The Effect of Trabecular Aspiration on Intraocular Pressure, Medication and the Need for Further Glaucoma Surgery in Eyes with Pseudoexfoliation Glaucoma
Abstract
1. Introduction
2. Materials and Methods
2.1. Data Collection
2.2. Inclusion and Exclusion Criteria
- Group I—Eyes receiving combined TA plus cataract surgery (Phaco-TA) without a previous trabeculectomy;
- Group II—Eyes receiving Phaco-TA after a previous trabeculectomy;
- Group III—Eyes receiving TA as a primary surgical intervention after a trabeculectomy.
2.3. Clinical Information and Outcome Parameters
2.4. Survival Analysis
2.5. Statistical Analysis
3. Results
3.1. Demographics
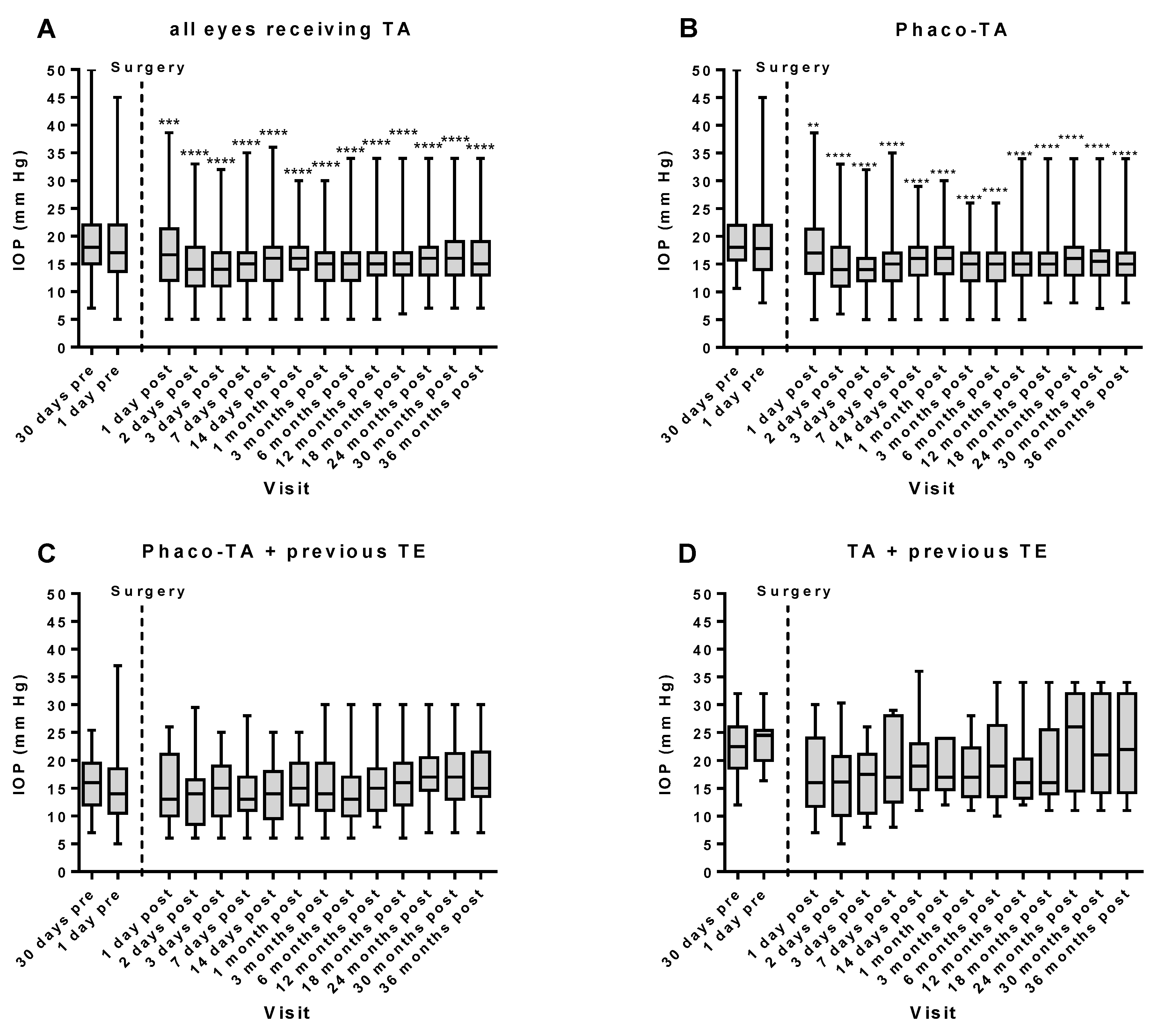
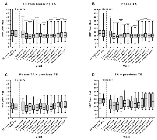
3.2. Effect of TA on IOP
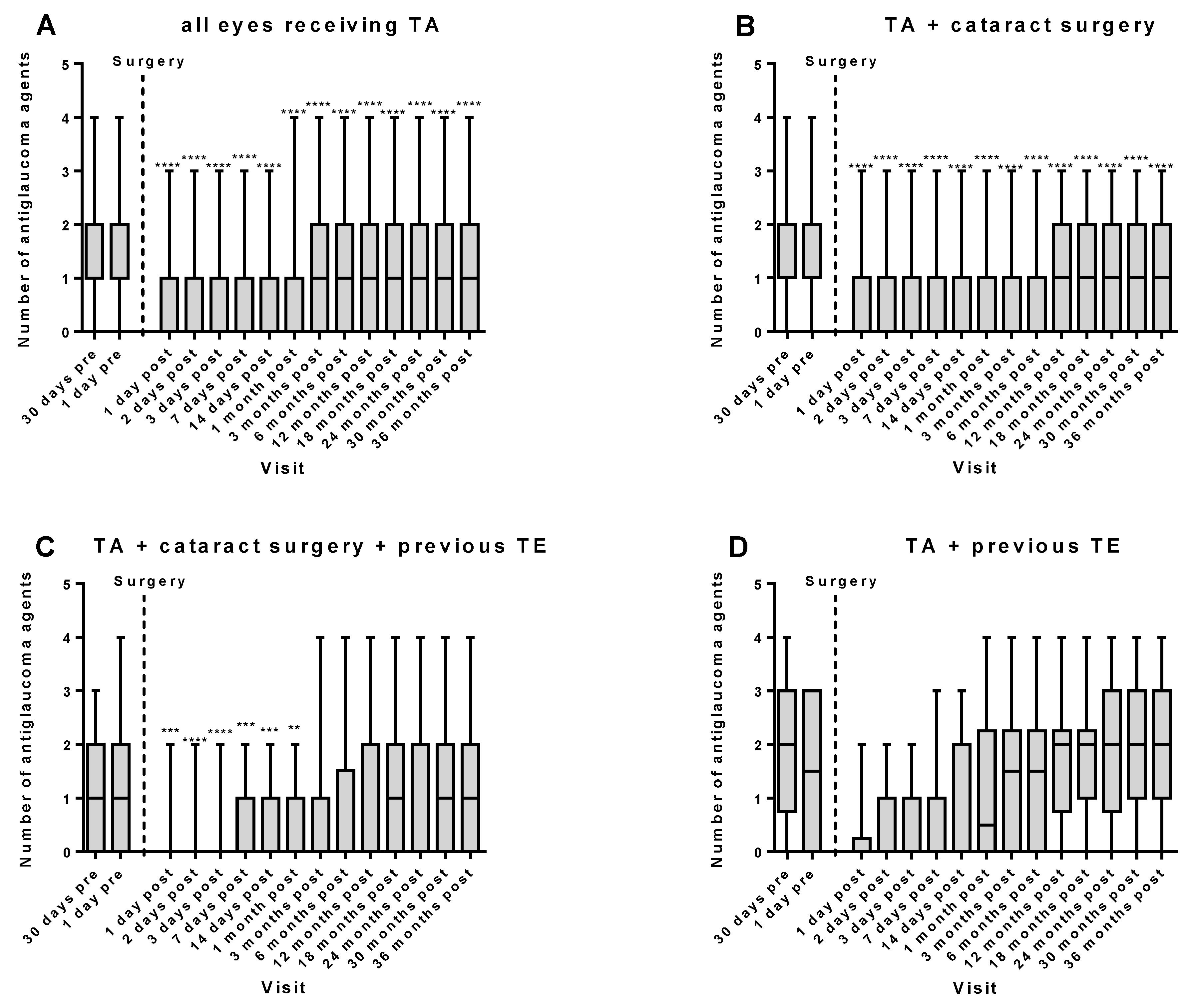
3.3. Effect of TA on the Number of Antiglaucoma Agents Used
3.4. Effect of TA on Further Surgical Interventions
4. Discussion
5. Conclusions
Author Contributions
Funding
Institutional Review Board Statement
Informed Consent Statement
Data Availability Statement
Acknowledgments
Conflicts of Interest
References
- Tham, Y.C.; Li, X.; Wong, T.Y.; Quigley, H.A.; Aung, T.; Cheng, C.Y. Global prevalence of glaucoma and projections of glaucoma burden through 2040: A systematic review and meta-analysis. Ophthalmology 2014, 121, 2081–2090. [Google Scholar] [CrossRef] [PubMed]
- Plateroti, P.; Plateroti, A.M.; Abdolrahimzadeh, S.; Scuderi, G. Pseudoexfoliation Syndrome and Pseudoexfoliation Glaucoma: A Review of the Literature with Updates on Surgical Management. J. Ophthalmol. 2015, 2015, 370371. [Google Scholar] [CrossRef] [PubMed]
- Aström, S.; Lindén, C. Incidence and prevalence of pseudoexfoliation and open-angle glaucoma in northern Sweden: I. Baseline report. Acta Ophthalmol. Scand. 2007, 85, 828–831. [Google Scholar] [CrossRef] [PubMed]
- Ayala, M.; Zetterberg, M.; Zettergren, A. Single nucleotide polymorphisms in LOXL1 as biomarkers for progression of exfoliation glaucoma in Sweden. Acta Ophthalmol. 2023, 101, 521–529. [Google Scholar] [CrossRef]
- Rouhiainen, H.; Teräsvirta, M. Presence of pseudoexfoliation on clear and opacified crystalline lenses in an aged population. Ophthalmologica 1992, 204, 67–70. [Google Scholar] [CrossRef] [PubMed]
