One-Point Statistics Matter in Extended Cosmologies
Abstract
:1. Introduction
2. Methods
2.1. The Matter PDF in Spheres from Large Deviation Theory
- (i)
- The time- and scale-dependence of the linear variance .
- (ii)
- The non-linear variance of the log-density .
- (iii)
- The mapping between linear and final densities in spheres, which is taken to be spherical collapse (or its inverse .
2.2. Extended Cosmologies
2.3. Simulations and Model Validation
3. Results
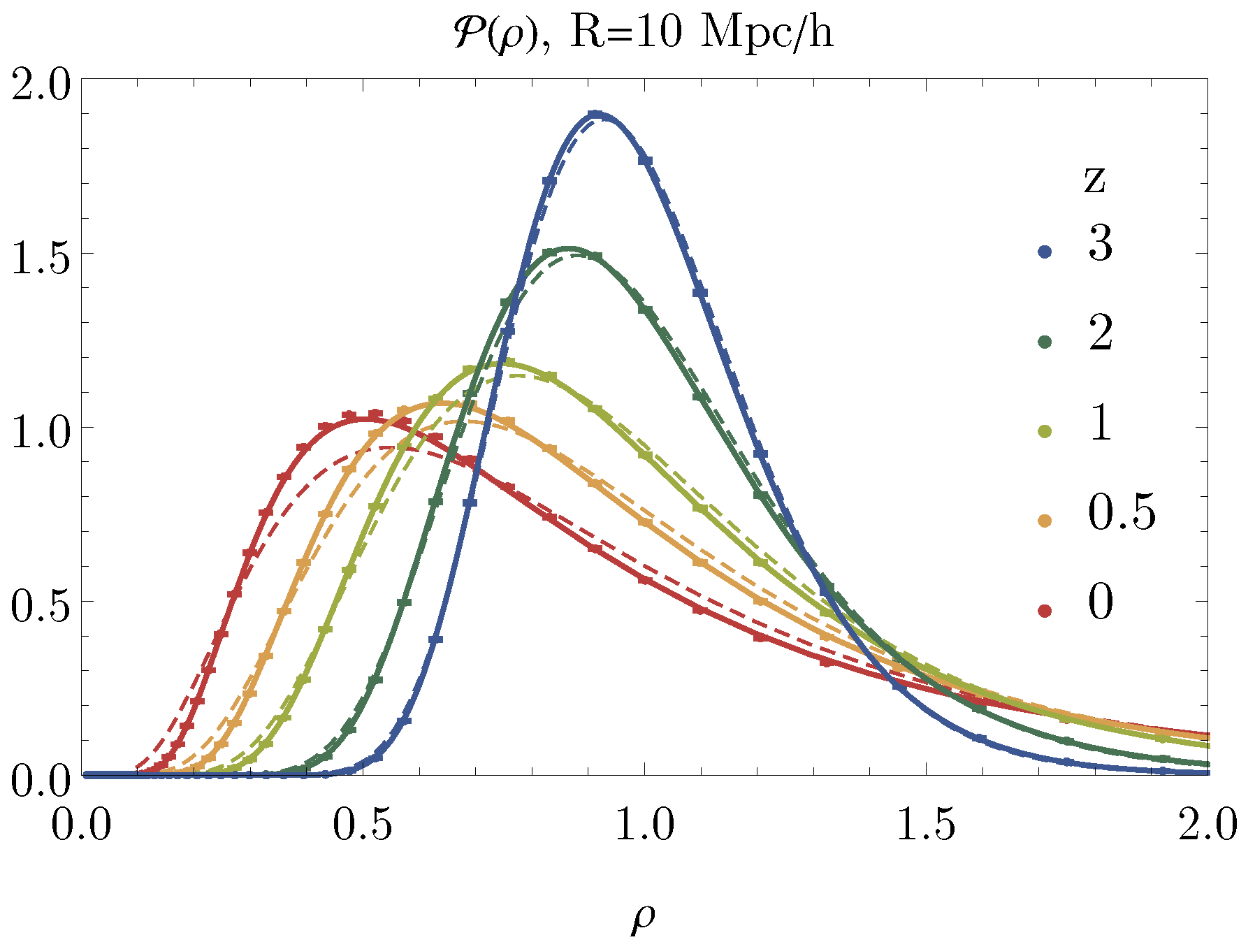
3.1. Matter PDFs in Extended Cosmologies
3.2. Forecasting Constraining Power with the Fisher Formalism
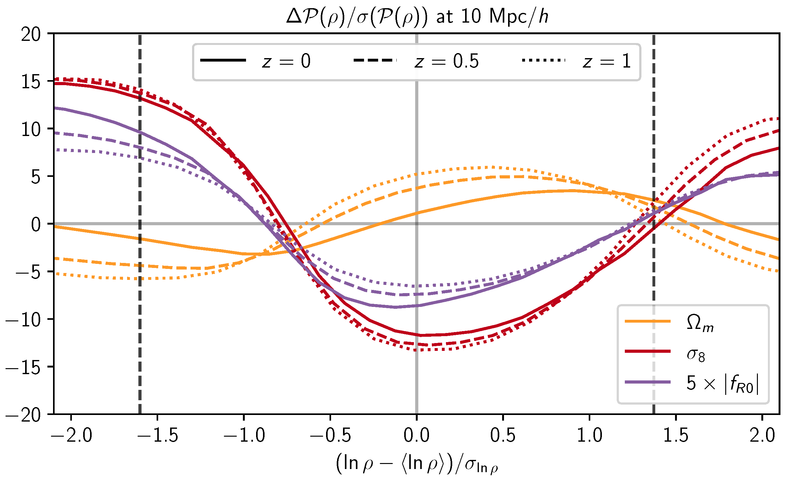
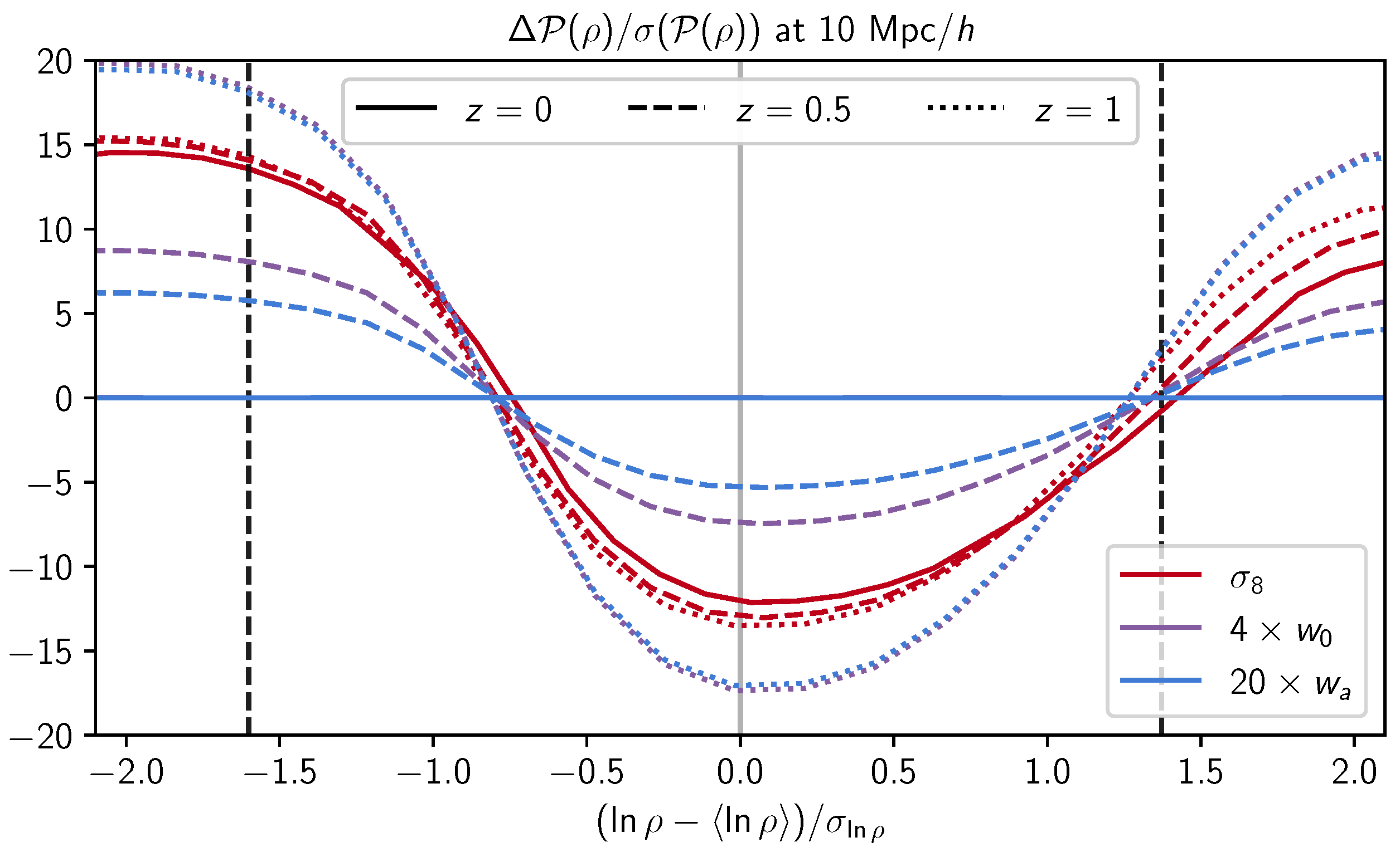
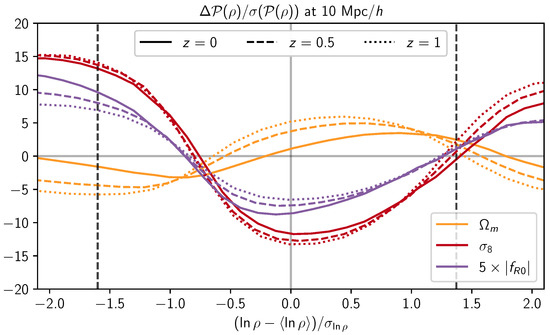
3.3. Response of the PDF to Changes in Cosmological Parameters
3.4. Fisher Forecasts for Modified Gravity Detection and Dark Energy Constraints
4. Conclusions
Author Contributions
Funding
Data Availability Statement
Acknowledgments
Conflicts of Interest
Abbreviations
| CDM | Lambda Cold Dark Matter (model of cosmology) |
| CMB | Cosmic Microwave Background |
| DE | Dark Energy |
| DGP | Dvali-Gabadadze-Porrati (model of gravity) |
| FoM | (Dark Energy) Figure of Merit |
| GR | General Relativity |
| LDT | Large Deviations Theory |
| LSS | Large-Scale Structure (of the universe) |
| MG | Modified Gravity |
| Probability Distribution Function |
References
- Planck Collaboration; Aghanim, N.; Akrami, Y.; Ashdown, M.; Aumont, J.; Baccigalupi, C.; Ballardini, M.; Banday, A.J.; Barreiro, R.B.; Bartolo, N.; et al. Planck 2018 results. VI. Cosmological parameters. Astron. Astrophys. 2020, 641, A6. [Google Scholar] [CrossRef] [Green Version]
- Carrasco, J.J.M.; Hertzberg, M.P.; Senatore, L. The effective field theory of cosmological large scale structures. J. High Energy Phys. 2012, 2012, 82. [Google Scholar] [CrossRef] [Green Version]
- Laureijs, R.; Amiaux, J.; Arduini, S.; Auguères, J.L.; Brinchmann, J.; Cole, R.; Cropper, M.; Dabin, C.; Duvet, L.; Ealet, A.; et al. Euclid Definition Study Report. arXiv 2011, arXiv:1110.3193. [Google Scholar]
