Abstract
A gravitational field model based on two symmetric tensors, and , is studied, using a Markov Chain Monte Carlo (MCMC) analysis with the most updated catalog of SN-Ia. In this model, new matter fields are added to the original matter fields, motivated by an additional symmetry ( symmetry). We call them matter fields. This theory predicts an accelerating Universe without the need to introduce a cosmological constant by hand in the equations. We obtained a very good fit to the SN-Ia Data, and with this, we found the two free parameters of the theory called C and . With these values, we have fixed all the degrees of freedom in the model. The last local value measurement is in tension with the CMB Data from Planck. Based on an absolute magnitude for the SN, Delta Gravity finds to be km/(s Mpc). This value is in concordance with the last measurement of the local value, km/(s Mpc).
1. Introduction
General relativity (GR) is valid on scales larger than a millimeter to the solar-system scale [1,2]. Nevertheless, the theory is non-renormalizable, which prevents its unification with the other forces of nature. Trying to quantize GR is the main physical motivation of string theories [3,4]. Moreover, recent discoveries in cosmology [5,6,7,8] have revealed that most part of matter is in the form of unknown matter, dark matter (DM), and that the dynamics of the expansion of the Universe is governed by a mysterious component that accelerates the expansion, Dark Energy (DE). Although GR can accommodate both DM and DE, the interpretation of the dark sector in terms of fundamental theories of elementary particles is problematic.
Although some candidates exist that could play the role of DM, none have been detected yet. Also, an alternative explanation based on the modification of the dynamics for small accelerations cannot be ruled out [9,10]. On the other side, DE can be explained if a small cosmological constant () is present. In early times after the Big Bang, this constant is irrelevant, but at the later stages of the evolution of the Universe will dominate the expansion, explaining the acceleration. Such small is very difficult to generate in Quantum Field Theory (QFT) models, because is the vacuum energy, which is usually very large [11].
One of the most important mysteries in cosmology and cosmic structure formation is to understand the nature of Dark Energy in the context of a fundamental physical theory [12,13]. In recent years there has been various proposals to explain the observed acceleration of the Universe. They involve the inclusion of some additional fields in approaches such as quintessence, chameleon, vector DE, or massive gravity; The addition of higher order terms in the Einstein-Hilbert action, such as theories and Gauss-Bonnet terms and finally the introduction of extra dimensions for a modification of gravity on large scales (See [14]).
Other interesting possibilities are the search for non-trivial ultraviolet fixed points in gravity (asymptotic safety [15]) and the notion of induced gravity [16,17,18,19]. The first possibility uses exact renormalization-group techniques [20,21] together with lattice and numerical techniques such as Lorentzian triangulation analysis [22]. Induced gravity proposes that gravitation is a residual force produced by other interactions.
Recently, in [23,24] a field theory model explores the emergence of geometry by the spontaneous symmetry breaking of a larger symmetry where the metric is absent. Previous work in this direction can be found in [25,26].
In a previous work [27], we studied a model of gravitation that is very similar to classical GR, but could make sense at the quantum level. In the construction, we consider two different points. The first is that GR is finite on shell at one loop [28], so renormalization is not necessary at this level. The second is a type of gauge theories, Gauge Theories (Delta Gauge Theories), presented in [29,30], which main properties are: (a) New kind of fields are created, , from the originals . (b) The classical equations of motion of are satisfied in the full quantum theory. (c) The model lives at one loop. (d) The action is obtained through the extension of the original gauge symmetry of the model, introducing an extra symmetry that we call symmetry, since it is formally obtained as the variation of the original symmetry. When we apply this prescription to GR we obtain Delta Gravity. Quantization of Delta Gravity is discussed in [31].
Here, we study the classical effects of Delta Gravity at the cosmological level. For this, we assume that the Universe is composed by non-relativistic matter (DM, baryonic matter) and radiation (photons, massless particles), which satisfy a fluid-like equation . Matter dynamics is not considered, except by demanding that the energy-momentum tensor of the matter fluid is covariantly conserved. This is required to respect the symmetries of the model. In contrast to [32], where an approximation is discussed, in this work we find the exact solution of the equations corresponding to the above suppositions. This solution is used to fit the SN-Ia Data and we obtain an accelerated expansion of the Universe in the model without DE.
It was noticed in [30] that the Hamiltonian of delta models is not bounded from below. Phantoms cosmological models [33,34] also have this property. Although it is not clear whether this problem will subsist or not in a diffeomorphism-invariant model as Delta Gravity. Phantom fields are used to explain the expansion of the Universe. Then, even if it could be said that our model works on similar grounds, the accelerated expansion of the Universe is really produced by a constant (it is a integration constant that comes from the Delta Field Equations), not by a phantom field.
It should be remarked that Delta Gravity is not a metric model of gravity because massive particles do not move on geodesics. Only massless particles move on null geodesics of a linear combination of both tensor fields.
2. Definition of Delta Gravity
In this section, we define the action as well as the symmetries of the model and derive the equations of motion.
These modified theories consist in the application of a variation represented by . As a variation, it will have all the properties of a usual variation such as:
where is another variation. The particular point with this variation is that, when we apply it on a field (function, tensor, etc.), it will give new elements that we define as fields, which is an entirely new independent object from the original, . We use the convention that a tilde tensor is equal to the transformation of the original tensor when all its indexes are covariant.
First, we need to apply the prescription to a general action. The extension of the new symmetry is given by:
where is the original action, and S is the extended action in Delta Gauge Theories.
