovestadt, D.; Möbius, E. The mean ionic charge of silicon in He-3-rich solar flares. Astrophys. J. 1987, 317, 951. [Google Scholar] [CrossRef]
- DiFabio, R.; Guo, Z.; Möbius, E.; Klecker, B.; Kucharek, H.; Mason, G.M.; Popecki, M. Energy-dependent charge states and their connection with ion abundances in impulsive solar energetic particle events. Astrophys. J. 2008, 687, 623. [Google Scholar] [CrossRef]
- Reames, D.V. Solar release times of energetic particles in ground-level events. Astrophys. J. 2009, 693, 812. [Google Scholar] [CrossRef]
- Reames, D.V. Solar energetic-particle release times in historic ground-level events. Astrophys. J. 2009, 706, 844. [Google Scholar] [CrossRef]
- Ibragimov, I.A.; Kocharov, G.E. Possible mechanism for enrichment of solar cosmic rays by helium-three and heavy nuclei. In Proceedings of the 15th International Cosmic Ray Conference, Plovdiv, Bulgaria, 13–26 August 1977; Volume 11, p. 340. [Google Scholar]
- Kocharov, G.E.; Kocharov, L.G. Present state of experimental and theoretical investigations of solar events enriched by helium-3. In Proceedings of the 10th Symposium on Cosmic Rays, Aligarh, India, 12–16 December 1967; p. 37. [Google Scholar]
- Fisk, L.A. 3He-rich flares—A possible explanation. Astrophys. J. 1978, 224, 1048. [Google Scholar] [CrossRef]
- Varvoglis, H.; Papadopoulis, K. Selective nonresonant acceleration of He-3(2+) and heavy ions by H(+) cyclotron waves. Astrophys. J. Lett. 1983, 270, L95. [Google Scholar] [CrossRef]
- Kocharov, G.E.; Kocharov, L.G. 3He-rich solar flares. Space Sci. Rev. 1984, 38, 89. [Google Scholar] [CrossRef]
- Weatherall, J. Turbulent heating in solar cosmic-ray theory. Astrophys. J. 1984, 281, 468. [Google Scholar] [CrossRef]
- Winglee, R.M. Heating and acceleration of heavy ions during solar flares. Astrophys. J. 1989, 343, 511. [Google Scholar] [CrossRef]
- Riyopoulos, S. Subthreshold stochastic diffusion with application to selective acceleration of 3He in solar flares. Astrophys. J. 1991, 381, 578. [Google Scholar] [CrossRef]
- Temerin, M.; Roth, I. The production of 3He and heavy ion enrichment in 3He-rich flares by electromagnetic hydrogen cyclotron waves. Astrophys. J. Lett. 1992, 391, L105. [Google Scholar] [CrossRef]
- Mason, G.M.; Nitta, N.V.; Wiedenbeck, M.E.; Innes, D.E. Evidence for a common acceleration mechanism for enrichments of 3He and heavy ions in impulsive SEP events. Astrophys. J. 2016, 823, 138. [Google Scholar] [CrossRef]
- Drake, J.F.; Cassak, P.A.; Shay, M.A.; Swisdak, M.; Quataert, E. A magnetic reconnection mechanism for ion acceleration and abundance enhancements in impulsive flares. Astrophys. J. Lett. 2009, 700, L16. [Google Scholar] [CrossRef]
- Arnold, H.; Drake, J.; Swisdak, M.; Guo, F.; Dahlin, J.; Chen, B.; Fleishman, G.; Glesener, L.; Kontar, E.; Phan, T.; et al. Electron acceleration during macroscale magnetic reconnection. Phys. Rev. Lett. 2021, 126, 13. [Google Scholar] [CrossRef]
- Laming, J.M.; Kuroda, N. Element abundances in impulsive solar energetic particle events. Astrophys. J. 2023, 951, 86. [Google Scholar] [CrossRef]
- Jokipii, J.R.; Parker, E.N. Stochastic aspects of magnetic lines of force with application to cosmic ray propagation. Astrophys. J. 1969, 155, 777. [Google Scholar] [CrossRef]
- Wiedenbeck, M.E.; Mason, G.M.; Cohen, C.M.S.; Nitta, N.V.; Gómez-Herrero, R.; Haggerty, D.K. Observations of solar energetic particles from 3He-rich events over a wide range of heliographic longitude. Astrophys. J. 2013, 762, 54. [Google Scholar] [CrossRef]