- Ivezić, Ž.; Kahn, S.M.; Tyson, J.A.; Abel, B.; Acosta, E.; Allsman, R.; Alonso, D.; AlSayyad, Y.; Anderson, S.F.; Andrew, J.; et al. LSST: From Science Drivers to Reference Design and Anticipated Data Products. Astrophys. J. 2019, 873, 111. [Google Scholar] [CrossRef]
- Levi, M.; Bebek, C.; Beers, T.; Blum, R.; Cahn, R.; Eisenstein, D.; Flaugher, B.; Honscheid, K.; Kron, R.; Lahav, O.; et al. The DESI Experiment, a whitepaper for Snowmass 2013. arXiv 2013, arXiv:1308.0847. [Google Scholar]
- Douspis, M.; Salvati, L.; Aghanim, N. On the tension between Large Scale Structures and Cosmic Microwave Background. arXiv 2019, arXiv:1901.05289. [Google Scholar]
- Di Valentino, E.; Anchordoqui, L.A.; Akarsu, Ö.; Ali-Haimoud, Y.; Amendola, L.; Arendse, N.; Asgari, M.; Ballardini, M.; Basilakos, S.; Battistelli, E.; et al. Cosmology Intertwined III: Fσ8 and S8. Astropart. Phys. 2021, 131, 102604. [Google Scholar] [CrossRef]
- Perivolaropoulos, L.; Skara, F. Challenges for ΛCDM: An update. arXiv 2021, arXiv:2105.05208. [Google Scholar]
- Planck Collaboration; Akrami, Y.; Arroja, F.; Ashdown, M.; Aumont, J.; Baccigalupi, C.; Ballardini, M.; Banday, A.J.; Barreiro, R.B.; Bartolo, N.; et al. Planck 2018 results. IX. Constraints on primordial non-Gaussianity. Astron. Astrophys. 2020, 641, A9. [Google Scholar] [CrossRef]
- Bernardeau, F. The nonlinear evolution of rare events. Astrophys. J. 1994, 427, 51–71. [Google Scholar] [CrossRef]
- Valageas, P. Dynamics of gravitational clustering. II. Steepest-descent method for the quasi-linear regime. Astron. Astrophys. 2002, 382, 412–430. [Google Scholar] [CrossRef] [Green Version]
- Bernardeau, F.; Pichon, C.; Codis, S. Statistics of cosmic density profiles from perturbation theory. Phys. Rev. D 2014, 90, 103519. [Google Scholar] [CrossRef] [Green Version]
- Bernardeau, F.; Reimberg, P. Large deviation principle at play in large scale structure cosmology. Phys. Rev. D 2016, 94, 063520. [Google Scholar] [CrossRef] [Green Version]
