Polarization Measurements of p↑ and 3He↑ Beams at RHIC and Future EIC Using the Polarized Atomic Hydrogen Gas Jet Target
Abstract
1. Introduction
2. The Polarized Atomic Hydrogen Gas Jet Target
3. Single Spin Analyzing Power
Energy Dependence of the Hadronic Single Spin-Flip Amplitude
4. Double-Spin Analyzing Power
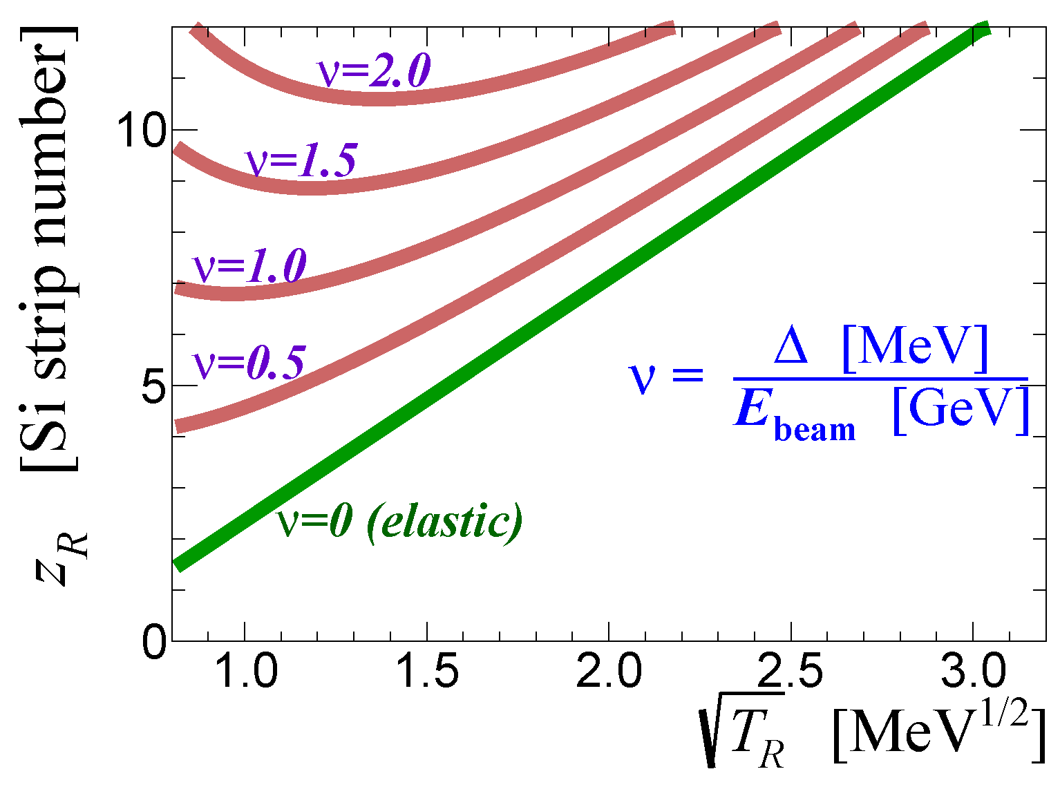
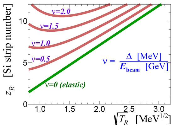
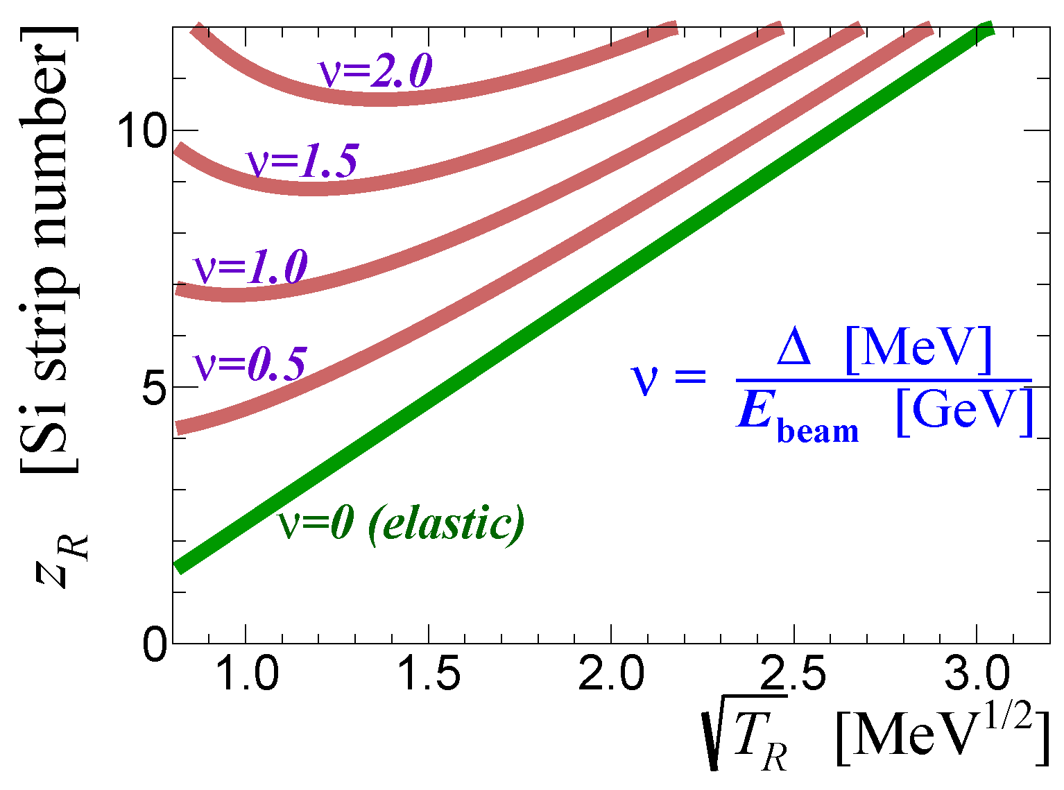
5. Inelastic Proton–Proton Scattering
6. Elastic Proton–Nucleus Analyzing Power
7. 3He Beam Polarization Measurement
7.1. Analyzing Power for and Scattering
7.2. Breakup Corrections for the Measured 3He Beam Polarization
8. Summary
- –
- Theoretical evaluation, including normalization, of functions for Regge poles , Pomeron/Froissaron , and Odderon , which can be used for a Regge fit studying the energy dependence of single and double spin-flip amplitudes at low t;
- –
- Beam and target analyzing power parametrization for inelastic scattering (considering beam proton fragmentation and detection of the target proton) at low t and ;
- –
- Parametrization (ready to use in data analysis) for the forward analyzing power for , , and proton beam energy .
Funding
Data Availability Statement
Acknowledgments
Conflicts of Interest
Correction Statement
Abbreviations
| HJET | The Polarized Atomic Hydrogen Gas Jet Target Polarimeter |
| RHIC | The Relativistic Heavy Ion Collider |
| EIC | The Electron–Ion Collider |
| CNI | Coulomb-nuclear interference |
References
- Accardi, A.; Albacete, J.L.; Anselmino, M.; Armesto, N.; Aschenauer, E.C.; Bacchetta, A.; Boer, D.; Brooks, W.K.; Burton, T.; Chang, N.-B.; et al. Electron Ion Collider: The Next QCD Frontier. Eur. Phys. J. A 2016, 52, 268. [Google Scholar] [CrossRef]
- Abdul Khalek, R.; Accardi, A.; Adam, J.; Adamiak, D.; Akers, W.; Albaladejo, M.; Al-bataineh, A.; Alexeev, M.G.; Ameli, F.; Antonioli, P.; et al. Science Requirements and Detector Concepts for the Electron-Ion Collider: EIC Yellow Report. Nucl. Phys. A 2022, 1026, 122447. [Google Scholar] [CrossRef]
- Zelenski, A.; Bravar, A.; Graham, D.; Haeberli, W.; Kokhanovski, S.; Makdisi, Y.; Mahler, G.; Nass, A.; Ritter, J.; Wise, T.; et al. Absolute polarized H-jet polarimeter development for RHIC. Nucl. Instrum. Methods A 2005, 536, 248–254. [Google Scholar] [CrossRef]
- Poblaguev, A.A. New DAQ for the HJET polarimeter at RHIC. Proc. Sci. 2016, PSTP2015, 032. [Google Scholar] [CrossRef]
