Abstract
Recently, a group directed by A. J. Krasznahorkay observed an anomaly in the emission of electron–positron pairs in three different nuclear reactions, namely, the H(p,ee)He, Li(p,ee)Be, and B(p,ee)C processes. Kinematics indicate that this anomaly might be due to the de-excitation of He, Be, and C nuclei with the emission of a boson with a mass of about 17 MeV, rapidly decaying into ee pairs. The result of the experiments performed with the singletron accelerator of ATOMKI is reviewed, and the consequences of the so-called X17 boson in particle physics and in cosmology are discussed. Forthcoming experiments designed to shed light on the possible existence of the X17 boson are also reported.
1. Introduction
Three significant anomalies have recently been observed in the electron–positron pairs emitted in the H(p,ee)He, Li(p,ee)Be, and B(p,ee)C reactions [1,2,3]. These anomalies consist in an excess of ee pairs at a large relative angle. As shown in Figure 1, the excess ee pairs have been interpreted as the signature of a new particle with a mass of about 17 MeV (hereinafter ), called X17 boson.
Figure 1.
Graphical representation of the Li(p,ee)Be process: the creation of the massive X17 boson decaying into an ee pair is deduced by the excess of ee pairs at a large relative angle. The main background is due to the internal pair conversion (IPC) of virtual photons.
If confirmed, the existence of this new particle would be of extraordinary importance in particle physics and in cosmology. In fact, the X17 boson could be a mediator of a fifth force, characterized by a strong coupling suppression of protons compared with neutrons (protophobic force). Moreover, it could explain existing tensions in the standard model, such as the long-standing (recent) anomaly on the muon (electron) magnetic moment [4,5]. From a cosmological point of view, X17 could be a “portal” between the ordinary matter and the dark sector.
2. The ATOMKI Experiments
Figure 2 shows the setup used to study the H(p,ee)He reaction (to study the other two reactions, very similar apparatuses were used). It consists of a tritium target adsorbed on a thin Ti backing. The target is bombarded with a proton beam with an intensity of about 1 A and an energy of 0.5 ≲ E(MeV) ≲ 1. The vacuum along the beam line is ensured by a 1 mm thick carbon tube, in correspondence with the target. The detection of the electron–positron pairs is performed with 6 telescopes mounted in a plane orthogonal to the beam line. Each telescope consists of a double-sided silicon strip detector (3 mm wide strips, 0.5 mm thick), coupled with a plastic scintillator ( cm) with a standard energy resolution of about 5% at 20 MeV. The use of a thin backing for the target and of a thin carbon fiber tube limits the spread of the aperture angle of ee pairs due to the multiple scattering. The silicon strips provide the impact point of crossing particles, while the scintillators are used to measure the electron and positron energies. This detector does not provide the tracking and the particle identification, and its acceptance is limited to particles emitted at around 90 with respect to the beam axis.
Figure 2.
Sketch of the experimental setup used at ATOMKI to study the H(p,ee)He reaction.
The main background for the electron–positron pairs produced by the X17 decay is due to the internal pair conversion (IPC) of virtual photons (see Figure 1). The IPC rate is a factor 10 lower with respect to the rate of real ’s, and it smoothly decreases with the electron–positron aperture angle . Figure 3 shows the rate of ee pairs as a function of their aperture angle for the Li(p,ee)Be reaction at a proton energy E = 1.10 MeV. The counting excess at ≃ 140 is clearly visible and corresponds with a boson with a mass M17 MeV. The plot also shows the expected rate in which the decay of a boson is added to those of IPC pairs for different boson masses (see [1] for more details). Figure 4 shows the angle distributions for the H(p,ee)He reaction at E = 0.51, 0.61, 0.9 MeV. Additionally, in this case, the excess of events at large is visible for all the three energies. Remarkably, the excess moves towards smaller angles, increasing the energy, in good agreement with the de-excitation of He to the ground state with the production of a particle with a mass of 17 MeV [2]. Finally, Figure 5 shows the distributions relative to the B(p,ee)C process at E = 1.5, 1.7, 1.88, and 2.1 MeV. Additionally, for this process, there is an excess compatible with the creation of a particle with a mass of 17 MeV for all the beam energies [3]. In summary, all the three experiments provide an excess of several standard deviations in the distribution. The observed anomalies are all compatible with the creation of a particle with a mass M≃ 17 MeV. The branching ratio compared with the -decay is B∼ 10, while the lifetime of the boson with the observed coupling strength is expected to be of the order of = 10–10s. The corresponding flight distance is about 0.03–3 mm, corresponding with a very narrow resonance ( ≲ 0.07 eV).
