Lipid Profile, Eating Habit, and Physical Activity in Children with Down Syndrome: A Prospective Study
Abstract
1. Introduction
2. Materials and Methods
3. Results
4. Discussion
5. Conclusions
Supplementary Materials
Author Contributions
Funding
Institutional Review Board Statement
Informed Consent Statement
Data Availability Statement
Conflicts of Interest
Abbreviations
| DS | Down Syndrome |
| KIDMED | Mediterranean Diet Quality Index in children and adolescents |
| Godin | Godin–Shepard Leisure-Time Physical Activity Questionnaire |
| BMI | Body Mass Index |
| LDL-c | Low-density lipoprotein cholesterol |
| HDL-c | High-density lipoprotein cholesterol |
| TGC | Triglycerides |
| TC | Total cholesterol |
| SD | Standard deviation |
References
- Asim, A.; Kumar, A.; Muthuswamy, S.; Jain, S.; Agarwal, S. Down syndrome: An insight of the disease. J. Biomed. Sci. 2015, 22, 41. [Google Scholar] [CrossRef] [PubMed]
- Antonarakis, S.E.; Skotko, B.G.; Rafii, M.S.; Strydom, A.; Pape, S.E.; Bianchi, D.W.; Sherman, S.L.; Reeves, R.H. Down syndrome. Nat. Rev. Dis. Primers 2020, 6, 9. [Google Scholar] [CrossRef]
- de Graaf, G.; Buckley, F.; Skotko, B.G. Estimation of the number of people with Down syndrome in Europe. Eur. J. Hum. Genet. 2021, 29, 402–410. [Google Scholar] [CrossRef]
- Lott, I.T.; Head, E. Dementia in Down syndrome: Unique insights for Alzheimer disease research. Nat. Rev. Neurol. 2019, 15, 135–147. [Google Scholar] [CrossRef] [PubMed]
- Bertapelli, F.; Pitetti, K.; Agiovlasitis, S.; Guerra-Junior, G. Overweight and obesity in children and adolescents with Down syndrome—Prevalence, determinants, consequences, and interventions: A literature review. Res. Dev. Disabil. 2016, 57, 181–192. [Google Scholar] [CrossRef] [PubMed]
- van Gameren-Oosterom, H.B.; van Dommelen, P.; Schönbeck, Y.; Oudesluys-Murphy, A.M.; van Wouwe, J.P.; Buitendijk, S.E. Prevalence of overweight in Dutch children with Down syndrome. Pediatrics. 2012, 130, e1520–e1526. [Google Scholar] [CrossRef] [PubMed]
- Polfuss, M.; Sawin, J.K.; Papanek, P.E.; Bandini, L.; Forseth, B.; Moosreiner, A.; Zvara, K.; Schoeller, D.A. Total energy expenditure and body composition of children with developmental disabilities. Disabil. Health J. 2018, 11, 442–446. [Google Scholar] [CrossRef]
- Mohamed, B.A.; Alhamdan, A.A.; Samarkandy, M.M. Dietary Practice and Physical Activity in Children with Down Syndrome and Their Siblings in Saudi Arabia. Can. J. Clin. Nutr. 2013, 1, 35–46. [Google Scholar] [CrossRef]
- Holmes, G. Gastrointestinal disorders in Down syndrome. Gastroenterol. Hepatol. Bed Bench. 2014, 7, 6–8. [Google Scholar] [PubMed]
- Abdallah, A.M.; Raffa, S.; Alaidaroos, T.; Obaid, R.; Abuznada, J. Nutritional Status of some Children and Adolescents with Down syndrome in Jeddah. Life Sci. J. 2013, 10, 1310–1318. [Google Scholar]
- Grammatikopoulou, M.G.; Manai, A.; Tsigga, M.; Tsiligiroglou-Fachantidou, A.; Galli-Tsinopoulou, A.; Zakas, A. Nutrient intake and anthropometry in children and adolescents with Down syndrome-a preliminary study. Dev. Neurorehabil. 2008, 11, 260–267. [Google Scholar] [CrossRef] [PubMed]
