Aspects of Relativistic Heavy-Ion Collisions
Abstract
1. Introduction
2. Fast Thermalization of Gluons and Quarks—An Analytic Nonlinear Model
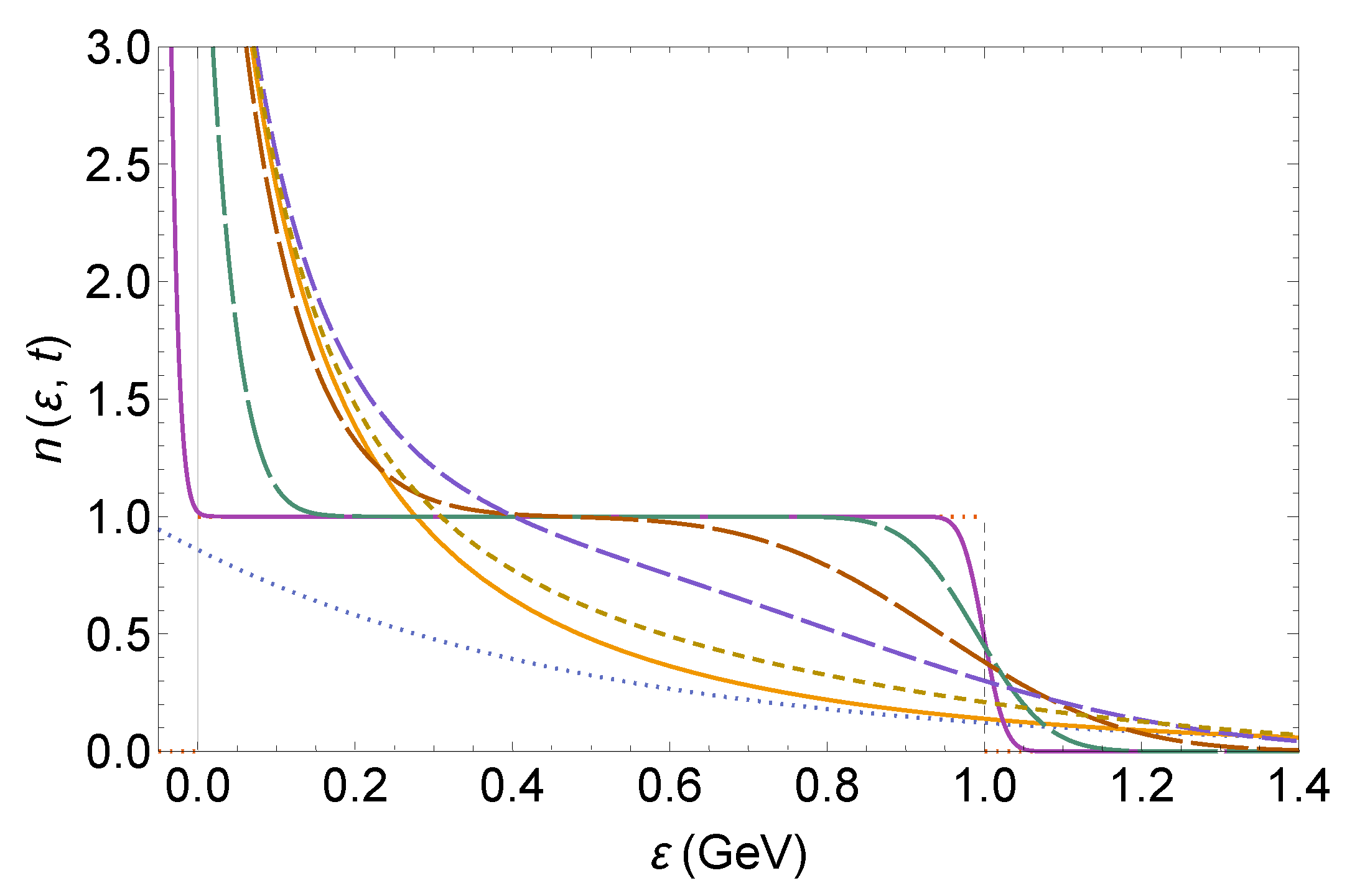
2.1. Thermalization of Gluons
2.2. Discussion of the Solutions for Gluons
2.3. Discussion of the Solutions for Quarks
3. Stopping: Net-Proton Distributions
4. Charged-Hadron Production
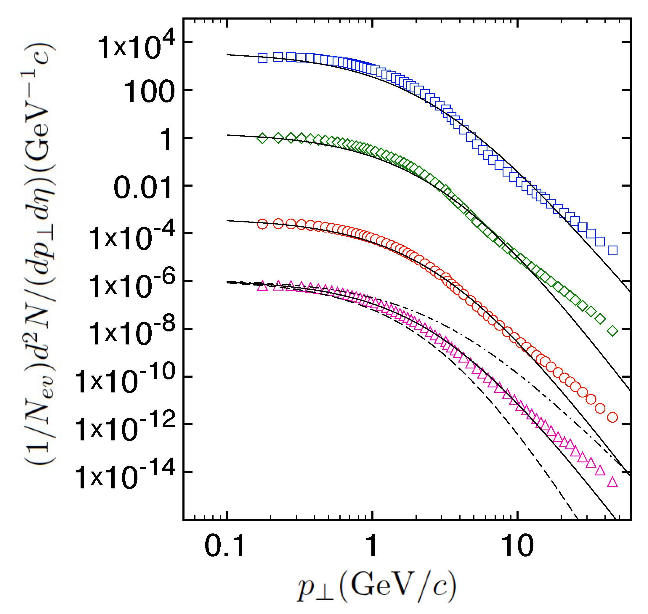
4.1. Transverse-Momentum Distributions
4.2. Pseudorapidity Distributions
4.3. Limiting Fragmentation at RHIC and LHC Energies
5. Quarkonia and the QGP
5.1. Suppression in Pb-Pb at LHC Energies
5.2. Modification in p-Pb at TeV
6. Conclusions
Funding
Acknowledgments
Conflicts of Interest
References
- Heinz, U.; Snellings, R. Collective flow and viscosity in relativistic heavy-ion collisions. Annu. Rev. Nucl. Part. Sci. 2013, 63, 123. [Google Scholar] [CrossRef]
- Florkowski, W.; Maksymiuk, E.; Ryblewski, R. Coupled kinetic equations for fermions and bosons in the relaxation-time approximation. Phys. Rev. C 2018, 97, 024915. [Google Scholar] [CrossRef]
- Hoelck, J.; Nendzig, F.; Wolschin, G. In-medium Υ suppression and feed-down in UU and PbPb collisions. Phys. Rev. C 2017, 95, 024905. [Google Scholar] [CrossRef]
- Wolschin, G. Equilibration in finite Bose systems. Phys. A 2018, 499, 1. [Google Scholar] [CrossRef]
- Heller, M.P.; Kurkela, A.; Spaliński, M.; Svensson, V. Hydrodynamization in kinetic theory: Transient modes and the gradient expansion. Phys. Rev. D 2018, 97, 091503(R). [Google Scholar] [CrossRef]
- Romatschke, P. Do nuclear collisions create a locally equilibrated quark-gluon plasma? Eur. Phys. J. C 2017, 77, 21. [Google Scholar] [CrossRef]
- Son, D.T.; Starinets, A.O. Viscosity, black holes, and quantum field theory. Annu. Rev. Nucl. Part. Sci. 2007, 57, 95. [Google Scholar] [CrossRef]
- Maldacena, J.M. The Large N Limit of Superconformal Field Theories and Supergravity. Adv. Theor. Math. Phys. 1998, 2, 231. [Google Scholar] [CrossRef]
- Blaizot, J.P.; Gelis, F.; Liao, J.; McLerran, L.; Venugopalan, R. Bose–Einstein Condensation and Thermalization of the Quark Gluon Plasma. Nucl. Phys. A 2012, 873, 68. [Google Scholar] [CrossRef]
- Blaizot, J.P.; Liao, J.; Mehtar-Tani, Y. The thermalization of soft modes in non-expanding isotropic quark gluon plasmas. Nucl. Phys. A 2017, 961, 37. [Google Scholar] [CrossRef]
- Xu, Z.; Zhou, K.; Zhuang, P.; Greiner, C. Thermalization of Gluons with Bose-Einstein Condensation. Phys. Rev. Lett. 2015, 114, 182301. [Google Scholar] [CrossRef] [PubMed]
- Bartsch, T.; Wolschin, G. Equilibration in fermionic systems. Ann. Phys. 2019, 400, 21. [Google Scholar] [CrossRef]