- Hirvelä, H.; Luukinen, H.; Laatikainen, L. Prevalence and risk factors of lens opacities in the elderly in Finland. A population-based study. Ophthalmology 1995, 102, 108–117. [Google Scholar] [CrossRef] [PubMed]
- Krause, U.; Alanko, H.I.; Kärnä, J.; Miettinen, R.; Larmi, T.; Jaanio, E.; Ollila, O.I.; Takala, J. Prevalence of exfoliation syndrome in Finland. Acta Ophthalmol. Suppl. 1988, 184, 120–122. [Google Scholar] [CrossRef] [PubMed]
- Ringvold, A.; Blika, S.; Elsås, T.; Guldahl, J.; Brevik, T.; Hesstvedt, P.; Johnsen, H.; Hoff, K.; Høisen, H.; Kjørsvik, S.; et al. The Middle-Norway eye-screening study. I. Epidemiology of the pseudo-exfoliation syndrome. Acta Ophthalmol. 1988, 66, 652–658. [Google Scholar] [CrossRef] [PubMed]
- Ekström, C. Prevalence of pseudoexfoliations in a population 65–74 years of age. Acta Ophthalmol. 1987, 65, 9–10. [Google Scholar] [CrossRef]
- Krumbiegel, M.; Pasutto, F.; Mardin, C.Y.; Weisschuh, N.; Paoli, D.; Gramer, E.; Weber, B.H.; Kruse, F.E.; Schlötzer-Schrehardt, U.; Reis, A. Apolipoprotein E genotypes in pseudoexfoliation syndrome and pseudoexfoliation glaucoma. J. Glaucoma 2010, 19, 561–565. [Google Scholar] [CrossRef]
- Ling, J.D.; Bell, N.P. Role of Cataract Surgery in the Management of Glaucoma. Int. Ophthalmol. Clin. 2018, 58, 87–100. [Google Scholar] [CrossRef] [PubMed]
- Katsi, V.; Pavlidis, A.N.; Kallistratos, M.S.; Fitsios, A.; Bratsas, A.; Tousoulis, D.; Stefanadis, C.; Manolis, A.J.; Kallikazaros, I. Cardiovascular repercussions of the pseudoexfoliation syndrome. N. Am. J. Med. Sci. 2013, 5, 454–459. [Google Scholar] [CrossRef]
- Schlötzer-Schrehardt, U.M.; Koca, M.R.; Naumann, G.O.; Volkholz, H. Pseudoexfoliation syndrome ocular manifestation of a systemic disorder? Arch. Ophthalmol. 1992, 110, 1752–1756. [Google Scholar] [CrossRef] [PubMed]
- Streeten, B.W.; Li, Z.-Y.; Wallace, R.N.; Eagle, R.C.; Keshgegian, A.A. Pseudoexfoliative fibrillopathy in visceral organs of a patient with pseudoexfoliation syndrome. Arch. Ophthalmol. 1992, 110, 1757–1762. [Google Scholar] [CrossRef] [PubMed]
- Schumacher, S.; Schlötzer-Schrehardt, U.; Martus, P.; Lang, W.; Naumann, G. Pseudoexfoliation syndrome and aneurysms of the abdominal aorta. Lancet 2001, 357, 359–360. [Google Scholar] [CrossRef]
