Optimal Design of Aperiodic Reconfigurable Antenna Array Suitable for Broadcasting Applications
Abstract
1. Introduction
- (1)
- maximum possible at ( is the elevation angle),
- (2)
- null level ≥−20 dB with respect to the main lobe peak inside the service area defined from to (a service area),
- (3)
- dB with respect to the main lobe peak outside the service area,
- (4)
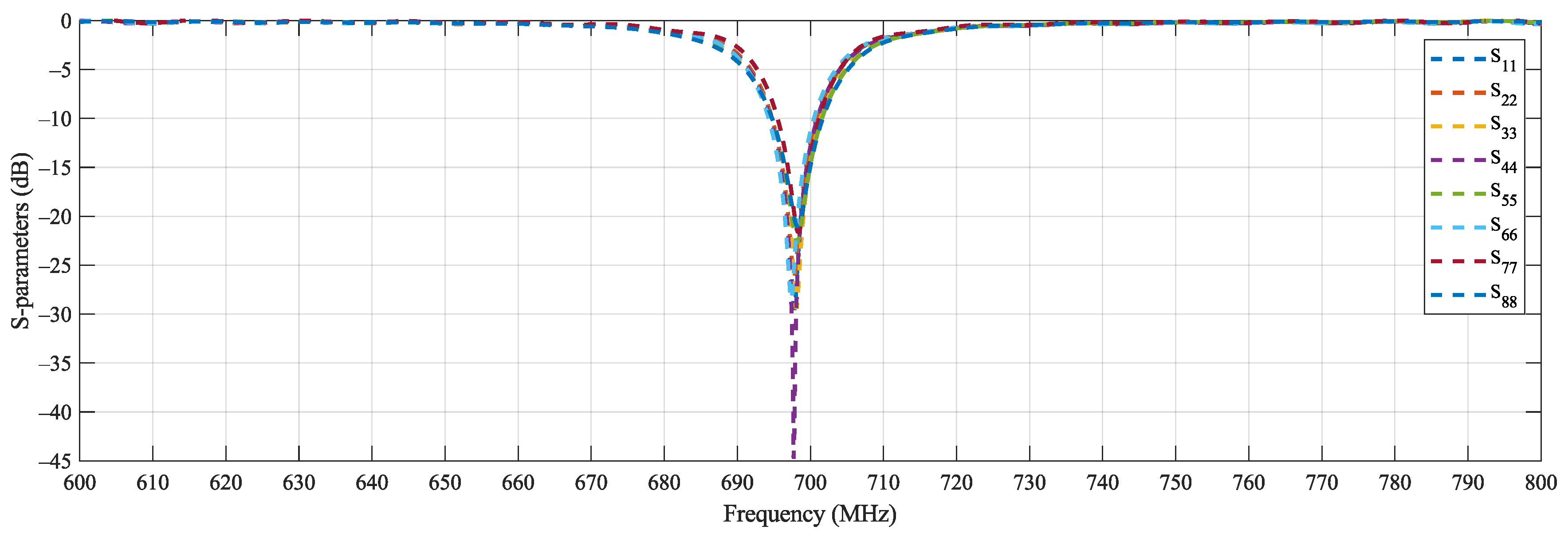
- (S-parameters ≤ dB) at the inputs of all the array elements.
2. Geometry Definition
3. PSO with Velocity Mutation
4. Optimization Results
5. Comparison with Other Optimization Methods
6. Conclusions
Author Contributions
Funding
Conflicts of Interest
References
- Zaharis, Z.D.; Lazaridis, P.I.; Cosmas, J.; Skeberis, C.; Xenos, T.D. Synthesis of a near-optimal high-gain antenna array with main lobe tilting and null filling using Taguchi initialized invasive weed optimization. IEEE Trans. Broadcast. 2014, 60, 120–127. [Google Scholar] [CrossRef]
- Yamamoto, M.; Arai, H.; Ebine, Y.; Nasuno, M. Simple design of null-fill for linear array. In Proceedings of the International Symposium on Antennas and Propagation, Okinawa, Japan, 24–28 October 2016; pp. 410–411. [Google Scholar]
- Zaharis, Z.D. Radiation pattern shaping of a mobile base station antenna array using a particle swarm optimization based technique. Electr. Eng. 2008, 90, 301–311. [Google Scholar] [CrossRef]
- Patidar, H.; Mahanti, G.K.; Muralidharan, R. Synthesis of non-uniformly spaced linear array of unequal length parallel dipole antennas for impedance matching using QPSO. Int. J. Microw. Opt. Technol. 2017, 12, 172–181. [Google Scholar]
- Lazaridis, P.I.; Tziris, E.; Zaharis, Z.D.; Xenos, T.; Holmes, V.; Cosmas, J.P.; Glover, I.A. Comparative study of broadcasting antenna array optimization using evolutionary algorithms. In Proceedings of the 2016 URSI Asia-Pacific Radio Science Conference (URSI AP-RASC), Seoul, Korea, 21–25 August 2016; pp. 1299–1301. [Google Scholar] [CrossRef]
- Zhang, Y.; Zhang, X.Y.; Ye, L.H.; Pan, Y.M. Dual-band base station array using filtering antenna elements for mutual coupling suppression. IEEE Trans. Antennas Propag. 2016, 64, 3423–3430. [Google Scholar] [CrossRef]
- Jin, N.; Rahmat-Samii, Y. Particle swarm optimization for antenna designs in engineering electromagnetics. J. Artif. Evol. Appl. 2008, 2008, 1–10. [Google Scholar] [CrossRef]
- Zhou, D.; Gao, S.; Abd-Alhameed, R.A.; Zhang, C.; Alkhambashi, M.S.; Xu, J.D. Design and optimisation of compact hybrid quadrifilar helical-spiral antenna in GPS applications using Genetic Algorithm. In Proceedings of the 2012 6th European Conference on Antennas and Propagation (EUCAP), Prague, Czech Republic, 26–30 March 2012; pp. 1–4. [Google Scholar]