- Mehtar-Tani, Y.; Wolschin, G. Baryon Stopping as a new Probe of Geometric Scaling. Phys. Rev. Lett. 2009, 102, 182301. [Google Scholar] [CrossRef]
- Mehtar-Tani, Y.; Wolschin, G. Baryon stopping and saturation physics in relativistic collisions. Phys. Rev. C 2009, 80, 054905. [Google Scholar] [CrossRef]
- Wolschin, G. Particle production sources at LHC energies. J. Phys. G Nucl. Part. Phys. 2013, 40, 45104. [Google Scholar] [CrossRef]
- Wolschin, G. Beyond the thermal model in relativistic heavy-ion collisions. Phys. Rev. C 2016, 94, 024911. [Google Scholar] [CrossRef]
- Bearden, I.G.; et al. [BRAHMS Collaboration]. Pseudorapidity distributions of charged particles from Au+Au collisions at the maximum RHIC energy. Phys. Rev. Lett. 2002, 88, 202301. [Google Scholar] [CrossRef]
- Back, B.B.; et al. [PHOBOS Collaboration]. The Significance of the fragmentation region in ultrarelativistic heavy ion collisions. Phys. Rev. Lett. 2003, 91, 052303. [Google Scholar] [CrossRef]
- Adams, J.; et al. [STAR Collaboration]. Multiplicity and pseudorapidity distributions of charged particles and photons at forward pseudorapidity in Au + Au collisions at = 62.4 GeV. Phys. Rev. C 2006, 73, 034906. [Google Scholar] [CrossRef]
- Bjorken, J.D. Energy Loss of Energetic Partons in Quark-Gluon Plasma: Possible Extinction of High pT Jets in Hadron-Hadron Collisions; Fermilab: Batavia, IL, USA, 1982; Fermilab-Pub-82/59-THY. [Google Scholar]
- Adams, J.; et al. [STAR Collaboration]. Evidence from d+Au Measurements for Final-State Suppression of High-pT Hadrons in Au+Au Collisions at RHIC. Phys. Rev. Lett. 2004, 91, 072304. [Google Scholar] [CrossRef]
- Chatrchyan, S.; et al. [CMS Collaboration]. Observation and studies of jet quenching in PbPb collisions at = 2.76 TeV. Phys. Rev. Lett. 2011, 84, 024906. [Google Scholar]
- Matsui, T.; Satz, H. J/ψ Suppression by Quark-Gluon Plasma Formation. Phys. Lett. B 1986, 178, 416. [Google Scholar] [CrossRef]
- Laine, M.; Philipsen, O.; Tassler, M.; Romatschke, P. Real-time static potential in hot QCD. J. High Energy Phys. 2007, 2007, 54. [Google Scholar] [CrossRef]
- Brezinski, F.; Wolschin, G. Gluodissociation and screening of Υ states in PbPb collisions at = 2.76 TeV. Phys. Lett. B 2012, 707, 534–538. [Google Scholar] [CrossRef]
- Wolschin, G. Local thermalization of gluons in a nonlinear model. Nonlin. Phenom. Complex Syst. 2020, 23, 72. [Google Scholar]
- Rasch, N.; Wolschin, G. Solving a nonlinear analytical model for bosonic equilibration. Phys. Open 2020, 2, 100013. [Google Scholar] [CrossRef]