- Poblaguev, A.A.; Zelenski, A.; Atoian, G.; Makdisi, Y.; Ritter, J. Systematic error analysis in the absolute hydrogen gas jet polarimeter at RHIC. Nucl. Instrum. Methods A 2020, 976, 164261. [Google Scholar] [CrossRef]
- Poblaguev, A.A.; Atoian, G.; Buttimore, N.H.; Zelenski, A. On the Possibility of Measuring the Polarization of a 3He Beam at EIC by the HJET Polarimeter. JPS Conf. Proc. 2022, 37, 021103. [Google Scholar] [CrossRef]
- Buttimore, N.H. Forward helion scattering and neutron polarization. AIP Conf. Proc. 2009, 1105, 189–192. [Google Scholar] [CrossRef]
- Kopeliovich, B.Z.; Lapidus, L.I. On the necessity of polarization experiments in colliding pp and pp beams. Yad. Fiz. 1974, 19, 218–223. [Google Scholar]
- Buttimore, N.H.; Gotsman, E.; Leader, E. Spin-dependent phenomena induced by electromagnetic-hadronic interference at high energies. Phys. Rev. D 1978, 18, 694–716, Erratum in Phys. Rev. D 1987, 35, 407. [Google Scholar] [CrossRef]
- Buttimore, N.H.; Kopeliovich, B.Z.; Leader, E.; Soffer, J.; Trueman, T.L. The spin dependence of high-energy proton scattering. Phys. Rev. D 1999, 59, 114010. [Google Scholar] [CrossRef]
- Cahn, R. Coulombic-Hadronic Interference in an Eikonal Model. Z. Phys. C 1982, 15, 253. [Google Scholar] [CrossRef]
- Kopeliovich, B.Z.; Tarasov, A.V. The Coulomb phase revisited. Phys. Lett. B 2001, 497, 44–48. [Google Scholar] [CrossRef]
- Poblaguev, A.A.; Zelenski, A.; Aschenauer, E.; Atoian, G.; Eyser, K.O.; Huang, H.; Makdisi, Y.; Schmidke, W.B.; Alekseev, I.; Svirida, D.; et al. Precision Small Scattering Angle Measurements of Elastic Proton-Proton Single and Double Spin Analyzing Powers at the RHIC Hydrogen Jet Polarimeter. Phys. Rev. Lett. 2019, 123, 162001. [Google Scholar] [CrossRef]
- Okada, H.; Alekseev, I.G.; Bravar, A.; Bunce, G.; Dhawan, S.; Gill, R.; Haeberli, W.; Jinnouchi, O.; Khodinov, A.; Makdisi, Y.; et al. Measurement of the analyzing power in pp elastic scattering in the peak CNI region at RHIC. Phys. Lett. B 2006, 638, 450–454. [Google Scholar] [CrossRef]
- Alekseev, I.G.; Bravar, A.; Bunce, G.; Dhawan, S.; Eyser, K.O.; Gill, R.; Haeberli, W.; Huang, H.; Jinnouchi, O.; Kponou, A.; et al. Measurements of single and double spin asymmetry in pp elastic scattering in the CNI region with a polarized atomic hydrogen gas jet target. Phys. Rev. D 2009, 79, 094014. [Google Scholar] [CrossRef]