- Białek-Dratwa, A.; Żur, S.; Wilemska-Kucharzewska, K.; Szczepańska, E.; Kowalski, O. Nutrition as Prevention of Diet-Related Diseases-A Cross-Sectional Study among Children and Young Adults with Down Syndrome. Children 2022, 10, 36. [Google Scholar] [CrossRef] [PubMed]
- Morris, L.; Bhatnagar, D. The Mediterranean diet. Curr. Opin. Lipidol. 2016, 27, 89–91. [Google Scholar] [CrossRef] [PubMed]
- Vitiello, V.; Germani, A.; Capuzzo, E.D.; Donini, L.M.; del Balzo, V. The new modern mediterranean diet italian pyramid. Ann. Ig. 2016, 28, 179–186. [Google Scholar] [CrossRef] [PubMed]
- Martínez-González, M.A.; García-Arellano, A.; Toledo, E.; Salas-Salvadó, J.; Buil-Cosiales, P.; Corella, D.; Covas, M.I.; Schröder, H.; Arós, F.; Gómez-Gracia, E.; et al. A 14-item Mediterranean diet assessment tool and obesity indexes among high-risk subjects: The PREDIMED trial. PLoS ONE 2012, 7, e43134. [Google Scholar] [CrossRef] [PubMed]
- Velázquez-López, L.; Santiago-Díaz, G.; Nava-Hernández, J.; Muñoz-Torres, A.V.; Medina-Bravo, P.; Torres-Tamayo, M. Mediterranean-style diet reduces metabolic syndrome components in obese children and adolescents with obesity. BMC Pediatr. 2014, 14, 175. [Google Scholar] [CrossRef] [PubMed]
- Archero, F.; Ricotti, R.; Solito, A.; Carrera, D.; Civello, F.; Di Bella, R.; Bellone, S.; Prodam, F. Adherence to the Mediterranean Diet among School Children and Adolescents Living in Northern Italy and Unhealthy Food Behaviors Associated to Overweight. Nutrients 2018, 10, 1322. [Google Scholar] [CrossRef] [PubMed]
- Močnik, M.; Marčun Varda, N. Lipid Biomarkers and Atherosclerosis—Old and New in Cardiovascular Risk in Childhood. Int. J. Mol. Sci. 2023, 24, 2237. [Google Scholar] [CrossRef]
- Anania, C.; Perla, F.M.; Olivero, F.; Pacifico, L.; Chiesa, C. Mediterranean diet and nonalcoholic fatty liver disease. World J. Gastroenterol. 2018, 24, 2083–2094. [Google Scholar] [CrossRef]
- Misciagna, G.; Del Pilar Díaz, M.; Caramia, D.V.; Bonfiglio, C.; Franco, I.; Noviello, M.R.; Chiloiro, M.; Abbrescia, D.I.; Mirizzi, A.; Tanzi, M.; et al. Effect of a Low Glycemic Index Mediterranean Diet on Non-Alcoholic Fatty Liver Disease. A Randomized Controlled Clinici Trial. J. Nutr. Health Aging. 2017, 21, 404–412. [Google Scholar] [CrossRef] [PubMed]
- Soliman, G.A. Dietary Fiber, Atherosclerosis, and Cardiovascular Disease. Nutrients 2019, 11, 1155. [Google Scholar] [CrossRef] [PubMed]
- Hernáez, Á.; Castañer, O.; Goday, A.; Ros, E.; Pintó, X.; Estruch, R.; Salas-Salvadó, J.; Corella, D.; Arós, F.; Serra-Majem, L.; et al. The Mediterranean Diet decreases LDL atherogenicity in high cardiovascular risk individuals: A randomized controlled trial. Mol. Nutr. Food Res. 2017, 61, 1601015. [Google Scholar] [CrossRef] [PubMed]
- Fox, B.; Moffett, G.E.; Kinnison, C.; Brooks, G.; Case, L.E. Physical Activity Levels of Children with Down Syndrome. Pediatr. Phys. Ther. 2019, 31, 33–41. [Google Scholar] [CrossRef] [PubMed]
- Baynard, T.; Pitetti, K.H.; Guerra, M.; Unnithan, V.B.; Fernhall, B. Age-related changes in aerobic capacity in individuals with mental retardation: A 20-yr review. Med. Sci. Sports Exerc. 2008, 40, 1984–1989. [Google Scholar] [CrossRef] [PubMed]