- Wolschin, G. Time-dependent entropy of a cooling Bose gas. Europhys. Lett. 2020, 129, 40006. [Google Scholar] [CrossRef]
- Mueller, A.H. The Boltzmann equation for gluons at early times after a heavy ion collision. Phys. Lett. B 2000, 475, 220. [Google Scholar] [CrossRef]
- McLerran, L.; Venugopalan, R. Green’s functions in the color field of a large nucleus. Phys. Rev. D 1994, 50, 2225. [Google Scholar] [CrossRef]
- Semikoz, D.V.; Tkachev, I.I. Kinetics of Bose Condensation. Phys. Rev. Lett. 1995, 74, 3093. [Google Scholar] [CrossRef]
- Wolschin, G. Local equilibration of fermions and bosons. Results Phys. 2019, 13, 102197. [Google Scholar] [CrossRef]
- Kellers, B.; Wolschin, G. Limiting fragmentation at LHC energies. Prog. Theor. Exp. Phys. 2019, 2019, 053D03. [Google Scholar] [CrossRef]
- Hoelck, J.; Wolschin, G. Baryon Stopping as a Relativistic Markov Process in Phase Space. 2020; in preparation. [Google Scholar]
- Appelshäuser, H.; et al. [NA49 Collaboration]. Baryon Stopping and Charged Particle Distributions in Central Pb+Pb Collisions at 158 GeV per Nucleon. Phys. Rev. Lett. 1999, 82, 2471. [Google Scholar] [CrossRef]
- Mehtar-Tani, Y.; Wolschin, G. Stopping in central Pb+Pb collisions at SPS energies and beyond. Europhys. Lett. 2011, 94, 62003. [Google Scholar] [CrossRef][Green Version]
- Wolschin, G. Ultraviolet energy dependence of particle production sources in relativistic heavy-ion collisions. Phys. Rev. C 2015, 91, 014905. [Google Scholar] [CrossRef]
- Wolschin, G. Relativistic diffusion model. Eur. Phys. J. A 1999, 5, 85. [Google Scholar] [CrossRef]
- Zhang, B.W.; Wang, E.; Liu, F. Quark Matter 2019-the XXVIIIth International Conference on Ultra-relativistic Nucleus-Nucleus Collisions. Nucl. Phys. A 2020, in press. [Google Scholar]
- Jüttner, F. Das Maxwellsche Gesetz der Geschwindigkeitsverteilung in der Relativitätstheorie. Annalen Phys. 1911, 339, 856. [Google Scholar] [CrossRef]
- Wong, C.Y.; Wilk, G. Tsallis fits to pT spectra and multiple hard scattering in pp collisions at the LHC. Phys. Rev. D 2013, 87, 114007. [Google Scholar] [CrossRef]
- Hagedorn, R. Multiplicities, pT distributions and the expected hadron → quark-gluon phase transition. Riv. Nuovo Cimento 1983, 6, 1. [Google Scholar] [CrossRef]
- Acharya, S.; et al. [ALICE Collaboration]. Transverse momentum spectra and nuclear modification factors of charged particles in pp, p-Pb and Pb-Pb collisions at the LHC. J. High Energy Phys. 2018, 2018, 013. [Google Scholar] [CrossRef]
- Abelev, B.; et al. [ALICE Collaboration]. Centrality dependence of charged particle production at large transverse momentum in Pb-Pb collisions at = 2.76 TeV. Phys. Lett. B 2013, 720, 52. [Google Scholar] [CrossRef]