- Tribble, J.R.; Hui, F.; Quintero, H.; El Hajji, S.; Bell, K.; Di Polo, A.; Williams, P.A. Neuroprotection in glaucoma: Mechanisms beyond intraocular pressure lowering. Mol. Asp. Med. 2023, 92, 101193. [Google Scholar] [CrossRef]
- Mavlyutov, T.A.; Myrah, J.J.; Chauhan, A.K.; Liu, Y.; McDowell, C.M. Fibronectin extra domain A (FN-EDA) causes glaucomatous trabecular meshwork, retina, and optic nerve damage in mice. Cell Biosci. 2022, 12, 72. [Google Scholar] [CrossRef] [PubMed]
- Buonfiglio, F.; Pfeiffer, N.; Gericke, A. Immunomodulatory and Antioxidant Drugs in Glaucoma Treatment. Pharmaceuticals 2023, 16, 1193. [Google Scholar] [CrossRef]
- Buonfiglio, F.; Böhm, E.W.; Pfeiffer, N.; Gericke, A. Oxidative Stress: A Suitable Therapeutic Target for Optic Nerve Diseases? Antioxidants 2023, 12, 1465. [Google Scholar] [CrossRef]
- Jacobi, P.C.; Krieglstein, G.K. Trabecular aspiration: A new surgical approach to improve trabecular facility in pseudoexfoliation glaucoma. Int. Ophthalmol. 1994, 18, 153–157. [Google Scholar] [CrossRef]
- Gedde, S.J.; Heuer, D.K.; Parrish, R.K., II. Review of results from the Tube Versus Trabeculectomy Study. Curr. Opin. Ophthalmol. 2010, 21, 123–128. [Google Scholar] [CrossRef] [PubMed]
- Matlach, J.; Hipp, M.; Wagner, M.; Heuschmann, P.U.; Klink, T.; Grehn, F. A comparative study of a modified filtering trabeculotomy and conventional trabeculectomy. Clin. Ophthalmol. 2015, 9, 483–492. [Google Scholar] [CrossRef] [PubMed]
- Pouw, A.E.; Greiner, M.A.; Coussa, R.G.; Jiao, C.; Han, I.C.; Skeie, J.M.; Fingert, J.H.; Mullins, R.F.; Sohn, E.H. Cell-Matrix Interactions in the Eye: From Cornea to Choroid. Cells 2021, 10, 687. [Google Scholar] [CrossRef] [PubMed]
- Jacobi, P.C.; Krieglstein, G.K. Trabecular aspiration. A new mode to treat pseudoexfoliation glaucoma. Investig. Ophthalmol. Vis. Sci. 1995, 36, 2270–2276. [Google Scholar]
- Grüb, M.; Mielke, J.; Rohrbach, J.M.; Schlote, T. Trabecular aspiration in pseudoexfoliative glaucoma—Surgery to primarily reduce intraocular pressure. Klin. Monbl Augenheilkd. 2002, 219, 353–357. [Google Scholar] [CrossRef] [PubMed]