- Mercer, V.S.; Lewis, C.L. Hip Abductor and Knee Extensor Muscle Strength of Children with and without Down Syndrome. Pediatr. Phys. Ther. 2001, 13, 18–26. [Google Scholar] [CrossRef] [PubMed]
- Pitetti, K.; Baynard, T.; Agiovlasitis, S. Children and adolescents with Down syndrome, physical fitness and physical activity. J. Sport. Health Sci. 2013, 2, 47–57. [Google Scholar] [CrossRef]
- Roizen, N.J.; Patterson, D. Down’s syndrome. Lancet 2003, 361, 1281–1289. [Google Scholar] [CrossRef] [PubMed]
- Friedemann, C.; Heneghan, C.; Mahtani, K.; Thompson, M.; Perera, R.; Ward, A.M. Cardiovascular disease risk in healthy children and its association with body mass index: Systematic review and meta-analysis. BMJ 2012, 345, e4759. [Google Scholar] [CrossRef] [PubMed]
- Adelekan, T.; Magge, S.; Shults, J.; Stallings, V.; Stettler, N. Lipid profiles of children with Down syndrome compared with their siblings. Pediatrics 2012, 129, e1382–e1387. [Google Scholar] [CrossRef]
- Garcia-de la Puente, S.; Flores-Arizmendi, K.A.; Delgado-Montemayor, M.J.; Vargas-Robledo, T.T. Lipid profile of Mexican children with Down syndrome. BMC Pediatr. 2021, 21, 77. [Google Scholar] [CrossRef]
- de la Piedra, M.J.; Alberti, G.; Cerda, J.; Cárdenas, A.; Paul, M.A.; Lizama, M. Alta frecuencia de dislipidemias en niños y adolescentes con Síndrome de Down [High frequency of dyslipidemia in children and adolescents with Down Syndrome]. Rev. Chil. Pediatr. 2017, 88, 595–601. [Google Scholar] [CrossRef] [PubMed][Green Version]
- Strong, W.B.; Malina, R.M.; Blimkie, C.J.; Daniels, S.R.; Dishman, R.K.; Gutin, B.; Hergenroeder, A.C.; Must, A.; Nixon, P.A.; Pivarnik, J.M.; et al. Evidence based physical activity for school-age youth. J. Pediatr. 2005, 146, 732–737. [Google Scholar] [CrossRef] [PubMed]
- Eloranta, A.M.; Sallinen, T.; Viitasalo, A.; Lintu, N.; Väistö, J.; Jalkanen, H.; Tompuri, T.T.; Soininen, S.; Haapala, E.A.; Kiiskinen, S.; et al. The effects of a 2-year physical activity and dietary intervention on plasma lipid concentrations in children: The PANIC Study. Eur. J. Nutr. 2021, 60, 425–434. [Google Scholar] [CrossRef] [PubMed]
- van den Driessen Mareeuw, F.A.; Coppus, A.M.W.; Delnoij, D.M.J.; de Vries, E. Quality of health care according to people with Down syndrome, their parents and support staff-A qualitative exploration. J. Appl. Res. Intellect. Disabil. 2020, 33, 496–514. [Google Scholar] [CrossRef] [PubMed]
- Wexler, I.D.; Abu-Libdeh, A.; Kastiel, Y.; Nimrodi, A.; Kerem, E.; Tenenbaum, A. Optimizing health care for individuals with Down syndrome in Israel. Isr. Med. Assoc. J. 2009, 11, 655–659. [Google Scholar] [PubMed]
- Serra-Majem, L.; Ribas, L.; Ngo, J.; Ortega, R.M.; García, A.; Pérez-Rodrigo, C.; Aranceta, J. Food, youth and the Mediterranean diet in Spain. Development of KIDMED, Mediterranean Diet Quality Index in children and adolescents. Public. Health Nutr. 2004, 7, 931–935. [Google Scholar] [CrossRef] [PubMed]
- Godin, G. The Godin-Shephard Leisure-Time Physical Activity Questionnaire. Health Fit. J. Can. 2011, 4, 18–22. [Google Scholar] [CrossRef]
- R Core Team R. A Language and Environment for Statistical Computing; R Foundation for Statistical Computing: Vienna, Austria, 2023; Available online: https://www.R-project.org/ (accessed on 10 November 2023).