GR is based on Einstein-Hilbert action, then,
where is the Lagrangian of the matter fields , . Then, the Delta Gravity action is given by,
where we have used the definition of the new symmetry: and the metric convention of [5]1.
Here:
and are the matter fields. Then, the equations of motion are:
with:
where denotes that and are in a totally symmetric combination. An important fact to notice is that our equations are of second order in derivatives which is needed to preserve causality. We can show that . The action (4) is invariant under (9) and (10) (extended general coordinate transformations), given by:
This means that two conservation rules are satisfied. They are:
It is easy to see that (12) is .
3. Particle Motion in the Gravitational Field
We are aware of the presence of the gravitational field through its effects on test particles. For this reason, here we discuss the coupling of a test particle to a background gravitational field, such that the action of the particle is invariant under (9) and (10).
In Delta Gravity we postulate the following action for a test particle:
Notice that is invariant under (9) and t-parametrizations.
Since far from the sources, we must have free particles in Minkowski space, i.e., , it follows that we are describing the motion of a particle of mass m. Moreover, all massive particles fall with the same acceleration.
To include massless particles, we prefer to use the action [36]:
This action is invariant under reparametrizations:
The equation of motion for v is:
Let us consider first the massive case. Using (15) we can fix the gauge . Introducing , we get the action:
plus the constraint obtained from the equation of motion for v:
From the equation of motion for massive particles is derived. We define: .
The motion of massive particles is discussed in [37].
The action for massless particles is:
In the gauge , we get:
plus the equation of motion for v evaluated at : . Therefore, the massless particle moves in a null geodesic of .
4. Distances and Time Intervals
In this section, we define the measurement of time and distances in the model.
In GR the geodesic equation preserves the proper time of the particle along the trajectory. Equation (19) satisfies the same property: Along the trajectory is constant. Therefore we define proper time using the original metric ,
Following [38], we consider the motion of light rays along infinitesimally near trajectories and (22) to get the three dimensional metric:
That is, we measure proper time using the metric but the space geometry is determined by both metrics. In this model massive particles do not move on geodesics of a four-dimensional metric. Only massless particles move on a null geodesic of . Therefore, Delta Gravity is not a metric theory.
5. and for a Perfect Fluid
The Energy-Stress Tensors for a Perfect Fluid in Delta Gravity are [27] (assuming c is the speed of light equal to 1):
where . p is the pressure, is the density and is the four-velocity. For more details you can see [27].
6. Friedman-Lemaître-Robertson-Walker (FLRW) Metric
In this section, we discuss the equations of motion for the Universe described by the FLRW metric. We use spatial curvature equal to zero to agree with cosmological observations.
In the harmonic coordinate system, it is [27]:
Please note that is an arbitrary function that remains after imposing homogeneity and isotropy of the space as well as the extended harmonic gauge . It is determined by solving the differential equations in (8).
7. Delta Gravity Friedmann Equations
The equations of state for matter and radiation are:
Then, from Equation (7) we obtain:
where is the age of the Universe (at the current time). It is important to highlight that t is the cosmic time, is the standard scale factor at the current time, , where and are the density energies normalized by the critical density at the current time, defined as the same as the Standard Cosmology. Furthermore, we have imposed that Universe must be flat (), so we require that .
Using the Second Continuity Equation (12),where is a new Energy-Momentum Tensor, two new densities called (Delta Matter Density) and (Delta Radiation Density) associated with this new tensor are defined. When we solve this equation, we find
Using the Second Field Equation (8) with the solutions (39) and (40) we found (and redefining with respect to Y):
Thus, if we know the C and values, it is possible to know the Delta Densities and .
Relation between the Effective Scale Factor and the Scale Factor Y
The Effective Metric for the Universe is given by (28). From this expression, it is possible to define the Effective Scale Factor as follows:
Defining that , we have that . Furthermore, we define the Effective Scale Factor (normalized):
Please note that the denominator in Equation (45) is equal to zero when . Also remember that . Furthermore, we have imposed that and , then must be greater than 0 [27]. Then the valid range for is approximately .
C must be positive, and (hopefully) is a very small value because the radiation is clearly not dominant in comparison with matter. Then, we can analyze cases close to the standard accepted value: .
8. Useful Equations for Cosmology
Here we present the equations that are useful to fit the SN Data and obtain cosmological parameters that are presented in the Results Section.
8.1. Redshift Dependence
The relation between the cosmological redshift and the scale factor is preserved in Delta Gravity:
It is important to take into account that the current time is given by , where is normalized.
8.2. Luminosity Distance
The proof is the same as GR, because the main idea is based on the light traveling through a null geodesic described by the Effective Metric given by (28) in Delta Gravity [32]. Taking into account that idea, we can obtain the following expression:
Notice that today. To solve at a given redshift z, we need to solve (45) and (46) numerically. Furthermore, the integrand contains that can be expressed in function of Y in (45). Do not confuse c (speed of light) with C, a free parameter to be fitted by SN Data.
The parameter can be obtained from the CMB. The CMB Spectrum can be described by a Black Body Spectrum, where the energy density of photons is given by
From statistical mechanics, we know the neutrinos are related by [39]:
Then,
Equation (48) is a value that only depends on the temperature of the Black Body Spectrum of the CMB. So we can add this value as a known Cosmological Parameter.
Thus, we only need to know the values C and . Take into account that it is impossible to know the value of without any other information.
8.3. Distance Modulus
The distance modulus is the difference between the apparent magnitude m and the absolute magnitude M of an astronomical object. Knowing this we can estimate the distance d to the object, provided that we know the value of the absolute magnitude M.