- Cliver, E.W.; Ling, A.G. Electrons and protons in solar energetic particle events. Astrophys. J. 2007, 658, 1349. [Google Scholar] [CrossRef]
- Mason, G.M.; Ng, C.K.; Klecker, B.; Green, G. Impulsive acceleration and scatter-free transport of about 1 MeV per nucleon ions in 3He-rich solar particle events. Astrophys. J. 1989, 339, 529. [Google Scholar] [CrossRef]
- Reames, D.V.; Kallenrode, M.-B.; Stone, R.G. Multi-spacecraft observations of solar 3He-rich events. Astrophys. J. 1991, 380, 287. [Google Scholar] [CrossRef]
- Reames, D.V.; Ng, C.K.; Berdichevsky, D. Angular distributions of solar energetic particles. Atrophys. J. 2001, 550, 1064. [Google Scholar] [CrossRef]
- Kahler, S.W.; Reames, D.V.; Sheeley, N.R., Jr.; Howard, R.A.; Kooman, M.J.; Michels, D.J. A comparison of solar 3He-rich events with type II bursts and coronal mass ejections. Astrophys. J. 1985, 290, 742. [Google Scholar] [CrossRef][Green Version]
- Kahler, S.W.; Reames, D.V.; Sheeley, N.R., Jr. Coronal mass ejections associated with impulsive solar energetic particle events. Astrophys. J. 2001, 562, 558. [Google Scholar] [CrossRef]
- Shimojo, M.; Shibata, K. Physical parameters of solar X-ray jets. Astrophys. J. 2000, 542, 1100. [Google Scholar] [CrossRef]
- Bučík, R.; Innes, D.E.; Mason, G.M.; Wiedenbeck, M.E.; Gómez-Herrero, R.; Nitta, N.V. 3He-rich solar energetic particles in helical jets on the Sun. Astrophys. J. 2018, 852, 76. [Google Scholar] [CrossRef]
- Bučík, R.; Wiedenbeck, M.E.; Mason, G.M.; Gómez-Herrero, R.; Nitta, N.V.; Wang, L. 3He-rich solar energetic particles from sunspot jets. Astrophys. J. Lett. 2018, 869, L21. [Google Scholar] [CrossRef]
- Bučík, R.; Mulay, S.M.; Mason, G.M.; Nitta, N.V.; Desai, M.I.; Dayeh, M.A. Temperature in solar sources of 3He-rich solar energetic particles and relation to ion abundances. Astrophys. J. 2021, 908, 243. [Google Scholar] [CrossRef]
- Wang, Y.-M.; Pick, M.; Mason, G.M. Coronal holes, jets, and the origin of 3He-rich particle events. Astrophys. J. 2006, 639, 495. [Google Scholar] [CrossRef]
- Archontis, V.; Hood, A.W. A numerical model of standard to blowout jets. Astrophys. J. Lett. 2013, 769, L21, Erratum in Astrophys. J. Lett. 2013, 770, L41. [Google Scholar] [CrossRef]
- Lee, E.J.; Archontis, V.; Hood, A.W. Plasma jets and eruptions in solar coronal holes: A three-dimensional flux emergence experiment. Astrophys. J. Lett. 2015, 798, L10. [Google Scholar] [CrossRef]
- Pariat, E.; Dalmasse, K.; DeVore, C.R.; Antiochos, S.K.; Karpen, J.T. Model for straight and helical solar jets. I. Parametric studies of the magnetic field geometry. Astron. Astrophys. 2015, 573, A130. [Google Scholar] [CrossRef]
- Murphy, R.J.; Ramaty, R.; Kozlovsky, B.; Reames, D.V. Solar abundances from gamma-ray spectroscopy: Comparisons with energetic particle, photospheric, and coronal abundances. Astrophys. J. 1991, 371, 793. [Google Scholar] [CrossRef]
- Mandzhavidze, N.; Ramaty, R.; Kozlovsky, B. Determination of the abundances of subcoronal 4He and of solar flare-accelerated 3He and 4He from gamma-ray spectroscopy. Astrophys. J. 1999, 518, 918. [Google Scholar] [CrossRef]
- Murphy, R.J.; Kozlovsky, B.; Share, G.H. Evidence for enhanced 3He in flare-accelerated particles based on new calculations of the gamma-ray line spectrum. Astrophys. J. 2016, 833, 166. [Google Scholar] [CrossRef]