- Izquierdo-Gomez, R.; Martinez-Gómez, D.; Esteban-Cornejo, I.; Hallal, P.C.; García-Cervantes, L.; Villagra, A.; Veiga, O.L.; UP&DOWN study group. Changes in objectively measured physical activity in adolescents with Down syndrome: The UP&DOWN longitudinal study. J. Intellect. Disabil. Res. 2017, 61, 363–372. [Google Scholar] [CrossRef] [PubMed]
- Mahmood, L.; Flores-Barrantes, P.; Moreno, L.A.; Manios, Y.; Gonzalez-Gil, E.M. The Influence of Parental Dietary Behaviors and Practices on Children’s Eating Habits. Nutrients 2021, 13, 1138. [Google Scholar] [CrossRef]
- Gupta, R.S.; Shuman, S.; Taveras, E.M.; Kulldorff, M.; Finkelstein, J.A. Opportunities for health promotion education in childcare. Pediatrics 2005, 116, e499–e505. [Google Scholar] [CrossRef]
- Scaglioni, S.; Arrizza, C.; Vecchi, F.; Tedeschi, S. Determinants of children’s eating behavior. Am. J. Clin. Nutr. 2011, 94, 2006S–2011S. [Google Scholar] [CrossRef] [PubMed]
- Gubbels, J.S.; Raaijmakers, L.G.; Gerards, S.M.; Kremers, S.P. Dietary Intake by Dutch 1- to 3-Year-Old Children at Childcare and at Home. Nutrients 2014, 6, 304–318. [Google Scholar] [CrossRef] [PubMed]
- McGrath, W. Ambivalent partners: Power, trust, and partnership in relationships between mothers and teachers in a full-time child-care center. Teach. Coll. Rec. 2007, 109, 1401–1422. [Google Scholar] [CrossRef]
- Dev, D.A.; Byrd-Williams, C.; Ramsay, S.; McBride, B.; Srivastava, D.; Murriel, A.; Arcan, C.; Adachi-Mejia, A.M. Engaging parents to promote children’s nutrition and health: Providers’ barriers and strategies in head start and child care centers. Am. J. Health Promot. 2017, 31, 153–162. [Google Scholar] [CrossRef]