8.4. Effective Scale Factor
The “size” of the Universe in Delta Gravity is given by , while in GR this is given by . Every cosmological parameter that in the GR theory was built up from the standard scale factor , in Delta Gravity will be built from . This value is equal to 1 at the current time, because it is the normalized by .
8.5. Hubble Parameter
In Delta Gravity we will define the Hubble Parameter as follows:
Therefore, the Hubble Parameter is given by:
Notice that all the Delta Gravity parameters are written as function of Y.
8.6. Deceleration Parameter
In Delta Gravity we will define the deceleration parameter as follows:
Then,
9. Fitting the SN Data
We are interested in the viability of Delta Gravity as a real Alternative Cosmology Theory that could explain the accelerating Universe without , then it is natural to check if this model fits the SN Data.
9.1. SN Data
To analyze this, we used the most updated Type Ia Supernovae Catalog. We obtained the Data from Scolnic [40]. We only needed the distance modulus and the redshift z to the SN-Ia to fit the model using the Luminosity Distance predicted from the theory.
The SN-Ia are very useful in cosmology [6] because they can be used as standard candles and allow to fit the CDM model finding out free parameters such as . We are interested in doing this in Delta Gravity. The main characteristic of the SN-Ia that makes them so useful is that they have a very standardized absolute magnitude close to [41,42,43,44,45].
From the observations we only know the apparent magnitude and the redshift for each SN-Ia. Thus, we have the option to use a standardized absolute magnitude obtained by an independent method that does not involve CDM model, or any other assumptions.
To fit the SN-Ia Data, we will use [45]. The value was calculated using 210 SN-Ia Data from [45]. This value is independent from the model since it was calculated by building the distance ladder starting from local Cepheids measured by parallax and using them to calibrate the distance to Cepheids hosted in near galaxies (by Period-Luminosity relations) that are also SN-Ia host. Riess et al. calculated the and the local value, and they did not use any particular cosmological model. Keep in mind that the value of found by Riess et al. is an intrinsic property of SN-Ia and that is the reason they are used as standard candles.
We used 1048 SN-Ia Data in [40]2. All the SN-Ia are spectroscopically confirmed. In this paper, we have used the full set of SN-Ia presented in [40]. They present a set of spectroscopically confirmed PS1 SN-Ia and combine this sample with spectroscopically confirmed SN-Ia from CfA1-4, CSP, PS1, SDSS, SNLS and HST SN surveys.
At [40] they used the SN Data to try to obtain a better estimation of the DE state equation. They define the distance modulus as follows:
where is the distance modulus, is a distance correction based on the host-galaxy mass of the SN and is a distance correction based on predicted biases from simulations. Furthermore, is the coefficient of the relation between luminosity and stretch, is the coefficient of the relation between luminosity and color and is the absolute B-band magnitude of a fiducial SN-Ia with and [40].
In this work we are not interested in the specific corrections to observational magnitudes of SN-Ia. We only take the values extracted from [40] to analyze the Delta Gravity model. The SN Data are the redshift and with the respective errors.
9.2. Delta Gravity Equations
We need to establish a relation between redshift and the apparent magnitude for the SN-Ia:
where is given by (47) and are the SN-Ia Data given at [40].
In this expression we have as free parameters: C and to be found by fitting the model to the points .
9.3. GR Equations
For GR we use the following expression
where is given by:
and are the SN Data given at [40]. Remember that we are always working on a flat Universe, and in GR standard model the is negligible. We have the same degrees of freedom as Delta Gravity.
Please note that we are including DE as in GR.
9.4. MCMC Method
To fit the SN-Ia Data to GR and Delta Gravity models, we used Markov Chain Monte Carlo (MCMC). This routine was implemented in Python 3.6 using PyMC2.3
Basically, MCMC consists on fitting a model, characterizing its posterior distribution. It is based on Bayesian Statistics. We used the Metropolis-Hastings algorithm.
We used a Bayesian approach because it allows us to know the posterior probability distribution for every parameter of the model [46,47]. Furthermore, it is possible to identify dependencies between the fitted parameters using MCMC, which it is not possible using another method such as the least-square used in [27].
Initially we propose initial distributions for the parameters that we want to fix, and then PyMC2 will give us the posterior probability distribution for these parameters.
We want to find the best fitted parameters for Delta Gravity and GR models. These parameters will be for Delta Gravity and for GR.
10. Results and Analysis
We present the results for Delta Gravity and GR fitted Data, and with these values we obtain different cosmological parameters. We divide the results into two fits: Delta Gravity Fit and GR Fit.
10.1. Fitted Curves
As we see in Figure 1 and Figure 2, both models describe very well the vs. z SN-Ia Data. It is important to note that, while in GR frame is needed to find this well-behaved curve, in Delta Gravity is not needed to fit the SN-Ia Data. Essentially, Delta Gravity predicts the same behavior, but the accelerating Universe appears explained without the need to include , or anything like “Dark Energy”.
Figure 1.
Fitted curve for Delta Gravity model assuming . On the right corner, the residual plot for the fitted Data.
Figure 2.
Fitted curve for GR standard model assuming . On the right corner, the residual plot for the fitted Data.
In Table 1, we present the coefficients of determination () and residual sum of squares (RSS) for both fitted models:
Table 1.
Statistical parameters.
Both coefficients of determination are very good, and the RSS are similar for both cases.
The fitted parameters for GR and Delta Gravity models are shown in Table 2 and Table 3 respectively.