- Uhlemann, C.; Codis, S.; Pichon, C.; Bernardeau, F.; Reimberg, P. Back in the saddle: Large-deviation statistics of the cosmic log-density field. Mon. Not. R. Astron. Soc. 2016, 460, 1529–1541. [Google Scholar] [CrossRef] [Green Version]
- Cataneo, M.; Uhlemann, C.; Arnold, C.; Gough, A.; Li, B.; Heymans, C. The matter density PDF for modified gravity and dark energy with Large Deviations Theory. arXiv 2021, arXiv:2109.02636. [Google Scholar]
- Villaescusa-Navarro, F.; Hahn, C.; Massara, E.; Banerjee, A.; Delgado, A.M.; Ramanah, D.K.; Charnock, T.; Giusarma, E.; Li, Y.; Allys, E.; et al. The Quijote Simulations. Astrophys. J. Suppl. Ser. 2020, 250, 2. [Google Scholar] [CrossRef]
- Chevallier, M.; Polarski, D. Accelerating Universes with Scaling Dark Matter. Int. J. Mod. Phys. D 2001, 10, 213–223. [Google Scholar] [CrossRef] [Green Version]
- Linder, E.V. Exploring the Expansion History of the Universe. Phys. Rev. Lett. 2003, 90, 091301. [Google Scholar] [CrossRef] [Green Version]
- Hu, W.; Sawicki, I. Models of f(R) cosmic acceleration that evade solar system tests. Phys. Rev. D 2007, 76, 064004. [Google Scholar] [CrossRef] [Green Version]
- Schmidt, F. Cosmological simulations of normal-branch braneworld gravity. Phys. Rev. D 2009, 80, 123003. [Google Scholar] [CrossRef] [Green Version]
- Cataneo, M.; Lombriser, L.; Heymans, C.; Mead, A.J.; Barreira, A.; Bose, S.; Li, B. On the road to percent accuracy: Non-linear reaction of the matter power spectrum to dark energy and modified gravity. Mon. Not. R. Astron. Soc. 2019, 488, 2121–2142. [Google Scholar] [CrossRef]
- Uhlemann, C.; Friedrich, O.; Villaescusa-Navarro, F.; Banerjee, A.; Codis, S. Fisher for complements: Extracting cosmology and neutrino mass from the counts-in-cells PDF. Mon. Not. R. Astron. Soc. 2020, 495, 4006–4027. [Google Scholar] [CrossRef]
- Planck Collaboration; Blanchard, A.; Camera, S.; Carbone, C.; Cardone, V.F.; Casas, S.; Clesse, S.; Ilić, S.; Kilbinger, M.; Kitching, T.; et al. Euclid preparation. VII. Forecast validation for Euclid cosmological probes. Astron. Astrophys. 2020, 642, A191. [Google Scholar] [CrossRef]