- Pecoraro, L.; Solfa, M.; Ferron, E.; Mirandola, M.; Lauriola, S.; Piacentini, G.; Pietrobelli, A. Mediterranean diet and physical activity in Down syndrome pediatric subjects: The DONUT STUDY. Int. J. Food Sci. Nutr. 2022, 73, 973–980. [Google Scholar] [CrossRef]


| Variable | Baseline (n = 44) | 2-Year Follow-Up (n = 44) | p-Value |
|---|---|---|---|
| Godin score: | 0.0004 | ||
| Mean (SD) | 17 (8) | 22 (10) | |
| Median (IQR) | 17 (10–21) | 23 (15–29) | |
| Min; max | 3; 44 | 2; 39 | |
| Physical activity, n (%): | 0.002 | ||
| Active | 6 (14%) | 22 (50%) | |
| Moderately active | 22 (50%) | 12 (27%) | |
| Insufficiently active | 16 (36%) | 10 (23%) | |
| KIDMED score: | 0.32 | ||
| Mean (SD) | 6 (2) | 6 (3) | |
| Median (IQR) | 6 (5–7) | 6 (4–7) | |
| Min; max | 2; 10 | 1; 11 | |
| Diet adherence, n (%): | 0.50 | ||
| High | 11 (25%) | 12 (27%) | |
| Moderate | 28 (64%) | 22 (50%) | |
| Low | 5 (11%) | 10 (23%) |
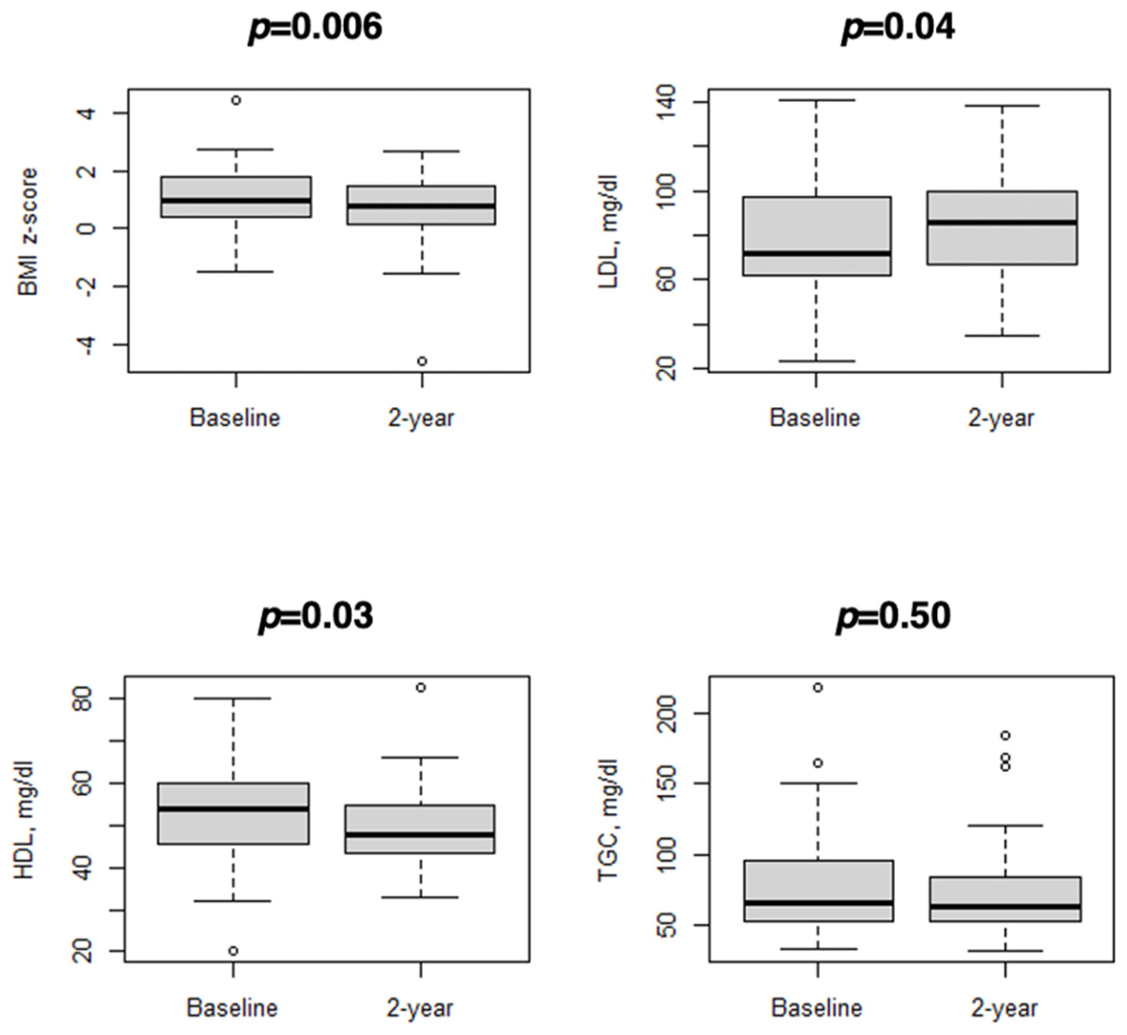
| Variable | Baseline (n = 44) | 2-Year Follow-Up (n = 44) | p-Value |
|---|---|---|---|
| BMI z-score: | 0.006 | ||
| Mean (SD) | 1.1 (1.2) | 0.7 (1.2) | |
| Median (IQR) | 1.0 (0.4–1.8) | 0.8 (0.1–1.4) | |
| Min; max | −1.5; 4.5 | −4.6; 2.7 | |
| BMI category, n (%): | 0.05 | ||
| Normal weight | 27 (61%) | 29 (66%) | |
| Overweight | 11 (25%) | 13 (30%) | |
| Obese | 6 (14%) | 2 (4%) | |
| LDL, mg/dl: | 0.04 | ||
| Mean (SD) | 78 (27) | 83 (24) | |
| Median (IQR) | 72 (62–97) | 86 (67–100) | |
| Min; max | 23; 141 | 35; 138 | |
| HDL, mg/dl: | 0.03 | ||
| Mean (SD) | 53 (12) | 50 (10) | |
| Median (IQR) | 54 (45–60) | 48 (43–55) | |
| Min; max | 20; 80 | 33; 83 | |
| TGC, mg/dl: | 0.50 | ||
| Mean (SD) | 79 (39) | 73 (33) | |
| Median (IQR) | 66 (53–96) | 63 (52–84) | |
| Min; max | 33; 219 | 31; 184 | |