Table 2.
Fitted parameters using MCMC for Delta Gravity.
Table 3.
Fitted parameters using MCMC for GR.
Furthermore, we present the posterior probability density maps for GR and Delta Gravity in Figure 3.
Figure 3.
Posterior probability density plots obtained from MCMC for GR and Delta Gravity models. (a) Posterior probability density maps with for GR. Combination for and . (b) Posterior probability density maps for Delta Gravity. Combination for and C.
Please note that for both plots in Figure 3 the distributions are well defined, and for each parameter we obtain a Gaussian-like distribution. For both models, the combination of parameters constrained a region in the 2D-density plot. The fitted values for both models converged very well.
10.2. Convergence Tests
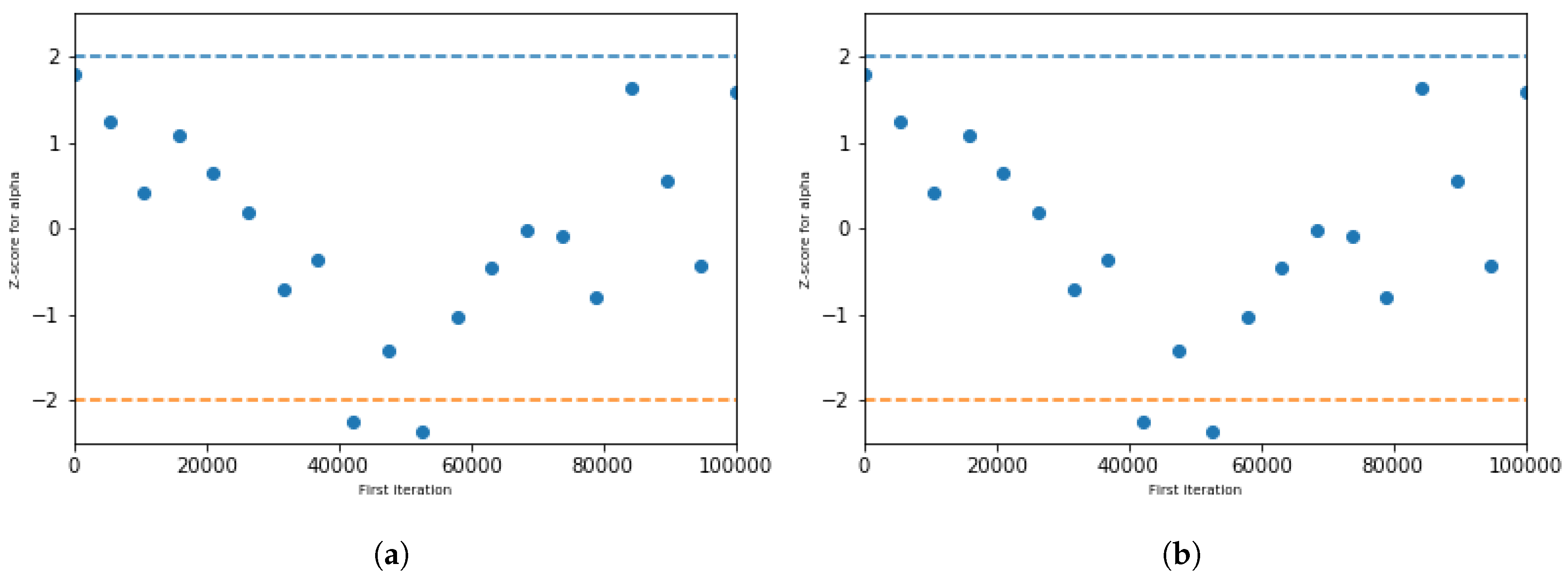
We applied two convergence tests for MCMC analysis. The first is known as Geweke [48]. This is a time-series approach that compares the mean and variance of segments from the beginning and end of a single chain. This method calculates values named z-scores (theoretically distributed as standard normal variates). If the chain has converged, the majority of points should fall within 2 standard deviations of zero4. The plots are shown in Figure 4.
Figure 4.
Convergence of values for GR and Delta Gravity. (a) Evolution of z-scores with steps in GR. (b) Evolution of z-scores with steps in Delta Gravity.
In both plots it is possible to observe that the most part of the z-scores fall within , so the method is convergent for both models based on the Geweke criterion.
Another convergence test is the Gelman-Rubin statistic [49].
The Gelman-Rubin diagnostic uses an analysis of variance approach to assess convergence. This diagnostic uses multiple chains to check for lack of convergence, and is based on the notion that if multiple chains have converged, by definition they should appear very similar to one another; if not, one or more of the chains has failed to converge (see PyMC 2 documentation).
In practice, we look for values of close to one because this is the indicator that shows convergence.
We ran 16 chains for Delta Gravity model. Figure 5 shows the and C predicted values for every chain of the Monte Carlo simulation. Figure 6a,b shows the convergence of and C. All the chains converge to a similar value assuming different priors. These final values predicted for every chain can be visualized in Figure 5. From all these chains, is clear that the Delta Gravity MCMC analysis is convergent for the two free parameters.
Figure 5.
Gelman-Rubin test for Delta Gravity model assuming . The Gelman-Rubin test was run with 16 different chains, all with different and C priors. The coefficient (Gelman-Rubin coefficient) was calculated for each parameter.
Figure 6.
Gelman-Rubin test for Delta Gravity model. There are 16 chains with different priors. (a) All the chains converge to a . (b) All the chains converge to a .