Figure 3.
Angular correlations for the ee pairs measured in the Li(p,ee)Be, H(p,ee)He, and B(p,ee)C reactions. The experimental data show a clear excess of ee at a large relative angle. Also shown are the expected angular distribution of ee pairs based on standard physics (dotted lines) and the data fit assuming M≃ 17 MeV [1].
Figure 4.
Angular correlations for the ee pairs measured in the H(p,ee)He reaction at three different energies. The excess at a large relative angle is very visible and in good agreement with the production of a boson with a mass M≃ 17 MeV. See [2] for more details.
Figure 5.
Angular correlations for the ee pairs measured in the B(p,ee)C reaction at three different energies. Additionally, in this case, data are consistent with the production of a boson with a mass M≃ 17 MeV. See [3] for more details.
Although the kinematics of ATOMKI experiments are quite convincing, the properties of the X17 boson are not clear enough. As an example, for E = 0.8 MeV, no excess has been observed in the Li(p,ee)Be reaction [1]. This circumstance is debated; in particular, it is unclear whether the absence of an excess is due to some X17 property or indicates that the anomaly seen at E = 1.10 MeV is due to some systematics [6]. On the other hand, the existence of the X17 boson is still not confirmed or rejected by other groups or experiments. Therefore, an adequate theoretical and experimental effort is highly desirable to shed light on the X17 anomaly.
3. Discussion
The first theoretical interpretation of the experimental results was performed by Feng et al. [7,8]. They explained the anomaly by a 17 MeV vector gauge boson, which may mediate a fifth fundamental force with some coupling to standard model (SM) particles. In their work, the X17 boson has a peculiar coupling with electrically charged particles and quarks because the search of → A + by the NA48/2 experiment provided a null result [9]. Based on these experimental results, the X17 particle must couple more strongly to neutrons than to protons, so the particle was defined as “protophobic”. Figure 6 shows the beryllium experiment result (red line), together with the excluded area of parameter space (gray area). The coupling constant is essentially constrained by the X17 decay length. Figure 6 also shows that a protophobic boson with a mass M = 17 MeV is not excluded by the present experimental results (gray area). The contours show the sensitivity of several experiments to “dark photons” (but without the protophobicity assumption [7]).
Figure 6.
The Be signal region (red line) in the (M,) plane. The excluded parameter space assuming a protophobic coupling is also shown (gray area). The contours show the sensitivity for the dark photon search of several experiments. Reproduced from [7] published by American Physical Society, with permission.
Ellwanger and Moretti suggested another interpretation of the experimental results, assuming a light, pseudoscalar particle [10]. They predicted a branching ratio that was about ten times smaller in the case of the 17.6 MeV transition compared with the one with 18.15 MeV, which is in nice agreement with the Li(p,ee)Be experiment. Subsequently, many studies with different models have been performed, including an extended two-Higgs-doublet model [11,12,13]. They showed that the anomaly can be described with a very light Z bosonic state, with significant axial couplings. Zhang and Miller investigated the form factor as a possible origin of the anomaly, but they concluded that this hypothesis is unrealistic for the Be nucleus [14]. Finally, a vector X17 boson is compatible with the anomalous magnetic moment of an electron and a muon [4,5]. Figure 7 shows the exclusion area in the (, M) space for the X17 boson. Figure adapted from [5].
Figure 7.
Exclusion area in (, M) space for the X17 boson. The green, red and yellow regions are ruled out by the E141, NA64 and BaBar experiments, respectively. A test based on the magnetic moment of the electron rules out the orange region when using the previous (Berkeley) measurement and the purple region when using the most recent and accurate result for the electron magnetic moment [5]. Disregarding the Berkeley measurement, the remaining allowed range at 16.7 MeV is depicted by the thick violet. The zone favoured by [5] is shown in dark green. Reproduced from [5] published by Springer Nature, with permission from SNCSC.