- Reames, D.V.; Cliver, E.W.; Kahler, S.W. Variations in abundance enhancements in impulsive solar energetic-particle events and related CMEs and flares. Sol. Phys. 2014, 289, 4675. [Google Scholar] [CrossRef]
- Reames, D.V. Hydrogen and the abundances of elements in impulsive solar energetic-particle events. Sol. Phys. 2019, 294, 37. [Google Scholar] [CrossRef]
- Reames, D.V. Hydrogen and the abundances of elements in gradual solar energetic-particle events. Sol. Phys. 2019, 294, 69. [Google Scholar] [CrossRef]
- Reames, D.V.; Cliver, E.W.; Kahler, S.W. Temperature of the source plasma for impulsive solar energetic particles. Sol. Phys. 2015, 290, 1761. [Google Scholar] [CrossRef]
- Reames, D.V. Helium suppression in impulsive solar energetic-particle events. Sol. Phys. 2019, 294, 32. [Google Scholar] [CrossRef]
- Reames, D.V. Excess H, suppressed He, and the abundances of elements in solar energetic particles. Sol. Phys. 2019, 294, 141. [Google Scholar] [CrossRef]
- Reames, D.V. Solar energetic particles: Spatial extent and implications of the H and He abundances. Space Sci. Rev. 2022, 218, 48. [Google Scholar] [CrossRef]
- Laming, J.M. Non-WKB models of the first ionization potential effect: Implications for solar coronal heating and the coronal helium and neon abundances. Astrophys. J. 2009, 695, 954. [Google Scholar] [CrossRef]
- Bai, T.; Ramaty, R. Gamma-ray and microwave evidence for two phases of acceleration in solar flares. Sol. Phys. 1976, 49, 343. [Google Scholar] [CrossRef]
- Wang, M.; Chen, B.; Yu, S.; Gary, D.E.; Lee, J.; Wang, H.; Cohen, C. The solar origin of an in situ type III radio burst event. Astrophys. J. 2023, 954, 32. [Google Scholar] [CrossRef]
- Nitta, N.V.; Bučík, R.; Mason, G.M.; Ho, G.C.; Cohen, C.M.S.; Gómez-Herrero, R.; Wang, L.; Balmaceda, L.A. Solar activities associated with 3He-rich solar energetic particle events observed by Solar Orbiter. Front. Astron. Space Sci. 2023, 10, 50. [Google Scholar] [CrossRef]
- von Rosenvinge, T.T.; Barbier, L.M.; Karsch, J.; Liberman, R.; Madden, M.P.; Nolan, T.; Reames, D.V.; Ryan, L.; Singh, S.; Trexel, H. The energetic particles: Acceleration, composition, and transport (EPACT) investigation on the Wind spacecraft. Space Sci. Rev. 1995, 71, 152. [Google Scholar] [CrossRef]







Disclaimer/Publisher’s Note: The statements, opinions and data contained in all publications are solely those of the individual author(s) and contributor(s) and not of MDPI and/or the editor(s). MDPI and/or the editor(s) disclaim responsibility for any injury to people or property resulting from any ideas, methods, instructions or products referred to in the content. |
© 2023 by the author. Licensee MDPI, Basel, Switzerland. This article is an open access article distributed under the terms and conditions of the Creative Commons Attribution (CC BY) license (https://creativecommons.org/licenses/by/4.0/).
Share and Cite
Reames, D.V. Element Abundances in Impulsive Solar Energetic-Particle Events. Universe 2023, 9, 466. https://doi.org/10.3390/universe9110466
Reames DV. Element Abundances in Impulsive Solar Energetic-Particle Events. Universe. 2023; 9(11):466. https://doi.org/10.3390/universe9110466
Chicago/Turabian StyleReames, Donald V. 2023. "Element Abundances in Impulsive Solar Energetic-Particle Events" Universe 9, no. 11: 466. https://doi.org/10.3390/universe9110466
APA StyleReames, D. V. (2023). Element Abundances in Impulsive Solar Energetic-Particle Events. Universe, 9(11), 466. https://doi.org/10.3390/universe9110466