10.3. Cosmic Time and Redshift
By using Equation (31) we obtain the Cosmic Time in Delta Gravity, where the redshift is obtained by numerical solution from Equation (46).
Meanwhile for GR model, we obtained the cosmic time from the integration of the first Friedmann equation and solving . Here we have included and we did () and . The integral for the first Friedmann equation can be analytically solved:
where t in (58) is the cosmic time for GR.
We plot the results in Figure 7:
Figure 7.
Cosmic time for GR and Delta Gravity.
The behavior of cosmic time dependence with redshift for both models is very similar.
10.4. Hubble Parameter and
With the fitted parameters found by MCMC for GR and Delta Gravity, we can find and . Note the superscript for GR as and Delta Gravity as . For GR is easily obtained from the fitted (). can be obtained using the first Friedmann equation
Taking into account that , , and , where for every component in the Universe, we obtain
With (60), we obtain and using (51) we obtain , Figure 8. For the actual time we evaluate at and for Delta Gravity we evaluate at obtaining the Hubble constant and .
Figure 8.
Hubble Parameter for Delta Gravity and GR fitted models assuming .
We present the results for both models and we compare these values with previous measurements in Table 4.
Table 4.
values found by MCMC with SN-Ia Data, assuming . Furthermore, we tabulate Planck [50] and Riess [51] values.
10.5. Age of the Universe
The age of the Universe in Delta Gravity is calculated using (31). only depends on C and not on . In GR we calculate the age of the Universe using (58).
With these expressions, we can compare the behavior between cosmic time and the scale factor in GR (or the effective scale factor in Delta Gravity).
In Figure 9, it is possible to see the evolution for in time. At Gyr, goes to infinity, and the Universe ends with a Big Rip, then, in this model the Universe has an end (in time). Also, we see the dependence between the scale factor a and cosmic time t. The Universe has no end (in time) in GR.
Figure 9.
The size of the Universe vs. age of the Universe. In the Delta Gravity model, the size of the Universe depends on cosmic time t and on C. The blue line indicates the effective scale factor in Delta Gravity. The gray zone shows the error associated with . For GR, the scale factor a depends on cosmic time t and on . The red line indicates the scale factor evolution in GR. The gray zone shows the error associated with a (these are tiny).
10.6. Deceleration Parameter
For Delta Gravity, we used Equation (53). For today, we evaluate for GR, and for Delta Gravity.
In Figure 10, we can see the evolution in time for both GR and Delta Gravity models.
Figure 10.
Deceleration parameter for both models. (a) Evolution of deceleration parameter in GR. (b) Evolution of deceleration parameter in Delta Gravity.
We tabulate the deceleration parameter for both models in Table 5.
Table 5.
values found by MCMC with SN-Ia Data, assuming .
In both models , then the Universe is accelerating.
10.7. Relation with Delta Components
In Delta Gravity we are interested in determining the Delta composition of the Universe. Using Equations (42) and (43), we can obtain the densities for Delta Matter and Delta Radiation with the C and fitted values.
In the expressions (62) and (61), we have obtained the current values for Delta Densities.
The Common Components are dominant compared with Delta components. Matter is always dominant compared with radiation (in both cases). See Figure 11.
Figure 11.
Temporal evolution of density components for Delta Gravity. The vertical axis is normalized by critical density at current time . On the top right corner, there is a zoom in very close to showing the transition between Delta Matter and Delta Radiation (Delta components), and the transition between matter and radiation (common components). In general, the Common Density is higher than the Delta Density.
Please note that the four components diverge (in density) at the beginning of the Universe, and the Delta Components show a “constant-like” behavior for . (Specially Delta Matter that is clearly dominant compared to the Delta Radiation).
In both the Common Components and Delta Components, there is a transition between matter and radiation that is indicated in the zoom in included in Figure 11. These transitions occur at very early stage of the Universe. Both transitions are indicated in Figure 11.
It is important to remember that in Delta Gravity we do not know the , but we know the densities of each component in units of , because they are given by C and fitted values from SN Data.
10.8. Importance of and C
To understand the role that and C are playing in the Delta Gravity model, we need to plot some cosmological parameters in function of both coefficients. We are interested in analyzing the accelerating expansion of the Universe in function of these two parameters, so we plotted in Figure 12 and in Figure 13.
Figure 12.
for a different combination of and C values. The fitted values found by MCMC analysis is indicated in the Figure. (a) C values go from 0 to 6 to explore various Universes, even a Universe wholly dominated by radiation. (b) The C values are bounded to very little values, nearly close to the C fitted value obtained by MCMC.
Figure 13.
for different combination of and C values. The fitted values found by MCMC analysis is indicated in the Figure. (a) C values go from 0 to 6 to explore various Universes, even a Universe wholly dominated by radiation. (b) The C values are bounded to very little values, nearly close to the C fitted value obtained by MCMC.
In Figure 12, we can see there is a big zone prohibited, because the results become complex values at certain level of the equations. The only allowed values are colored. Note that in Figure 12a almost all the allowed values are close to 0. Only the contour of the colored area shows . The Figure 12b is the same as the left one, but with a big zoom in close the fitted values obtained from MCMC analysis. These range of C and are reasonable to make an analysis. Note that has a strong dependence of C and values.
Remember that has only sense between values 0 and 1, because we only want to allow positive Delta Densities and, from Equation (45), the denominator could be equal to 0.