4. New Experimental Approaches
The ATOMKI data are clearly compatible with the production of a particle with a mass of 17 MeV. Although the statistical evidence of this anomaly is of many standard deviations, it is worth pointing out that all the three experiments were carried out by the same group of researchers, in which very similar apparatuses were used. Recently, the Li(p,ee)Be anomaly was confirmed by a Vietnamese group [15]. However, This work was carried out in collaboration with the ATOMKI group, using an apparatus and an analysis technique similar the one described in [1,2,3].
A possible confirmation of the X17 boson is provided by a series of tests on the production of photon pairs at JINR, using ions of several GeV on carbon and copper targets [16]. The analysis provides anomalies of the invariant mass of photon pairs at about 17 and 38 MeV, although further investigations are necessary.
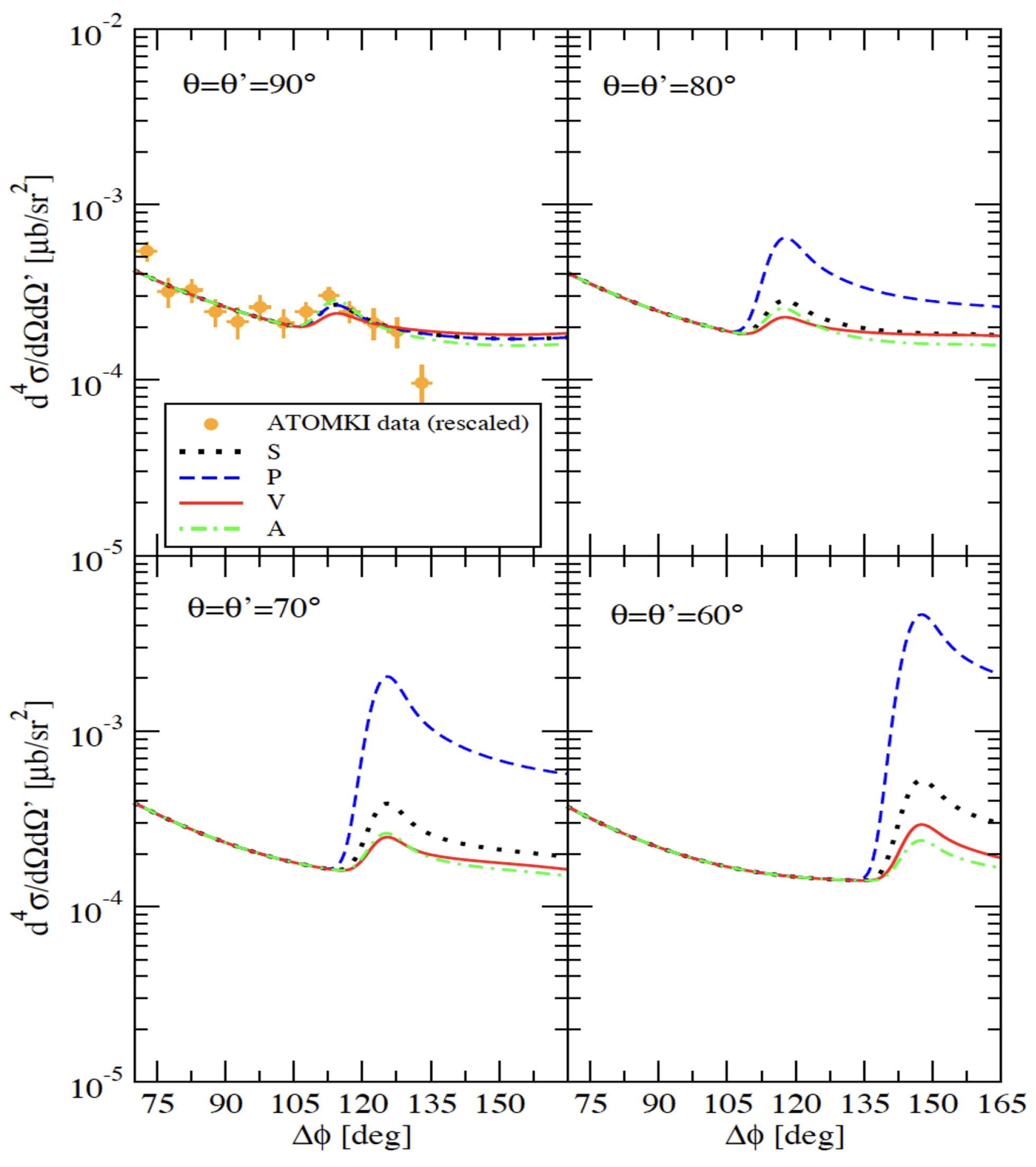
To confirm (or otherwise explain) the ATOMKI anomaly, it is of primary importance to perform independent measurements by other groups and with different approaches. Following the nuclear road (i.e., experiments based on the de-excitation of nuclei), new experiments should provide more precise information on the X17 properties, such as its coupling with ordinary matter and its quantic numbers J. This objective can be achieved by measuring the charge and 4-momenta of electron–positron pairs, performing measurements in a wide energy region, and using an apparatus with a large acceptance. In this regard, a theoretical calculation was performed considering the He de-excitation, assuming the standard model (in which only IPC pairs are produced) and also considering the production of a 17 MeV scalar (S), pseudoscalar (P), vector (V), or axial (A) boson decaying into ee pairs, with M = 17 MeV [17]. The calculations were normalized to the ATOMKI data of the H(p,ee)He process at E = 0.9 MeV, in which only pairs at about 90 with respect to the beam axis were detected. Figure 8 shows the cross section for the H(p,ee)He and He(n,ee)He processes at six different energies for the incident nucleons. By inspecting Figure 8, it is apparent that the strength of the excess as a function of the projectile energy strongly depends