- Adamczyk, L.; Agakishiev, G.; Aggarwal, M.M.; Ahammed, Z.; Alakhverdyants, A.V.; Alekseev, I.; Alford, J.; Anson, C.D.; Arkhipkin, D.; Aschenauer, E.; et al. Single Spin Asymmetry AN in Polarized Proton-Proton Elastic Scattering at = 200 GeV. Phys. Lett. B 2013, 719, 62–69. [Google Scholar] [CrossRef]
- Krelina, M.; Kopeliovich, B. Effects of Absorption in Small-angle Scattering of Polarized Protons. Acta Phys. Pol. Supp. 2019, 12, 747–752. [Google Scholar] [CrossRef]
- Kopeliovich, B.Z.; Krelina, M.; Potashnikova, I.K. Probing the Pomeron spin structure with Coulomb-nuclear interference. Phys. Lett. B 2021, 816, 136262. [Google Scholar] [CrossRef]
- Poblaguev, A.A. Corrections to the Elastic Proton-Proton Analyzing Power Parametrization at High Energies. Phys. Rev. D 2019, 100, 116017. [Google Scholar] [CrossRef]
- Bartenev, V.; Kuznetsov, A.; Morozov, B.; Nikitin, V.; Pilipenko, Y.; Popov, V.; Zolin, L.; Carrigan, R.A., Jr.; Malamud, E.; Yamada, R.; et al. Measurement of the Slope of the Diffraction Peak for Elastic p-p Scattering from 8 to 400 GeV. Phys. Rev. Lett. 1973, 31, 1088–1091. [Google Scholar] [CrossRef]
- Workman, R.L.; Burkert, V.D.; Crede, V.; Klempt, E.; Thoma, U.; Tiator, L.; Agashe, K.; Aielli, G.; Allanach, B.C.; Amsler, C.; et al. Review of Particle Physics. Prog. Theor. Exp. Phys. 2022, 2022, 083C01. [Google Scholar] [CrossRef]
- Poblaguev, A.A. Coulomb phase corrections to the transverse analyzing power AN(t) in high energy forward proton-proton scattering. Phys. Rev. D 2022, 105, 096039. [Google Scholar] [CrossRef]
- Lee, G.; Arrington, J.R.; Hill, R.J. Extraction of the proton radius from electron-proton scattering data. Phys. Rev. D 2015, 92, 013013. [Google Scholar] [CrossRef]
- Fagundes, D.A.; Menon, M.J.; Silva, P.V.R.G. Leading components in forward elastic hadron scattering: Derivative dispersion relations and asymptotic uniqueness. Int. J. Mod. Phys. A 2017, 32, 1750184. [Google Scholar] [CrossRef]
- Kopeliovich, B.Z.; Povh, B. Energy dependence of the pomeron spin flip. Mod. Phys. Lett. A 1998, 13, 3033–3038. [Google Scholar] [CrossRef]
- Cudell, J.R.; Kang, K.; Kim, S.K. Simple pole fits to p p and anti-p p total cross-sections and real parts. Phys. Lett. B 1997, 395, 311–331. [Google Scholar] [CrossRef][Green Version]
- Ewerz, C.; Lebiedowicz, P.; Nachtmann, O.; Szczurek, A. Helicity in proton–proton elastic scattering and the spin structure of the pomeron. Phys. Lett. B 2016, 763, 382–387. [Google Scholar] [CrossRef]