The Figure 13 is very interesting because it shows the dependence of the current value of acceleration of the Universe expressed by the deceleration parameter . If we examine the parameters zone close to the fitted values in the Figure 13b, we can note that the acceleration of the Universe only depends on the value of . This is a very important result from the Delta Gravity model. The accelerating Universe is given by the parameter. This parameter appears naturally like an integration constant from the differential equations when we solved the field equations for Delta Gravity model. Then, in this model, and exploring the closest area to the Universe with a little amount of radiation compared to matter, we found that a higher value, higher the acceleration of the Universe (current age): becomes more negative when independently of C.
11. Free
For completeness, we want to mention that we also did the MCMC analysis for M free in both GR and Delta Gravity.
From the MCMC analysis, we obtain a non-convergent result. In Delta Gravity model, the C and M parameters are dependent, but is independent. This can be visualized in Figure 14.
Figure 14.
MCMC analysis assuming M as a free parameter in Delta Gravity. (a) Posterior probabilities densities. (b) Evolution of values with steps.
The dependence for Delta Gravity parameters can be fitted by a second order polynomial, as shown in Figure 14:
If we use [45], we fix C which agrees with the results of the previous sections.
For GR, we did the same procedure, but in this model the dependence appears between and M. The polynomial is showed in Figure 15 and is given by:
Figure 15.
MCMC analysis assuming M as a free parameter in GR. (a) Posterior probabilities densities. (b) Evolution of values with steps.
Again, if we evaluate Equation (64) at , we obtain the value of previous sections.
12. Conclusions
Here we have studied the cosmological implications for a modified gravity theory, named Delta Gravity. The results from SN-Ia analysis indicate that Delta Gravity explains the accelerating expansion of the Universe without or anything like “Dark Energy”. The acceleration is naturally produced by the Delta Gravity equations.
We assumed that is a suitable value calculated from [45]. We want to emphasize the very important fact that this value was obtained by local measurements and calibrations of SN-Ia, and then, it is independent from any cosmological model. Assuming this, the procedure presented does not use CDM assumptions. We only assume that the calibrations from Cepheids and SN-Ia are correct; therefore, the absolute magnitude for SN-Ia is reasonably correct. In this case, the Universe is accelerating, and this result is stable under any change of the priors for the MCMC analysis. Note that the acceleration is highly determined by the value.
The acceleration in Delta Gravity is given by . also determines that the Universe is made of Delta Matter and Delta Radiation. This can be associated with the new field: . It is not clear if this Delta composition are real particles, or not.
Also, Delta Gravity can predict a high value for (assuming ). This aspect is very important because the current value is in tension [45,51] between SN-Ia analysis and CMB Data. GR also predicts a high value with the same assumptions, but it needs to include to fit the SN-Ia Data. The most important point about this, is that the local measurement of is independent of the model.5 Furthermore, the discrepancy about value could be indicating new physics beyond the Standard Cosmology Model Assumptions, and maybe, one possibility could be the modification of GR.
Another difference between Delta Gravity and GR models, is that Delta Gravity model predicts a Big Rip (as in phantom models [33,34]) that is dominated by the value. This is shown in Figure 9.
The most important difference between Delta Gravity and the Standard cosmological model is the explanation about “Dark Energy” (the relation of with the accelerated expansion of the Universe).
Author Contributions
The theory has been developed by J.A. The methodology to obtain the cosmological parameters and fitting the SN-Ia data was made by M.S.M. The Python code to fit the SN-Ia data and obtain all the plots was made by M.S.M. and J.S. The analysis and writing was done by all the authors.
Funding
The work of M. San Martín has been partially financed by Beca Doctorado Nacional Conicyt; Fondecyt 1150390; CONICYT-PIA-ACT1417.J. Sureda has been partially financed by CONICYT-PIA-ACT1417; Fondecyt 1150390.The work of J. Alfaro is partially supported by Fondecyt 1150390, CONICYT-PIA-ACT1417.
Conflicts of Interest
The authors declare no conflict of interest.
Abbreviations
The following abbreviations are used in this manuscript:
| GR | General Relativity |
| DG | Delta Gravity |
| DM | Dark Matter |