on the X17 quantic numbers, according to the level scheme of the He nucleus [17]. Similarly, the X17 momentum and parity affect the angular distribution of emitted pairs. Figure 9 shows the cross section for the H(p,ee)He process (E = 0.9 MeV) as a function of the ee aperture angle. The first quadrant reproduces the ATOMKI conditions, in which only pairs at about 90 with respect to the beam axis ( = = 90) are detected. The theoretical curves of the first quadrant for scalar (S), pseudoscalar (P), vector (V), and axial (A) are normalized to the data. The other three quadrants of Figure 9) show the predictions for = = 80, 70, and 60, respectively. As expected, the angular distribution of ee pairs strongly depends on the momentum and parity of the X17 boson. The study of the He de-excitation produced through the He(n,ee)He process has been recently proposed by using the n_TOF facility at CERN [18]. This facility provides a pulsed, broadband neutron beam, in which the neutron energy is deduced with the time-of-flight (ToF) technique [19]. The experimental setup is shown in Figure 10. It consists of a He target of a few cm inside a 1 mm thick carbon fiber at a pressure of 380 bar at room temperature, corresponding to a density of 1.04 × 10 atoms/cm. The detector is composed of 4 TPCs equipped with Rwell readout planes [20] to provide the 3D reconstruction of electron and positron tracks. The detector is also equipped with a set of scintillator bars and a coil with a square cross section, generating a magnetic field of about 500 Gauss (the square section of the coil is solely due to mechanical constraints of the device). The detector has a large solid angle acceptance, fulfills the requirement of the 4-momenta reconstruction of ee, and provides the charges. Moreover, it is rather insensitive to s emitted by the He(n,)He reaction (B = n/n∼ 10) or photons induced by the scattered neutrons.
Figure 8.
Cross section for the H(p,ee)He and He(n,ee)He processes at six different incident nucleon energies as a function of the relative angle between ee pairs. Predictions for scalar (S), pseudoscalar (P), vector (V), and axial (A) with a boson with a mass of 17 MeV are shown. The calculations are normalized to the ATOMKI data (blue dots). See text.
Figure 9.