- Jacobi, P.C.; Dietlein, T.S.; Krieglstein, G.K. Bimanual trabecular aspiration in pseudoexfoliation glaucoma: An alternative in nonfiltering glaucoma surgery1. Ophthalmology 1998, 105, 886–894. [Google Scholar] [CrossRef] [PubMed]
- Georgopoulos, G.T.; Chalkiadakis, J.; Livir-Rallatos, G.; Theodossiadis, P.G.; Theodossiadis, G.P. Combined clear cornea phacoemulsification and trabecular aspiration in the treatment of pseudoexfoliative glaucoma associated with cataract. Graefe’s Arch. Clin. Exp. Ophthalmol. 2000, 238, 816–821. [Google Scholar] [CrossRef] [PubMed]
- Dinslage, S.; Rosentreter, A.; Schild, A.M.; Jordan, J.F.; Widder, R.; Dietlein, T.S. Combined phacoemulsification with trabecular aspiration with differing outcomes in pseudoexfoliative glaucoma—A retrospective study. Klin. Monbl Augenheilkd. 2012, 229, 641–644. [Google Scholar] [CrossRef] [PubMed]
- Klamann, M.K.; Gonnermann, J.; Maier, A.K.; Ruokonen, P.C.; Torun, N.; Joussen, A.M.; Bertelmann, E. Combined clear cornea phacoemulsification in the treatment of pseudoexfoliative glaucoma associated with cataract: Significance of trabecular aspiration and ab interno trabeculectomy. Graefes Arch. Clin. Exp. Ophthalmol. 2013, 251, 2195–2199. [Google Scholar] [CrossRef]
- Widder, R.A.; Dinslage, S.; Rosentreter, A.; Jordan, J.F.; Kühnrich, P.; Cursiefen, C.; Lemmen, K.D.; Dietlein, T.S. A new surgical triple procedure in pseudoexfoliation glaucoma using cataract surgery, Trabectome, and trabecular aspiration. Graefes Arch. Clin. Exp. Ophthalmol. 2014, 252, 1971–1975. [Google Scholar] [CrossRef]
- Brown, R.H.; Zhong, L.; Lynch, M.G. Lens-based glaucoma surgery: Using cataract surgery to reduce intraocular pressure. J. Cataract. Refract. Surg. 2014, 40, 1255–1262. [Google Scholar] [CrossRef] [PubMed]
- Brízido, M.; Rodrigues, P.F.; Almeida, A.C.; Abegão Pinto, L. Cataract surgery and IOP: A systematic review of randomised controlled trials. Graefes Arch. Clin. Exp. Ophthalmol. 2023, 261, 1257–1266. [Google Scholar] [CrossRef] [PubMed]
- Majstruk, L.; Leray, B.; Bouillot, A.; Michée, S.; Sultan, G.; Baudouin, C.; Labbé, A. Long term effect of phacoemulsification on intraocular pressure in patients with medically controlled primary open-angle glaucoma. BMC Ophthalmol. 2019, 19, 149. [Google Scholar] [CrossRef] [PubMed]