- Röhrscheid, D.; Wolschin, G. Centrality dependence of charged-hadron pseudorapidity distributions in PbPb collisions at LHC energies in the RDM. Phys. Rev. C 2012, 86, 024902. [Google Scholar] [CrossRef]
- Adam, J.; et al. [ALICE Collaboration]. Centrality dependence of the pseudorapidity density distribution for charged particles in Pb-Pb collisions at = 5.02 TeV. Phys. Lett. B 2017, 772, 567. [Google Scholar] [CrossRef]
- Biyajima, M.; Ide, M.; Mizoguchi, T.; Suzuki, N. Scaling behavior of (Nch)−1dNch/dη at = 130 GeV by PHOBOS collaboration and its implication: A Possible explanation by the Ornstein-Uhlenbeck process. Prog. Theor. Phys. 2002, 108, 559. [Google Scholar] [CrossRef][Green Version]
- Uhlenbeck, G.E.; Ornstein, L.S. On the Theory of the Brownian Motion. Phys. Rev. 1930, 36, 823. [Google Scholar] [CrossRef]
- Denisov, S.I.; Horsthemke, W.; Hänggi, P. Generalized Fokker-Planck equation: Derivation and exact solutions. Eur. Phys. J. B 2009, 68, 567. [Google Scholar] [CrossRef]
- Dunkel, J.; Hänggi, P.; Weber, S. Time parameters and Lorentz transformations of relativistic stochastic processes. Phys. Rev. E 2009, 79, 010101(R). [Google Scholar] [CrossRef]
- Lavagno, A. Anomalous diffusion in nonequilibrium relativistic heavy ion rapidity spectra. Phys. A 2002, 305, 238. [Google Scholar] [CrossRef]
- Simon, A.; Wolschin, G. Examining nonextensive statistics in relativistic heavy-ion collisions. Phys. Rev. C 2018, 97, 044913. [Google Scholar] [CrossRef]
- Forndran, F.; Wolschin, G. Relativistic diffusion model with nonlinear drift. Eur. Phys. J. A 2017, 53, 37. [Google Scholar] [CrossRef]
- Alver, B.; et al. [PHOBOS Collaboration]. Phobos results on charged particle multiplicity and pseudorapidity distributions in Au+Au, Cu+Cu, d+Au, and p+p collisions at ultra-relativistic energies. Phys. Rev. C 2011, 83, 024913. [Google Scholar] [CrossRef]
- Prino, F.; et al. [NA50 Collaboration]. Charged particle multiplicity in Pb-Pb collisions from the NA50 experiment. J. Phys. Conf. Ser. 2005, 5, 008. [Google Scholar]
- Abbas, E.; et al. [ALICE Collaboration]. Centrality dependence of the pseudorapidity density distribution for charged particles in Pb-Pb collisions at = 2.76 TeV. Phys. Lett. B 2013, 726, 610. [Google Scholar] [CrossRef]
- Adam, J.; et al. [ALICE Collaboration]. Centrality Dependence of the Charged-Particle Multiplicity Density at Midrapidity in Pb-Pb Collisions at = 5.02 TeV. Phys. Rev. Lett. 2016, 116, 222302. [Google Scholar] [CrossRef]
- Cheung, M.F.; Chiu, C.B. Gluon-gluon elastic scattering amplitude in classical color field of colliding protons. arXiv 2011, arXiv:1111.6945. [Google Scholar]