Cross section of the H(p,ee)He process as a function of the relative angle between ee pairs for an incident proton energy E = 0.9 MeV. Calculations are made for a scalar (S), pseudoscalar (P), vector (V), and axial (A) boson with a mass of 17 MeV. The case of pairs emitted at 90 with respect to the beam axis (first quadrant) has been used to normalize the calculations to the ATOMKI data (yellow dots). Also considered are the case of ee pairs emitted at 80 (2nd quadrant), 70 (3rd quadrant), and 60 (4th quadrant).
Figure 10.
Setup for the study of the He(n,ee)He. It consists of 4 large Rwells, surrounded by an array of scintillating bars. The detectors are inside a coil with a squared section, providing a magnetic field up to 500 Gauss. See text.
Figure 11 shows the result of a simulation in which the He(n,ee)He process is reproduced (E = 0.347 MeV). The simulation reproduces the experimental conditions in which Bremsstrahlung and multiple scattering are taken into account. The kinematics of electron–positron pairs (due to IPC and the decay of a vector X17 boson) are calculated in [17] according to the ATOMKI result. The figure shows the electron–positron aperture angle (radiant) as a function of the energy asymmetry Y = (E−E)/(E+E), where E and E are the kinetic energies of the electron and the positron, respectively. A “moon-shaped” excess of pairs at a large angle, due to the X17 decay into ee pairs, is clearly visible over the IPC pairs’ background (the ratio between IPC and X17 pairs is B = n/n = 40), despite of the excess smearing due to the multiple scattering and the Bremsstrahlung affecting electrons and positrons. The n_TOF program also foresees the use of this detector to an improved study of the H(p,ee)He, Li(p,ee)Be, and B(p,ee)C reactions, as well as the study of new processes. Of particular interest is the study of the H(p,ee)He and H(n,ee)H reactions, which are well suited for detailed ab initio calculations (see [21] and references therein). For both processes, X17 would be created by the de-excitation of the A = 3 nuclei (He and H) into the ground state. It is worth pointing out that He and H have a different content of neutrons and protons. From the measurements of both cross sections, one could extract information about the isospin dependence of the X17–nucleon interaction [22]. Moreover, the X17 boson can be created only by exceeding an invariant mass of 17 MeV, i.e., with proton or neutron beams with an energy above ∼16 MeV.
Figure 11.
Electron–positron angle as a function of electron–positron energy asymmetry Y = (E−E)/(E+E), where E and E are the kinetic energies of the electron and the positron, respectively. The plot refers to the He(n,ee)He reaction at E = 0.347 MeV, using a detector immersed in a magnetic field of 500 Gauss. In this simulation is considered the multiple scattering due to the material surrounding the target. The kinematics of electron–positron pairs are calculated for IPC and for the X17 vector boson. The counting excess due to the X17 decay is very visible (see text).
Presently, the Li(p,ee)Be reaction is also studied with the MEG2 experiment at GSI, in which the tracking and particle identification is performed with a detector based on a Multi-Wire Projection Chamber (MWPC), an intense magnetic field, and a calorimeter [18]. A similar approach was performed by the Montreal X17 project.
Besides the nuclear approach, many experiments are suited for probing the X17 existence, such as the experiments searching for dark photons [18]. As an example, the PADME collaboration has proposed the X17 search by using a positron beam impinging on a diamond target. If X17 exists, an excess of pairs would be observed due to the ee⇒ X17 ⇒ ee reactions at E≃ 250 MeV, i.e., at the invariant mass of the X17 boson. In this approach, the main background is represented by the Bhabha scattering. Other new proposals and ideas to probe the X17 anomaly can be found in [18], in which a more extensive review of experiments is reported.
5. Conclusions
Although the possible existence of X17 is very suggestive, caution is obviously mandatory for the claim of X17 discovery. However, the experiments proposed to probe its existence would have an adequate sensitivity to provide in a few years a sure answer to this issue. The hunting of the new X17 particle by means of nuclear experiments offers a chance to look for new physics. Even in the case of a negative result, these experimental efforts will shed light on IPC phenomena that represent a primary probe to test ab initio nuclear calculations [22]. If confirmed, the X17 discovery could deeply change the present knowledge of particle physics and cosmology.