- Hayashi, K.; Hayashi, H.; Nakao, F.; Hayashi, F. Effect of cataract surgery on intraocular pressure control in glaucoma patients. J. Cataract. Refract. Surg. 2001, 27, 1779–1786. [Google Scholar] [CrossRef] [PubMed]
- Rothman, A.L.; Chang, T.C.; Lum, F.; Vanner, E.A. Intraocular Pressure Changes Following Stand-Alone Phacoemulsification: An IRIS(Ɍ) Registry Analysis. Am. J. Ophthalmol. 2023, 245, 25–36. [Google Scholar] [CrossRef] [PubMed]
- Merkur, A.; Damji, K.F.; Mintsioulis, G.; Hodge, W.G. Intraocular pressure decrease after phacoemulsification in patients with pseudoexfoliation syndrome. J. Cataract. Refract. Surg. 2001, 27, 528–532. [Google Scholar] [CrossRef] [PubMed]
- Ramezani, F.; Nazarian, M.; Rezaei, L. Intraocular pressure changes after phacoemulsification in pseudoexfoliation versus healthy eyes. BMC Ophthalmol. 2021, 21, 198. [Google Scholar] [CrossRef] [PubMed]
- Rao, A.; Cruz, R.D. Cataract versus combined surgery in pseudoexfoliation glaucoma. Indian. J. Ophthalmol. 2023, 71, 797–802. [Google Scholar] [CrossRef] [PubMed]
- Collotta, D.; Colletta, S.; Carlucci, V.; Fruttero, C.; Fea, A.M.; Collino, M. Pharmacological Approaches to Modulate the Scarring Process after Glaucoma Surgery. Pharmaceuticals 2023, 16, 898. [Google Scholar] [CrossRef]
- Shao, C.G.; Sinha, N.R.; Mohan, R.R.; Webel, A.D. Novel Therapies for the Prevention of Fibrosis in Glaucoma Filtration Surgery. Biomedicines 2023, 11, 657. [Google Scholar] [CrossRef]
- Hassanpour, K.; Kanavi, M.R.; Daftarian, N.; Samaeili, A.; Suri, F.; Pakravan, M.; Doozandeh, A.; Aski, S.A.; Fakhri, M.; Moghaddasi, A.; et al. The Inhibitory Effect of Connective Tissue Growth Factor Antibody on Postoperative Fibrosis in a Rabbit Model of Trabeculectomy. J. Ophthalmic Vis. Res. 2022, 17, 486–496. [Google Scholar] [CrossRef] [PubMed]
- Jiang, K.; Chen, J.; Tai, L.; Liu, C.; Chen, X.; Wei, G.; Lu, W.; Pan, W. Inhibition of post-trabeculectomy fibrosis via topically instilled antisense oligonucleotide complexes co-loaded with fluorouracil. Acta Pharm. Sin. B 2020, 10, 1754–1768. [Google Scholar] [CrossRef] [PubMed]



| Group | Number of Eyes (n) | Age (Median, Range) | Female (%) | Male (%) |