- Froissart, M. Asymptotic behavior and subtractions in the Mandelstam representation. Phys. Rev. 1961, 123, 1053. [Google Scholar] [CrossRef]
- Trainor, T.A.; Prindle, D.J. Charge-multiplicity dependence of single-particle transverse-rapidity yt and pseudorapidity η densities and 2D angular correlations from 200 GeV p-p collisions. Phys. Rev. D 2016, 93, 014031. [Google Scholar] [CrossRef]
- Busza, W. Trends in multiparticle production and some ’predictions’ for pp and PbPb collisions at LHC. J. Phys. G Nucl. Part. Phys. 2008, 35, 044040. [Google Scholar] [CrossRef][Green Version]
- Aamodt, K.; et al. [ALICE Collaboration]. Centrality dependence of the charged-particle multiplicity density at mid-rapidity in Pb-Pb collisions at = 2.76 TeV. Phys. Rev. Lett. 2011, 106, 032301. [Google Scholar] [CrossRef]
- Wolschin, G.; Biyajima, M.; Mizoguchi, T.; Suzuki, N. Local thermalization in the d + Au system. Phys. Lett. B 2006, 633, 38–42. [Google Scholar] [CrossRef][Green Version]
- Schulz, P.; Wolschin, G. Diffusion-model analysis of pPb and PbPb collisions at LHC energies. Mod. Phys. Lett. A 2018, 17, 1850098. [Google Scholar] [CrossRef]
- Alner, G.J.; et al. [UA5 Collaboration]. Scaling of Pseudorapidity Distributions at c.m. Energies Up to 0.9 TeV. Z. Physik C 1986, 33, 1. [Google Scholar]
- Benecke, J.; Chou, T.T.; Yang, C.N.; Yen, E. Hypothesis of Limiting Fragmentation in High-Energy Collisions. Phys. Rev. 1969, 188, 2159. [Google Scholar] [CrossRef]
- Lin, Z.W.; Ko, C.M.; Li, B.A.; Zhang, B.; Pal, S. A Multi-phase transport model for relativistic heavy ion collisions. Phys. Rev. C 2005, 72, 064901. [Google Scholar] [CrossRef]
- Nendzig, F.; Wolschin, G. Bottomium suppression in PbPb collisions at LHC energies. J. Phys. G Nucl. Part. Phys. 2014, 41, 095003. [Google Scholar] [CrossRef][Green Version]
- Song, T.; Ko, C.M.; Xu, J. Quarkonium formation time in relativistic heavy-ion collisions. Phys. Rev. C 2015, 91, 044909. [Google Scholar] [CrossRef]
- Chatrchyan, S.; et al. [CMS Collaboration]. Observation of Sequential Upsilon Suppression in PbPb Collisions. Phys. Rev. Lett. 2012, 109, 222301. [Google Scholar] [CrossRef]
- Abelev, B.; et al. [ALICE Collaboration]. Suppression of Υ(1S) at forward rapidity in Pb-Pb collisions at = 2.76 TeV. Phys. Lett. B 2014, 738, 361. [Google Scholar] [CrossRef]
- Adamczyk, L.; et al. [STAR Collaboration]. Suppression of Υ production in d+Au and Au+Au collisions at = 200 GeV. Phys. Lett. B 2014, 735, 127. [Google Scholar] [CrossRef]