| DE | Dark Energy |
| SN-Ia | Type Ia Supernova |
| CMB | Cosmic Microwave Background Radiation |
| CDM | Cold Dark Matter |
| MCMC | Markov Chain Monte Carlo |
References
- Will, C.M. The Confrontation between General Relativity and Experiment. Living Rev. Relativ. 2006, 9, 3. [Google Scholar] [CrossRef]
- Turyshev, S.G. Experimental Tests of General Relativity. Annu. Rev. Nucl. Part. Sci. 2008, 58, 207–248. [Google Scholar] [CrossRef]
- Green, M.B.; Schwarz, J.H.; Witten, E. Superstring Theory; Cambridge Monographs on Mathematical Physics; Wiley: Hoboken, NJ, USA, 1988; Volume 1. [Google Scholar]
- Polchinski, J. String Theory. Vol. 1: An Introduction to the Bosonic String; Cambridge Monographs on Mathematical Physics; Cambridge University Press: Cambridge, UK, 2007. [Google Scholar]
- Weinberg, S. Cosmology; Oxford University Press: Oxford, UK, 2008. [Google Scholar]
- Riess, A.G.; Filippenko, A.V.; Challis, P.; Clocchiatti, A.; Diercks, A.; Garnavich, P.M.; Gilliland, R.L.; Hogan, C.J.; Jha, S.; Kirshner, R.P.; et al. Observational evidence from supernovae for an accelerating universe and a cosmological constant. Astron. J. 1998, 116, 1009–1038. [Google Scholar] [CrossRef]
- Perlmutter, S.; Aldering, G.; Goldhaber, G.; Knop, R.A.; Nugent, P.; Castro, P.G.; Deustua, S.; Fabbro, S.; Goobar, A.; Groom, D.E.; et al. Measurements of Ω and Λ from 42 High-Redshift Supernovae. Astrophys. J. 1999, 517, 565–586. [Google Scholar] [CrossRef]
- Caldwell, R.R.; Kamionkowski, M. The Physics of Cosmic Acceleration. Annu. Rev. Nucl. Part. Sci. 2009, 59, 397–429. [Google Scholar] [CrossRef]
- Milgrom, M. A modification of the Newtonian dynamics as a possible alternative to the hidden mass hypothesis. Astrophys. J. 1983, 270, 365–370. [Google Scholar] [CrossRef]
- Bekenstein, J.D. Relativistic gravitation theory for the modified Newtonian dynamics paradigm. Phys. Rev. D 2004, 70, 083509. [Google Scholar] [CrossRef]
- Frieman, J.A.; Turner, M.S.; Huterer, D. Dark energy and the accelerating universe. Annu. Rev. Astron. Astrophys. 2008, 46, 385–432. [Google Scholar] [CrossRef]
- Albrecht, A.; Bernstein, G.; Cahn, R.; Freedman, W.L.; Hewitt, J.; Hu, W.; Huth, J.; Kamionkowski, M.; Kolb, E.W.; Knox, L.; et al. Report of the Dark Energy Task Force. arXiv, 2006; arXiv:astro-ph/0609591. [Google Scholar]
- Peacock, J.A.; Schneider, P.; Efstathiou, G.; Ellis, J.R.; Leibundgut, B.; Lilly, S.J.; Mellier, Y. Report by the ESA-ESO Working Group on Fundamental Cosmology. arXiv, 2006; arXiv:astro-ph/0610906. [Google Scholar]
- Tsujikawa, S. Modified Gravity Models of Dark Energy. In Lectures on Cosmology; Springer: Berlin/Heidelberg, Germany, 2010; pp. 99–145. [Google Scholar]
- Weinberg, S. General Relativity: An Einstein Centenary Survey; Hawking, S., Israel, W., Eds.; Cambridge University Press: Cambridge, UK, 1979; Chapter 16; p. 790. [Google Scholar]
- Zeldovich, Y.B. Cosmological Constant and Elementary Particles. JETP Lett. 1967, 6, 316. [Google Scholar] [CrossRef]
- Sakharov, A.D. Vacuum Quantum Fluctuations in Curved Space and the Theory of Gravitation. Sov. Phys. Dokl. 1968, 12, 1040. [Google Scholar]
- Klein, O. Generalization of Einstein’s Principle of Equivalence so as to Embrace the Field Equations of Gravitation. Phys. Scr. 1974, 9, 69. [Google Scholar] [CrossRef]
- Adler, S.L. Einstein gravity as a symmetry-breaking effect in quantum field theory. Rev. Mod. Phys. 1982, 54, 729–766. [Google Scholar] [CrossRef]
- Litim, D.F. Fixed Points of Quantum Gravity. Phys. Rev. Lett. 2004, 92, 201301. [Google Scholar] [CrossRef]
- Reuter, M.; Saueressig, F. Functional Renormalization Group Equations, Asymptotic Safety, and Quantum Einstein Gravity. In Geometric and Topological Methods for Quantum Field Theory; Cambridge University Press: Cambridge, UK, 2010; pp. 288–329. [Google Scholar]
- Ambjørn, J.; Jurkiewicz, J.; Loll, R. Nonperturbative Lorentzian Path Integral for Gravity. Phys. Rev. Lett. 2000, 85, 924–927. [Google Scholar] [CrossRef]
- Alfaro, J.; Espriu, D.; Puigdomènech, D. Spontaneous generation of geometry in four dimensions. Phys. Rev. D 2012, 86, 025015. [Google Scholar] [CrossRef]
- Alfaro, J.; Espriu, D.; Puigdomenech, D. The emergence of geometry: A two-dimensional toy model. Phys. Rev. D 2010, 82, 045018. [Google Scholar] [CrossRef]
- Isham, C.; Salam, A.; Strathdee, J. Nonlinear realizations of space-time symmetries. Scalar and tensor gravity. Ann. Phys. 1971, 62, 98–119. [Google Scholar] [CrossRef]
- Wetterich, C. Gravity from spinors. Phys. Rev. D 2004, 70, 105004. [Google Scholar] [CrossRef]
- Alfaro, J.; González, P. Gravity, matter and the accelerated expansion of the Universe. arXiv, 2017; arXiv:gr-qc/1704.02888. [Google Scholar]
- ’t Hooft, G.; Veltman, M.J.G. One loop divergencies in the theory of gravitation. Ann. Inst. Hemri Poincare Phys. Theor. 1974, A20, 69–94. [Google Scholar]