|---|---|---|---|---|
| Whole cohort | 167 | 79 (59–95 years) | 68 | 32 |
| Group I (Phaco-TA) | 128 | 79 (59–94 years) | 69 | 31 |
| Group II (Phaco-TA + previous trabeculectomy) | 29 | 78 (67–91 years) | 69 | 31 |
| Group III (TA + previous trabeculectomy) | 10 | 80 (67–95 years) | 68 | 32 |
Disclaimer/Publisher’s Note: The statements, opinions and data contained in all publications are solely those of the individual author(s) and contributor(s) and not of MDPI and/or the editor(s). MDPI and/or the editor(s) disclaim responsibility for any injury to people or property resulting from any ideas, methods, instructions or products referred to in the content. |
© 2024 by the authors. Licensee MDPI, Basel, Switzerland. This article is an open access article distributed under the terms and conditions of the Creative Commons Attribution (CC BY) license (https://creativecommons.org/licenses/by/4.0/).
Share and Cite
Prokosch, V.; Zwingelberg, S.B.; Efremova, D.V.; Buonfiglio, F.; Pfeiffer, N.; Gericke, A. The Effect of Trabecular Aspiration on Intraocular Pressure, Medication and the Need for Further Glaucoma Surgery in Eyes with Pseudoexfoliation Glaucoma. Diseases 2024, 12, 92. https://doi.org/10.3390/diseases12050092
Prokosch V, Zwingelberg SB, Efremova DV, Buonfiglio F, Pfeiffer N, Gericke A. The Effect of Trabecular Aspiration on Intraocular Pressure, Medication and the Need for Further Glaucoma Surgery in Eyes with Pseudoexfoliation Glaucoma. Diseases. 2024; 12(5):92. https://doi.org/10.3390/diseases12050092
Chicago/Turabian StyleProkosch, Verena, Sarah B. Zwingelberg, Desislava V. Efremova, Francesco Buonfiglio, Norbert Pfeiffer, and Adrian Gericke. 2024. "The Effect of Trabecular Aspiration on Intraocular Pressure, Medication and the Need for Further Glaucoma Surgery in Eyes with Pseudoexfoliation Glaucoma" Diseases 12, no. 5: 92. https://doi.org/10.3390/diseases12050092
APA StyleProkosch, V., Zwingelberg, S. B., Efremova, D. V., Buonfiglio, F., Pfeiffer, N., & Gericke, A. (2024). The Effect of Trabecular Aspiration on Intraocular Pressure, Medication and the Need for Further Glaucoma Surgery in Eyes with Pseudoexfoliation Glaucoma. Diseases, 12(5), 92. https://doi.org/10.3390/diseases12050092