- Friedrich, O.; Uhlemann, C.; Villaescusa-Navarro, F.; Baldauf, T.; Manera, M.; Nishimichi, T. Primordial non-Gaussianity without tails-how to measure fNL with the bulk of the density PDF. Mon. Not. R. Astron. Soc. 2020, 498, 464–483. [Google Scholar] [CrossRef]
- Barthelemy, A.; Codis, S.; Uhlemann, C.; Bernardeau, F.; Gavazzi, R. A nulling strategy for modelling lensing convergence in cones with large deviation theory. Mon. Not. R. Astron. Soc. 2020, 492, 3420–3439. [Google Scholar] [CrossRef]
- Boyle, A.; Uhlemann, C.; Friedrich, O.; Barthelemy, A.; Codis, S.; Bernardeau, F.; Giocoli, C.; Baldi, M. Nuw CDM cosmology from the weak lensing convergence PDF. arXiv 2020, arXiv:2012.07771. [Google Scholar] [CrossRef]
- Thiele, L.; Hill, J.C.; Smith, K.M. Accurate analytic model for the weak lensing convergence one-point probability distribution function and its autocovariance. Phys. Rev. D 2020, 102, 123545. [Google Scholar] [CrossRef]
- Repp, A.; Szapudi, I. Galaxy bias and σ8 from counts in cells from the SDSS main sample. Mon. Not. R. Astron. Soc. Lett. 2020, 498, L125–L129. [Google Scholar] [CrossRef]
- Friedrich, O.; Halder, A.; Boyle, A.; Uhlemann, C.; Britt, D.; Codis, S.; Gruen, D.; Hahn, C. The PDF perspective on the tracer-matter connection: Lagrangian bias and non-Poissonian shot noise. arXiv 2021, arXiv:2107.02300. [Google Scholar] [CrossRef]
- Gruen, D.; Friedrich, O.; Krause, E.; DeRose, J.; Cawthon, R.; Davis, C.; Elvin-Poole, J.; Rykoff, E.S.; Wechsler, R.H.; Alarcon, A.; et al. Density split statistics: Cosmological constraints from counts and lensing in cells in DES Y1 and SDSS data. Phys. Rev. D 2018, 98, 023507. [Google Scholar] [CrossRef] [Green Version]
- Friedrich, O.; Gruen, D.; DeRose, J.; Kirk, D.; Krause, E.; McClintock, T.; Rykoff, E.; Seitz, S.; Wechsler, R.; Bernstein, G.; et al. Density split statistics: Joint model of counts and lensing in cells. Phys. Rev. D 2018, 98. [Google Scholar] [CrossRef] [Green Version]