- Alfaro, J. BV gauge theories. arXiv, 1997; arXiv:hep-th/9702060. [Google Scholar]
- Alfaro, J.; Labrana, P. Semiclassical gauge theories. Phys. Rev. D 2002, 65, 045002. [Google Scholar] [CrossRef]
- Alfaro, J.; González, P.; Avila, R. A finite quantum gravity field theory model. Class. Quantum Gravity 2011, 28, 215020. [Google Scholar] [CrossRef]
- Alfaro, J. Delta-gravity and Dark Energy. Phys. Lett. B 2012, 709, 101–105. [Google Scholar] [CrossRef]
- Caldwell, R.R.; Kamionkowski, M.; Weinberg, N.N. Phantom energy and cosmic doomsday. Phys. Rev. Lett. 2003, 91, 071301. [Google Scholar] [CrossRef] [PubMed]
- Caldwell, R.R. A Phantom menace? Phys. Lett. 2002, B545, 23–29. [Google Scholar] [CrossRef]
- Alfaro, J.; González, P. Cosmology in delta-gravity. Class. Quantum Gravity 2013, 30, 085002. [Google Scholar] [CrossRef]
- Siegel, W. Fields. arXiv, 1999; arXiv:hep-th/9912205. [Google Scholar]
- Alfaro, J.; González, P. Non-Relativistic Gravity: A Description of Dark Matter. arXiv, 2017; arXiv:gr-qc/1711.00361. [Google Scholar]
- Landau, L.D.; Lifshitz, E.M. The Classical Theory of Fields, 4th ed.; Butterworth-Heinemann: Oxford, UK, 1980. [Google Scholar]
- Planck Collaboration. Planck2015 results. Astron. Astrophys. 2016, 594, A13. [Google Scholar]
- Scolnic, D.M.; Jones, D.O.; Rest, A.; Pan, Y.C.; Chornock, R.; Foley, R.J.; Huber, M.E.; Kessler, R.; Narayan, G.; Riess, A.G.; et al. The Complete Light-curve Sample of Spectroscopically Confirmed SNe Ia from Pan-STARRS1 and Cosmological Constraints from the Combined Pantheon Sample. Astrophys. J. 2018, 859, 101. [Google Scholar] [CrossRef]
- Betoule, M.E.; Kessler, R.; Guy, J.; Mosher, J.; Hardin, D.; Biswas, R.; Astier, P.; El-Hage, P.; Konig, M.; Kuhlmann, S.; et al. Improved cosmological constraints from a joint analysis of the SDSS-II and SNLS supernova samples. Astron. Astrophys. 2014, 568, A22. [Google Scholar] [CrossRef]
- Alsabti, A.W.; Murdin, P. Handbook of Supernovae; Springer: Berlin/Heidelberg, Germany, 2017. [Google Scholar]
- Richardson, D.; Jenkins, R.L.; Wright, J.; Maddox, L. Absolute-Magnitude Distributions of Supernovae. Astron. J. 2014, 147, 118. [Google Scholar] [CrossRef]
- Uemura, M.; Kawabata, K.S.; Ikeda, S.; Maeda, K. Variable selection for modeling the absolute magnitude at maximum of Type Ia supernovae. Publ. Astron. Soc. Jpn. 2015, 67, 55. [Google Scholar] [CrossRef]
- Riess, A.G.; Macri, L.M.; Hoffmann, S.L.; Scolnic, D.; Casertano, S.; Filippenko, A.V.; Tucker, B.E.; Reid, M.J.; Jones, D.O.; Silverman, J.M.; et al. A 2.4% Determination of the Local Value of the Hubble Constant. Astrophys. J. 2016, 826, 56. [Google Scholar] [CrossRef]
- Hilbe, J.M.; de Souza, R.S.; Ishida, E.E.O. Bayesian Models for Astrophysical Data; Cambridge University Press: Cambridge, UK, 2017. [Google Scholar]
- Piattella, O.F. Lecture Notes in Cosmology; UNITEXT for Physics; Springer: Cham, Switzerland, 2018. [Google Scholar]
- Geweke, J. Evaluating the Accuracy of Sampling-Based Approaches to the Calculation of Posterior Moments; Staff Report 148; Federal Reserve Bank of Minneapolis: Minneapolis, MN, USA, 1991. [Google Scholar]
- Gelman, A.; Meng, X.; Stern, H. Posterior predictive assessment of model fitness via realized discrepancies. Stat. Sin. 1996, 6, 733–759. [Google Scholar]
- Planck Collaboration. Planck 2018 results. VI. Cosmological parameters. arXiv, 2018; arXiv:astro-ph.CO/1807.06209. [Google Scholar]
- Riess, A.G.; Casertano, S.; Yuan, W.; Macri, L.; Anderson, J.; MacKenty, J.W.; Bowers, J.B.; Clubb, K.I.; Filippenko, A.V.; Jones, D.O.; et al. New Parallaxes of Galactic Cepheids from Spatially Scanning the Hubble Space Telescope: Implications for the Hubble Constant. Astrophys. J. 2018, 855, 136. [Google Scholar] [CrossRef]
- Odderskov, I.; Hannestad, S.; Haugbølle, T. On the local variation of the Hubble constant. J. Cosmol. Astropart. Phys. 2014, 2014, 028. [Google Scholar] [CrossRef]
| 1 | In [35] can be found more about the formalism of the Delta Gravity action and the new symmetry . |
| 2 | Scolnic’s Data are available at https://archive.stsci.edu/hlsps/ps1cosmo/scolnic/. |
| 3 | |
| 4 | |
| 5 | “The direct measurement is very model independent, but prone to systematics related to local flows and the standard candle assumption. On the other hand, the indirect method is very robust and precise, but relies completely on the underlying model to be correct. Any disagreement between the two types of measurements could in principle point to a problem with the underlying CDM model.” [52]. |
© 2019 by the authors. Licensee MDPI, Basel, Switzerland. This article is an open access article distributed under the terms and conditions of the Creative Commons Attribution (CC BY) license (http://creativecommons.org/licenses/by/4.0/).