- Andronic, A.; Arleo, F.; Arnaldi, R.; Beraudo, A.; Bruna, E.; Caffarri, D.; Conesa del Valle, Z.; Contreras, J.G.; Dahms, T.; Dainese, A.; et al. Heavy-flavour and quarkonium production in the LHC era: From proton-proton to heavy-ion collisions. Eur. Phys. J. C 2016, 76, 107. [Google Scholar] [CrossRef] [PubMed]
- Sirunyan, A.M.; et al. [CMS Collaboration]. Measurement of nuclear modification factors of Υ(1S), Υ(2S), and Υ(3S) mesons in PbPb collisions at = 5.02 TeV. Phys. Lett. B 2019, 790, 270. [Google Scholar] [CrossRef]
- Emerick, A.; Zhao, X.; Rapp, R. Bottomonia in the Quark-Gluon Plasma and their Production at RHIC and LHC. Eur. Phys. J. 2012, 48, 72. [Google Scholar] [CrossRef]
- Strickland, M.; Bazow, D. Thermal Bottomonium Suppression at RHIC and LHC. Nucl. Phys. A 2012, 879, 25–58. [Google Scholar] [CrossRef]
- Liu, Y.; Chen, B.; Xu, N.; Zhuang, P. Υ Production as a Probe for Early State Dynamics in High Energy Nuclear Collisions at RHIC. Phys. Lett. B 2011, 697, 32. [Google Scholar] [CrossRef]
- Song, T.; Han, K.C.; Ko, C.M. Bottomonia suppression in heavy-ion collisions. Phys. Rev. C 2012, 85, 014902. [Google Scholar] [CrossRef]
- Nendzig, F.; Wolschin, G. Υ suppression in PbPb collisions at energies available at the CERN Large Hadron Collider. Phys. Rev. C 2013, 87, 024911. [Google Scholar] [CrossRef]
- Aaij, R.; et al. [LHCb Collaboration]. Measurement of the fraction of Υ(1S) originating from χb(1P) decays in pp collisions at = 7 TeV. J. High Energy Phys. 2012, 2012, 031. [Google Scholar] [CrossRef]
- Manca, G.; et al. [LHCb Collaboration] Private Communication, 2018. In Proceedings of the Hard Probes 2018: International Conference on Hard and Electromagnetic Probes of High-Energy Nuclear Collisions, Savoie, France, 30 September–5 October 2018. [Google Scholar]
- Khachatryan, V.; et al. [CMS Collaboration]. Suppression of Υ(1S),Υ(2S), and Υ(3S) quarkonium states in PbPb collisions at = 2.76 TeV. Phys. Lett. B 2017, 770, 357. [Google Scholar] [CrossRef]
- Dinh, V.H.; Hoelck, J.; Wolschin, G. Hot-medium effects on Υ yields in pPb collisions at = 8.16 TeV. Phys. Rev. C 2019, 100, 024906. [Google Scholar] [CrossRef]
- Acharya, S.; et al. [ALICE Collaboration]. Υ suppression at forward rapidity in Pb-Pb collisions at = 5.02 TeV. Phys. Lett. B 2019, 790, 89. [Google Scholar] [CrossRef]
- Hoelck, J.; Wolschin, G. Electromagnetic field effects on Υ-meson dissociation in PbPb collisions at LHC energies. Eur. Phys. J. A 2017, 53, 241. [Google Scholar] [CrossRef]
- Acharya, S.; et al. [ALICE Collaboration]. Measurement of Υ(1S) elliptic flow at forward rapidity in Pb-Pb collisions at = 5.02 TeV. Phys. Rev. Lett. 2019, 123, 192301. [Google Scholar] [CrossRef] [PubMed]