- Hagiwara, Y.; Hatta, Y.; Pasechnik, R.; Zhou, J. Spin-dependent Pomeron and Odderon in elastic proton-proton scattering. Eur. Phys. J. C 2020, 80, 427. [Google Scholar] [CrossRef]
- Sawasdipol, P.; Magallanes, J.B.; Pongkitivanichkul, C.; Samart, D. Effects of odderon spin on helicity amplitudes in pp elastic scattering. Eur. Phys. J. C 2023, 83, 953. [Google Scholar] [CrossRef]
- Leader, E. Spin in Particle Physics; Cambridge Monographs on Particle Physics, Nuclear Physics and Cosmology; Cambridge University Press: Cambridge, UK, 2001. [Google Scholar] [CrossRef]
- Leader, E.; Trueman, T.L. The Odderon and spin dependence of high-energy proton proton scattering. Phys. Rev. D 2000, 61, 077504. [Google Scholar] [CrossRef]
- Trueman, T.L. Double-spin asymmetry in elastic proton-proton scattering as a probe for the Odderon. arXiv 2005, arXiv:hep-ph/0604153. [Google Scholar]
- Poblaguev, A.A.; Zelenski, A.; Aschenauer, E.; Atoian, G.; Eyser, K.O.; Huang, H.; Schmidke, W.B.; Alekseev, I.; Svirida, D.; Buttimore, N.H. Precision small scattering angle measurements of proton-proton and proton-nucleus analyzing powers at the RHIC hydrogen jet polarimeter. In Proceedings of the Diffraction and Low-x 2022, Corigliano Calabro, Italy, 24–30 September 2022. [Google Scholar]
- Kopeliovich, B.Z.; Krelina, M.; Potashnikova, I.K. Coulomb-Nuclear Interference in polarized pA scattering. In Proceedings of the 52nd International Symposium on Multiparticle Dynamics, Gyöngyös, Hungary, 21–26 August 2023. [Google Scholar]
- Atoian, G.; Poblaguev, A.A.; Zelenski, A. Experimental evaluation of the breakup rate in the pAu scattering at HJET. 2021; (unpublished). [Google Scholar]
- Poblaguev, A. Breakup corrections to spin asymmetries in the 3He beam polarization measurements with the Polarized Atomic Hydrogen Gas Jet Target. Phys. Rev. C 2023, 108, 025202. [Google Scholar] [CrossRef]
- Poblaguev, A.A. Feasibility study for precisely measuring the EIC 3He beam polarization with the Polarized Atomic Hydrogen Gas Jet Target polarimeter at RHIC. Phys. Rev. C 2022, 106, 065202. [Google Scholar] [CrossRef]
- Poblaguev, A.A. Breakup corrections to the 3He beam polarization measurements at the future BNL Electron Ion Collider. Phys. Rev. C 2022, 106, 065203. [Google Scholar] [CrossRef]
- Kopeliovich, B.Z.; Trueman, T.L. Polarized proton nucleus scattering. Phys. Rev. D 2001, 64, 034004. [Google Scholar] [CrossRef]
- Glauber, R.J. Cross Sections in Deuterium at High Energies. Phys. Rev. 1955, 100, 242–248. [Google Scholar] [CrossRef]