Funding
This research received no external funding.
Conflicts of Interest
The authors declare no conflict of interest.
References
- Krasznahorkay, A.J.; Csatlós, M.; Csige, L.; Gácsi, Z.; Gulyás, J.; Hunyadi, M.; Kuti, I.; Nyakó, B.M.; Stuhl, L.; Timár, J.; et al. Observation of anomalous internal pair creation in Be 8: A possible indication of a light, neutral boson. Phys. Rev. Lett. 2016, 116, 042501. [Google Scholar] [CrossRef]
- Krasznahorkay, A.J.; Csatlós, M.; Csige, L.; Gulyás, J.; Krasznahorkay, A.; Nyakó, B.M.; Rajta, I.; Timár, J.; Vajda, I.; Sas, N.J. New anomaly observed in He 4 supports the existence of the hypothetical X17 particle. Phys. Rev. C 2021, 104, 044003. [Google Scholar] [CrossRef]
- Krasznahorkay, A.J.; Krasznahorkay, A.; Begala, M.; Csatlós, M.; Csige, L.; Gulyás, J.; Krakó, A.; Timár, J.; Rajta, I.; Vajda, I.; et al. New anomaly observed in C 12 supports the existence and the vector character of the hypothetical X17 boson. Phys. Rev. C 2022, 106, L061601. [Google Scholar] [CrossRef]
- Bennett, G.W.; Bousquet, B.; Brown, H.N.; Bunce, G.; Carey, R.M.; Cushman, P.; Danby, G.T.; Debevec, P.T.; Deile, M.; Deng, H.; et al. Final report of the E821 muon anomalous magnetic moment measurement at BNL. Phys. Rev. D 2006, 73, 072003. [Google Scholar] [CrossRef]
- Morel, L.; Yao, Z.; Cladé, P.; Guellati-Khélifa, S. Determination of the fine-structure constant with an accuracy of 81 parts per trillion. Nature 2020, 558, 61–65. [Google Scholar] [CrossRef] [PubMed]
- Sas, N.J.; Krasznahorkay, A.J.; Csatlós, M.; Gulyás, J.; Kertész, B.; Krasznahorkay, A.; Molnár, J.; Rajta, I.; Timár, J.; Vajda, I.; et al. Observation of the X17 anomaly in the 7 Li (p, e+e−) 8 Be direct proton-capture reaction. arXiv 2022, arXiv:2205.07744v1. [Google Scholar]
- Feng, J.L.; Fornal, B.; Galon, I.; Gardner, S.; Smolinsky, J.; Tait, T.M.; Tanedo, P. Protophobic fifth-force interpretation of the observed anomaly in be 8 nuclear transitions. Phys. Rev. Lett. 2016, 117, 071803. [Google Scholar] [CrossRef] [PubMed]
- Feng, J.L.; Fornal, B.; Galon, I.; Gardner, S.; Smolinsky, J.; Tait, T.M.; Tanedo, P. Particle physics models for the 17 MeV anomaly in beryllium nuclear decays. Phys. Rev. D 2017, 95, 035017. [Google Scholar] [CrossRef]
- Batley, J.R.; Kalmus, G.; Lazzeroni, C.; Munday, D.J.; Slater, M.W.; Wotton, S.A.; Arcidiacono, R.; Bocquet, G.; Cabibbo, N.; Ceccucci, A.; et al. Search for the dark photon in π0 decays. Phys. Lett. B 2015, 746, 178. [Google Scholar] [CrossRef]
- Ellwanger, U.; Moretti, S. Possible explanation of the electron positron anomaly at 17 MeV in 8 Be transitions through a light pseudoscalar. High Energy Phys. 2016, 11, 039. [Google Scholar] [CrossRef]
- Delle Rose, L.; Khalil, S.; Moretti, S. Explanation of the 17 MeV Atomki anomaly in a U (1)’-extended two Higgs doublet model. Phys. Rev. D 2017, 96, 115024. [Google Scholar] [CrossRef]
- Delle Rose, L.; Khalil, S.; King, S.J.; Moretti, S.; Thabt, A.M. Atomki anomaly in family-dependent U (1)’ extension of the standard model. Phys. Rev. D 2019, 99, 055022. [Google Scholar] [CrossRef]