- Kiourti, A.; Nikita, K.S. Accelerated design of optimized implantable antennas for medical telemetry. IEEE Antennas Wirel. Propag. Lett. 2012, 11, 1655–1658. [Google Scholar] [CrossRef]
- Liu, B.; Aliakbarian, H.; Ma, Z.; Vandenbosch, G.A.; Gielen, G.; Excell, P. An efficient method for antenna design optimization based on evolutionary computation and machine learning techniques. IEEE Trans. Antennas Propag. 2013, 62, 7–18. [Google Scholar] [CrossRef]
- Mohammed, H.J.; Abdullah, A.S.; Ali, R.S.; Abd-Alhameed, R.A.; Abdulraheem, Y.I.; Noras, J.M. Design of a uniplanar printed triple band-rejected ultra-wideband antenna using particle swarm optimisation and the firefly algorithm. IET Microw. Antennas Propag. 2016, 10, 31–37. [Google Scholar] [CrossRef]
- Rahman, S.U.; CAO, Q.; Ahmed, M.M.; Khalil, H. Analysis of linear antenna array for minimum side lobe level, half power beamwidth, and nulls control using PSO. J. Microw. Optoelectron. Electromagn. Appl. 2017, 16, 577–591. [Google Scholar] [CrossRef]
- Liu, B.; Koziel, S. Antenna array optimization using surrogate-model aware evolutionary algorithm with local search. In Proceedings of the 2015 IEEE International Symposium on Antennas and Propagation & USNC/URSI National Radio Science Meeting, Vancouver, BC, Canada, 19–24 July 2015; pp. 1330–1331. [Google Scholar]
- Liu, B.; Akinsolu, M.O.; Ali, N.; Abd-Alhameed, R. Efficient global optimisation of microwave antennas based on a parallel surrogate model-assisted evolutionary algorithm. IET Microw. Antennas Propag. 2019, 13, 149–155. [Google Scholar] [CrossRef]
- Eberhart, R.; Kennedy, J. A new optimizer using particle swarm theory. In Proceedings of the MHS’95, Sixth International Symposium on Micro Machine and Human Science, Nagoya, Japan, 4–6 October 1995; pp. 39–43. [Google Scholar]
- Zaharis, Z.D.; Gravas, I.P.; Yioultsis, T.V.; Lazaridis, P.I.; Glover, I.A.; Skeberis, C.; Xenos, T.D. Exponential Log-Periodic Antenna Design Using Improved Particle Swarm Optimization With Velocity Mutation. Trans. Magn. 2017, 53, 1–4. [Google Scholar] [CrossRef]
- Mathworks Matlab. Available online: https://www.mathworks.com (accessed on 12 May 2018).
- CST Studio Suite. Available online: https://www.3ds.com/products-services/simulia/products/cst-studio-suite/ (accessed on 16 June 2019).
- Balanis, C.A. Antenna Theory: Analysis and Design; Wiley-Interscience: New York, NY, USA, 2005; pp. 816–826. [Google Scholar]
- Rogers Corporation. Available online: https://www.rogerscorp.com (accessed on 2 February 2020).