- Reygers, K.; Schmah, A.; Berdnikova, A.; Sun, X. Blast-wave description of Upsilon elliptic flow at LHC. arXiv 2019, arXiv:1910.14618v1. [Google Scholar]
- Wang, X.N.; Yuan, F. Azimuthal asymmetry of J/ψ suppression in non-central heavy-ion collisions. Phys. Lett. B 2002, 540, 62. [Google Scholar] [CrossRef]
- Bhaduri, P.P.; Borghini, N.; Jaiswal, A.; Strickland, M. Anisotropic escape mechanism and elliptic flow of bottomonia. Phys. Rev. C 2019, 100, 051901(R). [Google Scholar] [CrossRef]
- Aaij, R.; et al. [LHCb Collaboration]. Study of Υ production in pPb collisions at = 8.16 TeV. J. High Energy Phys. 2018, 2018, 194. [Google Scholar] [CrossRef]
- Albacete, J.L.; Arleo, F.; Barnaföldi, G.G.; Biró, G.; d’Enterria, D.; Ducloué, B.; Eskola, K.J.; Ferreiro, E.G.; Gyulassy, M.; Harangozó, S.M.; et al. Predictions for Cold Nuclear Matter Effects in p+Pb Collisions at = 8.16 TeV. Nucl. Phys. A 2018, 972, 18. [Google Scholar] [CrossRef]
- Eskola, K.J.; Paakkinen, P.; Paukkunen, H.; Salgado, C.A. EPPS16: Nuclear parton distributions with LHC data. Eur. Phys. J. C 2017, 77, 163. [Google Scholar] [CrossRef]
- Scomparin, E.; et al. [ALICE Collaboration]. Inclusive Υ production in p-Pb collisions at = 8.16 TeV. Available online: http://cds.cern.ch/record/2317189?ln=sv (accessed on 29 April 2020).
- Acharya, S.; et al. [ALICE Collaboration]. Inclusive Υ production in p-Pb collisions at = 8.16 TeV. Phys. Lett. B 2019. submitted. [Google Scholar] [CrossRef]
- Ferreiro, E.G.; Lansberg, J.P. Is bottomonium suppression in proton-nucleus and nucleus-nucleus collisions at LHC energies due to the same effects? J. High Energy Phys. 2018, 2018, 094. [Google Scholar] [CrossRef]
- Lin, Z.; Ko, C.M. Υ absorption in hadronic matter. Phys. Lett. B 2001, 503, 104. [Google Scholar] [CrossRef][Green Version]



















© 2020 by the author. Licensee MDPI, Basel, Switzerland. This article is an open access article distributed under the terms and conditions of the Creative Commons Attribution (CC BY) license (http://creativecommons.org/licenses/by/4.0/).
Share and Cite
Wolschin, G. Aspects of Relativistic Heavy-Ion Collisions. Universe 2020, 6, 61. https://doi.org/10.3390/universe6050061
Wolschin G. Aspects of Relativistic Heavy-Ion Collisions. Universe. 2020; 6(5):61. https://doi.org/10.3390/universe6050061
Chicago/Turabian StyleWolschin, Georg. 2020. "Aspects of Relativistic Heavy-Ion Collisions" Universe 6, no. 5: 61. https://doi.org/10.3390/universe6050061
APA StyleWolschin, G. (2020). Aspects of Relativistic Heavy-Ion Collisions. Universe, 6(5), 61. https://doi.org/10.3390/universe6050061