- Hunter, J.D. Matplotlib: A 2D graphics environment. Comput. Sci. Eng. 2007, 9, 90–95. [Google Scholar] [CrossRef]
- Hinton, S. ChainConsumer. J. Open Source Softw. 2016, 1, 45. [Google Scholar] [CrossRef]
- Harris, C.R.; Millman, K.J.; van der Walt, S.J.; Gommers, R.; Virtanen, P.; Cournapeau, D.; Wieser, E.; Taylor, J.; Berg, S.; Smith, N.J.; et al. Array programming with NumPy. Nature 2020, 585, 357–362. [Google Scholar] [CrossRef] [PubMed]
- Virtanen, P.; Gommers, R.; Oliphant, T.E.; Haberland, M.; Reddy, T.; Cournapeau, D.; Burovski, E.; Peterson, P.; Weckesser, W.; Bright, J.; et al. SciPy 1.0: Fundamental Algorithms for Scientific Computing in Python. Nat. Methods 2020, 17, 261–272. [Google Scholar] [CrossRef] [PubMed] [Green Version]






| Detection | DGP Detection | |
|---|---|---|
| PDF, 3 scales + prior | ||
| , + prior | ||
| PDF + + prior |
| FoM | ||||
|---|---|---|---|---|
| PDF, 3 scales + prior | 0.18% | 0.37 | 1.25 | 27 |
| Mpc + prior | 0.45% | 0.24 | 1.03 | 50 |
| PDF + + prior | 0.17% | 0.09 | 0.40 | 243 |
Publisher’s Note: MDPI stays neutral with regard to jurisdictional claims in published maps and institutional affiliations. |
© 2022 by the authors. Licensee MDPI, Basel, Switzerland. This article is an open access article distributed under the terms and conditions of the Creative Commons Attribution (CC BY) license (https://creativecommons.org/licenses/by/4.0/).
Share and Cite
Gough, A.; Uhlemann, C. One-Point Statistics Matter in Extended Cosmologies. Universe 2022, 8, 55. https://doi.org/10.3390/universe8010055
Gough A, Uhlemann C. One-Point Statistics Matter in Extended Cosmologies. Universe. 2022; 8(1):55. https://doi.org/10.3390/universe8010055
Chicago/Turabian StyleGough, Alex, and Cora Uhlemann. 2022. "One-Point Statistics Matter in Extended Cosmologies" Universe 8, no. 1: 55. https://doi.org/10.3390/universe8010055
APA StyleGough, A., & Uhlemann, C. (2022). One-Point Statistics Matter in Extended Cosmologies. Universe, 8(1), 55. https://doi.org/10.3390/universe8010055