| Dyslipidemia, n (%): | 13 (30%) | 15 (34%) | 0.77 |
Disclaimer/Publisher’s Note: The statements, opinions and data contained in all publications are solely those of the individual author(s) and contributor(s) and not of MDPI and/or the editor(s). MDPI and/or the editor(s) disclaim responsibility for any injury to people or property resulting from any ideas, methods, instructions or products referred to in the content. |
© 2024 by the authors. Licensee MDPI, Basel, Switzerland. This article is an open access article distributed under the terms and conditions of the Creative Commons Attribution (CC BY) license (https://creativecommons.org/licenses/by/4.0/).
Share and Cite
Pecoraro, L.; Zadra, M.; Cavallin, F.; Lauriola, S.; Piacentini, G.; Pietrobelli, A. Lipid Profile, Eating Habit, and Physical Activity in Children with Down Syndrome: A Prospective Study. Diseases 2024, 12, 68. https://doi.org/10.3390/diseases12040068
Pecoraro L, Zadra M, Cavallin F, Lauriola S, Piacentini G, Pietrobelli A. Lipid Profile, Eating Habit, and Physical Activity in Children with Down Syndrome: A Prospective Study. Diseases. 2024; 12(4):68. https://doi.org/10.3390/diseases12040068
Chicago/Turabian StylePecoraro, Luca, Melissa Zadra, Francesco Cavallin, Silvana Lauriola, Giorgio Piacentini, and Angelo Pietrobelli. 2024. "Lipid Profile, Eating Habit, and Physical Activity in Children with Down Syndrome: A Prospective Study" Diseases 12, no. 4: 68. https://doi.org/10.3390/diseases12040068
APA StylePecoraro, L., Zadra, M., Cavallin, F., Lauriola, S., Piacentini, G., & Pietrobelli, A. (2024). Lipid Profile, Eating Habit, and Physical Activity in Children with Down Syndrome: A Prospective Study. Diseases, 12(4), 68. https://doi.org/10.3390/diseases12040068