- Delle Rose, L.; Khalil, S.; King, S.J.; Moretti, S. New physics suggested by Atomki anomaly. Front. Phys. 2019, 7, 73. [Google Scholar] [CrossRef]
- Zhang, X.; Miller, G.A. Can nuclear physics explain the anomaly observed in the internal pair production in the Beryllium-8 nucleus? Phys. Lett. B 2017, 773, 159. [Google Scholar] [CrossRef]
- Anh, T.T.; Dinh Trong, T.; Krasznahorkay, A.J.; Krasznahorkay, A.; Molnár, J.; Pintye, Z.; Viet, N.A.; Nghia, N.T.; Khanh Linh, D.T.; Hoa, B.T.; et al. Checking the 8Be Anomaly with a Two-Arm Electron Positron Pair Spectrometer. Universe 2024, 10, 168. [Google Scholar] [CrossRef]
- Abraamyan, K.U.; Austin, C.; Baznat, M.I.; Gudima, K.K.; Kozhin, M.A.; Reznikov, S.G.; Sorin, A.S. Observation of structures at ∼17 and ∼38 MeV/c 2 in the γγ invariant mass spectra in pC, dC, and dCu collisions at plab of a few GeV/c per nucleon. arXiv 2023, arXiv:2311.18632v1. [Google Scholar]
- Viviani, M.; Filandri, E.; Girlanda, L.; Gustavino, C.; Kievsky, A.; Marcucci, L.E.; Schiavilla, R. X17 boson and the 3H (p, e+e−) 4H and 3H (n, e+e−) 4H processes: A theoretical analysis. Phys. Rev. C 2022, 105, 014001. [Google Scholar] [CrossRef]
- Alves, D.S.; Barducci, D.; Cavoto, G.; Darmé, L.; Delle Rose, L.; Doria, L.; Feng, J.L.; Frankenthal, A.; Gasparian, A.; Goudzovski, E.; et al. Shedding light on X17: Community report. Eur. Phys. J. C 2023, 83, 230. [Google Scholar] [CrossRef]
- Patronis, N.; Mengoni, A.; Goula, S.; Aberle, O.; Alcayne, V.; Altieri, S.; Amaducci, S.; Andrzejewski, J.; Babiano-Suarez, V.; Bacak, M.; et al. Status report of the n_TOF facility after the 2nd CERN long shutdown period. EPJ Tech. Instrum. 2023, 10, 13. [Google Scholar] [CrossRef]
- Bencivenni, G.; Capoccia, C.; Cibinetto, G.; de Oliveira, R.; Farinelli, R.; Felici, G.; Gatta, M.; Giovannetti, M.; Lavezzi, L.; Morello, G.; et al. On the space resolution of the μ-RWELL. J. Instrum. 2021, 16, P08036. [Google Scholar] [CrossRef]
- Mossa, V.; Stöckel, K.; Cavanna, F.; Ferraro, F.; Aliotta, M.; Barile, F.; Bemmerer, D.; Best, A.; Boeltzig, A.; Broggini, C.; et al. The baryon density of the Universe from an improved rate of deuterium burning. Nature 2020, 587, 210. [Google Scholar] [CrossRef]
- Viviani, M.; Filandri, E.; Girlanda, L.; Gustavino, C.; Kievsky, A.; Marcucci, L.E.; Schiavilla, R. X17 boson and the d(p,e+e−) and d(n,e+e−) processes: A theoretical analysis. Submitted in Phys. Rev. C.
Disclaimer/Publisher’s Note: The statements, opinions and data contained in all publications are solely those of the individual author(s) and contributor(s) and not of MDPI and/or the editor(s). MDPI and/or the editor(s) disclaim responsibility for any injury to people or property resulting from any ideas, methods, instructions or products referred to in the content. |
© 2024 by the author. Licensee MDPI, Basel, Switzerland. This article is an open access article distributed under the terms and conditions of the Creative Commons Attribution (CC BY) license (https://creativecommons.org/licenses/by/4.0/).