- Glauber, R.J. High Energy Collision Theory. In Lectures in Theoretical Physics; Brittin, W.E., Dunham, L.C., Eds.; Interscience Publishers: New York, NY, USA, 1959; Volume 1, pp. 315–414. [Google Scholar]
- Franco, V.; Glauber, R.J. High-energy deuteron cross-sections. Phys. Rev. 1966, 142, 1195–1214. [Google Scholar] [CrossRef]
- Buttimore, N.H.; Leader, E.; Trueman, T.L. An absolute polarimeter for high-energy protons. Phys. Rev. D 2001, 64, 094021. [Google Scholar] [CrossRef]
- Poblaguev, A.A. Improved Analysis of the Breakup Corrections to the High Energy 3He Beam Polarization measurements with HJET. arXiv 2023, arXiv:2303.00677. [Google Scholar]
- Poblaguev, A.A.; Zelenski, A.; Atoian, G. The prospects on the absolute proton beam polarimetry at EIC. In Proceedings of the 18th International Workshop on Polarized Sources, Targets, and Polarimetry, PSTP2019, Knoxville, Tennessee, 23–27 September 2019. [Google Scholar] [CrossRef]











Disclaimer/Publisher’s Note: The statements, opinions and data contained in all publications are solely those of the individual author(s) and contributor(s) and not of MDPI and/or the editor(s). MDPI and/or the editor(s) disclaim responsibility for any injury to people or property resulting from any ideas, methods, instructions or products referred to in the content. |
© 2024 by the author. Licensee MDPI, Basel, Switzerland. This article is an open access article distributed under the terms and conditions of the Creative Commons Attribution (CC BY) license (https://creativecommons.org/licenses/by/4.0/).
Share and Cite
Poblaguev, A.A. Polarization Measurements of p↑ and 3He↑ Beams at RHIC and Future EIC Using the Polarized Atomic Hydrogen Gas Jet Target. Universe 2024, 10, 32. https://doi.org/10.3390/universe10010032
Poblaguev AA. Polarization Measurements of p↑ and 3He↑ Beams at RHIC and Future EIC Using the Polarized Atomic Hydrogen Gas Jet Target. Universe. 2024; 10(1):32. https://doi.org/10.3390/universe10010032
Chicago/Turabian StylePoblaguev, A. A. 2024. "Polarization Measurements of p↑ and 3He↑ Beams at RHIC and Future EIC Using the Polarized Atomic Hydrogen Gas Jet Target" Universe 10, no. 1: 32. https://doi.org/10.3390/universe10010032
APA StylePoblaguev, A. A. (2024). Polarization Measurements of p↑ and 3He↑ Beams at RHIC and Future EIC Using the Polarized Atomic Hydrogen Gas Jet Target. Universe, 10(1), 32. https://doi.org/10.3390/universe10010032