- Matin, M.A.; Sayeed, A.I. A design rule for inset-fed rectangular microstrip patch antenna. WSEAS Trans. Commun. 2010, 9, 63–72. [Google Scholar]




| Parameter | Lower Limit | Upper Limit | Parameter | Lower Limit | Upper Limit |
|---|---|---|---|---|---|
| W | 105 mm | 245 mm | 4.2 mm | 16.8 mm | |
| L | 91 mm | 211 mm | s | 26.5 mm | 61.9 mm |
| 214 mm | 343 mm | g | |||
| 0 mm | 86 mm | 0.1 | 1 | ||
| 0 mm | 107 mm |
| Parameter | Value (mm) | Parameter | Value (mm) |
|---|---|---|---|
| W | 170.9 | 348.7 | |
| L | 152.1 | 103.6 | |
| 256.9 | 13.7 | ||
| 263.9 | s | 37.3 | |
| 264.8 | g | 15.8 |
| Parameter | Value | Parameter | Value |
|---|---|---|---|
| Parameter | Value | Parameter | Value |
|---|---|---|---|
| 13.9 dBi | 1.07 | ||
| Main Lobe Tilting | 1.05 | ||
| Null level | −20.0 dB | 1.16 | |
| −20.8 dB | 1.16 | ||
| −21.0 dB | 1.20 | ||
| 1.08 | 1.20 | ||
| 1.11 |
| Parameter | Value () | Parameter | Value () |
|---|---|---|---|
| Alg. | Mainlobe Tilting () | (dBi) | Null Level (dB) | (dB) | (dB) | ||
|---|---|---|---|---|---|---|---|
| PSOvm | 13.9 | 1.08 | 1.11 | ||||
| PSO | 12.8 | 1.14 | 1.08 | ||||
| GA | 10.5 | 1.06 | 1.13 | ||||
| TRF | 13.9 | 1.10 | 1.12 | ||||
| CMAES | 13.2 | 1.30 | 1.21 | ||||
| NMSA | 12.8 | 1.22 | 1.17 | ||||
| CP | 11.5 | 1.09 | 1.15 | ||||
| IQN | 8.7 | 1.12 | 1.13 | ||||
| Tot. Time (min) | |||||||
| PSOvm | 1.07 | 1.05 | 1.16 | 1.16 | 1.20 | 1.20 | 710 |
| PSO | 1.09 | 1.20 | 1.06 | 1.26 | 1.11 | 1.11 | 2000 |
| GA | 1.16 | 1.18 | 1.25 | 1.12 | 1.08 | 1.08 | 2000 |
| TRF | 1.06 | 1.07 | 1.16 | 1.19 | 1.20 | 1.20 | 900 |
| CMAES | 1.12 | 1.20 | 1.48 | 1.25 | 1.15 | 1.05 | 2000 |
| NMSA | 1.18 | 1.07 | 1.05 | 1.07 | 1.22 | 1.06 | 2000 |
| CP | 1.08 | 1.22 | 1.27 | 1.13 | 1.07 | 1.12 | 2000 |
| IQN | 1.35 | 1.19 | 1.22 | 1.20 | 1.32 | 1.12 | 2000 |
© 2020 by the authors. Licensee MDPI, Basel, Switzerland. This article is an open access article distributed under the terms and conditions of the Creative Commons Attribution (CC BY) license (http://creativecommons.org/licenses/by/4.0/).
Share and Cite
Gravas, I.P.; Zaharis, Z.D.; Lazaridis, P.I.; Yioultsis, T.V.; Kantartzis, N.V.; Antonopoulos, C.S.; Chochliouros, I.P.; Xenos, T.D. Optimal Design of Aperiodic Reconfigurable Antenna Array Suitable for Broadcasting Applications. Electronics 2020, 9, 818. https://doi.org/10.3390/electronics9050818
Gravas IP, Zaharis ZD, Lazaridis PI, Yioultsis TV, Kantartzis NV, Antonopoulos CS, Chochliouros IP, Xenos TD. Optimal Design of Aperiodic Reconfigurable Antenna Array Suitable for Broadcasting Applications. Electronics. 2020; 9(5):818. https://doi.org/10.3390/electronics9050818
Chicago/Turabian StyleGravas, Ioannis P., Zaharias D. Zaharis, Pavlos I. Lazaridis, Traianos V. Yioultsis, Nikolaos V. Kantartzis, Christos S. Antonopoulos, Ioannis P. Chochliouros, and Thomas D. Xenos. 2020. "Optimal Design of Aperiodic Reconfigurable Antenna Array Suitable for Broadcasting Applications" Electronics 9, no. 5: 818. https://doi.org/10.3390/electronics9050818
APA StyleGravas, I. P., Zaharis, Z. D., Lazaridis, P. I., Yioultsis, T. V., Kantartzis, N. V., Antonopoulos, C. S., Chochliouros, I. P., & Xenos, T. D. (2020). Optimal Design of Aperiodic Reconfigurable Antenna Array Suitable for Broadcasting Applications. Electronics, 9(5), 818. https://doi.org/10.3390/electronics9050818

